1. 서 론
2. 재료 및 방법
2.1 LOADEST
2.2 다중회귀분석
2.3 편의보정
2.4 모형의 평가방법
2.5 대상지구 및 자료구축
3. 결과 및 고찰
3.1 오염부하량 회귀모형
3.1.1 T-N 부하량 회귀모형
3.1.2 T-P 부하량 추정 회귀모형
3.1.3 회귀모형 편의보정
3.2 회귀모형 매개변수 추정 식 개발
3.2.1 T-N 회귀모형 매개변수 추정 식
3.2.2 T-P 회귀모형 매개변수 추정 식
3.3 회귀모형 매개변수 추정 식 적용성 평가
3.3.1 T-N 부하량 추정 식 평가
3.3.2 T-P 부하량 추정 식 평가
4. 요약 및 결론
1. 서 론
우리나라의 수질개선사업은 관리가 용이한 점오염원 위주로 이루어져 왔으며, 그에 따라 점오염원에 의한 수질개선 효과는 지속적으로 증가하여 왔다. 그러나 점오염원 관리를 통해 하천의 목표수질을 달성하는 것은 한계에 다다른 상태이며, 이로 인해 비점오염원으로 인한 하천오염 부하율은 지속적으로 증가하고 있는 상황으로 2020년에는 약 72%에 달할 것으로 보고되고 있다(MOE, 2006; RMC, 2012).
비점오염원으로 인한 수질문제의 해결을 위해 정부는 4대강 비점오염원 종합대책, 제2차 비점오염원관리 종합대책, 수질오염총량관리제도 등을 수립하여 비점오염원 관리를 위한 지속적인 대책마련을 해오고 있다. 그 중 수질오염총량관리제도가 실시됨에 따라 기존의 배출되는 수질오염물질의 농도를 관리하는 것에서 벗어나 유역단위의 오염부하량 관리가 중요하게 되었으며, 유역단위의 목표수질 설정 및 할당부하량 산정을 위해 오염부하량을 예측하는 과정은 필수적인 과정으로 자리잡게 되었다(MOE, 2004).
오염부하량을 추정하는 방법으로는 원단위법, 수질모형을 이용한 모의, 유량-부하량 관계식에 의한 방법 등이 있다. 수질모형은 대부분 물리적 매개변수 기반 분포형 모형으로 오염물질의 기작 및 이송과정을 모의하고 파악할 수 있는 장점이 있다. 수질모형은 적용범위에 따라 포장단위 모형과 유역단위 모형으로 나뉘며, 유역단위 오염부하량 모의를 위해 자주 사용되는 수질모형은 HSPF (Hydrological Simulation Program-Fortran)(Donigian et al., 1984), SWAT (Soil and Water Assessment Tool)(Arnold et al., 1998), AGNPS (AGri-cultural Non-Point Source)(Young et al., 1989), SWMM (Storm Water Management Model)(Huber and Dickinson, 1988) 등이 있다(Kang et al., 2009; Jeong, 2014). 이들 수질모형은 수문사상과 대상지역에 따라 적합한 모형이 선택되어 사용되며, 유역 내 다양한 시나리오를 적용하여 오염부하량의 변동을 모의하는 연구가 다수 진행되고 있다(Shen et al., 2013; Zhang et al., 2013; Que et al., 2015; Kang et al., 2009; Jung et al., 2013; Kim and Kim, 2014). 이와 같은 유역수질모형은 구체적인 수문/수질 모의과정을 묘사할 수 있으나, DEM, 토지이용 등 공간분포형 입력자료로 인한 많은 매개변수는 모의 과정을 복잡하게 하며, 보정 과정에 있어 많은 시간과 노력을 요구하는 단점이 있다.
수질모형에 비해 비교적 간단하게 오염부하량을 추정하는 방법으로 원단위법이나 유량-부하량 관계식과 같은 통계적 분석에 의한 회귀식이 사용된다. 회귀식은 실측된 유량 및 수질 데이터를 통계분석하여 산정되며, 수문모델이나 실측을 통해 구축된 유량자료를 회귀식에 대입하여 모의함으로써 산정한다(Eom, 2004). 오염부하량을 모의하는 회귀식은 다양한 형태가 존재하며, 최근에는 LOADEST (LOAD ESTimation)를 이용하여 회귀식을 개발하는 연구가 증가하고 있다. LOADEST는 미국 USGS (United States Geological Survey)에서 개발한 회귀식 기반 프로그램으로 다양한 연구자들에 의해 이용되고 평가되고 있다. 국외에서는 Carey et al. (2011), Jha et al. (2013), Das et al. (2013) 등이 적용성을 검토한 사례가 있으며, 국내에서는 Shin et al. (2009), Park et al. (2014)이 적용성을 검토한 바 있다. 그러나 이들 회귀식은 특정 유역을 대상으로 개발된 모형으로 수문·수질 자료가 없는 미계측 유역에 적용하는 것에는 어려움이 있다. 미계측 유역 오염부하량 산정을 위해 Tasker and Driver (1986)는 미국의 도시유역을 대상으로 토지이용 및 기후특성을 고려한 강우시 오염부하량 모의 회귀식을 개발한 바 있으나, 이를 제외하고는 국내외적으로 오염부하량 회귀식을 미계측 유역에 적용한 연구사례는 부족한 상황이다.
본 연구에서는 미계측 유역에서 오염부하량 모의를 위해, 유역별로 LOADEST 기반 회귀식의 최적 매개변수를 추정하고, 다중회귀분석 기법을 이용하여 유역특성자료를 통한 회귀 모의 모형의 매개변수 추정 방법을 개발하여, 개발된 매개변수 추정 방법을 통해 오염부하량을 모의하여 적용성을 평가하고자 한다.
2. 재료 및 방법
Fig. 1은 본 연구의 흐름도를 나타내고 있다. 오염부하량 추정 회귀모형을 개발하기 위하여 수질오염총량관리제도의 총량단위유역 말단의 유량 및 수질자료를 이용하여 LOADEST 기반 최적 회귀모형을 선정하고 구축하였으며, 미계측 유역 적용을 위해 다중회귀분석을 이용하여 회귀모형 매개변수 추정 다중회귀식을 개발하고 적용성을 평가하였다.
2.1 LOADEST
LOADEST는 하천의 오염부하량을 예측하기 위해 미국 USGS (United States Geological Survey)에서 개발된 회귀식 기반 프로그램으로, 실측된 유량과 수질자료를 이용하여 프로그램에 내재된 오염부하 추정 회귀식의 매개변수를 보정하여 사용자가 최적 회귀 모델을 선택할 수 있도록 하는 모형이다(Runkel et al., 2004). LOADEST에는 11가지의 회귀식이 입력되어 있으며(Table 1), 각 회귀식의 독립변수는 유량과 decimal time으로 구성되어 있다.
LOADEST 모형은 회귀식의 매개변수를 산정하는데 있어서 MLE (Maximum Likelihood Estimation), AMLE (Adjusted Maximum Likelihood Estimation), LAD (Least Absolute Deviation) 방법을 사용한다. MLE와 AMLE 방법은 보정된 모델의 잔차가 정규분포를 따를 때 사용하는 방법이며, LAD 방법은 그렇지 않을 경우 사용한다. 또한 MLE와 AMLE는 모형의 보정에 사용된 유량 또는 수질자료의 이상치 수정여부에 따라 분류되며, 수정이 이루어진 경우 AMLE를 사용하며 그렇지 않은 경우 MLE 방법을 사용한다. 각 모의방법에 대한 설명은 Helsel and Hirsch (2002)와 Runkel et al. (2004)에 상세히 기술되어 있다. 본 연구에서는 특정 기간에 대한 오염부하를 예측하는데 사용되는 10, 11번 회귀식을 제외하고 9개의 회귀식으로 모의하였으며, 매개변수와 유역특성과의 상관관계가 없는 것으로 나타난 sin (dtime) 및 cos (dtime)항이 포함되지 않은 1, 2, 3, 5 회귀식을 우선 선정하였다. 이 후 모의치와 실측치의 비교를 통해 통계적 변량이 높은 오염물질별 최적의 회귀식을 선정하였으며, 대상유역별로 최적 회귀식의 매개변수를 정리하였다.
2.2 다중회귀분석
회귀분석은 한 변수를 종속변수(Dependent variable)로 그리고 다른 변수를 독립변수(Independent variable)로 하여 이들 간의 관계를 분석하는 것을 말하며, 다중회귀분석(Multiple Regression Analysis)은 독립변수가 두 개 이상인 경우로 하나인 경우에 비해 추정능력을 높일 수 있는 장점을 갖고 있다. 다중회귀분석을 실시할 때 독립변수를 택하는 방법은 주로 동시입력방식(enter)과 단계입력방식(stepwise)이 사용되며, 본 연구에서는 단계입력방식을 사용하여 LOADEST 모형 회귀변수를 종속변수로, 유역특성을 독립변수로 하는 회귀분석을 수행하였으며, 회귀분석에는 IBSS SPSS Statistics 22 (SPSS, Inc., 2013)를 이용하였다.
2.3 편의보정
수문순환 과정은 매우 복잡하게 이루어져 있으며, 이를 해석하기 위해 다양한 수문모형이 사용되고 있으나, 실측치와 비교하여 정확하게 모의하는 것은 불가능하며, 여러 오차가 존재할 수밖에 없다. 이러한 오차를 편의라고 할 수 있으며, 다양한 편의보정(Bias correction) 방법을 통해 모의치에서 발생하는 오차를 줄일 수 있다.
본 연구에서는 대표적인 편의보정 방법 중 하나인 분위사상법(Quantile mapping)을 이용하여 모의치를 편의보정 하였다. 분위사상법은 실측치와 모의치의 경험적인 확률분포를 이용하여 모의치의 누적확률분포를 실측치의 누적확률분포에 사상시키는 방법으로 Eq. (1)과 같이 나타낸다(Gudmundsson et al., 2012).
(1)
여기서,
는 실측치의 누적확률분포를,
는 모의치의 누적확률분포를,
는 모의치를 의미하며,
는 사상된 결과를 말한다.
분위사상법을 적용하기 위해서는 실측치에 적합한 누적확률분포를 택하여 적용해야 하나, 대부분 강우사상에 대해서만 적용하여 분포를 제시하여 왔으며, 오염부하량은 기존 문헌에서 제시된 확률분포를 그대로 적용하는 것에는 어려움이 있으므로, 본 연구에서는 연구대상지의 오염부하량 실측치를 이용하여 확률분포를 만들고 적용하였다.
2.4 모형의 평가방법
회귀모형에 의해 모의된 부하량을 평가하는 방법으로는 결정계수(coefficients of determination, R2), NSE (Nash- Sutcliffe Efficiency), RSR (Root mean Square error-obser-vation standard deviation Ratio), PBIAS (Percent BIAS)를 사용하였다.
위의 통계적 변량에 대한 모형의 적합성은 Table 2의 Moriasi et al. (2007)가 제안한 월 단위 모의에 대한 기준을 사용하였다. 일반적으로 월 단위에 비해 일 단위 모의 결과가 실측치를 잘 반영하지 못하므로 본 연구에서는 좀 더 낮은 통계적 변량에서도 모의치를 적용 가능할 것으로 판단하였다.
2.5 대상지구 및 자료구축
대상유역은 수질오염총량관리제도의 총량단위유역의 수질측정지점을 대상으로 하였으며, 수계별로 한강 36개, 금강 16개, 낙동강 23개, 영산강 6개로 총 81개의 지점을 선정하였다. 또한, 개발된 회귀식의 적용성 평가를 위해 4대강 수계별로 각각 총 4개 유역의 수질측정지점을 선정하여 검증을 실시하였다.
대상유역의 유출량 및 수질자료는 환경부 물환경정보시스템(Water Information System, WIS)을 통해 수질오염총량제가 실시된 2004년부터 7~10일 단위로 측정된 자료를 수집하였으며, 지점별로 최소 329개에서 최대 497개의 자료를 이용하였다. 사용된 수질 및 유량자료의 기술통계량을 분석하였으며, Fig. 2는 지점별 기술통계량 분석결과의 범위를 나타내고 있다. Fig. 3은 대상유역 말단에 위치한 유량 및 수질측정망을 나타내고 있다.
LOADEST 모형 회귀변수 추정에 사용될 유역특성 추출을 위해 1:25,000 국토지리정보원 수치지도, 농촌진흥청의 1:25,000 정밀토양도 및 환경부 중분류 토지피복도(2013)를 이용하여, 유역특성 자료와 토지이용현황을 구축하였다. 유역특성인자는 매개변수의 다중회귀분석에 활용하였으며, 유역면적, 토지이용현황, 불투수면 비율, 유로연장을 추출하여 사용하였다. 불투수면 비율은 Kim (2009)에 의해 사용된 방법에 따라, 시가지 및 시설재배지를 불투수 지역으로 분류하고, 시가지의 불투수율을 60%, 시설재배지의 불투수율을 90%로 적용하여 불투수면적 및 불투수면적 비율을 산정하였다.
3. 결과 및 고찰
3.1 오염부하량 회귀모형
유역별로 LOADEST의 9개 모형에 대해 오염부하량 추정 회귀모형을 구축하였다. 회귀모형의 구축에는 2004년부터 2014년까지의 유량자료와 수질자료를 입력 자료로 사용하였으며, 이상치는 보정을 하였다. 회귀모형의 매개변수는 입력 자료가 보정되었기 때문에, AMLE 방법으로 결정된 매개변수를 사용하였으며, 부하량 모의결과 모의치와 실측치간의 잔차가 정규분포를 이루지 않는 경우에 대해 LAD 방법에 의해 결정된 매개변수를 사용하였다.
도출된 회귀모형으로 모의한 결과 모형별로 통계적 변량의 차이는 있었으나 9개의 회귀식 모두 비교적 실측치를 잘 반영하여 매개변수가 도출된 것으로 나타났다. 유역특성과 매개변수 사이의 관계를 분석하고, 유역특성 값과 관련이 있는 독립변수가 포함된 회귀모형을 선정하기 위해 도출된 매개변수와 유역특성간의 상관분석을 수행하였다. 분석결과 sin (dtime)과 cos (dtime)이 종속변수인 항의 매개변수는 각각의 유역특성과 상관성이 없는 것으로 나타나, 본 연구에서는 이 변수가 포함되지 않은 1, 2, 3, 5번 모형 중 오염물질별로 통계적 변량이 높게 나타난 5번과 3번 모형을 각각 T-N과 T-P의 적정모형으로 선정하였다. 한편, Park et al. (2015)은 한강 유역을 대상으로 LOADEST를 이용하여 부유사 모의를 수행한 바 있으며, 1번과 3번 모형의 적용성이 높다고 평가한 바 있다.
3.1.1 T-N 부하량 회귀모형
Fig. 4(a)는 모든 대상유역에서 LOADEST 5번 회귀모형으로 모의한 T-N 부하량의 모의치와 실측치의 산포도를 나타내고 있다. 실측치 기반으로 산정된 매개변수에 의해 모의된 값의 통계적 변량은, R2 0.65~0.99, NSE 0.01~0.99, RSR 0.12~0.97, PBIAS -86.46~16.77의 범위로 나타나 대부분의 유역에서 모의치가 실측치를 반영하여 모의되는 것으로 나타났다. Moriasi et al. (2007)에 따르면 월 단위 유출량 자료의 모의시 NSE가 0.50 이상, RSR이 0.70 이하일 때, 모의결과가 만족스럽다고 보고한바 있으며, 일반적으로 모형의 모의결과는 시간간격이 짧을수록 모의치가 통계적 변량이 낮게 나타난다고 보고된 바 있다(Engel et al., 2007). 본 연구에서는 일 단위의 수질자료에 대해 통계적 변량을 산정하였으므로 보다 낮은 통계적 변량으로도 모형이 실측치를 잘 반영하였다고 판단하였다. 한편, Park et al. (2015)은 LOADEST 모형을 이용하여 부유사 모의결과 회귀식 1, 3번을 적용할 때 실측치와 가장 유사하게 모의되는 것으로 나타나며, 이 때 회귀식 1번의 R2은 0.11~0.99, NSE는 -1.33~0.99로 나타나며, 3번은 R2 0.13~0.99, NSE -1.74~0.99로 나타난다고 보고한 바 있다. 또한, LOADEST에 의한 T-N 부하량 추정결과 모의치는 실측치에 비해 과소모의 되는 경향성을 갖는 것으로 나타났으며, 이는 Morse et al. (2014)에 의해서 보고된 바 있다.
3.1.2 T-P 부하량 추정 회귀모형
Fig. 4(b)는 연구대상지 전체 유역의 T-P 부하량 모의치와 실측치의 산포도를 나타내고 있다. 모의결과 통계적 변량은 R2 0.42~0.96로, NSE 0.22~0.91, RSR 0.30~0.88, PBIAS -65.05~-2.13으로 나타나, 일부 유역에서 다소 낮은 통계적 변량을 나타내었으나, 선행연구(Moriasi et al., 2007; Park et al., 2015)의 범위 안에서 보고되고 있어 유역별로 추정된 최적매개변수를 적용하는 것이 가능할 것으로 사료되었다.
한편, T-N과 마찬가지로 실측치에 비해 모든 유역에서 과소모의 되는 것으로 나타났으며, 차이가 크게 나타나 보다 정확한 모의를 위해서는 모의치의 보정이 필요할 것으로 사료되었다.
3.1.3 회귀모형 편의보정
LOADEST의 회귀식은 일반적으로 실측치에 비해 오염부하량을 과소 모의하는 경향이 있는 것으로 보고되고 있으며, 본 연구에서도 실측치에 비해 과소 모의되는 것으로 나타났다. 본 연구에서는 실측치와 모의치의 차이를 보정하기 위해 편의보정(bias correction) 방법을 적용하고자 하였으며, 그 중 분위사상법(Quantile mapping)을 이용하였다.
분위사상법을 적용하기 위한 실측치의 확률분포는 경험적 누적확률분포(empirical CDF)를 이용하였으며, 모든 대상 유역의 실측치와 모의치를 이용하여 편의를 보정하고, 각 유역에 확률분포를 적용하여 모의치를 재 보정하였다.
Fig. 4는 81개 유역의 모의치를 편의보정한 결과와 실측치의 산포도를 나타내고 있으며, Figs. 5 and 6은 유역별 편의보정된 모의치와 보정전 모의치의 통계적 변량을 나타내고 있다. T-N, T-P 모두 기존에 비해 상관계수가 증가하여 모의치가 실측치를 더 잘 반영하는 것으로 나타났다. 통계적 변량은 T-N의 경우 R2 0.63~0.98, NSE 0.06~0.98, RSR 0.15~0.97, PBIAS -82.27~36.02로 나타났으며, T-P는 R2 0.42~0.96, NSE -0.04~0.93, RSR 0.26~1.02, PBIAS -50.97~32.74로 나타났다. T-N, T-P 모두, R2, NSE, RSR은 편의보정 전에 비해 큰 변화가 나타나지 않았으나, PBIAS의 경우 모든 유역에서 증가하여, 편의보정에 의해 모의치가 과소모의 되는 경향이 다소 사라지는 것으로 나타났다. 하지만, T-N의 경우 RSR과 PBIAS를 통해 일부 유역에 대해서 편의보정에도 불구하고 실측치에 비해 과소모의 되는 경향이 지속되는 것으로 나타났다.
3.2 회귀모형 매개변수 추정 식 개발
3.2.1 T-N 회귀모형 매개변수 추정 식
유역특성을 고려한 회귀식 매개변수 추정을 위해 유역특성인자를 독립변수로, LOADEST에 의해 결정된 회귀식의 최적 매개변수를 종속변수로 하여 다중회귀분석을 실시하였다. 다중회귀분석은 단계입력방식을 이용하여 분석하였으며, 상관성이 큰 독립변수가 먼저 선택되어 회귀식의 독립변수로 포함되고, 반복과정에서 상관성이 떨어지는 변수 및 공선성이 발생하는 변수는 제외되었다.
Table 3은 다중회귀분석에 사용된 유역특성인자와 회귀식의 최적 매개변수 사이의 Pearson 상관분석 결과를 나타내고 있으며, 종속변수인 매개변수는 LOADEST의 5번 회귀식의 매개변수이다. Table 4는 다중회귀분석에 의해 개발된 매개변수 추정 회귀식과 상관계수 및 결정계수를 나타내고 있으며, Table 5는 개발된 회귀식의 통계적 적정성 판정결과를 나타낸다. 개발된 회귀식은 매개변수에 따라 다른 유역특성에 대해 상관성을 나타내었으나, 공통적으로 불투수면과 관련하여 높은 상관성을 보였으며, 2가지 또는 3가지의 유역특성을 반영하여 회귀식이 완성되었다. 개발된 회귀식의 결정계수는 0.256~0.725의 범위로, 상관계수는 0.506~0.852의 범위로 나타났다. 다소 낮은 상관성을 갖는 회귀식이 있었으나, 유출량 모의에서 Kim et al. (2000)은 TANK 모형의 매개변수를 유역특성에 따라 다중회귀 분석하여 0.42~0.99의 상관계수를, Ahn et al. (2015)은 유역경사에 따른 TANK 모형 매개변수 추정 회귀식을 개발함에 있어서 0.40~0.79의 상관계수를 갖는다고 보고한 바 있어, 본 연구에서 개발된 회귀식의 상관계수가 타당성이 있다고 판단하였다.
개발된 회귀식을 적용하여 매개변수를 산정하고 모의한 결과 R2는 0.64~0.98, NSE는 -0.34~0.97, RSR은 0.19~1.16, PBIAS는 -67.64~132.65의 범위로 나타났다. 대부분의 유역에서 모의결과는 실측치의 경향성을 잘 모의하는 것으로 나타났으며(Moriasi et al., 2007), 일부유역에서 통계적 변량이 낮게 나타났으나, LOADEST의 선행연구범위에 속하는 것으로 나타났으며, 일 단위의 모의가 진행되었기 때문에 Moriasi et al. (2007)에 의해 제안된 통계적 변량에 비해 낮은 값을 나타내더라도 회귀식이 적절하게 매개변수를 산정하였다고 판단하였다.
3.2.2 T-P 회귀모형 매개변수 추정 식
T-P 회귀식 매개변수 추정을 위한 회귀식은 T-N과 같은 방식으로 실시하였으며, Table 6은 유역특성인자와과 T-P 회귀식 최적매개변수 사이의 Pearson 상관분석 결과이며, 종속변수인 매개변수는 LOADEST 3번 회귀식의 매개변수이다. Table 7은 개발된 매개변수 추정 회귀식과 상관계수 및 결정계수를 나타내고 있으며, Table 8은 개발된 회귀식의 통계적 적정성 판정결과를 나타낸다.
T-N과 마찬가지로 매개변수에 따라 다른 유역특성에 대해 상관성을 나타내었으며, 불투수면에 대해 높은 상관성을 갖는 것으로 나타났다. T-P 매개변수 추정 회귀식은 3개의 유역특성을 고려하여 개발되었으며, 결정계수는 0.507~0.766의 범위로 T-N 보다는 다소 높은 범위를 갖는 것으로 나타나 개발된 회귀식의 적용이 가능할 것으로 사료된다.
개발된 회귀식을 적용하여 매개변수를 산정하고 모의한 결과 R2는 0.47~0.96, NSE는 -0.47~0.93, RSR은 0.26~1.21, PBIAS는 -81.46~134.74의 범위로 나타났다. T-N에 비해 일부 유역에서 통계적 변량이 선행 연구에서 벗어나는 것으로 나타났는데 고수위자료가 많이 있는 유역에서 통계적 변량이 낮게 나타났다. 그러나 고수위 자료를 제외하고 모의결과는 실측치의 경향성과 크기를 잘 모의하는 것으로 나타나 매개변수 추정에 회귀식의 적용이 가능할 것으로 판단하였다.
3.3 회귀모형 매개변수 추정 식 적용성 평가
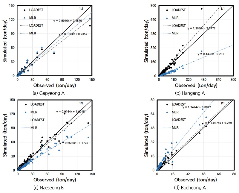
개발된 오염부하량 추정 회귀식의 적용성 평가를 위해 4대강 수계별로 1개씩 가평A, 한강A, 내성B, 보청A를 대상유역으로 선정하고, 다중회귀식을 통해 산정된 매개변수로 오염부하량을 모의하였다. 모의 결과는 실측치 및 LOADEST 기반 모의결과와 비교하였다.
3.3.1 T-N 부하량 추정 식 평가
Table 9는 다중회귀분석을 통해 개발된 회귀식을 이용하여 산정한 매개변수와 LOADEST 모형을 이용하여 추정한 매개변수를 나타내고 있다. 한편, Fig. 7은 실측치와 모의치 간의 산포도를 나타내고 있다.
모의결과 LOADEST의 통계적 변량은 R2 0.92~0.97, NSE 0.83~0.97, RSR 0.18~0.42, PBIAS 9.20~19.59로 나타났으며, 다중회귀분석 결과로부터의 통계적 변량은 R2 0.93~0.97, NSE 0.59~0.95, RSR 0.22~0.64, PBIAS -56.85~88.71로 나타났다. 통계적 변량을 통해 LOADEST 모형을 이용하여 추정한 회귀매개변수가 실측치에 더 가까운 모의를 하는 것으로 나타났으나, 회귀식에 의한 결과 또한 Moriasi et al. (2007)이 제안한 통계적 변량의 범위에 속하여 모의치가 실측치를 잘 반영하는 것으로 나타났다.
3.3.2 T-P 부하량 추정 식 평가
Table 10은 다중회귀분석을 통해 개발된 지역화식을 이용하여 산정한 회귀매개변수와 LOADEST 모형을 이용하여 추정한 회귀매개변수를 나타내고 있다. 한편, Fig. 8은 실측치와 모의치 간의 산포도를 나타내고 있다.
모의결과 LOADEST의 통계적 변량은 R2 0.69~0.93, NSE 0.55~0.89, RSR 0.33~0.67, PBIAS -27.36~27.67로 나타났으며, 다중회귀분석 결과로부터의 통계적 변량은 R2 0.64~0.93, NSE 0.54~0.87, RSR 0.36~0.68, PBIAS -51.06~38.00으로 나타나, LOADEST 모형을 이용하여 추정한 회귀매개변수가 실측치에 더 가까운 모의를 하는 것으로 나타났다. T-N에 비해 모의의 정확도가 떨어지는 것으로 나타났으나, 회귀식에 의한 모의치 또한 실측치를 잘 반영하는 것으로 나타났다.
4. 요약 및 결론
본 연구에서는 미계측 유역의 오염부하량 추정을 위해 수질 및 유량이 측정되고 있는 수질오염총량관리제도의 총량단위유역 81개를 대상으로 LOADEST 회귀모형의 유역별 최적 매개변수를 추정하고, 다중회귀분석을 이용하여 토지이용, 유역면적, 유로연장 등 유역특성인자에 따른 회귀모형의 매개변수 추정방법을 개발하였다. 또한, 개발된 방법을 시범유역에 적용하여 적용성을 검토하였다.
본 연구의 결과를 요약하면 다음과 같다.
1)실측치의 경향을 가장 잘 반영한 회귀모형으로 T-N은 LOADEST의 5번 회귀모형, T-P는 3번 회귀모형인 것으로 나타났다. 유역별로 선택된 회귀모형의 매개변수를 도출하고, 오염부하량을 모의하였다. 모의결과 T-N, T-P 모두 통계적 변량이 적절한 범위로 나타나 LOADEST 기반의 회귀모형과 매개변수가 실측치를 잘 반영하여 모의할 수 있는 것으로 나타났다.
2)그러나 두 물질 모두 오염부하량이 과소 모의되어 실측치와 편의가 발생하는 것으로 나타나 분위사상법을 이용하여 모의치를 편의보정 하였다. 편의보정 결과 R2, NSE, RSR은 큰 변화가 나타나지 않았으나, PBIAS는 대부분의 유역에서 증가하여, 편의보정에 의해 모의치가 과소모의 되는 경향이 다소 사라지는 것으로 나타났다.
3)유역특성과 매개변수간의 다중회귀분석을 실시하여 매개변수 추정 회귀식을 개발하였으며, 개발된 회귀식을 적용하여 오염부하량을 모의하였다. 모의결과 일부 유역을 제외하고 다중회귀분석에 의해 도출된 회귀식이 매개변수 추정에 적용가능 한 것으로 나타났다.
4)개발된 매개변수 추정방법과 LOADEST를 이용하여 시범유역을 대상으로 개발된 회귀식의 적용성을 검토하였으며, 모의 결과의 통계적 변량이 적용 가능한 범위에 있는 것으로 나타나 미계측 유역의 오염부하량 산정에 회귀식을 적용하는 것이 가능할 것으로 나타났다.
5)본 연구에서 개발된 매개변수 추정방법은 통계적 변량을 통해 실측치를 잘 반영하여 모의되는 것으로 나타났으며, 실측치기반 매개변수에 의해 모의된 값과 유사한 모의 능력을 보이는 것으로 나타나, 오염부하량 모의에 있어 적용 가능할 것으로 사료된다. 또한, 본 연구에서 개발된 매개변수 추정방법과 LOADEST 회귀모형은 향후 오염총량제도 계획수립 대상유역의 연간 오염부하량 예측과 정책결정을 위한 스크린 모델로서 활용할 수 있을 것으로 사료된다.




















