1. 서 론
2. 연구 방법
2.1 연구지역 및 자료
2.2 FAO Penman-Monteith 기준증발산식
2.3 민감도 분석
2.4 군집분석
3. 연구결과
3.1 지역별 기후요소와 기준증발산량
3.2 지역별 FAO P-M 기준증발산식 민감도
3.3 지역별 FAO P-M 기준증발산식 민감도 군집화
3.4 군집별 FAO P-M 기준증발산식 월별 민감도
4. 요약 및 결론
1. 서 론
지구온난화에 따른 기후변화는 지구상의 수문순환 과정 중의 하나인 증발산에 중대한 영향을 미치는 것으로 보고된 바 있다(IPCC, 2001). 증발산은 여러 기후요소들에 의해서 영향을 받으며, 식생의 생장을 위해서 필요한 물수요량을 정확하게 산정하기 위해 각각의 기후요소가 증발산량에 미치는 영향을 파악하는 것은 효율적인 수자원관리를 위해서 매우 중요하다(Goyal, 2004; Yin et al., 2010). 따라서 세계 많은 연구자들은 기후요소가 증발산량에 미치는 영향을 분석하기 위해 FAO P-M 기준증발산식을 적용하여 민감도분석을 실시한 바 있다. FAO P-M 식은 잠재증발산량을 산정하기 위한 표준 방법으로써 제시된 바 있고, 전 세계 여러 연구자들에 의해서 적용성이 평가된 바 있다(Droogers and Allen 2002; Chen et al., 2005; Trajkovic, 2005; Ndulue and Ranjan, 2021). FAO P-M 식은 물리적 근거에 기초하여 유도되어서 전 세계에서 매개변수의 추가적인 보정 없이 적용될 수 있다. 더 나아가 세계 각 지역에서 여러 연구자들에 의해서 증발산계를 이용하여 측정된 증발산량과 비교 검증된 바 있다(Allen et al., 1994; Howell et al., 1998; Droogers and Allen, 2002; Burt et al., 2002). 또한 식생과 지표면 조건과 상관없이 지역별 혹은 시기별로 기상조건에 따른 증발산량을 비교 검토하는 데 적용할 수 있다(Allen et al., 1998).
민감도 분석은 기후요소와 증발산량 사이의 관계를 이해하고, 증발산량을 산정하는 데 영향을 미치는 핵심적인 기후요소를 파악하는데 적용할 수 있다(Gong et al., 2006; Mosaedi et al., 2016). 또한 증발산 산정에 사용되는 기후자료의 정확도를 결정하거나, 기후요소의 관측주기 영향을 정량화하기 위해 적용될 수 있다(Irmak et al., 2006; Hupet and Vanclooster, 2001). 세계 여러나라에서 지역의 지리적 및 기후특성이 기준증발산식 민감도에 미치는 영향분석이 수행된 바 있다. Estévez et al. (2009)은 스페인 남부 해안 및 내륙의 준건조지역에서 농업을 위한 식생의 물수요량을 정확하게 산정하기 위해 각각의 기후요소가 증발산량에 미치는 영향연구를 수행하였으며 기상자료(기온, 상대습도, 일사량, 풍속)를 이용하여 실시한 민감도분석에서 지역별 민감도가 심각한 차이를 보이는 것으로 나타났다. Ambas and Batas (2012)는 기준증발산량 산정에 주된 영향을 주는 기후요소를 알아보기 위해 마케도니아 서부지역에서 수행한 민감도분석에서 일사량과 기온이 가장 민감하고, 반면에 상대습도와 풍속이 덜 중요한 기후요소라고 발표하였다. 미국의 4가지 다른 기후지역(준건조 기후, 지중해성 기후, 해양성 및 도서 기후, 내륙 습윤 기후)에서 수행된 연구에서 지역의 기후특성과 상관 없이 모든 지역에서 증기압부족이 가장 민감하다고 발표하였다(Irmak et al., 2006). 이란의 다양한 기후지역에서 민감도분석을 수행한 결과 풍속과 기온이 기준증발산에 미치는 영향은 건조지역에서 습윤지역으로 갈수록 감소하고, 반면에 일조시간의 민감도는 건조지역에서 습윤지역으로 갈수록 증가하였다(Tabari and Talaee (2014). 인도의 3가지 다른 기후조건을 보이는 지역에서 수행된 연구에서는 모든 기후요소(최고기온, 최저기온, 일사량, 평균습도, 풍속)의 변화는 기준증발산량과 선형적으로 비례관계를 보이는 것으로 나타났다(Debnath et al., 2015). 또한 나이지리아에서 수행된 농업생태학적 특성이 증발산량에 미치는 영향 민감도분석에서 Ndulue et al. (2021)은 지역의 생태학적 특성에 따라서 기후자료에 대한 증발산 민감도가 다르다고 발표하였다.
우리나라와 인접하고 유사한 기후조건을 보이는 중국에서 수행된 연구에서 Gong et al. (2006)은 중국 Yangtz강 유역에 위치한 150개의 연구지역에서 지역별 특성에 따른 민감도분석을 실시한 바 있고, 분석결과 상대습도가 FAO P-M 기준증발산량 산정에 가장 민감한 것으로 나타났으며, 태양복사량, 기온 그리고 풍속이 뒤를 이었다. Liang et al. (2008)은 중국 북동지역 Taoer강 유역에 위치한 15개 기상관측지점의 4가지 기후요소(기온, 풍속, 일조시간, 상대습도)를 이용한 민감도분석을 실시하였으며, 분석결과 상대습도가 가장 민감한 요소이고 다음으로 일조시간, 풍속, 기온 순으로 민감한 것으로 나타났다. Gao et al. (2016)은 중국 Liao강 유역에서 식물의 성장시기에 기후요소가 기준증발산량에 미치는 민감도분석에서 기준증발산량은 일사량에 가장 민감하고 다음으로 상대습도에 민감한 것으로 나타났으며, 반면에 평균기온에 가장 덜 민감한 것으로 나타났다. 중국에서 수행된 여러 연구사례에 의하면 전반적으로 상대습도가 가장 민감한 기후요소인 것으로 판단되며, 일부 중국 내 지역에서는 일사량이 가장 민감한 기후요소로 나타나서 같은 중국이라도 지역에 따라서 기후요소가 증발산 민감도에 미치는 영향력이 다른 것으로 판단된다.
세계 여러 나라에서 수행된 FAO P-M 기준증발산식의 민감도 분석결과를 검토한 바에 의하면 기후요소가 증발산량 산정에 미치는 영향력은 지역별, 계절별로 다른 양상을 보이는 것으로 판단된다. 따라서 우리나라의 경우 계절이 다양하고 이에 따른 기후의 변동성이 높아서 FAO P-M 기준증발산식의 민감도분석을 실시하여 기후요소가 증발산량에 미치는 영향을 파악하는 것이 필요하다. 국내에서는 FAO P-M 기준증발산식의 민감도분석과 관련한 연구로서 Yoon and Choi (2018)은 우리나라 11개 기상관측지점에서 1981년부터 2010년까지 30년간의 연구자료를 이용하여 수행한 연구에서 FAO P-M 식은 순복사량이 가장 민감한 요소이며, 상대습도, 기온, 풍속 순으로 민감하다고 발표하였다. Lim et al. (2006)은 SLURP 수문모형의 FAO P-M식을 통하여 기온, 일사량, 풍속에 대한 가상시나리오를 적용하여 소양강댐유역의 수문변화에 미치는 변화양상을 분석한 바 있으며, 분석결과 기온을 제외한 일조시간과 풍속은 증발산량을 오히려 감소시키는 결과를 보였다고 발표하였다. Hur et al. (2006)은 FAO P-M식을 이용하여 기준증발산량을 산정하는 경우 알베도, 지중열유동 그리고 순복사 자료의 영향력을 분석하였고, 분석결과 이들 자료의 측정값이 없는 경우도 계산값으로 대체하는 데 문제가 없다고 발표하였다. Jun et al. (2008)은 한국 안동댐 유역에서 준분포 수문모형인 SLURP모형을 이용하여 강수량변화에 대하여 기온 증가에 따른 FAO P-M 기준증발산량이 증가됨을 모의하였다. 국내에서 수행된 연구들을 검토한 결과 세계 각 지역에서, 많은 관련 연구가 수행된 것과는 달리 국내에서는 기후요소가 FAO P-M 기준증발산식에 미치는 민감도분석 연구가 많지 않다. 과거 국내에서 수행된 대부분의 연구들은 수문모형 등을 이용하여 간접적으로 기상요소가 FAO P-M 기준증발산량에 미치는 영향을 분석하였다. 따라서 본 연구에서는 국내 56개 기상관측지점에서 관측된 기후자료를 이용하여 각 기후요소와 고도가 FAO P-M 기준증발산량 산정에 미치는 영향을 분석하기 위해 민감도분석을 실시하였다.
2. 연구 방법
본 연구에서는 우리나라 56개 연구지역에 대해서 8개의 기상요소들(최고기온, 최저기온, 풍속, 상대습도, 일사량, 증기압부족, 순복사량, 지중열유동)과 FAO P-M 기준증발산식의 에너지항과 공기동력항 그리고 고도가 FAO P-M식에 미치는 영향을 분석하기 위해 민감도분석을 실시하였다. 연구의 진행순서는 연구흐름도에 나타나 있다(Fig. 1).
2.1 연구지역 및 자료
본 연구에서 적용된 기상자료는 기상청에서 관리하는 기상자료의 가용성을 검토한 후, 장기적으로 관측이 수행되고 있는 우리나라 56개 기상관측소에서 1975년 1월부터 2021년 12월까지 관측된 월평균 일 기상자료(풍속, 상대습도, 기온, 일조시간, 일사량)를 이용하였다. 56개 기상관측지점은 전국에 고루 분포되어 있어 우리나라 지역별 지리적 특성을 반영하고 있다(Fig. 2, Table 1).
Table 1.
56 meteorological stations
2.2 FAO Penman-Monteith 기준증발산식
Monteith (1965)는 Penman (1948)에 의해서 제안된 조합식으로부터 실제증발산량 산정을 위해서 증발산 표면으로부터 증발을 억제하는 저항의 개념을 도입하여 Penman-Monteith (P-M) 실제증발산 공식(Eq. (1))을 개발하였다.
여기서, =잠열 유동(), =순복사량(), =토양열 유동밀도(), =평균대기밀도(), =대기의 비열(℃), =표면저항(sec/m), =공기동력학적 저항(sec/m)이다. Eq. (1)에서 공기동력학적 저항 는 다음 Eq. (2)로 계산된다.
여기서, =풍속 관측높이(m), =상대습도 관측높이(m), =제로면변위 높이(m), =바람과 관련된 조도길이(m), =열과 수증기 전달과 관련된 조도길이(m), =von Karman 상수(≃0.41), =높이 에서의 풍속(m/sec)이다.
FAO는 기준작물로 잔디를 제시한 바 있으며(Allen et al., 1998), 잔디의 높이 =0.12 m로 가정하고, 풍속과 습도의 관측높이가 2 m인 경우, 공기동력학적 저항 는 다음 Eq. (3)과 같다.
또한, 표면저항 는 다음 식으로 계산된다.
여기서, =기공저항(sec/m), =엽면적지수이다.
기준증발산량을 계산하기 위해 Allen et al. (1998)은 Eq. (1)과 Eqs. (2)~(4)로부터 잔디를 기준작물로 설정하고, 는 는 작물높이()의 24배를 적용하였다. 또한 수분 공급이 충분한 경우에 작물높이()를 0.12 m로 가정하여 기공저항 =100 sec/m로 설정하고, 표면저항 =70 sec/m로 적용하였다. 따라서 Allen et al. (1998)에 의해서 제안된 식은 Eq. (5)와 같다. FAO P-M 기준증발산식은 많은 연구자들에 의해서 각종 증발산계(lysimeter)를 이용하여 관측된 증발산량과 비교 검증이 수행된 바 있다(Allen et al., 1994; Howell et al., 1998; Burt et al., 2002; Droogers and Allen, 2002). FAO P-M식의 에너지항과 공기동력항이 FAO P-M 기준증발산량 산정에 미치는 상대적 기여도를 파악하기 위해서 Eq. (5)는 에너지항과 관련된 Eq. (6)과 공기동력항과 관련된 Eq. (7)로 나타낼 수 있다. 에너지항과 공기동력항에 공통적으로 관련된 기상요소(기온, 풍속)를 제외하고 에너지항에 영향을 미치는 주된 기상요소는 순복사량과 지중열유동이고, 공기동력항에 영향을 미치는 주된 기상요소는 풍속과 상대습도이다.
여기서, RET=기준증발산량(mm/day), =기준증발산식의 에너지항(mm/day), =기준증발산식의 공기동력항(mm/day), =2 m 높이에서 일평균기온(=, ℃), =일 최고기온(℃), =일 최저기온(℃), =2 m 높이에서 풍속(m/s), =순복사량(), =토양열 유동밀도(), =포화증기압(kPa), =실제증기압(kPa), =대기의 증기압 부족량(kPa), =포화증기압과 온도곡선의 기울기(kPa/℃), =건습계 상수(kPa/℃). FAO P-M식에서는 잔디의 경우 반사율을 0.23으로 고정하여 적용하고 있으며 실측된 작물에서의 반사율이 없는 경우 반사율을 0.23으로 적용하여도 큰 차이가 없다고 발표하였다.
2.3 민감도 분석
본 연구에서는 FAO P-M 기준증발산식 산정에 영향을 미치는 8가지 기상요소들(최고기온, 최저기온, 풍속, 상대습도, 일사량, 증기압부족, 순복사량, 지중열유동), FAO P-M식의 에너지항과 공기동력항, 그리고 고도의 상대적 중요도를 알아보기 위해 상대 민감도분석을 실시하였다. 민감도 분석은 과거 세계 여러 나라의 연구자들에 의해서 기후요소가 FAO P-M 기준증발량에 미치는 영향을 파악하기 위해 적용된 바 있다(Gong et al., 2006; Jun et al., 2008; Liang et al., 2008; Estévez et al., 2009; Ambas and Batas, 2012; Hou et al., 2013; Sharifi and Dinpashoh, 2014; Tabari and Talaee, 2014; Debnath et al., 2015; Gao et al., 2016; Bare, 2017; Nidiaye et al., 2017; Ndulue et al., 2021; Ndulue and Ranjan, 2021).
본 연구에서는 분석을 위해 56개 연구지역에 대해서 지역별 그리고 월별로 기상요소와 기준증발산량의 평균값을 산정하고, 각 지역별 그리고 월별 기상요소의 변화량을 10%로 지정하여 지역별 그리고 월별 기준증발산량의 변화량을 산정하였다(Eq. (8)).
여기서 RS=상대 민감도, MV=지역별 혹은 월별 기상요소의 평균값, △MV=지역별 혹은 월별 기상요소의 변화량, RET = 지역별 혹은 월별 FAO P-M 기준증발산량(mm/month), △RET=지역별 혹은 월별 △MV에 따른 RET의 변화량(mm/month)이다. 상대 민감도 분석결과는 FAO P-M 기준증발산량 산정식을 적용하여 기준증발산량을 산정하는 데 있어서 각 입력 자료들의 상대적인 영향력을 판단하는 데 사용될 수 있다.
2.4 군집분석
군집분석은 다수의 대상들이 가진 특성을 토대로 유사한 대상들끼리 모으는 다변량 통계기법이다. 다수의 대상을 몇 개의 동질성을 보이는 집단으로 군집화함으로써 다수의 대상을 몇 개의 공통된 군집으로 축약하기 위한 목적으로 이용된다. 본 연구에서는 56개 연구지역을 대상으로 각 지역의 11개 요소(최고기온, 최저기온, 풍속, 상대습도, 일사량, 증기압부족, 순복사, 지중열 유동, FAO P-M식의 에너지항과 공기동력항, 고도)들로부터 계산된 상대민감도 자료를 이용하여 군집분석을 실시하여 유사한 특성을 보이는 연구지역끼리 군집화하여 각 군집별 대표 지역을 선정하여 월별 민감도분석에 활용하고자 하였다. 본 연구에서는 56개 연구지역을 군집화하기 위해 군집화시키는 방법으로 단일결합법(single linkage)을 적용하였다. 단일결합법은 기존의 군집에 속해 있는 대상 중에서 어느 하나와 가장 가까운 대상부터 군집에 편입시키는 방법이다(Eq. (9)).
여기서 는 각각의 요소를 나타내고, 과 는 연구지역 1과 2에서 요소 의 상대민감도를 나타낸다.
3. 연구결과
3.1 지역별 기후요소와 기준증발산량
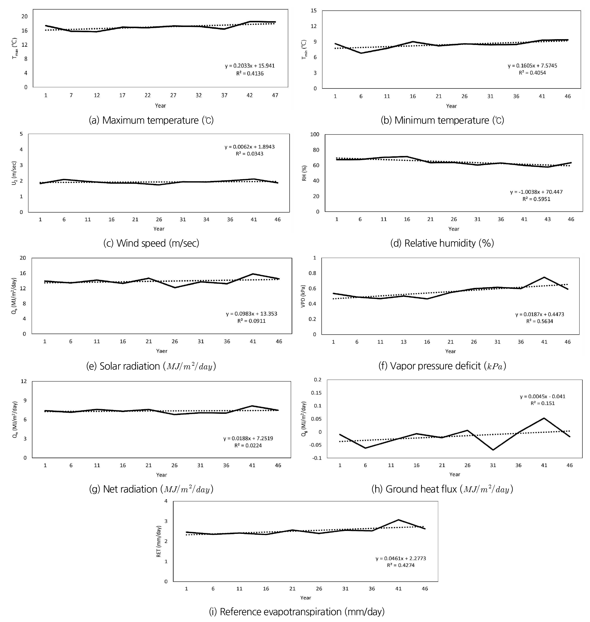
Fig. 3은 56개 연구지역에서 1975년 1월부터 2021년 12월까지 FAO P-M 기준증발산 산정식의 민감도분석을 위해서 적용된 기상요소들(최고기온, 순복사, 상대습도, 증기압 부족, 풍속)과 FAO P-M 기준증발산량의 평균값을 보여준다. 최고기온은 서귀포가 가장 높은 값(20.12℃), 대관령이 가장 낮은 값(11.943℃)을 보였다. 최저기온은 서귀포가 가장 높은 값(13.547℃), 대관령이 가장 낮은 값(2.047℃)을 보였다. 풍속은 여수가 가장 강한 풍속(4.012 m/sec), 홍천이 가장 약한 풍속(0.767 m/sec)를 보였다. 상대습도는 군산이 가장 높은 값(75.835%), 대구가 가장 낮은 값(61.651%)을 보였다. 일사량은 영덕이 가장 큰 값(15.674 ), 인제가 가장 작은 값(=14.179 )을 보였다. 증기압부족은 대구가 가장 큰 값(0.696 kPa), 대관령이 가장 작은 값(0.276 kPa)을 보였다. 순복사량은 부안이 가장 큰 값(8.547 ), 속초가 가장 작은 값(7.396 )을 보였다. 지중열유동은 금산이 가장 큰 값(0.00372 ), 남원이 가장 작은 값(0.00006 )을 보였다. 기준증발산량의 경우 56개 연구지역에서 여수가 가장 큰 증발산량(3.184 mm/day)을 보였고, 대관령이 가장 작은 증발산량(2.108 mm/day)을 보였다.
56개 연구지역에서 과거 47년간(1975년-2021년)의 기상자료와 산정된 FAO P-M 기준증발산량의 변화를 분석하였다. 분석결과에 의하면 56개 연구지역의 최고기온의 경우 목포지역을 제외하고 증가하는 추세를 보였다. 최저기온의 경우 추풍령, 진주, 해남, 문경지역을 제외하고 증가추세를 보였다. 풍속의 경우 56개 연구지역에서 서울을 포함한 26개 지역에서 상승추세를 보였고, 속초를 포함한 30개 지역에서 감소추세를 보였다. 상대습도의 경우 통영, 목포, 서귀포를 제외한 대부분 지역에서 감소추세를 보였다. 일사량의 경우 56개 연구지역에서 속초를 포함한 23개 지역에서 상승추세를 보였고, 수원을 포함한 33개 지역에서 감소추세를 보였다. 증기압 부족의 경우 통영을 제외하고 대부분 지역에서 증가추세를 보였다. 순복사량의 경우 속초를 포함한 18개 지역에서 증가추세를 보였고, 원주를 포함한 38개 지역에서 감소추세를 보였다. 지중열유동의 경우 모든 지역에서 증가하는 추세를 보였다. FAO P-M 기준증발산량의 경우 속초를 포함함 37개 지역에서 증가추세를 보였고, 군산을 포함한 19개 지역에서 감소추세를 보였다. Fig. 4는 서울지역의 기상자료와 FAO P-M 기준증발산량의 변화를 보여준다. 서울지역의 경우 상대습도를 제외하고 기상자료들이 증가추세를 보였고, FAO P-M 기준증발산량은 증가추세를 보였다.
3.2 지역별 FAO P-M 기준증발산식 민감도
Table 2는 우리나라 56개 연구지역에서 수행된 민감도 분석결과를 보여준다. FAO P-M식의 경우 물리적 근거에 기초하여 유도되어서 입력자료들이 증발산 과정에 미치는 영향력을 파악하는데 적용할 수 있다. 분석결과에 의하면 8개의 기상요소(최고기온, 최저기온, 풍속, 상대습도, 일사량, 증기압부족, 순복사량, 지중열유동) 중에서 순복사량의 상대민감도가 0.711로서 기준증발산량 산정에 가장 민감한 요소로 나타났다. 다음으로 상대습도(-0.573), 일사량(0.549), 최고기온(0.396), 증기압부족(0.293), 풍속(0.131), 최저기온(0.128) 순이었다. 지중열유동의 경우 -0.00357의 상대민감도를 보여서 기상요소들 중에서 가장 덜 민감한 요소로 나타났다. 상대습도와 지중열유동의 경우 음의 상대민감도를 보여서 다른 요소들과 다른 양상을 보였다.
FAO P-M식의 에너지항과 공기동력항의 상대민감도는 에너지항이 0.707, 공기동력항이 0.293을 보여서 에너지항이 더 민감한 것으로 나타나서, 태양에너지가 증발산량에 미치는 영향이 풍속이나 습도변화와 같은 공기동력항 영향보다 큰 것으로 나타났다. 또한 지표면 특성영향 분석을 위해서 수행된 고도의 민감도분석을 실시한 결과, 고도의 경우 매우 낮은 상대 민감도(0.00301)를 보여서, 고도가 기준증발산량 산정에 미치는 영향은 크지 않은 것으로 나타났다.
최고기온의 경우 가장 민감한 영향을 보인 지역은 대구(0.438)이고 목포(0.421)와 밀양(0.419)이 다음 순으로 나타났다. 반면에 가장 덜 민감한 영향을 보인 지역은 대관령(0.323), 속초(0.357), 강화(0.373) 순이었다. 최저기온의 경우 서귀포(0.198)가 가장 민감하고, 제주(0.197), 여수(0.186)가 뒤를 이었고, 가장 덜 민감한 지역은 대관령(0.067), 의성(0.091) 그리고 제천(0.092) 순이었다. 풍속의 경우 대구(0.218)가 가장 민감하고, 포항(0.197), 부산(0.186)이 뒤를 이었고, 가장 덜 민감한 지역은 임실(0.0797), 대관령(0.0798) 그리고 부여(0.0802) 순이었다. 상대습도의 경우 여수(-1.039), 목포(-1.025), 대관령(-1.011) 순으로 민감하고, 덜 민감한 지역은 홍천(-0.280), 원주(-0.312), 그리고 이천(-0.319) 순이었다. 증기압부족의 경우 여수(0.522), 부산(0.451), 울진(0.424) 순으로 민감하고, 덜 민감한 지역은 홍천(0.1877), 부여(0.1883) 그리고 임실(0.1894) 순이었다.
일사량의 경우 부여(0.643), 임실(0.636), 정읍(0.629) 순으로 민감하고, 덜 민감한 지역은 여수(0.375), 부산(0.421) 그리고 울진(0.443) 순이었다. 순복사량의 경우 홍천(0.817), 부여(0.816), 임실(0.815) 순으로 민감하고, 덜 민감한 지역은 여수(0.481), 부산(0.551) 그리고 울진(0.578) 순이었다. 지중열유동의 경우 홍천(-0.00509), 양평(-0.00494), 제천(-0.00476) 순으로 민감하고, 덜 민감한 지역은 부산(-0.00205), 서귀포(-0.00206) 그리고 통영(-0.00252) 순이었다.
FAO P-M식의 에너지항의 경우 홍천(0.8123), 부여(0.8117), 임실(0.8106) 순으로 민감하고, 덜 민감한 지역은 여수(0.478), 부산(0.549) 그리고 울진(0.576) 순이었다. FAO P-M식의 공기동력항의 경우 여수(0.522), 부산(0.451), 울진(0.424) 순으로 민감하고, 덜 민감한 지역은 홍천(0.1877), 금산(0.1883) 그리고 임실(0.1894) 순이었다. 56개 전 지역에서 에너지항이 공기동력항보다 더 민감한 것으로 나타났다. 연구지역 기상관측소 고도의 영향이 FAO P-M 기준증발산식에 미치는 민감도를 분석한 결과에 의하면 대관령(0.02922), 임실(0.01012), 제천(0.00943) 순으로 민감하고, 덜 민감한 지역은 포항(0.00004), 밀양(0.00037) 그리고 제주(0.00038) 순이었다. 56개 연구지역 중에서 대구는 최고기온과 풍속, 서귀포는 최저기온, 여수는 상대습도, 증기압부족 그리고 FAO P-M 식의 공기동력항, 부여는 일사량, 홍천은 순복사량, 지중열유동 그리고 FAO P-M 식의 에너지항, 대관령은 고도가 FAO P-M 식에 가장 민감한 지역으로 나타나서 지역별로 차이를 보였다.
Table 2.
Relative sensitivity estimates at 56 study stations
Bold and italicized numbers indicate the 1st, 2nd and 3rd maximum relative sensitivity value of each valriable; Bold numbers indicate the 1st, 2nd and 3rd minimum relative sensitivity value of each valriable; indicates maximum temperature (℃); indicates minimum temperature (℃); indicates wind speed (m/sec); indicates relative humidity (%); indicates solar radiation (); VPD indicates vapor pressure deficit (); indicates net radiation (); indicates ground heat flux (); indicates energy term of FAO P-M equation (mm/day); indicates aerodynamic term of FAO P-M equation (mm/day); ELV indicates elevation (m); indicates albedo.
3.3 지역별 FAO P-M 기준증발산식 민감도 군집화
Table 3은 56개 연구지역에서 11개 기상 및 고도를 이용하여 계산된 상대민감도 자료를 바탕으로 군집분석을 실시하여 유사한 특성을 보이는 연구지역끼리 5개의 군집으로 군집화한 결과를 보여준다.
Table 3에서 보여주는 바와 같이 최고기온을 대상으로 연구지역끼리 5개의 군집으로 군집화한 결과 군집 1에 속초가 포함되고, 군집 2에 대관령, 군집 3에 춘천을 포함한 50개 지역, 군집 4에 인천을 포함한 3개 지역, 군집 5에 대구가 포함되었다. 최저기온은 군집 1에 속초를 포함한 44개 지역, 군집 2에 대관령, 군집 3에 인천을 포함한 7개 지역, 군집 4에 여수와 성산포, 군집 5에 제주와 서귀포가 포함되었다.
평균풍속은 군집 1에 속초, 군집 2에 대관령을 포함한 4개 지역, 군집 3에 춘천을 포함한 46개 지역, 군집 4에 서울을 포함한 4개 지역, 군집 5에 대구가 포함되었다. 상대습도는 군집 1에 속초를 포함한 45개 지역, 군집 2에 대관령을 포함한 3개 지역, 군집 3에 인천을 포함한 3개 지역, 군집 4에 울진을 포함한 3개 지역, 군집 5에 군산과 성산포가 포함되었다. 일사량은 군집 1에 속초를 포함한 4개 지역, 군집 2에 대관령을 포함한 49개 지역, 군집 3에 서울이 포함되고, 군집 4에 부산이 포함되고, 군집 5에 여수가 포함되었다. 증기압부족은 군집 1에 속초를 포함한 15개 지역, 군집 2에 춘천을 포함한 36개 지역, 군집 3에 울진을 포함한 3개 지역, 군집 4에 부산, 군집 5에 여수가 포함되었다. 순복사량은 증기압부족과 동일한 군집화를 보였다. 지중열유동은 군집 1에 속초를 포함한 38개 지역, 군집 2에 대관령을 포함한 2개 지역, 군집 3에 춘천을 포함한 13개 지역, 군집 4에 부산과 서귀포, 군집 5에 양평이 포함되었다.
FAO P-M식의 에너지항과 공기동력항은 군집 1에 속초를 포함한 15개 지역, 군집 2에 춘천을 포함한 36개 지역, 군집 3에 울진을 포함한 3개 지역, 군집 4에 부산, 군집 5에 여수가 포함되었다. 고도는 군집 1에 속초를 포함한 44개 지역, 군집 2에 대관령, 군집 3에 원주를 포함한 8개 지역, 군집 4에 제천과 임실, 군집 5에 거창이 포함되었다. 11개 모든 요소들을 대상으로 56개 연구지역의 상대민감도를 군집화한 결과 군집 1에는 속초를 비롯한 8개의 지역, 군집 2에는 대관령, 군집 3에는 춘천을 비롯한 37개의 지역, 군집 4에는 인천을 비롯한 9개의 지역, 군집 5에는 여수가 군집에 포함되었다.
군집화 분석결과에 의하면 최고기온의 경우 우리나라 50개 지역, 최저기온의 경우 40개 지역, 풍속의 경우 46개 지역, 상대습도의 경우 45개 지역, 일사량의 경우 49개 지역, 증기압부족의 경우 36개 지역, 순복사량의 경우 36개 지역, 지중열유동의 경우 38개 지역, 에너지항과 공기동력항은 36개 지역, 고도는 44개 지역이 동일한 민감도 군집으로 포함되어서 요소 별로 대부분의 지역들이 동일한 민감도 특성을 보이는 것으로 나타났다. 특히 서산을 포함한 19개 지역이 모든 요소에서 동일한 민감도 군집에 포함되었다. 이들 연구지역들은 우리나라의 해안지역(서산, 보령, 장흥, 해남, 고흥)과 내륙지역(청주, 대전, 전주, 광주, 진주, 천안, 부여, 정읍, 남원, 구미, 영천, 합천, 밀양, 산청)에 분포해 있다. 반면에 속초는 모든 기상 요소들에서 다수의 군집에 포함되어 있지 않았고, 대관령은 순복사량을 제외하고 모든 기상 요소들에서 다수의 군집에 포함이 되어 있지 않았다.
Table 3.
Cluster membership between study stations
3.4 군집별 FAO P-M 기준증발산식 월별 민감도
56개 연구지역을 대상으로 11개 요소(최고기온, 최저기온, 풍속, 상대습도, 일사량, 증기압부족, 순복사량, 지중열유동, FAO P-M 기준증발산식의 에너지항, FAO P-M 기준증발산식의 공기동력항, 고도) 모두를 이용하여 군집화한 결과(Table 3)를 바탕으로 각 군집별로 1개 지역을 선정하여 지역별로 월별 민감도분석을 실시하였다(Table 4). 민감도분석을 위해서 선정된 지역은 군집 1의 대관령(Sta. 2), 군집 2의 서울(Sta. 4), 군집 3의 충주(Sta. 8), 군집 4의 울진(Sta. 10) 그리고 군집 5의 여수(Sta. 23)이다.
Table 4.
Monthly relative sensitivity estimates at 56 study stations
분석결과에 의하면 각 요소들이 기준증발산 산정에 미치는 민감도는 지역별, 월별로 다른 양상을 보였다. 최고기온의 경우 대관령은 5월에 가장 높은 민감도(RS=0.412), 2월에 가장 낮은 민감도(-0.008), 서울은 9월에 가장 높은 민감도(0.475), 1월에 가장 낮은 민감도(0.071), 충주는 10월에 가장 높은 민감도(0.464), 1월에 가장 낮은 민감도(0.092), 울진은 10월에 가장 높은 민감도(0.498), 1월에 가장 낮은 민감도(0.221), 여수는 9월에 가장 높은 민감도(0.472), 1월에 가장 낮은 민감도(0.068)를 보였다. 따라서 상대적으로 9, 10월에 가장 높은 민감도, 겨울철인 1, 2월에 가장 낮은 민감도를 보였다.
최저기온의 경우 대관령은 9월에 가장 높은 민감도(0.475), 1월에 가장 낮은 민감도(0.071), 서울은 8월에 가장 높은 민감도(0.239), 3월에 가장 낮은 민감도(-0.002), 충주는 8월에 가장 높은 민감도(0.215), 4월에 가장 낮은 민감도(0.024), 울진은 8월에 가장 높은 민감도(0.264), 12월에 가장 낮은 민감도(0.012), 여수는 8월에 가장 높은 민감도(0.232), 12월에 가장 낮은 민감도(-0.022)를 보였다. 따라서 대관령을 제외하고 모든 지역에서 여름철인 8월에 가장 높은 민감도를 보였고 반면에 1, 3, 4, 12월에 가장 낮은 민감도를 보였다.
풍속의 경우 대관령은 10월에 가장 높은 민감도(0.464), 1월에 가장 낮은 민감도(0.092), 서울은 1월에 가장 높은 민감도(0.370), 7월에 가장 낮은 민감도(0.110), 충주는 1월에 가장 높은 민감도(0.230), 8월에 가장 낮은 민감도(0.065), 울진은 12월에 가장 높은 민감도(0.418), 6월에 가장 낮은 민감도(0.035), 여수는 1월에 가장 높은 민감도(0.297), 7월에 가장 낮은 민감도(0.033)를 보였다. 따라서 대관령을 제외하고 다른 지역에서 겨울철인 1, 12월에 가장 높은 민감도, 여름철인 6, 7, 8월에 가장 낮은 민감도를 보였다.
상대습도의 경우 대관령은 12월에 가장 높은 민감도(-1.478), 5월에 가장 낮은 민감도(-0.751), 서울은 12월에 가장 높은 민감도(-0.919), 5월에 가장 낮은 민감도(-0.492), 충주는 12월에 가장 높은 민감도(-0.792), 8월에 가장 낮은 민감도(-0.290), 울진은 9월에 가장 높은 민감도(-1.079), 5월에 가장 낮은 민감도(-0.741), 여수는 12월에 가장 높은 민감도(-0.882), 9월에 가장 낮은 민감도(-0.422)를 보였다. 따라서 울진을 제외하고 겨울철인 12월에 가장 높은 민감도를 보였고, 5, 8, 9월에 낮은 민감도를 보였다.
일사량의 경우 대관령은 7월에 가장 높은 민감도(0.704), 12월에 가장 낮은 민감도(0.007), 서울은 7월에 가장 높은 민감도(0.667), 1월에 가장 낮은 민감도(0.017), 충주는 7월에 가장 높은 민감도(0.770), 12월에 가장 낮은 민감도(0.038), 울진은 7월에 가장 높은 민감도(0.715), 12월에 가장 낮은 민감도(-0.019), 여수는 7월에 가장 높은 민감도(0.777), 12월에 가장 낮은 민감도(-0.024)를 보였다. 따라서 5개 모든 지역에서 여름철인 7월에 가장 높은 민감도, 겨울철인 1, 12월에 가장 낮은 민감도를 보였다.
증기압부족의 경우 대관령은 12월에 가장 높은 민감도(0.721), 8월에 가장 낮은 민감도(0.178), 서울은 1월에 가장 높은 민감도(0.673), 7월에 가장 낮은 민감도(0.246), 충주는 1월에 가장 높은 민감도(0.418), 8월에 가장 낮은 민감도(0.138), 울진은 12월에 가장 높은 민감도(0.791), 7월에 가장 낮은 민감도(0.212), 여수는 1월에 가장 높은 민감도(0.528), 7월에 가장 낮은 민감도(0.142)를 보였다. 따라서 5개 모든 지역에서 겨울철인 1, 12월에 가장 높은 민감도, 여름철인 7, 8월에 가장 낮은 민감도를 보였다.
순복사량의 경우 대관령은 7월에 가장 높은 민감도(0.833), 12월에 가장 낮은 민감도(0.202), 서울은 7월에 가장 높은 민감도(0.781), 12월에 가장 낮은 민감도(0.236), 충주는 7월에 가장 높은 민감도(0.888), 12월에 가장 낮은 민감도(0.458), 울진은 7월에 가장 높은 민감도(0.826), 12월에 가장 낮은 민감도(0.156), 여수는 7월에 가장 높은 민감도(0.893), 12월에 가장 낮은 민감도(0.351)를 보였다. 따라서 5개 모든 지역에서 여름철인 7월에 가장 높은 민감도, 겨울철인 12월에 가장 낮은 민감도를 보였다.
지중열유동의 경우 대관령은 11월에 가장 높은 민감도(0.080), 8월에 가장 낮은 민감도(0.000), 서울은 12월에 가장 높은 민감도(0.117), 8월에 가장 낮은 민감도(-0.007), 충주는 12월에 가장 높은 민감도(0.173), 8월에 가장 낮은 민감도(-0.003), 울진은 11월에 가장 높은 민감도(0.061), 8월에 가장 낮은 민감도(-0.008), 여수는 12월에 가장 높은 민감도(0.154), 8월에 가장 낮은 민감도(-0.008)를 보였다. 따라서 11, 12월에 양의 최대 민감도를 6월과 8월에 음의 최소 민감도를 보였다.
FAO P-M식의 에너지항의 경우 대관령은 8월에 가장 높은 민감도(0.822), 12월에 가장 낮은 민감도(0.279), 서울은 7월에 가장 높은 민감도(0.754), 1월에 가장 낮은 민감도(0.327), 충주는 8월에 가장 높은 민감도(0.862), 1월에 가장 낮은 민감도(0.582), 울진은 7월에 가장 높은 민감도(0.788), 12월에 가장 낮은 민감도(0.209), 여수는 7월에 가장 높은 민감도(0.858), 1월에 가장 낮은 민감도(0.472)를 보였다. 따라서 여름철인 7, 8월에 가장 높은 민감도, 겨울철인 1, 12월에 가장 낮은 민감도를 보였다. FAO P-M식의 공기동력항의 경우 대관령은 12월에 가장 높은 민감도(0.721), 8월에 가장 낮은 민감도(0.178), 서울은 1월에 가장 높은 민감도(0.673), 7월에 가장 낮은 민감도(0.246), 충주는 1월에 가장 높은 민감도(0.418), 8월에 가장 낮은 민감도(0.138), 울진은 12월에 가장 높은 민감도(0.791), 7월에 가장 낮은 민감도(0.212), 여수는 1월에 가장 높은 민감도(0.528), 7월에 가장 낮은 민감도(0.142)를 보였다. 따라서 겨울철인 1, 12월에 가장 높은 민감도, 여름철인 7, 8월에 가장 낮은 민감도를 보였다. FAO P-M식의 에너지항과 공기동력항의 민감도는 대관령, 서울, 울진은 1, 2, 3, 11, 12월을 제외하고 에너지항이 더 민감하고, 충주는 모든 월에서 민감하였으며, 여수는 1월을 제외하고 에너지항이 더 민감하였다. 따라서 월별 민감도분석에 의하면 요소별 민감도는 각 지역에 따라서 계절적인 영향을 보이는 것으로 나타났다.
고도의 경우 대관령은 9월에 가장 높은 민감도(0.03859), 12월에 가장 낮은 민감도(0.02148), 서울은 1월에 가장 높은 민감도(0.00234), 8월에 가장 낮은 민감도(0.00142), 충주는 12월에 가장 높은 민감도(0.00757), 7월에 가장 낮은 민감도(0.00313), 울진은 6월에 가장 높은 민감도(0.00169), 12월에 가장 낮은 민감도(0.0002), 여수는 12월에 가장 높은 민감도(0.00238), 8월에 가장 낮은 민감도(0.00137)를 보였다. 따라서 연구지역의 고도의 경우 지역별, 계절별로 FAO P-M식에 서로 다른 민감도를 보였다.
4. 요약 및 결론
56개 연구지역을 대상으로 수행한 민감도 분석결과에 의하면 8개의 기상요소들(최고기온, 최저기온, 풍속, 상대습도, 일사량, 증기압부족, 순복사량, 지중열유동) 중에서 순복사량이 FAO P-M 기준증발산량 산정에 가장 민감한 요소인 것으로 나타났다. 다음으로 상대습도, 일사량, 최고기온, 증기압부족, 풍속, 최저기온 순으로 나타났다. 반면에 지중열유동이 가장 덜 민감한 요소로 나타났다. 상대습도와 지중열유동의 경우 음의 상대민감도를 보여서 다른 요소들과 다른 양상을 보였다. 이러한 연구결과는 FAO P-M 식을 이용하여 증발산량을 산정하는 경우 FAO P-M 식의 에너지항에 영향을 미치는 순복사량의 상대적 중요도가 가장 크다는 것을 의미하며, 과거 국내에서 수행된 연구에서도 유사한 연구결과가 발표된 바 있다. 반면에 지중열 유동의 경우 가장 덜 민감한 요소인 것으로 나타났는데 월별 자료를 이용하여 지중열유동을 산정하는 경우 FAO P-M 기준증발산량 산정에 중요도가 가장 낮은 것으로 판단된다. 지중열유동의 경우 일별이나 10일 간격의 자료를 이용하여 FAO P-M식을 적용하는 경우 무시할 수 있는 것으로 알려졌다.
분석결과에 의하면 56개 연구지역에서 대구의 경우 최고기온과 풍속, 서귀포는 최저기온, 여수는 상대습도와 증기압부족, 부여는 일사량, 홍천은 순복사량과 지중열유동, 대관령은 고도가 가장 민감한 요소로 나타났다. 따라서 연구지역별로 기상요소가 기준증발산량에 미치는 영향력이 다른 것으로 판단되며, 기준증발산량 변화를 반영한 수자원관리를 수행하는 경우 지역에 따른 기상요소들의 민감도 영향력 차이를 고려해야할 것으로 판단된다. 또한 기상요소가 기준증발산량에 미치는 계절적 영향을 분석한 연구에서는 5개 연구지역에서 순복사량, 일사량, 풍속, 그리고 증기압부족이 계절에 따라서 차이를 보여서 여름과 겨울에 다른 민감도를 보였다. 월별 민감도분석에 의하면 요소별 민감도는 각 지역에 따라서 계절적인 영향을 보이는 것으로 나타났고, 고도의 상대민감도는 지역 간 서로 다른 양상을 보였다. 따라서 FAO P-M 식 적용을 위해서는 입력자료의 지역적, 계절적 민감도 차이를 고려해야할 것으로 판단된다.
본 연구에서는 순복사량이 FAO P-M 식 산정에 가장 민감한 기상요소로 나타난 반면에 세계 다른 지역에서는 기온이나 상대습도, 혹은 증기압부족이 FAO P-M 기준증발산량 산정에 가장 민감한 요소인 것으로 나타났다. 우리나라와 유사한 기후특성을 보이는 중국 일부지역에서 수행된 연구사례에서는 본 연구결과와 유사하게 상대습도가 일사량보다 민감한 기후요소로 나타났으나, 중국 내 다른 지역에서는 일사량이 가장 민감한 기후요소로 나타나서 같은 중국에서도 기후요소가 증발산 민감도에 미치는 영향력이 다른 것으로 나타났다. 또한 본 연구의 결과에서도 56개 지역별로 각각의 기후요소가 FAO P-M 식 민감도에 미치는 정도가 차이가 나서 이에 대한 원인분석이 필요하며, 따라서 추후 연구에서는 연구지역의 지리 및 지형 특성자료를 추가적으로 수집하고 이에 대한 분석을 통하여 이들 특성이 민감도에 미치는 영향을 동시에 파악하는 것이 필요하다.






