1. 서 론
2. 연구방법
2.1 가뭄의 정의
2.2 코플라(Copula) 함수
2.3 이변량 가뭄 재현기간
3. 적용 및 결과
3.1 이변량 결합 재현기간 산정
3.2 조건부 코플라 함수
3.3 우리나라 가뭄 위험도 산정
4. 결 론
1. 서 론
우리나라는 연강우량의 70%가 여름철에 집중되어 있으며, 여름철 강우 중 50-70%는 장마기간에 내리는 기후학적 특성을 갖고 있다. 따라서 여름에 내린 비가 우리나라의 가용 수자원의 주요 공급원이며 이것을 저장하여 다음해 여름까지 사용하게 된다. 이러한 수문기상학적 특성과 용수공급시스템으로 인해 마른장마가 발생했을 때 봄철에 용수부족 문제가 심각하게 나타난다. 1981-82년에는 전국에 걸쳐 연평균강우량에 비해 약 200 mm 적은 강우량을 나타냈으며, 특히 전국적으로 평년에 비해 여름철 강우량이 매우 부족하여 저수율이 27%에 달하여 제한급수를 실시하였다. 1994년 발생했던 가뭄의 경우 5, 6, 7월의 강우량이 231.3 mm로 평년보다 크게 낮아 저수율이 15%까지 떨어지면서 영호남지방에서 매우 극심한 농작물 피해를 겪었다(Ministry of Construction and Transportation, 1995). 2014-15년 발생한 가뭄 또한 이러한 맥락으로 이해될 수 있다. 2014년 7월에 마른장마로 인해 강원, 경기, 일부 충청지역의 강우량이 평년대비 50-60% 수준으로 생활용수의 제한급수가 시행되었다. 특히 소양강댐은 2015년 6월 153.21 m (저수율 26.8%), 보령댐은 2015년 11월 57.98 m (저수율 25.5%)의 기록적인 최저수위를 기록하였다. 이는 예년대비 약 55%에 해당하는 저수량으로 과거의 가뭄사상보다 더 극한가뭄으로 평가받았다.
극심한 가뭄현상으로 인해 우리나라의 가뭄대응능력의 한계가 드러나면서 가뭄대책마련의 필요성이 크게 대두되었다. 홍수의 경우 댐을 비롯한 수공구조물의 설계 및 운영에 있어 빈도개념을 도입하고 있는 것에 반하여 가뭄은 빈도해석을 통한 정량적인 평가가 이루어지고 있지 않는 실정이다. 과거의 가뭄해석방법으로 갈수빈도해석이 홍수빈도해석과 비슷한 절차에 의해 지속기간별 매년 최저 유량을 선별하여 최저 평균유량 계열을 이용해 빈도해석이 이루어졌다. 그러나 가뭄사상에 대한 명확한 기준 없이 연최저유량을 사용하였기 때문에 가뭄의 심도에 대한 정량적인 평가가 이루어지지 못했다. 이러한 한계를 보완하기 위해 다양한 수문자료를 적용하여 가뭄을 정의하고 가뭄의 지속기간, 심도, 강도 등을 변수로 하는 가뭄빈도해석방법이 제안되었다. 그러나 가뭄은 홍수와 달리 진행속도가 느리기 때문에 심도뿐 아니라 지속기간이 가뭄사상의 특성을 반영하는데 큰 영향을 미치며 이 두 가지 변량의 결합분포함수를 이용해야 신뢰성 있는 재현기간을 산정할 수 있다(Shiau, 2006).
이변량 가뭄빈도해석방법을 통해 실질적인 가뭄 대책의 기준을 마련하기 위하여 국내외에서 다양한 연구가 이루어져 왔다. Lee and Kim (2011)은 가뭄빈도해석을 통해 가뭄심도-지속기간-빈도 곡선(Severity-Duration-Frequency Curve)을 유도하여 과거 가뭄사상을 정량적으로 평가하였으며, Halwatura et al. (2015)은 SDF 곡선을 조기 위험평가와 확률가뭄량 산정에 이용할 수 있는 가능성을 제시하였다. Ganguli and Reddy (2012)는 조건부 재현기간을 이용하여 가뭄 위험도를 산정하였으며, Yoo et al. (2015)은 기후변화시나리오 자료를 활용하여 미래가뭄위험도를 예측하고 우리나라의 가뭄취약지역을 평가하였다.
코플라 함수는 수문변수 간의 상관관계를 잘 반영하기 때문에 수문빈도해석 과정에서 이변량 결합분포함수를 추정할 때 최근 자주 사용되고 있다. Yoo et al. (2013)은 과거 최대 가뭄사상의 이변량 재현기간을 고려하여 우리나라의 가뭄 위험도를 산정한 바 있다. 본 연구에서는 Yoo et al. (2013)에서 제안된 방법론을 적용하여 최근 발생한 2014-15년 가뭄을 이변량 가뭄빈도곡선을 이용하여 평가하였다. 또한 조건부 결합확률밀도함수로 지속기간에 따른 심도의 비초과확률을 이용하여 가뭄의 임계심도를 산정하였다. 이변량 빈도해석의 결과로서의 재현기간은 가뭄발생확률과 직접적으로 연관되어 있으며 설계년도 이내에 임계값보다 같거나 큰 지속기간 또는 심도를 갖는 가뭄이 발생할 확률로써 수문학적 위험도를 나타낼 수 있다. 따라서 지속기간별 임계심도에 따른 우리나라 가뭄 위험도를 산정할 수 있으며 이를 확률지도 형태로 나타내었다.
2. 연구방법
2.1 가뭄의 정의
가뭄에 대한 예방과 대응 그리고 용수관리를 위한 목적으로 가뭄은 기상학적 가뭄, 농업적 가뭄, 수문학적 가뭄, 사회경제적 가뭄으로 분류되며 각각 강수량, 토양수분량, 하천유량 및 저수량에 대한 서로 다른 판단기준을 갖는다(American Meteorological Society, 2013). 가뭄은 일반적으로 물이 정상보다 낮은 상태가 지속되는 기간으로 정의되며 가뭄의 시작과 끝을 정의하는 방법으로 Yevjevich (1967)가 제안한 연속분석방법이 가장 많이 사용되며 효율적인 방법으로 알려져 있다. 연속분석방법은 수문변량을 시계열로 나타내어 가뭄을 정의하고 설명하는 방법이다. 다양한 수문학적 변수를 사용할 수 있으나 가뭄은 일반적으로 강수량의 부족으로 발생하기 때문에 강수 부족량은 가뭄을 정량화할 수 있는 가장 기본적인 지표이다. 따라서 본 연구에서는 가뭄을 정의하기 위해 우리나라의 기상청 산하 56개 관측소에서 43년(1973-2015) 동안 기록된 강수자료를 이용하였다.
본 연구에서는 연속분석방법에 따라 강수량이 절단수준인 평균 강수량보다 낮아져 강수 부족량이 발생하는 시점을 시작으로 평균 강수량보다 높은 강수사상이 발생되는 순간까지로 정의하였다. 가뭄 지속기간(duration)은 가뭄사상이 지속된 기간을 나타내며, 가뭄 심도(severity)는 가뭄사상 동안 강수 부족량의 총합을 의미한다. 따라서 절단수준이 되는 월평균 강수량이 가뭄의 정의에 중요한 역할을 하게 되며 본 연구에서는 월평균 강수량의 60-100%의 범위에서 표준강수지수(Standardized Precipitation Index, 이하 SPI)와 실제 가뭄사상의 반영 여부를 비교하여 절단수준을 설정하였다. Fig. 1은 SPI와 월평균 강수량과 월평균 강수량의 80%를 각각 절단수준으로 하는 강수 과부족량을 비교한 것이다. 강수 과잉량 부분은 월평균 강수량을 절단수준으로 했을 때 SPI와 유사한 거동을 나타내지만 부족량은 과대산정되어 지나치게 많은 가뭄사상이 추출되는 문제점이 있다. 이와 반대로 월평균 강수량의 80%를 절단수준으로 적용했을 때 강수 과잉량이 다소 과대산정 되는 경향이 있으나 부족량은 SPI와 유사하게 나타나며 실제 가뭄사상을 더 잘 반영하는 것으로 확인되었다.
2.2 코플라(Copula) 함수
연속분석방법을 통해 정의된 가뭄 지속기간과 심도는 각 가뭄사상 고유의 특성으로 확률변수로 간주할 수 있으며, 관측된 가뭄특성으로 확률분포를 추정할 수 있다. 코플라 함수는 Eq. (1)에 나타낸 것과 같이 주변 확률분포함수를 연결하여 결합 확률분포함수를 산정하기 위해 사용된다. 과거의 연구에서는 결합 확률분포함수를 산정하기 위해 매개변수적 방법과 비매개변수적 방법이 주로 사용되었다(Lall et al., 1993; Yue et al., 1999; Kim et al., 2003). 그러나 매개변수적 방법은 수문변량의 일반적인 분포 형태는 확정되어 있지 않음에도 불구하고 주변 확률분포함수의 형태가 정해져 있어 제한적이었으며, 비매개변수적 방법은 확률분포함수의 형태에서는 자유롭지만 두 주변 확률분포함수가 같아야 한다는 제약이 있다. 코플라 함수는 서로 다른 여러 확률분포의 결합이 용이하며 다변량 간의 의존구조를 잘 반영하기 때문에 기존 이변량 가뭄빈도해석의 한계를 극복하기 위해 최근에 여러 분야에 사용되고 있다(Kwak et al., 2012; Chen et al., 2013; Zhang et al., 2013).
(1)
여기서 FD(d)와 FS(s)는 각각 가뭄 지속기간(D={d1, d2, …, dn})과 심도(S={s1, s2, …, sn})에 대한 확률분포함수를 나타내며 C는 코플라 함수를 의미한다.
코플라 함수는 Elliptical 코플라(Gaussian, Student’s t)와 Archimedean 코플라(Ali-Mikhail-Haq, Clayton, FGM, Frank, Gumbel)로 나뉜다. Elliptical 코플라 함수는 다차원의 정규분포로 나타나지만 확률적분변환 과정을 거치기 때문에 매개변수 추정 및 분포함수 산정과정이 까다롭다. 반면에 Archimedean 코플라 함수는 산정과정이 간단하고 다양한 함수형태를 포함하는 장점이 있으며 Elliptical 코플라에 비해 수문변수 간의 상관관계를 잘 반영하여 수문분석에 더 적합한 것으로 알려져 있다(Nelson, 1999; Zhang and Singh, 2006). 따라서 본 연구에서는 Archimedean 코플라 중 Clayton, Frank, Gumbel 세 가지의 함수가 고려되었으며(Table 1), 최우도법을 이용해 최적의 함수를 선정하여 적용하였다.
2.3 이변량 가뭄 재현기간
빈도해석은 어떠한 수문사상의 확률분포함수를 통해 발생특성을 추정하는 과정이며, 빈도해석의 목표는 재현기간을 산정하는 것이다. 가뭄분석에서의 재현기간은 어떠한 임계심도와 같거나 초과하는 두 사상 간의 평균 발생간격을 의미하며 이는 가뭄사상 발생확률과 직접적으로 연관된다. 따라서 재현기간을 이용해 수문학적 위험도를 정량화할 수 있으며 이를 통해 용수공급시스템과 수공구조물의 운영 및 설계기준 또는 가뭄 대응방안 수립에 활용될 수 있다.
기존의 가뭄 빈도해석에서는 가뭄 지속기간 또는 심도를 각각 단변량으로 하는 분석방법을 주로 사용하였으나 이러한 방법으로 산정된 각각의 재현기간은 같은 가뭄사상에 대한 것이더라도 서로 상이하여 신뢰할 수 있는 결과라고 할 수 없다(Gonzalez and Valdes, 2003; Kim et al., 2003). 가뭄은 지속기간과 심도로 정의되는 수문사상이므로 두 변수를 모두 고려하는 이변량 빈도해석방법이 필요하다. 코플라 함수를 이용한 이변량 결합재현기간에 대한 공식은 Shiau (2003)에 의해 다음과 같이 제시된 바 있다.
(2a)
(2b)
여기서
는
이고
인 경우,
는
또는
인 경우의 결합재현기간이며 E(L)은 평균 가뭄 발생간격을 나타낸다.
3. 적용 및 결과
3.1 이변량 결합 재현기간 산정
2.1절에서 설명한 연속분석방법으로 우리나라 56개 지점의 강수자료를 이용하여 가뭄사상을 추출하였으며, 각 지점의 가뭄사상에서 추출된 가뭄 지속기간과 심도의 확률분포함수를 산정하기 위해 KS 검정(Kolmogorov-Smirnov test)을 시행하였다. 그 결과 여러 확률분포(Gaussian, Exponential, Gamma, Gumbel, GEV, Log-normal, Weibull, Generalized Pareto) 중 다수의 지점에서 가뭄 지속기간은 감마분포, 심도는 지수분포를 따르는 것을 확인하였다. 예를 들어 Table 2는 춘천과 보령 지점에서 추출된 가뭄특성의 기본 통계치와 산정된 주변 확률분포의 매개변수이다. 지속기간(duration)은 가뭄사상이 시작된 달부터 종료된 시점까지의 간격이며 심도(severity)는 가뭄이 지속된 기간 동안 발생한 강수 부족량의 총합을 의미한다.
가뭄 지속기간과 심도로 산정된 두 주변 확률분포를 결합하여 가뭄 발생특성을 가장 효율적으로 나타낼 수 있는 코플라 함수를 선정하기 위해 Clayton, Frank, Gumbel 코플라의 매개변수를 추정한 후 최우도법을 시행하였다. Fig. 2는 실제 관측된 가뭄사상의 특성변수와 각 코플라 함수를 통해 모의된 가뭄 특성변수를 비교하여 도시한 것이다. 가뭄 지속기간과 심도는 서로 비례하여 증가하는 경향을 나타내며 그 중 Gumbel 코플라가 최대우도를 갖는 동시에 두 변수의 의존구조를 가장 잘 반영하는 것을 확인되었다.
추정된 결합 확률분포함수의 가뭄사상 재현능력을 평가하기 위해 Eq. (2a)를 이용하여 1973-2015년 강우자료를 통해 추출된 과거 가뭄사상의 결합 재현기간을 산정하였다. Fig. 3은 춘천과 보령 지점의 가뭄 빈도곡선 위에 1973-2013년 사이 관측된 가뭄사상과 전국적으로 큰 가뭄이 있었던 1981- 1982년 및 1994-1995년의 가뭄사상, 그리고 2014-2015년 10월까지 이어지는 현재의 가뭄사상을 산점도로 나타낸 것이다. Fig. 3(a)에서 볼 수 있듯이 춘천지역에서 2014/03- 2015/01에 발생한 가뭄은 과거 발생했던 가뭄사상보다 재현기간이 큰 가뭄으로 나타났으며, 2015/06에 시작하여 현재까지 지속되고 있는 가뭄사상은 7개월의 비교적 짧은 지속기간 동안 95년의 재현기간을 나타냈다. 반면 Fig. 3(b)에 나타낸 보령지역에서 2015/07-2015/10 사이 발생한 가뭄사상은 과거의 가뭄사상보다 작은 심도를 나타내었으나 같은 4개월의 지속기간을 갖는 가뭄사상들 중 가장 큰 심도를 갖는 것으로 확인되었다.
|
Fig. 2. Comparison between simulated and observed drought variables |
|
Fig. 3. Severity-duration-frequency curve at Chuncheon and Boryeng station |
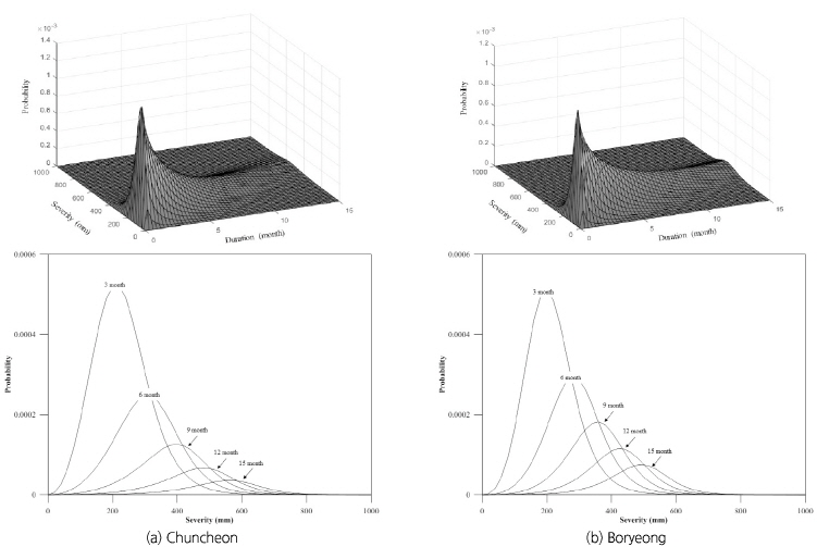
3.2 조건부 코플라 함수
코플라 함수는 기본적으로 누적 확률분포함수이며 3차원의 분포형태를 나타내므로 그래프로 도시했을 때 실무적인 분석과 활용이 불편하다는 단점이 있다. 이변량 확률분포함수를 나타내는 것보다 확률밀도함수를 산정하면 보다 직관적인 해석이 가능하며 이변량 확률밀도함수의 산정은 Eq. (3)에 나타낸 것과 같다. Fig. 4는 춘천과 보령 지점의 지속기간별 가뭄 심도의 확률밀도함수이며 두 지점에서 가뭄 지속기간이 길어질수록 평균 심도가 증가하나 발생확률이 점차 감소하는 것을 확인할 수 있다.
|
Fig. 4. Original and conditional copula probability density function at Chuncheon and Boryeong station |
(3a)
(3b)
여기서 u와 v는 각각 가뭄 심도와 지속기간의 확률분포함수(FS(s), FD(d))를 나타내며 c는 코플라 확률밀도함수, f는 이변량 확률밀도함수를 의미한다.
Fig. 4와 같이 지속기간에 따른 가뭄 심도의 분포를 알면 어떠한 심도에 대한 비초과확률을 계산할 수 있다. 역으로 비초과확률에 대한 임계심도의 산정이 가능하며 이는 코플라 함수의 조건부 확률을 통해 쉽게 추정할 수 있다. Zimmer and Trivedi (2006)는 베이스의 규칙(Bayes’ Rule)이 조건부 코플라 함수 산정 시에도 적용될 수 있음을 증명했으며, V=v일 때 확률변수 U에 대한 결합 확률분포함수의 조건부 확률을 산정하는 방법은 Eq. (4)와 같다. 이와 같이 산정된 춘천과 보령의 가뭄 지속기간별 비초과확률에 대한 임계심도를 Table 3(a)와 (b)에 나타내었다. 지속기간과 비초과확률이 증가할수록 임계심도 또한 증가하는 것을 확인할 수 있다.
(4a)
(4b)
3.3 우리나라 가뭄 위험도 산정
앞서 산정된 지속기간별 임계심도를 이용하여 우리나라의 가뭄 위험도를 평가할 수 있다. 수문학적 위험도는 Eq. (5)와 같이 계산되며 이는 n년 동안 재현기간 TDS를 갖는 크기의 가뭄 사상이 발생할 확률을 의미한다. 우리나라에서 발생한 과거 평균 가뭄 지속기간은 4.49개월이며 지역별로 다소 차이는 있으나 평균 최대 지속기간은 11.18개월으로 12개월을 크게 넘어서지 않는다. 2014-2015년 발생한 가뭄은 극한가뭄으로 평가되고 있으나 국내외에서 정확한 극한가뭄에 대한 기준은 아직 정립되어 있지 않다. 따라서 본 연구에서는 우리나라 전 지역을 대상으로 과거 극심했던 가뭄 사상의 지속기간과 심도를 기반으로 95%의 비초과확률을 가지는 가뭄사상에 대한 수문학적 위험도를 산정하였다. 예를 들어 가뭄 지속기간 10개월에 대하여 95%의 비초과확률에 해당하는 임계심도는 Table 4에 나타난 바와 같다.
(5)
Fig. 5는 지속기간 10개월과 Table 4에 나타낸 임계심도를 갖는 가뭄 사상이 10년, 30년, 50년, 100년 이내에 발생할 확률을 계산하여 나타낸 것이다. 지점자료를 시군구 자료로 나타내기 위해 크리깅 기법을 사용하여 보간을 실시하였다. 지도에서 붉게 나타날수록 그 지역의 가뭄 발생 위험도가 높은 것을 의미하며 검은색 점은 강우관측소의 위치를 나타낸다. 예를 들어, 10개월 기속기간에 대하여, Fig. 5(a)에서는 전국적으로 가뭄 발생확률이 유사하게 나타나며 위험도가 두드러지게 높은 지역은 나타나지 않는다. 그러나 Fig. 5(b)에서는 중부지역보다 남부지역과 일부 강원지역에서 가뭄 위험도가 크게 증가하였으며, Fig. 5(c)와 5(d)에서는 경기서부와 홍천, 원주 지역을 제외한 전국에서 극한가뭄이 발생할 확률이 매우 높게 나타나는 것을 확인할 수 있다. 가뭄위험도가 가장 높은 지역은 광주, 인제, 울진으로 전국 평균에 비해 1.3-2.0배 높은 가뭄발생확률을 나타낸 반면, 강화, 인천, 수원은 전국 평균에 비해 0.08-0.25배로 가장 낮은 위험도를 갖는 것으로 산정되었다. 2014-15년 가뭄에서 가장 큰 피해를 입었던 춘천과 보령의 위험도는 각각 0.8-1.1배, 1.1-1.2배로 평균에 비해 크게 높지 않은 위험도를 갖는 것으로 확인되었다.
4. 결 론
본 연구에서는 강우 부족량을 바탕으로 정의된 가뭄 지속기간과 심도를 이용하여 이변량 가뭄빈도곡선을 작성하였으며, 이변량 결합 확률분포를 산정하기 위해 코플라 함수가 적용되었다. 이를 바탕으로 과거 가뭄사상과 2014-15년 가뭄 문제가 가장 두드러졌던 춘천과 보령 지역의 가뭄사상에 대해 재현기간을 산정하여 평가하였다. 그 결과 춘천지점의 가뭄 심도는 과거 발생했던 가뭄에 비해 현저히 큰 값을 나타냈으나 보령지점은 과거 사상에 비해 높은 심도를 나타내지는 않았다. 2014-15년 가뭄은 전국적으로 높은 수준의 가뭄 심도를 보였지만 지역별 편차가 다소 있는 것으로 판단된다.
따라서 지역별 가뭄 위험도 평가를 위해 조건부 확률분포함수를 통해 우리나라 전 지역의 지속기간별 50-99% 비초과확률에 해당하는 임계심도를 결정하였다. 과거의 가뭄사상 패턴을 바탕으로 극한가뭄을 비초과확률 95%에 해당하는 심도를 갖는 가뭄으로 정의하여 향후 극한가뭄의 발생 가능성을 위험도 지도로 작성하여 나타내었다. 10개월 지속기간을 가지는 조건부 가뭄심도의 경우, 남부지역이 중부와 북부지역보다 더 높은 가뭄 취약성을 갖는다는 것을 확인하였다.
최종적으로 가뭄빈도해석을 통해 가뭄취약지역의 평가가 수행되었으며 만약 지역의 용수공급평가가 함께 이루어진다면 이를 기준으로 종합적인 가뭄 위험도를 산정해 수공구조물의 운영 및 설계에 활용될 수 있을 것으로 기대된다.










