1. 서 론
2. 연구방법
2.1 모형 적용 대상지역
2.2 다중 회귀 분석(multiple regression analysis)
2.3 비동질성 은닉 마코프 모형을 이용한 일단위 토양수분함량 모의기법
2.4 코플라함수를 이용한 합성가뭄지수 산정 및 이변량 빈도해석
3. 연구결과
3.1 GM-NHMM 기반 토양수분 모의
3.2 합성가뭄지수 산정
3.3 이변량 빈도해석
4. 결론 및 토의
1. 서 론
전 세계적으로 가속화되는 기후변화의 영향으로 폭염, 가뭄, 홍수 등 여러 기상재해가 기존의 시공간적 범위를 벗어나 발생하고 있다. 우리나라 역시 급격한 기후변화의 영향으로 장마기간의 뚜렷한 특징이 점차 사라지고 있으며, 특히 최근 4년간(14년 - 17년) 총 강수량과 여름철 강수량이 평년치에 비해 현저하게 작아 극심한 가뭄을 겪은 바 있다. 가뭄을 평가하기 위한 여러 가뭄인자 중에서 토양수분은 일정 부피의 토양 내에 함유된 수분의 부피를 나타내며, 이는 가뭄평가에 대한 기초자료로서 중요할 뿐만 아니라 수문기상분야에서 물의 순환을 이해하는데 필수적인 요소로 여겨져 유역단위의 수문모델링 수행 시 물수지 관점에서 매우 중요한 인자로 고려된다. 토양수분이 물 순환 과정에서 차지하는 이러한 중요성에도 불구하고 강우, 수위 등 다른 기상 및 수문인자와 비교하여 매우 적은 관측 지점과 짧은 관측기간으로 인해 수문 분석 및 실무에 활용 시 관측 자료의 활용은 매우 제한적이다. 최근 현장측정 지점수를 늘리는 노력과 더불어, 레이더, 인공위성 등 원격탐사 기술을 활용한 토양수분 정보를 취득하기 위한 연구와 투자가 활발하게 이루어지고 있다. 특히, 원격탐사기반의 토양수분 자료는 기존 관측 자료의 시공간적 한계를 극복하고 전 지구적으로 비교적 양질의 데이터를 제공 한다는 장점으로 인해 활용도가 점차 높아지고 있다. 유럽우주항공국 ESA (European Space Agency)은 지난 2009년 SMOS (Soil Moisture and Ocean Salinity) 위성을 발사하여 전 지구 스케일의 토양수분자료를 제공하고 있으며, 지난 2015년 미항공우주국(NASA)에서는 지구의 토양수분을 측정하고 토양의 결빙과 해빙 상태를 관찰하기 위한 SMAP (Soil Moisture Active Passive) 위성을 발사하여 세계 토양수분 분포도 등 다양한 형태로 토양수분관련 자료를 제공하고 있다.
그러나 위성관측 토양수분은 지상관측을 통해 취득된 토양수분자료에 비해 상대적으로 낮은 해상도의 정보를 제공하며, 두 자료 간의 시공간 해상도와 관측 깊이의 차이로 인한 구조적 편의(systematic bias)도 보이게 된다. 반면, 지점관측 자료는 특성상 대규모 유역을 대표하기는 한계가 있다. 이에 따라 원격탐사를 통해 얻어진 토양수분자료를 실제 수문모델링에 사용하기 위해 원격탐사 기술을 통해 취득된 토양수분 관측 자료의 신뢰도를 평가하고 활용성을 제고하여 실무에 적용하기 위한 기법 중에 하나로, 통계·물리적 기반의 상세화(downscaling) 방법을 적용 위성관측 자료의 공간 분해능을 개선하기 위한 연구가 많이 수행되고 있다. 최근 기계 학습(Machine Learning) 기술이 위성관측 토양수분자료의 공간 분해능을 개선하기 위해 사용된 바 있다(Srivastava et al., 2013; Park et al., 2017; Xing et al., 2017). Srivastava et al. (2013)은 인공 신경망(ANN), 서포트 벡터 머신(SVM)을 포함한 여러 가지 기계 학습 기술을 적용하여 SMOS (Soil Moisture Ocean Salinity Satellite) 토양수분자료(공간해상도: 25 km)를 MODIS (Moderate Resolution Imaging Spectroradiometer)의 지표면 온도를 이용하여 상세화하였으며, Park et al. (2017)은 MODIS (Moderate Resolution Imaging Spectro-radiometer)에서 제공하는 지표면 온도, NDVI (Normalized Difference Vegetation Index), 토지 피복도, 수치 표고 자료(Digital Elevation Model)와 같은 네 가지 매개 변수와 AMSR2 (Advanced Microwave Scanning Radiometer 2) 및 ASCAT (Advanced Scatterometer)의 토양수분자료를 결합한 수정 회귀 트리 모델을 기반으로 한 downscaling 방법을 개발하였다.
본 연구에서 활용된 NHMM (Non-homogeneous Hidden Markov Model)기반의 모의기법은 수문학과 기상학 분야에서 모두 사용된 바 있으며(Mehrotra and Sharma, 2005; Khalil et al., 2010; Cioffi et al., 2017), 수문분야에서는 강우에 대한 상세화 및 모의를 위해 NHMM 기법이 주로 사용되었다. 반면 본 연구에서는 유역 내 다 지점의 토양수분함량을 지점간 상관관계를 고려하여 추정하기 위해 NHMM을 활용한 다변량 통계 모형을 강우 및 온도자료 등을 결합하여 구축하였다. 모의된 자료는 관측치와 비교·평가를 통해 본 연구에서 제안된 모형의 수행능력을 검증하였다. 또한, 모의된 토양수분 자료를 활용하여 가뭄지수를 산정하고 이를 통해 과거 가뭄 사상을 평가하였다. 강우량을 이용한 기상학적 가뭄지수는 가뭄의 출현(onset)을 감지하는데 우수한 반면, 토양수분을 이용한 가뭄지수는 지속성(persistence)을 평가하는데 유용하다(Hao and AghaKouchak, 2013). 따라서 강우와 토양수분 정보를 합성한 가뭄지수는 기존의 개별 인자를 통한 가뭄 평가의 한계를 극복함과 동시에 토양의 습윤, 건조 등 다양한 상태 분리가 가능하고 이들 상태간의 천이확률을 효과적으로 모의하여 관측 토양함수 자료의 통계적 특성 재현도 가능하다.
2. 연구방법
2.1 모형 적용 대상지역
본 연구에서는 전라북도 지역을 대상으로 토양수분 모의 및 합성가뭄지수 산정을 통한 종합적인 가뭄평가 기법을 적용하였으며, 전라북도 지역의 기상청 산하 6개 관측소(군산, 전주, 부안, 임실, 정읍, 남원)와 농촌진흥청 산하 6개 관측소(진안, 김제, 정읍, 무주, 순창, 장수)에서 강우량, 기온, 습도 및 토양수분 자료를 취득하였다. Fig. 1에 지상관측소의 위치를 나타냈으며, 기상청 관측소의 경우 1973~2016년 기간의 자료를 구축하였고 농촌진흥청 관측소의 경우 데이터 품질을 고려 2015~2016년 기간의 자료를 이용하였다.
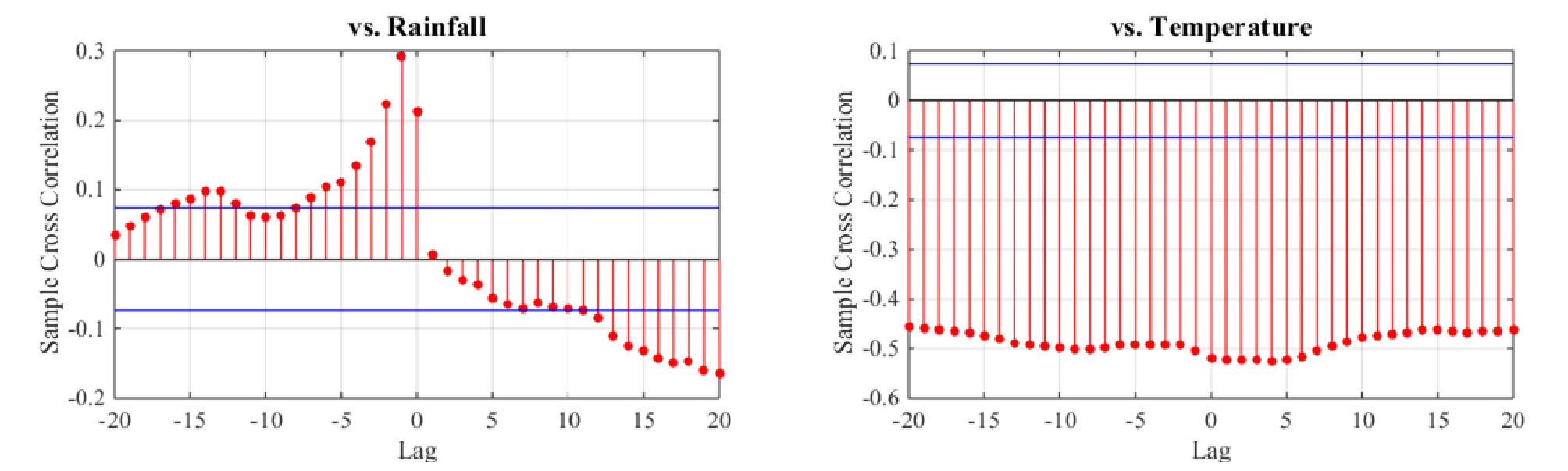
구축된 지상관측 토양수분자료와 강우량, 기온 등 외부인자 간에 시간종속적인 상관관계를 파악하기 위해 교차상관 분석(Cross correlation)을 수행하였다. Fig. 2와 같이, lag –1에서 가장 높은 상관성을 갖는다고 판단할 수 있으며, 이에 따라 모형 적용 시 토양수분자료와 강우량, 기온 간에 1일의 지연상관관계를 고려하였다.
2.2 다중 회귀 분석(multiple regression analysis)
다중 회귀 분석은 독립 변수가 2개 이상인 회귀 모델에 대한 분석을 수행하는 방법으로 변수 간의 인과 관계를 통계적 방법에 의해 추정하는 회귀 분석 방법 중 하나이며, 추가적인 독립변수를 고려함으로써 계산과정은 복잡해지지만 단순 회귀 분석 시 발생하는 오차를 줄일 수 있다는 장점을 가지고 있다. 본 연구에서 비동질성 은닉 마코프 모형에 대한 평가를 위해 다중 회귀 분석결과와 비교하고자 하였으며, 다중 회귀 분석 수행 시 토양수분을 종속변수로 강수량과 기온을 독립변수로 하였다. 또한 본 연구에서 종속변수로 고려한 토양수분의 오차에 대해 단순 회귀 분석과 동일하게 정규분포를 따른다고 가정하였다.
| $$SM_s(t)\;\sim\;Normal(\mu(t),\;\sigma)\;\;\;s=1,\;\cdots\;,\;n_s$$ | (1) |
| $$\mu(t)=(\beta_0+\beta_1\times R(t-1)+\beta_2\times TM(t-1))$$ | (2) |
Eq. (2)에서 SM은 농촌진흥청 산하 지상관측소를 통해 얻어진 토양수분을 나타내며 R, TM은 각각 기상청 산하의 관측소에 대한 강우량 및 온도 관측자료이다. 이때 Fig. 2에서 나타낸 바와 같이 토양수분과 본 연구에서 사용된 수문기상인자들 간의 교차상관(cross correlation)은 1일의 시간 차이(t-1)를 가질 때 가장 크게 나타나므로 다중 회귀 분석 시 이러한 관계를 고려하였다.
2.3 비동질성 은닉 마코프 모형을 이용한 일단위 토양수분함량 모의기법
은닉 마코프 모형은 마코프 연쇄(markov chain)를 기반으로 하는 추계학적 모형으로서 은닉상태(hidden state)를 예측하기 위해 관측 자료로부터 추론된 통계적 특징을 모델링하는 기법이다. 마코프 연쇄 모형의 기본 개념은 짧은 과거의 기억을 통해 미래 상태를 예측하는 것으로서, 이는 조건부확률(conditional probability)로 나타낸다. 미래의 상태가 과거의 상태와는 독립(independence)이고 단지 가장 근접한 k개의 이전 상태에 의해서만 영향을 받을 때, k차 마코프 연쇄 모형(Markov Chain Model)이라 한다. 즉, 1차 마코프 연쇄모형은 미래시점의 상태가 과거에 대해서는 독립(independence)이며 가장 근접한 현재시점의 특성에 의해서 영향을 받는다고 가정한다. 은닉 마코프 모형은 시계열 자료의 통계적 특성을 매우 효과적으로 설명할 수 있는 모형으로 알려져 있으며, 확률론적 과정을 통해 얻어진 은닉상태열의 특성을 활용하여 관측시계열을 예측할 수 있는 이중의 확률론적 과정이라고 할 수 있다. 관측시계열이 주어졌을 때 어느 한 시점에서의 값은 특정한 은닉상태에 있고 해당 상태의 범주 안에 존재하는 하나의 관측 기호(symbol)를 갖게 되며, 각 시점에서의 상태는 확률과정을 통하여 전이된다. Fig. 3은 비동질성 은닉 마코프 모형의 개념도이며, 여기서 R1,…, RT는 관측시계열을 의미하고 S1,…, ST와 X1,…, XT는 각각 은닉상태열과 예측인자를 나타낸다.
본 연구에 적용된 비동질성 은닉 마코프 모형은 자료를 모의하는데 외부 변화를 인지하고 시간적인 종속성(time dependent)을 효과적으로 고려하기 위해서 예측인자를 도입하여 활용한다. 예측인자를 사용함으로써 동적 모형의 형태를 가지게 되며 모형의 매개변수에 대하여 시간적 변동성을 고려하므로 자료의 특성변화를 효과적으로 재현할 수 있다. 본 연구에서는 토양수분함량 모의를 위해 강우, 기온 등 예측인자의 특성을 반영하였으며, 이러한 경우 예측인자와의 충분한 상관성이 확보되어야만 모의결과가 실측치와 유사한 거동을 나타낼 수 있다. 비동질성 은닉 마코프 모형은 각 시간단계에서 전이확률 및 출력확률밀도함수(emission probability density function) 추정이 요구되며, 이때 출력확률밀도함수가 가우시안 혼합 분포(Gaussian mixture distribution)의 형태를 갖는 것으로 가정하였다. 예측인자 X1 : T에 대한 상태 S1 : T의 출력열 R1 : T이 발생할 확률은 Eq. (3)과 같이 나타낼 수 있으며, Eq. (4)에 나타낸 바와 같이 모형에 대한 매개변수(θ)를 결정하기 위해 최우도법(Maximum likelihood method)을 적용하였다. 최우도법은 표본의 발생확률이 최대가 되도록 매개변수를 추정하는 방법으로 발생결합확률과 확률분포 매개변수의 함수로 정의되는 우도함수로 결정하며 계산 시 편리성을 위해 대수우도함수(log-likelihood function)가 주로 사용된다(Baun et al., 1970). 또한 본 연구에서는 은닉 마코프 모형의 최적 매개변수()를 결정하기 위해 주로 이용되는 EM (Expectation-Maximization) 알고리즘의 일종인 Baum-Welch 재추정 알고리즘을 활용하여 반복적인 과정을 통해 모형의 최적 매개변수를 선정하였다.
| $$P(R_{1:T,}S_{1:T}\vert X_{1:T})\;=\;\left[P(S_1\vert X_1)\prod_{t=2}^TP(S_t\vert S_{t-1,}X_t)\right]\;\left[\prod_{t=1}^TP(R_t\vert S_t)\right]$$ | (3) |
2.4 코플라함수를 이용한 합성가뭄지수 산정 및 이변량 빈도해석
코플라 함수는 두개 이상의 변수가 서로 다른 주변분포를 가지고 있을 때 상호간에 의존 관계를 파악할 수 있으며, 특히 결합분포의 극대 또는 극소에 대한 관계 파악에 용이하다(Kwak et al., 2012; Kwon and Lall, 2016). 즉, 변량간의 의존 관계에 대한 구조에서 꼬리부분의 관계를 효과적으로 분석할 수 있다는 점에서 수분량의 부족이라는 극소의 문제와 직접적으로 연관되는 가뭄에 대한 분석 시 활용되기에 적합하다고 판단하였다. 본 연구에서는 가뭄을 평가하기 위해 강우량과 토양수분을 표준지수화 하였으며, 두 가뭄지수를 하나의 합성가뭄지수형태로 표현하여 보다 종합적으로 가뭄을 평가하였다. 각각의 가뭄지수에서 가뭄인자로 사용된 강우량과 토양수분은 강우-유출의 관점에서 바라봤을 때 어느 정도 상관관계를 가지고 있을 수밖에 없으며 지형, 지질 및 강우와 같은 특성들이 서로 다르기 때문에 지점별로 매우 복합적인 연관성을 갖고 있다. 이러한 연관성을 유지시키면서 평가하기 위해 코플라 함수를 사용하였으며, 이때 각 자료에 대한 최적 주변분포(marginal distribution)와 최적 코플라 함수를 결정하기 위해 우도함수를 이용하였다. Table 1에 본 연구에서 사용한 코플라 함수를 나타냈으며, 합성가뭄지수 산정결과에 대하여 가뭄의 지속시간과 심도를 함께 고려한 이변량 결합재현기간을 산정하기 위해 다음 식을 이용하였다.
Table 1. Copula functions for estimation of bivariate joint drought index
| Copula | Functions |
| Gaussian | |
| Gumbel | |
| Frank | |
| Clayton | |
| Student's t |
| $$T_{DS}=\frac{E(L)}{P(D\geq d,S\geq s)}=\frac{E(L)}{1-F_D(d)-F_S(s)+C(F_D(d),\;F_s(s))}$$ | (5) |
Eq. (5)에서 TDS와 E(L)은 각각 결합재현기간과 가뭄의 발생간격을 의미하며, 여기서 D≥d이고 동시에 S≥S인 경우의 결합확률을 산정하기 위해 코플라 함수가 활용되었다(Kim et al., 2006).
3. 연구결과
3.1 GM-NHMM 기반 토양수분 모의
본 연구에서는 자료 기간을 확장하기 위해 GM-NHMM 모형을 통해 연구대상지역의 토양수분을 모의하였으며, 모형의 모의성능을 평가하고자 관측자료가 구축되어있는 2015~ 2016년 기간에 대하여 다중 회귀 분석과 GM-NHMM의 토양수분함량 모의결과를 비교·평가하였다. Fig. 4는 강수량 및 온도를 이용한 다중 회귀 분석을 통한 연구대상지점의 토양수분 모의결과를 나타내고 있으며, 관측치와 회귀분석을 통한 추정치의 상관계수는 0.45~0.69로 시계열 자료상에서 경향성은 어느 정도 따르는 것으로 나타났지만 평균 이하의 토양수분에 대한 추정이 잘 이루어지지 않는 것을 확인할 수 있다. Fig. 5는 GM-NHMM을 이용한 연구대상지점의 토양수분 모의결과를 나타내고 있으며, 다중 회귀 분석과 동일하게 관측치와 추정치 간에 상관계수를 산정한 결과 지점별로 0.56~0.84으로 나타나 다중 회귀 분석에 비해 우수한 상관성을 보였다. Fig. 5에서 빨간색 선이 모의된 토양수분이고 이에 대한 불확실성 구간을 회색의 범위로 표시하였으며, 불확실성 구간은 모형 매개변수 산정을 위한 Baum-Welch 알고리즘을 의하여 산정된 1000개의 매개변수로 산정하였다. GM-NHMM 기법을 활용한 토양수분 모의결과 다중 회귀 분석에 비해 토양수분의 다양한 범위에 대한 변화양상을 잘 모의하는 것을 확인할 수 있었다. 추가적으로 시계열자료의 예측 정확도를 평가하기 위해 주로 이용되는 상관계수(Correlation coefficient, R)와 절대평균오차(Mean Absolute Error, MAE)를 산정하여 모의정확도를 측정하였다. Table 2 산정 결과에서 6개 지점 모두 다중 회귀 분석과 비교하였을 때 GM-NHMM을 이용한 모의결과가 상대적으로 우수한 것으로 나타났으며, 이에 따라 과거 1973~2014년에 대한 기상자료(강우, 온도)를 독립변수로 GM-NHMM에 적용하여 과거 토양수분을 모의하였다. 즉, 40년 동안의 강우 및 온도 시계열을 GM-NHMM 모형의 입력자료로 활용하여 과거 토양수분 시계열을 추출하였으며, 이를 장기간의 SSI로 변환하여 분석에 활용하였다.
Table 2. Comparison of prediction accuracy between in-situ observation and simulated soil moisture
3.2 합성가뭄지수 산정
본 연구에서는 강우량과 토양수분함량을 이용하여 하나의 합성가뭄지수를 산정하고자 각각 표준지수의 형태로 나타내었으며, 기존에 국내외에서 수행된 다수의 연구에서 가뭄평가를 위해 표준강수지수(Standardized Precipitation Index, SPI) 및 표준토양수분지수(Standardized Soil moisture Index, SSI)가 활용되었으므로 이에 대한 설명은 간략히 하였다. SPI는 Mckee et al. (1993), Mckee (1995)에 의해 제안되어 기간별 누적강수량이 평년치보다 얼마나 많은지 적은지를 계량화한 대표적인 기상학적 가뭄지수로 1, 3, 6, 12개월 누적강수량에 대하여 SPI-1, SPI-3, SPI-6, SPI-12와 같이 나타낸다. SPI 산정시 Gamma 분포를 이용 매개변수 추정하고 도출된 매개변수를 활용하여 누가분포함수를 산정 후 최종적으로 표준정규분포에 적용하여 SPI지수를 산정하는 것이 일반적이나, 본 연구에서는 강우 분포의 시공간적 변동성을 감안하여 우도함수, BIC 등의 평가 지표를 활용하여 지점별 최적 분포형을 결정·적용하였다(Farahmand and AghaKouchak, 2015). SSI 역시 SPI와 동일한 과정으로 산정하였으며, 토양수분은 토립자 혹은 토양공극 사이에 존재하기 때문에 다른 수문기상인자와 비교하여 지속성이 크다는 특성과 가뭄의 발생속도, 지연효과 등을 고려하여 6개월 기간의 누적시계열을 이용한 SPI-6, SSI-6 가뭄지수를 합성가뭄지수 산정 및 이변량 빈도해석에 대한 적정 가뭄지수로 선정하였다. 지점별 최적 코플라 함수는 본 연구에 적용된 5개의 코플라 함수(Gaussian, Gumbel, Clayton, Frank, Student’s t Copula)에 대한 대수우도함수를 활용하여 결정하였다. 그 결과 무주와 장수지점의 경우 Gaussian Copula가 최적 코플라 함수로 선정되었으며, 진안, 순창지점의 경우 Frank Copula, 김제, 정읍지점의 경우 Student’s t Copula가 최적 코플라로 결정되었다.
Fig. 6은 지점별 합성가뭄지수 산정결과를 나타내며, 합성가뭄지수 산정결과를 실제 가뭄이 발생한 사례와 비교하여 간접적으로 검증하고자 Kim and Lee (2011)이 정리한 과거 가뭄 기록과 기상청의 수문기상 가뭄정보 시스템에 공개되어 있는 과거 가뭄 사례, 한국수자원공사의 국가가뭄정보분석센터에서 제공하는 가뭄의 사례 등을 참고하였다. 본 연구의 대상지역인 전라북도 지역에 대하여 1977년, 1978년, 1979년, 1982년, 1988년, 1991~1992년, 1994년~1995년, 2000~2001년, 2006년, 2008~2009년, 2012년(Jang et al., 2016) 등 기간에서 가뭄발생에 대한 기록을 확인하였으며, 이에 따라 가뭄의 실제 발생 시기에 합성가뭄지수 산정결과가 어떠한 가뭄상태를 나타내고 있는지 비교하였다. 그 결과 대부분의 실제 가뭄발생시기에서 합성가뭄지수에 대한 결과 역시 가뭄인 것으로 나타났으며, 특히 전라북도 지역에 가뭄으로 인한 비상급수의 시행 기록이 있는 1994~1995년과 2008~2009년에 대한 합성가뭄지수 산정결과에서도 모든 지점에서 극심한 가뭄을 나타내는 것을 확인하였다. 다만 전라북도 지역에 극심한 가뭄이 발생한 것으로 기록되어있는 2006년 10월의 경우 합성가뭄지수 산정결과는 모든 지점에서 가뭄이 아닌 것으로 확인되었으며, 반대로 2004년과 2005년에는 전라북도 지역에 가뭄이 발생하였다는 기록을 찾아볼 수 없었으나 합성가뭄지수 산정결과에서는 심한 가뭄으로 나타나 가뭄을 과소 또는 과대평가한 사례도 확인하였다. 가뭄지수 중 SPI는 가뭄상태에서 정상상태로 전이되는 과정이 토양수분을 고려한 SSI 및 MSDI보다 빠른 것을 확인할 수 있으며, 이러한 점에서 SPI에 비해 합성가뭄지수를 기준으로 산정된 가뭄의 지속시간이 길게 추정될 수 있다.
3.3 이변량 빈도해석
본 연구에서는 합성가뭄지수 산정결과에 대하여 가뭄의 절단수준을 SPI에 의한 가뭄구분 기준인 –1 로 결정하고 가뭄의 지속기간 및 심도를 산정하였으며, 산정된 2개의 변량에 대해서 이변량 가뭄빈도 해석을 수행하여 과거 전라북도 지역에 발생한 가뭄의 결합재현기간을 평가하였다. 이변량 가뭄빈도해석 수행 시 가뭄의 지속시간과 심도에 대한 주변확률분포를 우선적으로 결정하는 과정이 요구되며 수문학적 빈도해석에 사용하는 연속확률분포를 대상으로 대수우도함수를 산정하여 최적 주변분포함수를 검토한 결과 가뭄의 심도와 지속시간에 대하여 각각 Weibull 분포와 Gamma 분포를 최적 주변확률분포로 결정하였다. 주변확률분포를 결정한 후 결합확률 산정을 위해 코플라 함수 역시 각 지점별로 가장 적합한 함수를 선정하고자 대수우도함수를 활용하였으며, 진안, 순창, 장수지점은 Gaussian Copula 그리고 김제, 정읍, 무주지점은 Gumbel Copula를 최적 코플라 함수로 결정하였다. 지점별로 이변량 빈도분석을 실시한 결과를 Fig. 7에 나타냈으며, 최근 발생하였던 극심한 가뭄을 평가하고자 해당 가뭄사상을 빨간색 별로 표시하였다. 그 결과 전라북도 지역에 2015년 여름부터 1년 가까이 지속되었던 가뭄사상이 6개의 연구 대상지점 모두에서 약 20년의 재현기간을 가지는 것으로 분석되었으며, 진안과 장수지점을 제외한 4개 지점에서 과거 500년 빈도 이상의 가뭄이 발생한 것으로 나타나 지점별로 가뭄사상의 재현기간에 대한 공간적 변동성이 존재하는 것을 확인할 수 있다.
4. 결론 및 토의
가뭄에 대한 판단 및 평가를 위해 분야별 혹은 목적별로 서로 다르게 가뭄을 정의하고 있으며, 우리나라 전체 수자원 이용량의 60% 이상이 농업용수로 사용되는 수자원 이용특성을 고려하였을 때 가뭄사상 발생 시 농업분야의 가뭄에 대한 취약도가 상대적으로 크게 나타날 수밖에 없다. 이러한 관점에서 농업적 가뭄에 대한 분석은 매우 중요하다고 할 수 있으며, 일반적으로 농업적 가뭄평가 시 저수지의 저수위 또는 저수율과 토양수분함량 자료가 기초자료로 활용되지만 우리나라의 경우 토양수분자료에 대한 관측지점수와 관측자료의 보유기간이 짧아 가뭄현황파악 뿐만 아니라, 기타 다른 수문 분석에 관측자료를 이용하는 것은 한계가 있다. 이에 따라 본 연구에서는 모형을 통해 모의된 토양수분을 이용하여 가뭄지수를 산정하고 이를 SPI와 합성한 가뭄지수를 산정하였으며, 이변량 빈도해석을 통해 가뭄을 평가하고자 하였다. 본 연구에서 얻은 결과를 정리하면 다음과 같다.
1) 본 연구에 활용된 NHMM 모형은 기존에 수문분야에서 강수량 모의 등에 다수 이용된 사례가 있지만 장기간의 토양수분 모의에 이용된 사례는 제한적이다. 이에 따라 본 연구에서 수행한 30년 이상의 과거기간 토양수분모의는 가뭄분석 측면에서 의미가 있으며, 모의결과를 다중 회귀 분석의 결과와 비교한 결과 상관계수가 지점별로 0.1~0.3 범위내에서 개선된 것으로 분석되었다.
2) 본 연구에서는 모형의 적용대상으로 전라북도 지역에 위치한 6개소의 지상관측소를 선정하였으며, 각 관측소의 위치를 고려하였을 때 관측소 간에 상관성을 고려할 필요가 있다. 이러한 점에서 본 연구에서는 모형 적용 시 지점 간에 공간적인 상관성을 고려한 해석을 실시하였으며, 추후 수문학적 분석의 기본단위인 유역단위로의 수문 분석 수행 시 보다 신뢰성 있는 입력자료로 활용이 가능할 것으로 판단된다.
3) 본 연구에서 활용된 GM-NHMM 모형은 강우, 기온 등 예측인자와 토양수분자료 간에 지연상관관계를 보여 모형 적용 시 실시간 관측자료 또는 기후변화 시나리오 등을 활용하여 미래기간에 대한 토양수분함량의 변화 양상 또한 분석이 가능할 뿐만 아니라, 위성관측 자료를 예측인자로 활용하여 지상관측에 대한 미계측 지역에 대해서도 모형 적용이 가능할 것으로 판단된다.
4) 본 연구에서는 가뭄지수 산정결과를 이용하여 가뭄의 지속기간과 심도에 대한 이변량 빈도해석을 통해 가뭄의 재현기간을 산정하였다. 수공구조물 설계 시 이수와 관련하여 가뭄의 재현기간을 평가하는 것이 요구되며, 이러한 점에서 본 연구의 결과는 다양한 관점에서 가뭄의 재현빈도를 평가하는데 활용될 수 있을 것으로 기대된다.
본 연구의 결과는 가뭄에 대한 현황분석뿐만 아니라 미래에 발생할 수 있는 가뭄에 대한 대응 및 피해저감대책 마련을 위한 자료로써 유용할 것으로 판단되며, 향후 연구에서 강우량과 토양수분 이외에 수문기상인자를 선택하여 가뭄을 판단하고 비교하는 연구를 수행하고자 한다.









