1. 서 론
2. 수치모형의 특징
3. 수치모형의 적용성 검토
3.1 실험결과와 수치모의 조건
3.2 수치모의 결과
4. 유사공급에 의한 하도의 지형변화 분석
4.1 수치모의 조건
4.2 계산격자망 구성
4.3 수치모의 결과
4.3.1 Run-1의 결과
4.3.2 Run-2의 결과
5. 결 론
1. 서 론
하천복원 개념은 생태계를 복원하기 위하여 유역을 관리하는 것에서부터 하도와 홍수터를 적극적으로 다루는 등 다양한 방법이 있다. 상류에 댐이 건설되어 흐름이 조절되는 하천을 복원하는 방법은 댐을 탄력적으로 운영하여 인공적으로 홍수를 발생시키는 등 흐름을 조절하거나(Kondolf and Wilcock, 1996; Jang and Woo, 2009), 기능을 상실한 댐을 철거하거나(Im et al., 2011), 혹은 댐 하류에 유사를 공급하여 단절된 유사이송을 개선하거나, 지류에서 유입되는 유사를 변화시키는 등 다양한 방법이 있다(Gaeuman, 2014). 가장 일반적인 공학적 하천복원 방법은 하도 내에 특별한 기능을 하는 수리구조물을 건설하여, 하안 안정화 및 수생 생태계 서식처를 형성시키는 것이다(Shields et al., 2003). 하천 복원은 하천 형상을 개선 혹은 복원하거나 홍수터를 재현시켜서, 하천을 제내지 서식처와 연결하거나 홍수터 침수 빈도를 증가시켜서 수리학적 서식처의 다양성을 증가 시킨다(Gaeuman, 2014)
댐에 의하여 유사가 차단된 하천에서 가장 일반적인 복원사업은 유사를 하천에 공급하는 것이다(Bunte, 2004). 이것은 상류에서 자연적으로 공급되는 유사가 댐에서 포착되는 것을 대체하는 것이지만, 댐 상하류에서 동적 평형상태를 유지하는 데에는 많은 한계가 있다.
댐 건설에 의하여 상류에서 하류로 공급되는 유사가 감소하거나 완전히 차단될 때에 댐 하류 하천에서 하도의 지형을 변화시키거나 생태계 서식처에 교란을 주어 수생태계에 영향을 줄 수 있다(Jang and Shimizu, 2010). 댐 하류 하천에서 유사 공급이 감소되면, 하상이 저하되고, 하상토 크기가 변하며, 자갈과 세립토사로 분리되어 굵은 골재, 조약돌 등으로 퇴적된 장갑화 층이 형성되어 하류로 전파된다(William and Wolman, 1984; Jang and Shimizu, 2010). 또한 하도내 식생이 번성하면 사주의 이동이 제한되어 하도의 역동성이 감소되거나, 저수로가 고착되며(Jang and Shimizu, 2010), 하상의 다양한 변화를 나타내는 하상 기복도가 감소된다(Miwa and Parker, 2012).
하천에 유사를 공급하는 방법은 여러 가지가 있으며, 유사공급의 주요 목표에 의하여 구체적인 수행 방법이 결정된다. 흐름이 자갈을 쓸고 내려가 하류에 분포시켜 사주를 재현시키고 하도 지형을 변화시켜서 생태계 서식처를 다양화 시킬 목적으로 자갈을 제외지나 홍수터에 놓는다(Viparelli et al., 2011; Gaeuman, 2012). Bunte (2004)는 자갈더미를 홍수사상이 발생하기 전인 갈수시에 하천에 놓아두는 유사공급 방안을 제시하였다. 즉, 유사는 홍수시에 하천에 유사를 공급하여 유사를 공급하는 즉시, 하류에 쓸려 내려가도록 하는 것이다. 유사 공급은 계획단계에서, 유사 공급을 통한 하류 영향범위를 예측하여 사업의 공간범위를 결정하기 위해서는, 하류 유입 지류의 위치와 그 지류들에서 공급 가능한 유사의 양과 재료의 크기를 고려해야 한다(Ock et al., 2015).
최근에 우리나라에서도 댐 하류 하천의 환경 변화를 개선하기 위하여 다양한 방법을 시도하고 있다. 특히, 댐 하류 하천에서 유사를 공급하여 하천환경을 개선하기 위한 유사공급 방안을 계획하고 있으며, 본 연구에서는 이를 수행하기에 앞서서 수치모의를 통하여 그 효율성을 검토하였다. 본 논문은 수치모형의 특성, 수치모의 결과와 실험결과를 비교하여 수치모형의 적용성을 검토하였다. 내성천을 대상으로 댐 운영에 의한 유량조건을 토대로 유사 공급의 효과를 평가하였다.
2. 수치모형의 특징
Nays2DH 모형은 iRIC 모형에 탑재되어 있으며(Shimizu et al., 2014), 직교좌표계를 변환하여 형상이 복잡한 하천에 적합하도록 경계적합좌표계(boundary fitted coordinates)를 사용하였다. 수리구조물을 포함한 2차원 흐름특성을 계산하고, 하안침식과 식생의 영향을 고려한 하도의 지형변화와 유사의 분급현상을 모의할 수 있다.
본 모형은 평면 2차원 흐름 거동을 모의하기 위하여 흐름의 지배 방정식은 수심 적분된 2차원 연속 방정식 및 운동량 방정식을 이용하였다. 직교 좌표계에서 경계적합좌표계로 좌표변환한 지배방정식은 다음과 같다.
연속방정식
(1)
운동량방정식


(2)


(3)
여기서,
,
는 일반좌표계의 공간좌표 성분이다.
와
는
,
방향의 유속(m/s)이며,
는 Jacobian 이다.
는 수위(
)(m)이고,
는 하상고(m)이며,
는 하상마찰계수 이다.
는 하상 전단강도이고,
은 Manning의 조도계수이다. 여기서 각 항의 매개변수는 다음과 같다.

(4)

(5)
확산항은 다음과 같다.
(6)
(7)
와동점성계수
는
model을 이용하여 해석하였다. 일반 좌표계에서 2차원 유사의 연속 방정식은 다음과 같다.
(8)
여기서,
는 하상고(m),
는 하상재료의 공극률,
및
는
및
방향에서 단위 폭당 소류사량(m2/s)이다. 하상에서 소류사량은 Ashida and Michiue (1972)의 공식으로 계산하였다.
(9)
여기서
는 소류사량(m2/s),
는 수중에서 하상재료의 상대 밀도,
는 중력가속도(m/s2),
는 각 입경별 소류사의 지름(mm),
는 무차원 한계 소류력,
는 한계 마찰속도(m/s)이다.
하천에서 주 흐름 방향에 대한 횡단 방향으로의 소류사 이송률을 계산하기 위하여, 원심력에 의한 이차류 및 횡방향 경사를 고려하였다.
및
방향에서 유사량은 Watanabe et al. (2001)이 제시한 방법을 사용하였으며, 다음과 같이 계산된다.
(10)
(11)
여기서
및
는
및
방향으로 하상부근에서 유속(m/s),
는 하상부근에서 유속(m/s),
는
와
의 교차 각(
),
,
는 Coulomb의 정적 마찰계수(=1.0),
는 Coulomb의 동적 마찰계수(=0.45)이다.
유선이 굽어질 때, 원심력의 변화에 의해 이차류가 발생하며, 유선에 수직방향의 하상부근의 유속은 다음과 같이 쓸 수 있다.
(12)
여기서,
는 유선의 곡률 반경(m),
는 이차류 강도 계수이며, 본 연구에서는 Engelund (1974)에 의한 제시된 7.0을 사용하였으며, 이는 만곡부에서 횡방향 경사가 완만한 상태에서 얻은 것으로써, 횡방향 경사가 급한 경우에 중력효과가 고려되어야 한다.
Eq. (12)에서 유선의 곡률은 다음과 같다.

(13)
여기서,
이다.
수치해석 기법으로는 엇갈린 격자(Staggerd Grid) 상에서 이류항에는 CIP (Cubic Interpolated Pseudoparticle)법을 적용하였으며, 확산항에는 중앙차분법을 적용하였다. 경계조건으로는 상류에는 유량과 유사량을 설정하였으며, 하류에는 등류수심을 설정하였다. 측벽에서는 측벽에 수직으로 유속이 없는 것으로 가정하였으며, 흐름 방향으로는 활동(slip) 조건으로 가정하였다.
3. 수치모형의 적용성 검토
3.1 실험결과와 수치모의 조건
수치모형(Nays2DH)의 적용성을 검증하기 위하여 Cui et al. (2003)의 실내실험 결과를 이용하였다. Cui et al. (2003)은 유사가 하도에 불연속적인 더미(맥동) 형식으로 공급되었을 때, 이송과 확산 과정을 거치면서, 하류로 이동하는 현상을 실내실험을 통하여 파악하였다. 콘크리트로 만들어진 실험수로는 길이가 45 m이고, 폭은 0.5 m이며, 깊이는 0.7 m 이었다. 수로의 경사는 0.0108이었다. 유량은 0.009 m3/s 이었으며, 평균수심은 0.0325 m이며, 평균 유속은 0.55 m/s이었다(Table 1). 실험을 위하여 토사 더미(sediment pulse)는 유사가 공급되는 상류에서부터 하류로 8 m 지점에서 길이가 7.5 m이고 높이는 3.5 cm로 포설되었다. 하상토의 중앙입경은 2.0 mm 이고, 기하평균은 1.83 mm 이다(Run-2). 하상고의 변화는 7명이 표시된 자를 이용하여 측정하였다. 하나의 단면에 3~6점에서 측방향으로 위치와 하상고를 측정하고 하류로 0.91 m 씩 하류로 이동하였다. 이러한 방법으로 총 21개의 단면을 빠른 시간에 측정하였다. 유사량은 2.5 cm 정사각형 입구와 그 뒤에 메쉬(mesh)로 짠 바구니를 부착한 소류사 측정장치로 측정하였다.
Table 1. Experimental conditions | |||
Items | Parameters | Unit | Value |
Channel slope | S | 0.0108 | |
Channel width | B | m | 0.5 |
Water depth | H | m | 0.0325 |
Median size of sediment |
| mm | 2 |
Discharge | Q | m3/s | 0.009 |
Fig. 1은 종방향 하상고의 변화를 보여주고 있다. 토사더미를 놓기 전에 주변 하상고, 초기 토사더미에 의한 하상고 및 시간의 변화에 따른 하상고의 변화가 포함되어 있다.
|
Fig. 1. Longitudinal bed changes with time for Run-2: The times are in (hour:min) (Cui et al., 2003) |
Fig. 1은 토사더미를 놓기 전에 주변 하상고, 초기 토사더미에 의한 하상고 및 시간의 변화에 따른 하상고의 변화에 대한 단면평균된 종방향 하상고의 변화를 보여주고 있다. 초기에 포설한 토사더미가 4분 후에 하류로 이송과 분산을 하면서 빠르게 이동하고 있다. 선단부는 25 m 까지 이동하고, 토사더미의 높이는 저하되었다. 시간이 지나면서 토사더미는 빠르게 변화되었으며, 하류로 확산되었다. 실험 후, 1시간 6분 후에는 거의 평형상태에 도달하였다. 즉, 토사가 토사더미 형태로 하천에 공급되었을 때, 흐름에 의하여 하류로 빠르게 확산되는 것을 보여주었다.
3.2 수치모의 결과
Fig. 2는 시간의 변화에 따른 유사량의 변화를 보여주고 있다. 실험을 시작한 직후인 4분 후에 토사더미가 놓은 구간에서 유사가 많이 유출되고 있다. 시간이 지나면서 토사더미 부분에서 유사유출량은 감소하고 하류로 분산되고 있다. 토사더미 하류에서는 교호사주가 발달하고 있으며, 1시간 6분이 지난 후에서는 교호사주가 소멸되었다. 이러한 특성은 실내실험을 통하여 보여준 것과 일치한다. 토사더미는 거의 소멸되었으며, 하도 전체적으로 유사량이 거의 일치하고 있고 평형상태에 도달해 가는 것을 보여주고 있다.
|
Fig. 2. Numerical results of sediment discharge changes with time for Run-2: The times are in (hour:min) |
Fig. 3은 수치모의 결과와 실내실험을 통하여 관측된 종방향 하상고의 변화를 보여주고 있다. 초기에 수치모의를 위하여 토사더미를 실내실험 조건과 같이 설정하였다(Fig. 3(a)). 실험을 시작한 후 4분이 경과한 후에 급격하게 토사더미 높이는 저하되고 토사는 하류로 이송된다(Fig. 3(b)). 18분 후에는 토사더미 높이는 크게 감소하고, 토사는 점차적으로 하류로 확산된다(Fig. 3(c)). 시간이 증가하면서 토사더미의 흔적은 거의 없으며, 하상은 평형상태에 도달한다(Figs. 3(d) and 3(e)). 수치모의 결과는 실내실험에서 보여준 토사더미의 이송과 확산과정을 잘 모의하고 있으며, 실내실험에서 제시된 결과와 잘 일치하고 있다.
| |
Fig. 3. Comparison of longitudinal bed changes between numerical and experimental results: The times are in (hour:min) | |
Fig. 4는 하상고의 변화에 의한 수심의 변화를 보여주고 있다. 통수 후에 토사더미는 하류에서 침식이 되기 시작하며, 토사더미 상류보다 하류에서 단면이 완만하다. 그러나 토사더미 상류에서는 수면이 불연속적으로 튀는 도수(hydraulic jump)가 발생하지만, 토사더미 하류에서는 완만하게 감소하는 수면형이 발생한다(Fig. 4(a)). 시간이 증가한 후에 토사더미는 완만하게 하상고가 감소하며 수면형은 하상고와 수면형이 같은 정위상을 유지한 상태로 흐르고 있다(Fig. 4(b)). 시간이 증가하면서 하상고는 평형상태를 유지하고 수면형은 하상고와 일치한 형태를 유지한다(Figs. 4(c) and 4(d)). 수치모형은 하상고의 변화에 의한 수면형의 변화 과정을 잘 모의하였다.
4. 유사공급에 의한 하도의 지형변화 분석
4.1 수치모의 조건
댐 하류 하천에서 하천환경을 개선을 목적으로 유사공급을 효과적으로 수행하기 위하여 공간적인 범위와 장소, 유사공급 방법, 공급유사의 크기와 양을 결정해야 한다. 흐름이 충분한 소류력을 확보하기 쉬운 여울이나 사행이 형성된 만곡부를 대상으로 후보지를 선정하면, 유사공급에 의한 하천환경개선 효과를 높일 수 있다. 또한 댐 직하류에서 지류가 유입되는 지를 파악하고, 유사부족으로 인한 하도의 지형변화가 나타나기 쉬운 곳을 선정해야 한다.
본 연구에서는 영주댐 직하류에서 부터 지류가 합류되는 사이 구간에서 댐에 의하여 직접적으로 크게 영향을 받는 곳이다. 영주댐은 낙동강 제 1지류인 내성천 상류에 위치하고 있으며, 약 4 km 하류에서 우안에서 서천이 합류하고 있다(Fig. 5). 영주댐 하류에서 유사공급의 효과를 크게 나타날 수 있는 만곡부 1번 지점과 2번 지점을 유사공급을 위한 장소로 선정하였다(Fig. 5). 1번 지점은 영주댐 직하류에 위치하고 있으며, 사행이 형성된 지점이다. 2번 지점은 영주댐에서 약 1 km 하류에 위치하고 있다(Fig. 6). 상류에 미림교가 위치하고 있으며, 하상고 저하를 방지하기 위하여 하상유지공이 설치되어 있다. 1번 지점에서 하상경사는 0.0026이고, 저수로 하폭은 86.5 m이다. 2번 지점에서 하상경사는 0.0012이고, 저수로 하폭은 112.3 m이다. 또한 이 두 지점은 댐 직하류에서 사행이 잘 발단한 만곡부에서 여울이 형성되었으며 충분한 소류력을 확보하기 쉽고, 만곡부에서 이차류가 발달하여 하류에서 사주가 형성하기 좋은 장소이다.
Figs. 7과 8은 유사공급을 위하여 댐 하류 하천에서 유사를 포설할 때, Fig. 6에서 보여주고 있는 1번 지점과 2번 지점에서 횡단면을 보여주고 있다. 댐에서 공급되는 유량에 대하여 충분한 소류력이 발생하여 하류로 이송하기 쉽도록 유사를 저수로에 평편하게 포설하는 것으로 가정하였다. 1번 지점에서 유사 포설량(공급량)은 12,040 m3이고, 2번 지점에서 유사 포설량(공급량)은 6,988 m3이다.
만제유량 혹은 강턱유량(bankfull discharge)은 흐름이 저수로를 갓 넘어 홍수터에 물이 차기 시작하면서 흐를 때, 저수로에서 하도의 변화가 활발하게 일어난다. 따라서 본 연구에는 댐 하류하천에 유사를 공급하기 위하여 연구 대상 구간에 HEC-RAS을 적용하여 만제유량을 9.00 m3/s로 산정하여 적용하였다. 또한 댐 하류의 용수공급량을 고려한 유량인 15.13 m3/s에 대하여 유사공급 효과를 검토하였다.
4.2 계산격자망 구성
댐 하류하천에서 유사공급 효과를 모의하기 위하여 2차원수치모형을 적용하였으며, 수치모의를 위한 수리학적 조건은 Table 3에 잘 나타나 있다. 하도 구간은 10 km이며, 하상경사는 0.001이다. 하상토의 평균입경은 1.61 mm이며, 하상의 거친 정도를 나타내며, 흐름의 상태를 나타내는 Manning의 n값은 0.031을 적용하였다. 하도의 변화를 파악하기 위하여 강우의 지속시간과 댐하류로 방류할 수 있는 방류량과 댐의 운영 시간을 고려하여 48시간동안 모의하였다. 수치모의 계산을 위한 계산 시간 간격은 0.01 초로 설정하였다. 안정적인 수치모의 결과를 도출하기 위하여 계산 격자를 구성하는 것은 중요하다. 본 연구에서는 하상경사가 상대적으로 급하고 사행이 많이 형성된 지형적인 영향을 고려하여 흐름방향으로 격자 크기는 0.2 m, 흐름의 횡방향 격자 크기는 0.1 m로 하였다(Fig. 9). 댐 하류 하천에서 하도의 변화를 파악하기 위해서, 댐에 의한 유사의 포착율을 고려하여 댐 하류하천에 공급되는 유사량을변화시켜 분석하였다(Table 2).
4.3 수치모의 결과
4.3.1 Run-1의 결과
Fig. 10은 Run-1에 대한 유속분포를 보여주고 있다. 토사가 포설된 1번 지역에서 만곡부 내측으로 흐름이 집중되고 있으며, 직선구간이 시작되는 구간에서 흐름이 균등하게 분포한다. 토사가 포설된 구간에서 세굴된 하상토가 퇴적되는데 기여하게 된다(Fig. 11). 미림교 하류에서 지형적인 영향을 받아서 흐름이 하도의 중앙에 집중되며, 2번 지점에서 포설된 토사 더미는 침식 된다. 만곡부 외측에서 흐름이 집중되며, 수충부가 형성된다. 이 구간에서 하상은 세굴 된다. 만곡부 내측에서 흐름이 감소되며, 하상고가 상승하였다(Fig. 11).
Fig. 11은 Run-1에 대한 하도의 평면 변화를 보여주고 있다. 댐 직하류에서 좌안에서 흐름이 집중되어 하상고가 저하 된다(Fig. 10). 이곳은 유사공급을 위하여 댐 직하류에서 토사를 포설한 1번 지역이며, 흐름에 의하여 하류로 이송된다. 그러나 직선구간에서 흐름이 분리되면서 하상고가 상승하는 특성을 보여주고 있다. 미림교 하류에서 흐름이 집중되며, 토사더미가 설치된 2번 지점에서 하상이 저하 된다. 그러나 하류의 만곡부 외측에서는 하상고가 저하되지만, 만곡부 내측에서 하상고가 상승하였다.
Fig. 12는 종방향 하상고 변화를 보여주고 있다. 상류에서 시간이 증가함에 따라 하상고가 저하되고 있으며, 이것은 댐에 의한 유사의 포착율이 고려되어 하상이 저하되고 있다 (Fig. 12(a)). 상류에서 400 m 지점에 있는 토사 더미는 시간이 증가하면서 세굴되어 하류로 이동하고 있으며, 600 m 지점에서 유사가 퇴적되고 있다. 1,100 m 지점에 포설된 2지점에서 시간이 증가함에 따라, 하상고가 저하되고 있으며, 1,400 m 지점에서 유사가 퇴적되어 하상고가 상승하였다(Fig. 12(b)).
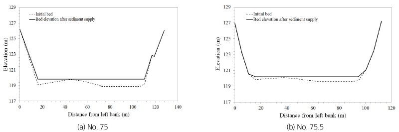
Fig. 13은 Run-1에 대한 상류에서 400 m 지점과 600 m 지점에서 시간의 변화에 따른 횡방향 하상고의 변화를 보여주고 있다. 상류에서 400 m 지점에서 시간이 증가함에 따라 하상고가 저하되고 있다. 하도의 중앙에서 하상고가 저하되고 있으며, 48시간 후에는 하도의 중앙과 우안에서 하상고가 저하되고 있다(Fig. 13(a)). 초기에 하도의 중앙에서 하상고가 저하되지만, 흐름이 만곡부의 외측에 집중되면서 하도의 우안에서도 하상고가 저하되었다(Fig. 10).
상류에서 600 m 지점에서 유사는 하도 중앙에서 퇴적되고 있다. 시간이 증가하면서 좌안과 우안에서도 하상고가 상승하고 있다. 이것은 Fig. 10에서 보여주고 있는 것처럼, 흐름이 만곡부를 지난 후에 직선구간에 이르면서 흐름이 하도 중앙에서 전체로 분포하면서 발생한다.
4.3.2 Run-2의 결과
Fig. 14는 Run-2에 대한 유속분포를 보여주고 있다. 토사가 포설된 1번 지역에서 만곡부 내측으로 흐름이 집중되고 있으며, 직선구간이 시작되는 구간에서 흐름이 균등하게 분포하였다. 미림교 하류에서 지형적인 영향을 받아서 흐름이 하도의 중앙에 집중되며, 2번 지점에서 포설된 토사 더미는 하류로 쓸려 내려가며 하상은 세굴 되었다. 만곡부 외측에서 흐름이 집중되며, 수충부가 형성되었다. 만곡부 내축에서는 흐름이 감소되며, 하상고가 상승하였다.
Fig. 15는 Run-2에 대한 하도의 평면 변화를 보여주고 있다. 댐 직하류에서 좌안에서 흐름이 집중되어 하상고가 저하 되었다. 이곳은 유사공급을 위하여 댐 직하류에서 토사를 포설한 1번 지역이며, 흐름에 의하여 하류로 이송된다. 그러나 직선구간에서 흐름이 분리되면서 하상고가 상승하는 특성을 보여주었다. 미림교 하류에서 흐름이 집중되며, 토사더미가 설치된 2번 지점에서 하상이 저하되었다. 그러나 하류의 만곡부 외측에서는 하상고가 저하되지만, 만곡부 내측에서 하상고가 상승하였다.
Fig. 16은 Run-2에 대한 종방향 하상고 변화를 보여주고 있다. 상류에서 시간이 증가함에 따라 하상고가 저하되고 있으며, 이것은 댐에 의한 유사의 포착율이 고려되어 하상이 저하되고 있다(Fig. 16(a)). 상류에서 400 m 지점에 있는 토사 더미는 시간이 증가하면서 세굴되어 하류로 이동하고 있으며, 600 m 지점에서 유사가 퇴적되고 있다. 1,100 m 지점에 포설된 2구간에서 시간이 증가함에 따라, 하상고가 저하되고 있으며, 1,400 m 지점에서 유사가 퇴적되어 하상고가 상승하였다(Fig. 16(b)).
Fig. 17은 Run-2에 대한 상류에서 400 m 지점과 600 m 지점에서 시간의 변화에 따른 횡방향 하상고의 변화를 보여주고 있다. 상류에서 400 m 지점에서 시간이 증가함에 따라 하상고가 저하되고 있다. 10시간 이후부터 하도의 중앙과 우안에서 하상고가 저하되고 있다(Fig. 17(a)). 초기에 하도의 중앙에서 하상고가 저하되지만, 흐름이 만곡부의 외측에 집중되면서 하도의 우안에서도 하상고가 저하되었다. 상류에서 600 m 지점에서 유사는 하도 중앙에서 퇴적되고 있으며, 흐름이 만곡부를 지난 후에 직선구간에 이르면서 흐름이 하도 중앙에서 전체로 분포하면서 발생하였다.
Figs. 18과 19는 Run-1과 Run-2에서 시간에 따른 하상고 변화를 비교한 결과를 보여주고 있다. 1 지점과 2 지점에서 시간이 증가함에 따라 하상고 변화는 증가하였으며, Run-1에서 변화보다 Run-2에서 변화가 크게 증가하였다. 즉, 유량이 증가할수록, 하상고 변화가 증가하였다. 따라서 댐 하류 하천에서 토사공급에 의한 하도변화 효과를 증가시키기 위해서 댐에서 방류되는 유량을 증가시켜 하도의 역동성을 증가시켜야 한다.
횡방향 하상고의 변화를 정량적으로 파악하기 위하여 하상 기복지수를 분석하였다. 이것은 평균 하상고에서 표준편차가 얼마나 되는가를 나타낸다. 하상 기복지수(Bed relief index)는 각 횡단면의 하상고 자료를 이용하여 아래의 식과 같이 계산할 수 있다(Hoey and Sutherland, 1991).
(14)
여기서
는 좌안에서
점까지 횡방향으로 거리이고,
는
점에서 하상고(
)와 평균 하상고(
)의 차이를 나타낸다.
Fig. 20은 각 수치모의에 대한 기복도 변화를 보여주고 있다. 시간이 증가함에 따라 Run-1과 Run-2에서 하상 기복지수가 증가하였다. 즉, 하상이 세굴되는 부분과 퇴적되는 부분이 크게 나타나며, 하상고의 변화가 크고 역동성이 증가하는 것을 의미한다. 하상 기복지수는 유량이 15.13 m3/s인 Run-2는 9.00 m3/s 인 Run-1보다 크다. 또한 상류인 1번 지점인 400 m 지점과 600m 지점 보다는 하류인 2번지점인 1,100 m 지점과 1,400 m 지점 에서 큰 것을 보여주고 있다. 유량이 증가하면 유사공급에 의하여 하상변화의 역동성을 크게 하며, 댐 직하류 보다는 1,400 m 하류에서 하도의 역동성이 크며, 유사공급에 의한 효과가 큰 것을 알 수 있다.
5. 결 론
본 연구에서는 이를 수행하기에 앞서서 수치모의를 통하여 그 효율성을 검토하였다. 본 논문은 수치모형의 특성, 수치모의 결과와 실험결과를 비교하여 수치모형의 적용성을 검토하였다. 본 수치모형의 적용성을 검토한 결과, 실내실험에서 보여준 토사더미의 이송과 확산과정 및 하상고의 변화에 의한 수면형의 변화 과정을 잘 모의하였다.
유사공급을 효과적으로 수행하기 위하여 충분한 소류력을 확보하기 쉬운 여울이나 사행이 형성된 만곡부를 대상으로 후보지로 선정하였으며, 시간이 증가함에 따라 댐 직하류에서 하상고는 저하되었다. 또한 토사 더미는 시간이 증가하면서 세굴 되어 하류로 이동하였으며, 유속이 감소되는 지점에서 퇴적되었다. 시간이 증가함에 따라 하상의 역동성을 나타내는 하상기복지수는 증가하였으며, 상류보다는 하류에서 크게 나타났다. 또한 유량이 증가함에 따라 하상기복지수는 증가하였으며, 하상에 미치는 영향이 증가하여 하도의 역동성이 증가하기 때문이다. 따라서 댐 하류 하천에서 토사공급에 의한 하도변화에 효과를 증가시키기 위해서는 댐에서 방류되는 유량을 증가시켜 하도의 역동성을 증가시켜야 한다.
본 연구는 댐 하류하천에서 유사를 공급하여 하천환경을 개선하기 위한 유사공급 방안을 수행하기에 앞서서 수치모의를 통하여 그 효율성을 검토하는데 제한되어 있으며, 향후에 실제 유사공급을 통한 실증적인 연구가 필요하다.























