1. 서 론
하천에서는 유수의 영향에 의해 퇴적과 침식이 끊임없이 반복된다. 퇴적이나 침식이 과도하게 발생하면 하천의 기능이 저하되고 하도 내 수공구조물의 유지 관리가 어려워진다. 적정한 범위 내에서 하천의 퇴적과 침식 작용을 제어하기 위해 여러 대책이 고안되었으나, 실제로는 취약 구간을 콘크리트 블록이나 사석 등으로 피복하는 방법이 관행적으로 이용되고 있다. 그러나 이런 공법은 자연 경관을 훼손하고 하천 생물의 서식지를 파괴하는 단점을 갖고 있다. 최근 들어 환경과 경관의 중요성이 부각되고 생태계 보호에 대한 관심이 높아지면서 기존의 획일적인 방법에서 탈피하여 친환경적인 대안을 찾고자 하는 노력이 확대되고 있다. 이러한 취지에 부합하는 대표적인 친환경적 하천 구조물 중 하나가 수제이다.
수제는 유수의 영향으로부터 제방과 하안을 보호하는 치수적 목적 이외에도 여러 가지 목적으로 이용될 수 있는데, Mayerle et al. (1995)의 연구와 하천설계기준(KWRA, 2009)에 자세히 명시되어 있다. 수제의 주요 설치 목적은 하천의 침식 작용으로부터 제방과 하안을 보호하고 흐름 방향을 조절하여 유로를 제어하는 것이다. 필요에 따라 토사 침전을 유발하거나 안정적인 생물 서식처 확보를 위한 국부 세굴 유도를 위해 이용되기도 한다. 또한, 하천 분류점이나 취수문 지점에서 유량 확보 목적으로 이용될 수 있으며, 주운을 위한 수심 확보의 목적으로 이용될 수도 있다. 이와 같이 수제는 이수, 치수 및 환경적인 목적을 위해 다양하게 이용될 수 있다. 그러나 국내에서는 수제 설치로 인해 발생되는 흐름 양상의 변화에 대한 연구와 수제 설계를 위한 세부적인 기준 등이 부족한 실정이다. 국내에서 시행된 수제 주변 흐름에 대한 연구는 난류 및 세굴의 영향을 고려하지 않은 경우가 대부분이다. 하천설계기준에 명시된 수제의 설계 기준도 일본이나 유럽에서 제안된 경험공식을 바탕으로 하고 있으며, 해당 기준에 대한 검증 및 적용성에 대한 근거가 미약한 실정이다. 공법 선정 등에 대한 기준도 다소 모호하게 명시되어 있기 때문에 설계 및 시공 과정에서 경험적인 방법에 대한 의존도가 높을 수밖에 없다. 이런 한계로 인해 수제가 여러 장점을 가진 하천 구조물임에도 국내 하천에서는 제한적으로만 이용되어 왔다. 다양하고 객관적인 연구를 통해 자료와 기준이 보완된다면 구조적 안정성 및 구조물의 효용성 판단에 대한 근거로 활용할 수 있을 것으로 기대된다.
기존 국내 연구를 살펴보면, Kang et al. (2005)이 불투과수제와 투과수제의 선단 유속 및 수제 하류 재순환 영역(Recirculation area)을 관측하였고, Yeo et al. (2006)은 단일 돌출수제의 길이 및 투과율 변화에 따른 흐름중심선과 수제 하류부 흐름분리영역의 특성을 파악하기 위한 실험 연구를 시행하였다. 또한, Kang et al. (2009)는 경사수제에 대한 주흐름 영역과 재순환 영역의 흐름 특성을 분석하였고, Kim et al. (2014)는 실험을 통해 설치 간격에 따라 변하는 수제 주변과 수제역 내 흐름을 분석하여 상향 수제에 대한 적정 설치 간격을 제시하였다. 이들 연구는 수제 설치 조건을 달리 하면서 ADV (Acoustic Doppler Velocimeter) 유속계와 LSPIV (Large Scale Particle Image Velocimetry) 기법을 이용해 수제 주위의 흐름에 대한 유속을 측정하고, 이를 이용하여 수제 선단의 유속과 수제 하류부에서 나타나는 재순환 영역의 범위 등을 제시하는데 초점을 두었다. Lee et al. (2015)는 3차원 ADV를 이용해 만곡수로와 수충부에 수제를 설치한 경우에 대한 3차원 유속을 측정하여 재순환 흐름의 유속 분포와 난류 에너지 분포를 연구하였다. 실험 연구 이외에 Lee and Jang (2016)이 2차원 수치모형을 이용하여 수제의 설치 간격과 길이 변화에 따른 흐름과 하도 변화의 특성을 파악한 바 있다.
국외의 경우, 국내에 비해 수제 주위에서 발생하는 난류 특성에 대한 실험 연구 및 수치해석 연구가 활발히 진행되고 있다. Dey and Barbhuiya (2005)은 수로에 한 쪽 측면에 사각형 장애물을 수직으로 설치하고 세굴 전·후에 발생하는 난류를 분석하였다. 이를 통해 흐름의 박리현상과 난류 운동에너지 분포를 분석하고, 레이놀즈 응력을 이용하여 바닥 전단응력을 산정하였다. Duan (2009)은 ADV를 이용하여 고정상의 개수로에 설치된 수제 모형 주변의 3차원 유속을 측정하여 시간평균유속, 레이놀즈 응력, 난류 운동에너지 및 바닥 전단응력의 분포를 검토하였다. 측정 결과를 토대로 수제 하류부에서 발생하는 주흐름과 재순환 흐름의 특성을 분석하고 수제 주변에서 발생하는 최대 바닥 전단응력이 유입부의 평균 바닥 전단응력보다 약 3배 정도 더 크다는 것을 밝혀냈다. Koken and Constantinescu (2008)은 고정상의 직선수로에 설치된 직사각형 수제 모형에 대하여 LSPIV 실험과 LES 모델을 이용한 수치해석을 시행하여 수제 주위에서 발생하는 와도(vorticity)의 구조와 바닥 전단응력 분포와 관계를 분석하고 세굴이 발생하는 과정을 규명하고자 했다.
기존 국내외 연구는 수제 인근의 국부적인 흐름 특성 규명에 초점을 맞춘 것이 대부분이다. 이는 수로 내에 수제가 설치되는 경우, 수제의 인접 구간에 흐름의 변화가 집중적으로 발생하기 때문인 것으로 판단된다. 그러나 구조물 설치로 인한 흐름의 변화는 하류로 갈수록 그 크기가 줄어들지만 상당히 멀리 떨어진 구간까지 지속적으로 하도에 영향을 미친다. 이를 고려하여 본 연구에서는 하류부 유속 측정 구간을 충분히 길게 선정하여 수제 주변부 뿐 아니라 하류부까지 충분한 구간에 대한 3차원 유속을 수집하였다. 유속 측정값을 이용하여 수제 주변 뿐 아니라 수제의 영향이 미미해지는 하류부 지점까지 망라한 유속 및 난류 특성 변화를 분석하였다. 또한, Froude 수(
)가 다른 두 가지 흐름에 대하여 각각 유속 측정을 시행하여 Froude 수가 다른 조건에서 수제 상하류 흐름 양상을비교 분석하였다.
2. 실험 조건
본 실험은 길이 18 m, 폭 0.9 m의 실험용 개수로에서 진행되었다. 수제 모형은 두께 4 cm, 길이 30 cm, 높이 40 cm의 아크릴판으로 제작하였으며, 실험 시 물에 잠기지 않도록 설치하였다. 수제 모형은 수로 하류 끝단으로부터 9 m 상류 지점에 설치하였다.
유속 측정에 이용된 초음파 유속계는 Nortek사의 Vectrino-Ⅱ 초음파 유속계(Acoustic Doppler Velocimeter)이며, 수로에 수제 모형과 유속계가 설치된 모습은 Fig. 1에 나타내었다. Vectrino-Ⅱ ADV는 기기 끝단 중심부로부터 5.0~5.5 cm 떨어진 지점의 유속에 대해 가장 높은 정확도를 보이는 것으로 알려져 있으므로(Rusello et al., 2006), 이를 고려하여 연직방향 측정 범위를 수로 바닥으로부터 0.005~0.14 m 구간으로 설정하였다. 유속 분포를 고려하여 각 지점마다 5~10분 동안 100 Hz의 주파수로 샘플링을 하여 약 3만~6만 개의 유속 측정값을 수집하였다. 이 때, ADV로 유속 측정 시 발생하는 노이즈는 Parshes et al. (2010)이 제안한 방법으로 제거하여 분석에 사용한 유속 측정값의 정확도와 신뢰도를 높였다.
본 실험에서는 Froude 수를 조절하여
과
인 두 가지 경우의 흐름 조건에 대하여 각각 유속을 측정하였으며, 실험 조건은 Table 1과 같다. 유속 측정은 수제 모형이 설치되 지점을 기준으로 상류 측으로 1.0 m, 하류 측으로 6.0 m 구간에서 총 23개 단면을 대상으로 이루어졌다. 수로에 수제 모형이 고정된 지점의 바닥 측 중심 부분을 기준 원점(0, 0, 0)으로 지정하고 Fig. 1과 같이 좌표계를 설정하였다. y축 방향으로는
구간에서 12개 지점(단, 
구간은 15개 지점), z축 방향으로는
구간에서 7개 지점을 유속 측정 지점으로 채택하여 총 1,946개 지점을 대상으로 유속을 측정하였다. 유속 측정 지점은 Fig. 2에 나타내었다. 측정된 각 유속 성분 값은 수제 모형 설치 지점으로부터 1.0 m 상류 측의 단면 평균유속을 이용하여 무차원화 하였다.
3. 실험결과
3.1 시간평균유속
각 지점에서 5~10분 간 측정된 순간유속을 시간에 대해 평균하여 시간평균유속을 산정하였다. 시간평균유속은 접근 단면의 단면평균유속(
)을 이용하여 무차원화 하였으며,
,
,
좌표는 각각 수제 길이(
), 수로 너비(
), 접근 단면의 평균 수위(
)를 이용하여 무차원화 하였다. 각 측정 지점의 무차원 시간평균유속을 이용해 수제 설치로 인한 유속 및 유향의 변화를 관찰하였다.
에 해당하는 3개의
평면에 대한 흐름 방향의 무차원 시간평균유속(
)과 유선 분포는 Fig. 3과 같다.
Fig. 3에서는 수제 하류부에서 시계 방향으로 회전하는 박리흐름이 발생하는 것을 확인할 수 있다. 종방향으로는 수면에 가까울수록 재순환 흐름의 회전 중심이 하류부로 이동하지만, 횡방향으로는 뚜렷한 차이 없이
부근에서 위치하는 것을 볼 수 있다. 또한, 수제 하류부에서 발생하는 재순환 흐름의 유선이 case1과 case2에서 유사하게 나타나 유량이 재순환 영역의 너비에 거의 영향을 미치지 않는다는 Yazdi et al. (2010)의 연구와 동일한 결과가 도출되었다. Fig. 3에서 재순환 흐름 영역의 유선은 case1과 case2에서 유사하게 나타나는 반면, 주흐름 영역에 해당하는 수로 좌측부의 유선은 Froude 수에 따른 차이를 보이는 것을 알 수 있다. 유선의 형태가 수로의 종방향(
방향)에 평행하면
이고 수로 좌측을 향하면
, 수로 우측을 향하면
에 해당한다. 수제 하류부에서 주흐름 영역 측의 유선 분포 형태를 보면, case1보다 case2에서 더 긴 구간에 대해 대안 측 벽면을 향하는
의 흐름이 유지되는 것을 볼 수 있으며, 바닥에 가까울수록 이 차이가 더 두드러지게 나타나는 것을 확인할 수 있다. 이는 수제 설치로 인하여 대안 측에 미치는 영향이 크므로 수제 설치 시 가능한 한 수리모형실험 등을 실시해서 재원을 결정해야 한다고 명시한 하천설계기준의 내용을 뒷받침하며, Froude 수의 크기에 따라 검토 구간의 길이에 차이가 있을 수 있다는 것을 의미한다.
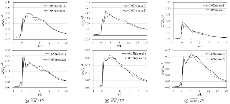
3.2 레이놀즈 응력 및 난류 운동에너지
난류 특성을 나타내는 레이놀즈 응력은 레이놀즈 연직응력(Reynolds normal stresses)과 레이놀즈 전단응력(Reynolds shear stresses)으로 구분된다. 본 연구에서는 접근 단면의 단면 평균유속을 이용하여 무차원화 하여 각 무차원 레이놀즈 응력의 변화 양상을 검토하였다. Fig. 4에 무차원 레이놀즈 연직응력에 해당하는
,
,
의 값을 표시하였다. Fig. 4에서 무차원 레이놀즈 연직응력은 수제를 지나면서 급격히 증가하여 수제 선단부에 인접한 하류 측 지점에서 최대가 된다. 수제에서 하류 측으로 멀어질수록 무차원 레이놀즈 연직응력 값은 작아지면서 변화 범위는 확대되는데, 세 항목 모두 유사한 양상을 보이는 것을 확인할 수 있다. 각 단면에서 최대 레이놀즈 연직응력은 case1과 case2 모두
(
) 주위에서 발생하였다. 수면에 가까운
의 경우,
구간에서는 최대 레이놀즈 연직응력 발생 지점이 수로 오른쪽(
)으로 치우지는 것을 볼 수 있었으나, 수로 바닥에 가까운
의 경우에는
구간에서도 최대 레이놀즈 연직응력 발생 지점이 재순환 흐름 영역 측으로 치우지지 않고
부근에서 위치하였다. 바닥에 가까운
평면에서
는 다른 두 항목에 비해 수제 선단부에 접한 지점에서 특히 크게 나타나는 특징을 보이고 있다.
Fig. 5는 각 횡단면의
와
에서 
구간에 대한 무차원 레이놀즈 연직응력의 최대값을 산정하여 흐름 방향에 대한 전체 실험 구간의 변화를 비교한 것이다. 수제에 인접한 지점에서 무차원 레이놀즈 연직응력의 변화가 크게 발생하며, 수제 직하류부 근처에서 무차원 레이놀즈 연직응력의 최대값이 발생하는 것을 볼 수 있다. 수제에 가까운 하류 측 지점에서 발생하는 무차원 레이놀즈 연직응력의 최대값은 case2에서 약간 크게 발생하였으나 그 차이는 미미하였다. 또한,
의 최대값은 수심 변화에 따른 차이가 크지 않았으나,
과
은 바닥 가까이에서 더 작게 나타났으며
는 그 차이가 확연히 드러나는 것을 확인할 수 있다.
| ||
Fig. 5. Longitudinal profiles of the maximum dimensionless Reynolds normal stresses within each cross section | ||
Fig. 6에는 무차원 레이놀즈 전단응력,
,
,
를 도시하였다.
은
과
에 비해 우세하였다.
의 경우, 바닥 근처에서는 재순환 영역에서 값이 크게 나타났고 주흐름 영역에 해당하는 수로 좌측부에서
분포가 발생하였다. 또한, 수면에 가까울수록
의 분포가 무차원 레이놀즈 연직응력 분포와 유사하게 나타나는 것을 볼 수 있다.
는 영향력이 가장 작은 무차원 레이놀즈 전단응력 성분이며, 수로 선단부에서 재순환 흐름의 유선과 유사한 경로를 따라 크게 나타났다.
의 경우, 바닥 근처의 평면에서는 수제 선단부와 수제 선단 직하류 지점에서 집중적으로 큰 값이 나타났으나, 수면에 가까운 평면에서는 최대값의 발생 지점이 하류 측으로 이동하고 Froude 수에 따른 차이가 크게 발생하는 것을 확인할 수 있다.
Fig. 7에서는 각 단면의 최대 무차원 레이놀즈 전단응력의 크기를 비교하였다. 최대 무차원 레이놀즈 전단응력은 case1과 case2에서 전반적으로 비슷하나, case2에서 약간 크게 나타났다. 바닥에 가까울수록 수제의 인접 지점에 최대 전단응력이 집중되는 경향을 확인할 수 있다. 다른 항목에 비해
는
평면과
평면에서 최대값의 발생 위치가 확연히 차이 나는 모습을 보였다.
에서
의 최대값은 수제로부터 멀리 떨어진 하류 측 지점에서 발생하였으며 Froude 수에 따른 차이도 비교적 크게 나타났다.
| ||
Fig. 7. Longitudinal profiles of the maximum dimensionless Reynolds shear stresses within each cross section | ||
난류 운동에너지(
)는 요동유속으로 산정한 운동에너지를 접근 단면의 평균유속을 이용하여 무차원화하여 분석하였다. Fig. 8은
,
의 평면에서 무차원 난류 운동에너지(
)의 분포를 나타낸 것이다. 난류 운동에너지는 수제를 통과하면서 급격하게 증가하고, 하류로 갈수록 그 크기는 작아지면서 영향 범위가 넓어지는 것을 볼 수 있다. 또한,
에서는 무차원 레이놀즈 연직응력과 마찬가지로 각 단면의 최대 무차원 난류 운동에너지가
인 하류부에서는 재순환 영역으로 치우친 위치에서 발생하는 경향을 보인다.
Fig. 9는 Froude 수의 변화에 따라 각 단면의 최대 무차원 난류 운동에너지를 비교한 그래프이다. Froude 수가 달라도 최대 무차원 난류 운동에너지의 값과 변화 양상은 유사하였으나,
와
에서 일관되게 case2의 최대 무차원 난류 운동에너지가 약간 크게 나타났다. 또한, 수제 인접 부근에서 무차원 난류 운동에너지의 변화가 크게 발생하는 것을 볼 수 있다.
| |
Fig. 9. Longitudinal profiles of the maximum dimensionless turbulence kinetic energy within each cross section | |
3.3 바닥 전단응력
바닥 전단응력(bed shear stresses,
)는 각 지점에서 레이놀즈 전단응력의 연직 분포를 이용하여 산정하였다. 난류 흐름의 바닥 전단응력을 산정하는 방법은 레이놀즈 전단응력의 연직 분포를 이용하는 방법, 로그 법칙(log-law)을 이용하는 방법 및 난류 강도(turbulent intensity) 분포를 이용하는 방법 등이 있다. 이 중 난류 강도 분포를 이용하는 방법은 해당 경험식에 제시된 상수의 보편성이 충분히 확보되지 않았으며, 2차원 경계층 조건을 만족하는 흐름에만 제한적으로 이용될 수 있으므로(Noss et al., 2010) 검토 대상에서 제외하였다. 접근 단면에서 레이놀즈 전단응력을 이용하는 방법과 로그 법칙을 이용하는 방법으로 바닥 전단응력을 산정하여 비교한 결과는 Table 2와 같다. 로그 법칙을 이용하여 산정한 값이 레이놀즈 전단응력의 연직 분포를 이용하여 산정한 값보다 대부분 크게 나타났으나 그 차이는 비교적 크지 않은 것을 확인할 수 있다. 그러나 흐름이 수제에 접근하여 통과하는 과정에서 복잡하게 변하면 로그 법칙에 적합한
분포를 찾을 수 없어진다. 이를 고려하여 본 연구에서는 Duan (2009)이 이용한 레이놀즈 전단응력의 연직 분포를 이용한 바닥 전단응력 산정 방법을 이용하였다.
일반적인 난류 경계층 흐름에서 레이놀즈 전단응력의 연직 분포는 Fig. 10(a)에 나타난 바와 같이 바닥에 가까워질수록 증가하다가 바닥에 인접한 구간에서는 점성력으로 인해 급격히 감소하는 경향을 보인다. 본 연구에서는
구간에서 측정한 7개의
와
의 연직 분포를 검토해 수로 바닥에 해당하는
와
를 추정하였다. Fig. 10(b)는 case1에서 접근 단면에 해당하는
단면의
와
지점에 대한
의 연직 분포를 나타낸 것인데, Fig. 10(a)와 같이 바닥에 가까워질수록 증가하다가 바닥 인접부에서 감소하는 경향을 확인할 수 있다. Fig.10(b)와 같이 각 지점에서 레이놀즈 전단응력의 연직 분포에 대한 추세를 고려하여 바닥 전단응력을 추정하였다. 수제 하류부에서는 흐름의 특성이 변화하면서 레이놀즈 전단응력의 연직 분포 양상이 복잡해지고 수면 측과 바닥 측의 경향성이 상이하게 나타나는 경우도 많았다. 이를 고려하여 주로 바닥으로부터
에 해당하는 구간의 레이놀즈 전단응력 연직 분포를 참고하여 바닥 전단응력을 추정하였다.
와
의 연직 분포를 통해
와
를 각각 산정한 후,
으로 바닥 전단응력을 산정하였으며,
으로 바닥 전단응력을 무차원화 하였다. 기존 연구들의 대부분이 수제에 인접한 구간에서 발생하는 최대 바닥 전단응력의 크기 및 발생 위치에 연구의 초점을 맞추었다. 이에 반해, 본 연구는 수제 하류부의 충분한 구간에 대해 바닥 전단응력의 변화를 검토함으로써 수제 설치로 인한 바닥 전단응력 변화가 지속되는 범위 및 변화 양상을 살펴보고, 이를 통해 수로 전반에 걸쳐 세굴에 취약한 구간을 유추해 볼 수 있다.
무차원 바닥 전단응력은 Fig. 11에 나타내었으며, A~D로 표기한 네 부분에서 두드러진 값을 보인다. A 구간은 수제 선단부에서 시작해 유선의 형태를 따라
부근까지 이르는 구간인데, Fig. 6의
에서
와
의 크기가 크게 나타나는 지점과 일치한다. 이는 수제 선단부에서 최대 바닥 전단응력이 발생한다는 Rajaratnam and Nwachukwu (1983)의 연구 내용을 뒷받침한다. B 구간은 수제와 바로 접한 상류 측 단면 부분이다. A~B 구간은 수제 배후면에서 수제 선단을 돌아나가는 형태로, Koken and Constantinescu (2008)이 연구한 수제 주변에서 발생하는 와도의 형태 및 바닥 전단응력 분포 결과와 유사한 형태를 보인다. C 구간은 수제 선단에서 연직 하류부에 해당하는 구간으로
와
의 크기가 크게 나타나는 구간과 일치한다. C 구간을 지나
부근에서 바닥 전단응력이 감소하다가
구간의 수로 중앙 부분에서 다시 증가하는 것을 확인할 수 있다. 이는 Fig. 11의 D에 해당하는 구간으로, 무차원 바닥 전단응력의 크기는 수제 인접부에서 발생하는 최대값에 비해 작지만 영향 범위는 더 넓게 나타나는 것을 볼 수 있다. 바닥 전단응력의 분포는 case1과 case2에서 유사한 형태로 나타났다. Fig. 12에서 각 단면의 최대 바닥 전단응력의 크기를 비교해 본 결과, 수제 선단부(A)와 수제 직하류부 단면(B)에서 발생하는 최대 바닥 전단응력은 case2가 case1보다 더 크게 나타났다.
4. 결 론
본 연구에서는 수제 모형이 설치된 수로에서 수제로 인해 발생하는 상하류의 흐름 변화를 알아보기 위한 실험을 수행하였다. 직선 수로의 오른쪽 벽면에 수면으로 돌출되는 구조의 수제 모형을 부착하고, 3차원 초음파 유속계를 이용하여 각 지점에서
,
,
방향에 대한 시간평균유속과 요동유속을 각각 측정하였다. 측정된 유속 성분을 이용하여 수제 상하류의 시간평균유속, 레이놀즈 응력, 난류 운동에너지 및 바닥 전단응력의 크기와 공간적인 변화 양상을 검토하였다. 이를 통해 수제 하류에서 발생하는 재순환 흐름 및 수제 설치로 인한 난류 특성을 검토하고, 바닥 세굴과 직접적으로 연관된 바닥 전단응력의 변화 양상 등을 확인하였다. 유량 조건을 변화시켜 Froude 수가 다른 두 가지 경우에 대하여 각각 유속 측정값의 분석 결과를 비교하여 Froude 수의 차이에 의한 흐름 특성의 차이도 함께 검토하였다.
무차원 시간평균유속을 이용한 유선의 형상을 통해 수제 하류부에서 시계 방향으로 회전하는 재순환 흐름을 확인할 수 있었다. 수로 바닥에 가까울수록 재순환 흐름의 회전 중심은 수제에 가까운 상류 쪽으로 이동하면서 회전 반경이 작아지는 것을 확인할 수 있었으며, Froude 수와 재순환 흐름 형상의 상관관계는 미미함을 알 수 있었다. 바닥에 가까울수록 재순환 흐름의 회전 반경이 작아지는 이유는 바닥에 가까울수록 바닥 마찰로 인해 주흐름 방향의 유속이 작아져 수제 가까이에서 유속 벡터가
방향으로 굴절되기 때문인 것으로 추정되나 더욱 정확한 원인 파악을 위해서는 다양한 추가 연구가 필요할 것으로 판단된다.
무차원 레이놀즈 연직응력은 수제를 통과하면서 급격히 증가했다가 하류로 갈수록 그 크기는 작아지고 변화 범위는 넓어졌다. 또한, 최대값 발생 위치가 재순환 영역 측으로 이동하는 것을 확인할 수 있었다. 수제 직하류부 근처에서 발생하는 최대 무차원 레이놀즈 연직응력은 Froude 수가 큰 case2에서 다소 크게 나타났다. 무차원 레이놀즈 전단응력은
이
와
에 비해 우세하였으며, 세 항목 모두 case2의 최대값이 case1의 최대값보다 크게 나타났다. 바닥 근처의
와
는 수제 선단 부분과 수제 직하류부에서 두드러지게 큰 경향을 보였는데, 이는 바닥 전단응력이 크게 나타나는 구간과 일치한다. 무차원 난류 운동에너지도 Froude 수가 큰 case2에서 더 크게 나타났으나 변화 양상은 두 경우에서 유사하게 나타났다.
세굴 현상과 밀접한 관계가 있는 바닥 전단응력은 case1과 case2 모두 수제 선단부에서 최대값이 발생하였다. 수제에 접한 직상류 지점과 수제 선단부, 수제 선단의 직하류부에서 무차원 바닥 전단응력이 크게 나타났다. 무차원 바닥 전단응력의 최대값은 Froude 수가 큰 case2에서 다소 크게 나타났지만 Froude 수에 따른 무차원 바닥 전단응력 값의 변화 양상은 유사하게 나타났다. 이는 시간평균유속의 크기 및 유선 분포와 다른 양상을 보이고 있다. 따라서 시간평균유속 정보만 이용하여 수제 설치로 인한 흐름 변화와 세굴 양상을 예측하는 것은 바람직하지 않다. 구조적으로 안전한 수제의 설계와 시공을 위해서는 난류의 특성 및 수제 선단과 직하류부에 바닥 전단응력이 집중되는 현상을 고려할 필요가 있을 것으로 판단된다. 또한, 웅덩이 유발을 통해 하천 생태 조건 향상을 도모하기 위해 수제를 이용하는 경우에도 난류의 특성을 고려하면 적절한 구조물의 효과와 효용 범위를 예측할 수 있을 것이다.
본 연구에서는 Froude 수가 다른 두 가지 경우의 흐름만 검토 대상으로 한정하여 Froude 수에 따른 난류 특성의 일반적인 변화 경향을 예측하기에는 한계가 있다. 향후 다양한 Froude 수의 흐름을 추가로 검토한다면 Froude 수와 수제 주변에서 발생하는 난류 특성 변화 사이의 일반적인 관계로 결론으로 확장시킬 수 있을 것이다. 또한, 수제 길이나 설치 각도 및 배열 등의 여러 인자를 고려한 연구가 추가로 이루어지면 수제 및 이와 유사한 하천 구조물이 흐름에 미치는 영향을 밝혀낼 수 있을 것이며 수제 설계에 필요한 기술 축적에 기여할 수 있을 것으로 기대된다.





) contours and streamlines




) contours



