1. 서 론
2. 연구 방법
2.1 일사량 산정 모델
2.2 잠재증발량 산정식
2.3 일사량 및 잠재증발량 산정방법 비교 검증
3. 분석결과
3.1 일사량 모의결과 비교
3.2 잠재증발량 모의결과 비교
4. 요약 및 결론
1. 서 론
수자원의 손실에 해당하는 증발량을 보다 정확하게 추정하는 것은 효율적인 수자원관리를 위해서 매우 중요하다. 증발량을 산정하는데 있어서 필요한 기상요소 자료들 중에서 일사량 자료는 증발을 발생시키는 원천적인 에너지원으로서 증발량을 산정하는데 매우 중요한 핵심적인 기상요소이다. 하지만 다른 기상자료와 비교하여 관측이 용이하지 않아 자료 획득에 어려움이 있어서 일사량 관측이 실시되지 않는 관측소에서는 간접적인 방법으로 일사량을 산정하고 있다. 따라서 실측된 일사량자료가 없는 경우 적절한 일사량 산정모델을 선정하는 것은 증발량산정의 정확도 향상측면에서 매우 중요하다. 본 연구에서는 과거 제안된 일사량 산정모델의 입력자료와 모델형식에 따라서 대표적인 일사량 산정모델을 10가지로 구분하고 적용성을 검증하였다. 또한 산정된 일사량을 증발량 산정식에 적용하여 증발량을 산정하고 증발접시 증발량과 비교 분석하였다.
과거 제안된 일사량 산정모델들을 검토한 바에 의하면 일사량 산정에 적용되는 자료는 자료획득이 상대적으로 용이한 기상자료(기온, 상대습도, 강수량, 일조시간)뿐만 아니라 고도와 같은 지형적 자료가 있으며, 많은 연구자들은 일사량과 지구 대기권에 도달하는 태양방사량(extraterrestrial radiation)과의 비를 기상 및 지형적 요소들과 상관시켜서 일사량 산정모델을 유도한 바 있다(Angstrőm, 1924; Prescott, 1940; Rietveld, 1978; Bristow and Cambell, 1984; Ogleman et al., 1984; Bahel et al., 1987; Boisvert et al., 1990; Allen et al., 1998; Elagib, 1998; Gopinathan, 1988; Chen et al., 2004).
과거 제안된 대표적인 일사량 산정 모델로는 일조시간과 가조시간의 비와 청명한 하늘 조건의 일사량을 이용한 단순 선형회귀식이 제안된 바 있다(Angstrőm, 1924). Prescott (1940)은 Angstrőm (1924)이 제안한 모델을 보완하여 청명한 하늘 조건의 일사량자료 대신에 지구 대기권에 도달하는 태양방사량을 적용하는 Angstrőm-Prescott모델을 제안하였으며, 이 방법은 많은 연구자들에 의해서 적용된 바 있다(Page, 1961; Rietveld, 1978; Benson et al, 1984; Abdalla and Feregh, 1988; Allen et al., 1998; Tiris et al., 1997; Chen et al., 2004; Augustine and Nnabuchi, 2009; Liu et al., 2009; Choi et al., 2010; Srivastava and Pandey, 2013). 또한 다른 연구자들(Ogelman et al., 1984; Almorox and Hontoria, 2004; Ahmad and Ulfat, 2004)은 Angstrőm-Prescott모델을 변형하여 일조시간과 가조시간의 비와 지구 대기권에 도달하는 태양방사량과의 2차 방정식을 제안하였고, 그리고 3차방정식도 제안하였다(Zabara, 1986; Bahel et al., 1987; Ertekin and Yaldiz, 2000).
한편 일조시간을 이용한 전통적인 일사량 산정방법이외에 다른 기상자료를 이용한 일사량 산정방법들도 제안되었다. 일 최고기온과 최저기온의 차는 운량과 상관관계가 있으며, 이 상관관계를 이용하여 일사량을 산정하는 방법이 제안된 바 있다(Bristow and Campbell, 1984). 또한 일조시간과 기온자료를 동시에 사용한 방법(Chen et al., 2004), 일조시간과 강수량을 동시에 사용하는 방법(Boisvert et al., 1990), 일조시간이외에 강수량과 기온을 병행하여 사용하는 방법(Boisvert et al., 1990) 등이 제안된 바 있다. 일조시간 이외에 다른 기상자료(기온, 상대습도)를 이용한 모델들도 제안된 바 있으며, Elagib et al.(1998)은 바레인에서 측정된 상대습도와 지구 대기권에 도달하는 태양방사량과의 상관관계를 이용한 일사량 산정 모델을 제안한 바 있고, 상대습도뿐만 아니라 기온자료를 병행하여 일사량과의 상관관계를 유도한 모델을 제안한 바 있다. 일사량은 기상학적 요소뿐만 아니라 지형적 요소와도 상관관계가 있다. 따라서 과거 연구자들은 기상요소뿐만 아니라 지형적 요소를 동시에 반영하여 일사량을 산정한 바 있으며, Gopinathan(1988)는 고도와 일조시간과 가조시간의 비를 이용한 일사량 산정 모델을 제안한 바 있다.
과거 증발량 산정에 필요한 일사량 모델의 적용성을 평가한 연구들을 검토한 바에 의하면 전 세계적으로 증발량 산정과 관련하여 다양한 일사량 산정모델들이 적용된 바 있다(Lindsey and Farnsworth, 1997; Allen et al., 1998; Valiantzas, 2006; Rim, 2017). 하지만 여러 가지 형태의 일사량 산정모델을 적용하여 증발량을 산정하고 증발접시 증발량과 비교 분석한 연구는 수행된 바 없다. 따라서 본 연구에서는 기존에 여러 연구자들에 의해서 제안된 13개의 일사량 모델들을 적용하여 일사량을 산정하고 관측된 일사량과 비교하여 일사량 모델들의 적용성을 평가하였다. 또한 관측된 일사량을 포함하여 각기 다른 13개의 일사량 모델들을 세계 여러 연구자(Jauregui et al., 1978; Pochop et al., 1984; Imak and Haman, 2003; Djaman et al., 2019)들에 의해서 적용된 바 있는 Penman 조합식(Penman, 1948)과 Penman식에 근거하여 유도된 4개의 증발량 산정식 즉, KNF식(Kohler et al., 1955), Priestley-Taylor식(Priestley and Taylor, 1972), De Bruin-Keijman식(De Bruin and Keijman, 1979), FAO Penman-Monteith식(Allen et al., 1998)에 적용하여 증발량을 산정하고 증발접시 증발량과 비교 분석하였다.
2. 연구 방법
본 연구에서는 기상청에서 관리하는 우리나라 5개 기상관측지점(서울, 대전, 전주, 목포, 제주)의 기상자료를 이용하였으며, 본 연구에 활용된 기상자료는 월평균 자료로서, 강수량, 소형증발접시 증발량, 기온, 상대습도, 풍속, 일조시간이며, 지형자료는 기상관측지점의 고도자료가 적용되었다(Table 1). 서울관측지점은 서울시 종로구 송월동에 위치하며 2010년 8월 15일까지 기상관측소의 표고는 85.5 m이나 그 이후 관측위치 변경으로 표고는 85.8 m로 변경되었다. 대전관측지점은 대전시 유성구 구성동에 위치하며 표고는 68.94 m이다. 전주기상관측소의 경우 2015년 6월 30일까지 전주시 완산구 남노송동에 위치하였고 표고는 53.4 m이나, 그 이후 전주시 덕진구 덕진동으로 이전되어 표고는 53.4 m이다. 목포관측지점은 전남 목포시 연산동에 위치하며 표고는 38 m이고, 제주관측소는 제주도 제주시 건입동에 위치하며 표고는 20.45 m이다. 따라서 증발량 산정시 변경된 관측지점의 표고를 반영하였다. 소형증발접시 증발량 자료의 경우 2016년 6월 30일까지는 관측이 이루어졌으나 2016년 7월 1일 이후로는 관측이 중단되었다. 따라서 소형증발접시 증발량 자료의 경우 2016년 6월까지의 자료를 사용하였으며, 서울 및 전주지점의 경우 증발량 관측이 수행되지 않은 기간은 분석에서 제외하였다(Table 1).
Table 1. Study stations and data period
2.1 일사량 산정 모델
일사량은 기상학적 요소(일조시간, 기온, 상대습도, 강수량)뿐만 아니라 고도와 같은 지형적 요소들과 깊은 상관성이 있다. 따라서 과거 연구자들은 일사량과 기상요소들과의 상관성을 이용하거나 혹은 기상요소들과 지형적 요소를 동시에 이용하여 일사량 산정모델을 유도하였다. 본 연구에서는 과거 유도된 일사량 산정모델들을 입력자료와 모델형식에 따라서 모델 Type A부터 Type J까지 10가지로 구분하고, 비교분석을 실시하였다(Table 2).
Table 2. Models for estimating incoming solar radiation
Allen et al. (1998), I=sunshine duration, G=duration of possible sunshine, Tmax=average monthly maximum temperature (℃), Tmin=average monthly minimum temperature (℃), P=daily precipitation(mm), RH=average monthly relative humidity (%), △T=difference between average monthly maximum and minimum temperature (℃), Elv=elevation at study station (km)모델 4는 Ogelman et al. (1984)에 의해서 제시된 일사량산정 모델이며, 그들은 터어키에 위치한 Adena와 Ankara지역에서 관측된 기상자료를 이용하여 일사량의 비(RS/RA)와 일조시간과 가조시간의 비(I/G) 사이의 관계를 2차방정식으로 제시하였다. 연구결과에 의하면 터어키의 다른 지역에 그들이 제안한 모델을 적용하는 경우 5% 정도의 오차를 보인다고 발표하였다.
모델 5는 Bahel et al. (1987)이 기후조건과 지역적 위치를 폭 넓게 반영하여 Algeria Tamanrasset시를 비롯한 전 세계에 위치한 48개 지점에서 관측된 일사량 비(RS/RA)와 일조시간과 가조시간의 비(I/G) 사이의 관계를 3차방정식으로 나타낸 일사량 산정모델이다. 그들은 연구결과에서 Rietveld (1978)에 의해서 제시된 일사량모델과 비교하여 보다 나은 일사량 산정결과를 보인다고 발표하였다. 한편 Chen et al. (2004)이 중국 48개 지점에서 모델 5의 계수 값을 추정한 바에 의하면 계수 값은 연구지점마다 각기 다른 값을 보이는 것으로 나타났다.
Bristow and Campbell (1984)이 미국 Pullman에서 관측된 기상자료를 이용하여 운량이 최고기온과 최저기온과의 차이와 상관성이 있다는 사실에 근거하여 단지 최고기온과 최저기온과의 차이로부터 일사량을 산정하는 모델 6을 유도하였고, 다른 도시들(Great Falls, Seattle/Tacoma)에 대해서 산정된 일사량과 관측된 일사량과의 상관성을 비교한 결과 상관계수가 0.92∼0.99의 범위로 아주 적절한 모의결과를 보인다고 발표하였다. 본 연구에서는 Chen et al. (2004)이 모델 6을 중국 전역에 위치한 48개 지점에 적용하여 유도한 계수 값을 적용하였다. Rim (2017)은 모델 6을 우리나라에 적용하여 계수값을 추정한 모델 7을 제시한 바 있다.
Chen et al. (2004)은 중국 전역에 위치한 48개 지점에서 일조시간과 가조시간의 비(I/G)와, 최고기온과 최저기온과의 차이를 동시에 고려한 모델 8을 제안하였다. 연구결과에 의하면 모델 8의 계수 값은 48개 연구지역에 따라서 각기 다른 계수 값을 보였으며, 본 연구에서는 48개 연구지점에서 얻어진 계수들의 평균값을 적용하였다. 제안된 모델의 적합성을 NSE 지수를 기준으로 비교한 결과 NSE 지수는 0.85∼0.92의 값을 보이는 것으로 나타났다.
일사량은 상대습도와도 상관성이 있으며, Elagib et al. (1998)은 Bahrain에서 관측된 상대습도(RH)와 지구 대기권에 도달하는 태양방사량(RA)을 일사량(RS)과 상관시켜 모델 11을 제안하였다. 또한 상대습도(RH)와 지구 대기권에 도달하는 태양방사량(RA)뿐만 아니라 월평균 일 최고기온과 최저기온의 차(△T)를 추가하여 일사량을 산정하는 모델 12를 제안하였다(Elagib et al., 1998). 그들은 모델 12가 모델 11보다 더 좋은 일사량 모의 결과를 보였고, 따라서 일사량 산정모델의 입력자료로서 상대습도와 지구 대기권에 도달하는 태양방사량(RA)뿐만 아니라 월평균 일 최고기온과 최저기온의 차(△T)가 추가되어야 한다고 발표하였다.
일사량은 기상요소뿐만 아니라 지형적 요소와도 상관성이 있다. 따라서 Gopinathan (1988)은 남아프리카 12개 지점에서 관측된 자료를 이용하여 일조시간과 가조시간의 비(I/G)뿐만 아니라 지형적인 요소인 고도를 일사량과 상관시켜 유도한 모델 13을 제안하였으며, 남아프리카 지역에 위치한 다른 4개 지역에 모델의 적용성을 입증하였다.
본 연구에서는 Table 2에 기술된 일사량산정 모델에서 요구되는 지구 대기권에 도달한 태양방사량(extraterrestrial radiation; RA)을 구하기 위해서 다음 Eq. (1)을 적용하였다.
| $$R_A=\frac{24\times60}\pi GD(\omega\sin\phi\sin\delta+\cos\phi\cos\delta\sin\omega)$$ | (1) |
여기서, RA는 지구 대기권 도달 태양방사량(MJ/m2/day), G는 일사상수(=0.8202 MJ/m2/min) (Duffie and Beckman, 1991), D는 태양으로부터 지구까지의 거리(=1+0.033 cos ), 는 일몰시간 각(=arccos(-tantan), rad), 는 관측지점의 위도(rad), 는 태양의 편위(=0.409 sin, rad), J는 율리우스일(Julian day)이다.
2.2 잠재증발량 산정식
각기 다른 일사량 산정 모델에 따른 증발량의 차이를 비교하기 위해 일사량자료를 필요로 하는 Penman (1948)에 의해서 유도된 조합식(combination approach)과 조합식에 근거하여 유도된 다른 4개의 증발량 산정식을 적용하여 비교 검토하였다. 비교 검토된 증발량 산정식은 Penman식(Penman, 1948), KNF식(Kohler et al., 1955), Priestley-Taylor식(Priestley and Taylor, 1972), De Bruin-Keijman식(De Bruin and Keijman, 1979), FAO PM식(Allen et al., 1998)이다(Table 3).
Penman식은 수문기상분야에서 광범위하게 적용된 식으로써 수표면으로부터 증발량 산정을 위하여 물리적 근거에 기초한 증발식이다. Penman은 수표면에서 발생되는 순복사에너지와 증발표면 위의 공기움직임에 의한 증발효과를 고려하여 물리적 이론에 근거한 증발식을 제안하였으며, 영국 Chiltern Hills에서 실험을 통해서 유도식을 검증하였다.
KNF식은 Class A 증발접시 증발량 산정을 위해서 건습계상수를 보정하였다. 또한 Penman식에서 에너지항과 공기동력항의 매개변수를 관측된 Class A 증발접시 증발량자료를 이용하여 보정한 식이다. Priestley-Taylor식은 Penman식의 공기동력항적 영향이 미미하다는 가정 하에 공기동력항을 특정 계수 값(k=1.26)으로 가정하여 단순화한 식으로서 다습한 지역에서 적용하도록 제안되었다. 연구결과에 의하면 k=1.26을 적용하는 경우 이류항의 영향이 없는 수표면이나 포화된 지표면에서 적정한 증발량을 산정하는 것으로 발표되었다(Ferguson and den Hartog, 1975; Stewart and Rouse, 1976; Stewart and Rouse, 1977; Mukammal and Neumann, 1977). 하지만 Class A 증발접시 증발량과 비교하는 경우 증발량을 과소하게 산정하는 것으로 발표된 바 있다(Irmak and Haman, 2003). De Bruin and Keijman (1979)은 네덜란드에 위치한 저수지에서 Priestley-Taylor식에서 k=1.25를 적용하는 경우 관측된 증발량과 매우 유사한 결과를 보인다고 발표한 바 있지만, 최근 연구결과에 의하면 Priestley-Taylor식의 k값은 난류 열과 수증기의 상대적 운반효율에 따라서 다양한 값을 보이는 것으로 보고되었다(Assouline et al., 2016).
De Bruin-Keijman식은 네덜란드에 위치한 Flevo호수에서 Priestley-Taylor식의 적용성을 평가하고 개선한 증발량 산정식으로서 Bowen비(Bowen ratio)를 반영하기 위해 Priestley-Taylor식의 계수 k값을 수정하였으며, 수표면상의 수증기상태와 저수지에 저류되어 있는 열에너지 그리고 대기압과 잠재증기화열의 함수인 건습계 상수로부터 얻어진다.
FAO PM식은 Penman식에서 불분명한 증발표면의 조건을 가상의 0.12 m의 높이의 잔디조건으로 정하고 증발표면 저항을 70 sec/m, 반사계수를 0.23으로 하여 유도된 기준잠재증발산량 산정식으로서 Penman식의 풍속항의 보정이 필요하지 않다. 수표면으로부터의 증발량을 산정하기 위해서는 FAO PM 기준잠재증발산식으로부터 수표면 증발량을 계산하기 위한 과정이 필요하며 이를 위해서 Allen et al. (1998)은 증발접시 증발량(E)과 FAO PM 기준잠재증발사량(ETo)의 상대적 비인 계수 Kp (=)를 구하는 식을 제안하였으며, 따라서 계수 값과 기준잠재증발산량을 아는 경우 증발량을 산정할 수 있다(Table 3).
Table 3. Equations for estimating evaporation
| Equations | Description of equations | |
| P e n m a n | E=evaporation(mm/day), Rn=net radiation(mm/day), Qns=net shortwave radiation(MJ/m2/day), Qnl=net longwave radiation(MJ/m2/day), RS=incoming solar radiation(MJ/m2/day), RSO=clear sky solar radiation(MJ/m2/day), = albedo of water surface as defined in Koberg (1964), =Stefan-Boltzmann constant(=4.903×10-9MJ/m2/day), Tmax=maximum temperature(K), Tmin= minimum temperature(K), u2=wind speed at 2m height(m/sec), es=saturation vapor pressure(mb), ea=actual vapor pressure(mb), (es-ea)=vapor pressure deficit(mb), =slope of the saturation vapor versus temperature curve(mb/℃), =psychometric constant (0.00665Pmb/℃), P=atmospheric pressure(mb), Ea=drying power(mm/day), f(u)=wind function | |
| K N F | E=evaporation(mm/day), Rn=net radiation(mm/day), Ea=aerodynamic function (mm/day), =slope of the saturation vapor pressure versus air temperature curve (kPa/℃), =psychrometric constant(=0.001568P kPa/℃), P=atmospheric pressure(kPa), up= wind speed at 15.2cm above the pan(km/day), es=saturation vapor pressure at the air temperature(kPa), ea=vapor pressure at the dew point temperature(kPa), (es-ea)=vapor pressure deficit(kPa), T=air temperature(℃), Rs=solar radiation(J/cm2/day) | |
| P │ T | E=evaporation(mm/day), k=empirical coefficient(=1.26), Rn=net radiation (mm/day), Qns=net shortwave radiation(MJ/m2/day), Qnl=net longwave radiation(MJ/m2/day), RS=incoming solar radiation(MJ/m2/day), RSO=clear sky solar radiation(MJ/m2/day), =albedo of water surface as defined in Koberg(1964), =Stefan-Boltzmann constant(=4.903×10-9MJ/m2/day), Tmax=maximum temperature(K), Tmin=minimum temperature(K), =slope of the saturation vapor versus temperature curve(kPa/℃), =psychometric constant (0.000665PkPa/℃), P=atmospheric pressure(kPa) | |
| D │ K | E=evaporation(mm/day), Rn=net radiation(mm/day), Qns=net shortwave radiation(MJ/m2/day), Qnl=net longwave radiation(MJ/m2/day), RS=incoming solar radiation(MJ/m2/day), RSO=clear sky solar radiation(MJ/m2/day), = albedo of water surface as defined in Koberg(1964), =Stefan-Boltzmann constant(=4.903×10-9MJ/m2/day), Tmax=maximum temperature(K), Tmin= minimum temperature(K), =slope of the saturation vapor versus temperature curve(kPa/℃), =psychometric constant (0.000665PkPa/℃), P=atmospheric pressure(kPa) | |
| F A O │ P M | E=evaporation(mm/day), ETo=reference evapotranspiration(mm/day), Kp=pan coefficient, Qn=net radiation(MJ/m2/day), Qns=net shortwave radiation (MJ/m2/day), Qnl=net longwave radiation(MJ/m2/day), RS=incoming solar radiation(MJ/m2/day), RSO=clear sky solar radiation(MJ/m2/day), =albedo of grass ground(=0.23), Ta=avg. temperature at 2m height(℃), =Stefan-Boltzmann constant(=4.903×10-9MJ/m2/day), Tmax=maximum temperature(K), Tmin=minimum temperature(K), u2=wind speed at 2m height(m/sec), es= saturation vapor pressure(kPa), ea=actual vapor pressure(kPa), (es-ea)= vapor pressure deficit(kPa), =slope of the saturation vapor versus temperature curve(kPa/℃), =psychometric constant(0.000665P kPa/℃), P=atmospheric pressure(kPa), FET=100 (upwind buffer zone, fetch), RHmean= average relative humidity(%) | |
2.3 일사량 및 잠재증발량 산정방법 비교 검증
13개의 일사량 산정 모델들의 적합도를 검증하기 위해 관측된 일사량과 산정된 일사량을 비교하였다. 또한 일사량 산정 모델에 따른 증발량의 차이를 비교하기 위해 5개 다른 증발량 산정식을 적용하여 관측된 증발접시 증발량과 비교하였다. 비교 평가를 위해서 평균절대편향오차(Mean Absolute Bias Error, MABE)와 Nash-Sutcliffe 지수(NSC)를 산정하였다.
평균절대편향오차(MABE)는 장기간에 걸친 모의 결과 값의 신뢰도 검증에 유용하게 활용된다. MABE값이 0에 가까울수록 모의 값은 관측 값과 유사함을 의미한다.
| $$MABE=\frac1n\sum_{i=1}^n\vert H_{i,est}-H_{i,obs}\vert$$ | (2) |
여기서 Hi, est는 산정된 i번째 월의 일사량 혹은 증발량을 나타내고, Hi, obs는 관측된 i번째 월의 일사량 혹은 증발량을 나타내며, n은 총 검증자료의 수이다.
Nash-Sutcliffe 지수(Nash and Sutcliffe, 1970)의 경우 지수 값 1은 관측 값과 산정 값이 완전하게 일치함을 의미하며, -∞부터 1까지의 범위를 갖는다.
| $$NSE=1-\frac{{\displaystyle\sum_{i=1}^n}\;{(H_{i,obs}-H_{i,est})}^2}{{\displaystyle\sum_{i=1}^n}\;{(H_{i,obs}-\overline{H_{i,obs}})}^2}$$ | (3) |
여기서 Hi, est는 산정된 i번째 월의 일사량 혹은 증발량을 나타내고, Hi, obs는 관측된 i번째 월의 일사량 혹은 증발량을 나타내며, 는 전 기간 동안 관측 자료의 평균값이고, n은 자료의 총 수이다.
3. 분석결과
13개의 일사량 산정 모델들의 적합도를 비교검증하기 위해 관측된 일사량과 산정된 일사량을 비교하였다. 또한 각기 다른 일사량 산정 모델 적용에 따른 증발량의 차이를 비교하기 위해 Penman 조합식과 Penman식에 근거한 4개 다른 증발량 산정식(KNF식, Priestley-Taylor식, De Bruin-Keijman식, FAO PM식)을 적용하여 관측된 증발접시 증발량과 비교하였다.
3.1 일사량 모의결과 비교
13개의 일사량 산정 모델들을 적용하여 산정된 일사량과 관측된 일사량을 비교하였고, 각 연구지역마다 일사량을 가장 잘 모의하는 3가지 일사량 산정식들을 선정하여 Bold 이탤릭체로 NSC값을 표시하였다(Table 4). 비교결과에 의하면 전반적으로 산정된 일사량의 평균값은 관측된 일사량의 평균값보다 크게 나타났다. 산정된 일사량의 평균값과 관측된 일사량의 평균값을 비교하는 경우 모델 11이 서울, 대전, 제주지역에서 가장 큰 일사량 산정값을 보였고, 모델 6과 9가 각각 전주와 목포지역에서 가장 큰 일사량 산정값을 보였다. 반면에 모델 3이 서울과 전주에서 가장 작은 일사량 산정값을 보였고, 모델 7이 대전과 목포에서, 모델 6이 제주에서 가장 작은 일사량 산정값을 보였다.
Table 4. Comparisons of measured and estimated incoming solar radiation
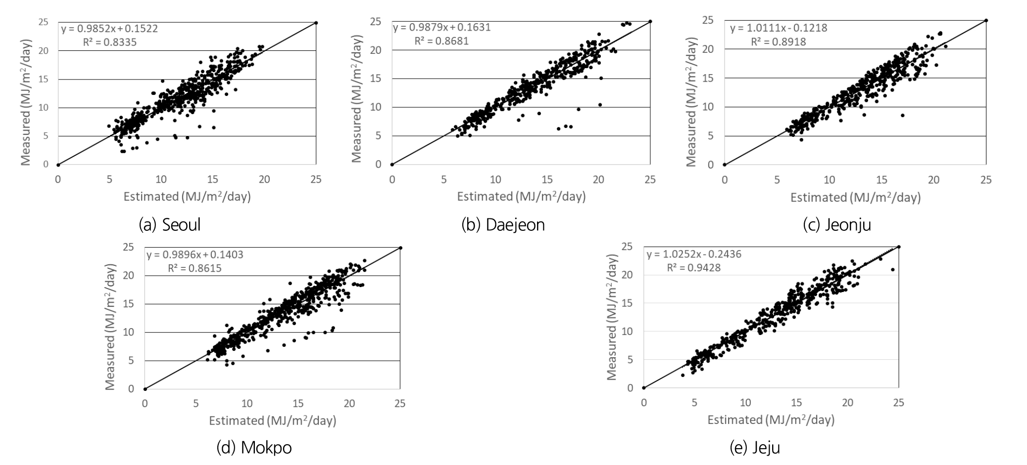
모델 Type A에서 일조시간과 가조시간의 비뿐만 아니라 최고기온과 최저기온을 동시에 고려하여 일사량을 산정하는 Chen et al. (2004)에 의해서 제안된 모델 Type E(모델 8)이 전반적으로 연구지역 모두에서 관측 일사량과 가장 근사한 결과를 보였으며, 일조시간과 가조시간의 비만을 이용한 Angstrőm-Prescott모델의 계수값을 연구지역에 보정한 모델 Type A(모델 3)도 전반적으로 연구지역 모두에서 관측 일사량과 근사한 결과를 보였다. 관측된 일사량 평균값은 서울(=11.73 MJ/m2/day), 대전(=13.63 MJ/m2/day), 전주(=12.82 MJ/m2/day), 목포(=13.53 MJ/m2/day), 제주(=12.72 MJ/m2/day)이다(Fig. 1).
모델 Type E(모델 8)로부터 산정된 일사량은 서울(=13.19 MJ/m2/day), 대전(=13.94 MJ/m2/day), 전주(=13.61 MJ/m2/day), 목포(=13.72 MJ/m2/day) 그리고 제주(=12.75 MJ/m2/day)이다(Fig. 2). 모델 Type E의 경우 기상요소뿐만 아니라 지형적인 요소인 고도를 일사량과 상관시켜 유도된 식으로서 일사량 산정 모델들의 정확도를 수치적으로 분석한 결과에 의하면 NSC지수는 서울(=0.672), 대전(=0.856), 전주(=0.851), 목포(=0.862), 제주(=0.943)을 보였다. 또한 평균절대편향오차(MABE)는 서울(=1.665 MJ/m2/day), 대전(=1.065 MJ/m2/day), 전주(=1.118 MJ/m2/day), 목포(=1.076 MJ/m2/day), 제주(=0.941 MJ/m2/day)를 보였다.
반면에 Angstrőm (1924)과 Prescott (1940)에 의해서 제안된 Angstrőm-Prescott모델(모델 Type A)의 경우 전 세계적으로 널리 사용되고 있지만 모델 Type E에 비하여 관측 일사량과 더 큰 차이를 보였다. Allen et al. (1998)은 Angstrőm- Prescott모델의 계수를 0.25와 0.5로 제시하였다(모델 1). 모델 1로부터 산정된 평균 일사량은 서울(=14.20 MJ/m2/day), 대전(=14.80 MJ/m2/day), 전주(=14.42 MJ/m2/day), 목포(=14.85 MJ/m2/day) 그리고 제주(=14.16 MJ/m2/day)로 관측된 일사량보다 큰 평균값을 보였고, NSC지수는 서울(=0.374), 대전(=0.781), 전주(=0.721), 목포(=0.752), 제주(=0.865)를 보여서 다른 일사량 산정 모델들에 비해서 양호하지 않은 결과를 보였다. 특히 Allen et al. (1998)은 FAO Penman-Monteith 기준잠재증발산량 산정식에 적용되는 일사량 산정모델로 모델 1을 제안하였다. 따라서 FAO Penman-Monteith식을 적용하여 증발량을 산정하는 경우 Allen et al. (1998)에 의해서 제안된 일사량 산정모델 (모델 1)은 증발량을 과대 산정할 수 있다. Angstrőm-Prescott모델(모델 Type A)의 계수를 0.18과 0.62로 제시한 모델 2 역시 다른 일사량 산정 모델들에 비해서 양호하지 않은 결과를 보였으나, 각 연구지역에서 모델 Type A의 계수 값을 추정하여 일사량을 모의하는 경우(모델 3) 개선된 일사량 산정결과를 보였다. 또한 일사량의 비와 일조시간과 가조시간의 비 사이의 관계를 3차방정식으로 설정하여 일사량을 산정하는 모델 5의 경우 2차방정식으로 설정된 모델 4보다 더 나은 결과를 보였다.
모델 Type D(모델 6)의 경우 일사량을 산정하기 위해 최고기온과 최저기온의 차를 이용한 방법이며, NSC 지수값은 서울지역(=-0.300), 대전지역(=0.273), 전주지역(=-0.169), 목포지역(=0.444), 제주지역(=0.248)로서, 다른 일사량 산정 모델들과 비교하여 양호하지 않은 일사량 산정모의 결과를 보였다. 모델 7의 경우 Rim (2017)에 의해서 우리나라 지역에 적합하도록 모델 6의 계수값이 보정된 모델로서 모델 6보다는 나은 산정결과를 보였으나 기온자료만을 이용하여 일사량이 산정됨으로서 다른 모델 2, 3, 5, 8, 10, 13보다 나은 결과를 보이지 않았다.
모델 Type F(모델 9)의 경우 일사량을 산정하기 위해 일조시간과 가조시간의 비뿐만 아니라 강수량이 입력자료로 이용되는 방법이다. 산정된 평균 일사량은 5개 연구지역 모두에서 관측된 일사량보다 큰 평균값을 보였다. NSC 지수값은 서울지역(=0.400), 대전지역(=0.797), 전주지역(=0.729), 목포지역(=0.750), 제주지역(=0.860)으로서, 일사량 산정 모델 1, 6, 11, 12보다는 양호한 일사량 모의결과를 보였다. 따라서 모델 9의 경우 일조시간과 가조시간의 비뿐만 아니라 강수량이 일사량 산정을 위해 모델에 추가되었으나 일사량 모의정도를 크게 개선하지 못하는 것으로 판단된다.
모델 Type G(모델 10)의 경우 일사량을 산정하기 위해 일조시간과 가조시간의 비뿐만 아니라 최저기온과 강수량을 이용한 방법이다. 산정된 평균 일사량은 5개 연구지역 모두에서 관측된 일사량보다 큰 평균값을 보였으며, NSC 지수값은 서울지역(=0.616), 대전지역(=0.803), 전주지역(=0.777), 목포지역(=0.803), 제주지역(=0.876)을 보였다. 따라서 모델 10 역시 일조시간과 가조시간의 비뿐만 아니라 최저기온과 강수량이 일사량 산정을 위해 모델에 추가되었으나 일사량 모의정도를 크게 개선하지 못하는 것으로 판단된다.
모델 Type H(모델 11)의 경우 대부분의 지역에서 전반적으로 양호하지 않은 일사량 산정결과를 보였는데, 이 모델은 일사량을 상대습도와 지구 대기권에 도달하는 태양방사량과 상관시켜서 유도되었다. 또한 모델 Type I(모델 12)도 비교적 양호하지 않은 일사량 산정결과를 보였는데, 이 모델은 상대습도와 지구 대기권 도달 태양방사량뿐만 아니라 월평균 일 최고기온과 최저기온의 차를 추가하여 일사량을 산정한다. 모델 Type J(모델 13)의 경우 일조시간과 가조시간의 비(일조시간/가조시간)뿐만 아니라 지형적인 요소인 고도를 일사량과 상관시켜 유도되었다. 따라서 고도가 높을수록 보다 큰 일사량을 산정한다.
분석결과에 의하면 본 연구에서 모델의 계수 값을 보정한 모델 3을 제외하고 다른 일사량 모델들은 전반적으로 일사량을 과대 산정하였고, 또한 그들이 개발되고 검증된 지역보다 좋지 않은 일사량 모의결과를 보였다. 이는 일반적으로 일사량 산정모델의 계수 값들은 지역의 대기조건(습도, 먼지 등), 위도 그리고 계절에 따라서 영향을 받으며, 이들 모델들을 다른 지역에 적용하는 경우 계수 값들의 보정이 필요함을 의미한다. 하지만 기온자료만을 이용하여 일사량을 산정하는 Bristow and Campbell 모델(모델 6)의 계수값을 우리나라에서 보정한 모델 7의 경우 다른 일사량 산정 모델에 비해서 양호한 결과를 보이지 않았다. 따라서 증발량 산정을 위해 일사량모델을 선정하는 경우 입력자료의 존재여부 뿐만 아니라 적절한 일사량을 산정하는 모델형식을 동시에 고려하는 것이 필요하다.
10개의 모델 Type중에서 모델 Type A(Angstrőm-Prescott모델)를 제외한 다른 모델들의 경우 전 지구적으로 광범위한 자료를 이용한 것이 아니라 특정지역의 자료들을 이용하여 모델들의 계수 값이 보정되어서 각각의 모델들이 제안된 지역이외의 지역에 적용하는 경우 추가적으로 계수 값의 보정이 필요하다. 모델 3의 경우 이번 연구에서 5개 연구지역에 대해서 Angstrőm-Prescott모델의 계수값을 보정한 모델로서 다른 모델 Type A에 속하는 모델 1과 2에 비해서 양호한 일사량 산정결과를 보였다. 따라서 일사량 산정모델을 원래 모델이 개발되고 검증된 지역이 아닌 다른 지역에 적용하는 경우 그 다른 지역 조건에 적합하도록 모델 계수값을 다시 보정하는 것이 필요하다.
Chen et al. (2004)에 의해서 제안된 모델 Type E(모델 8)이 전반적으로 연구지역 모두에서 관측 일사량과 가장 근사한 결과를 보였는데 모델 8은 다른 모델들과 비교하여 우리나라와 지리적 특성과 기후조건이 유사한 중국 전역에 위치한 48개 지점에서 일조시간과 가조시간의 비(I/G)와, 최고기온과 최저기온과의 차이를 동시에 고려한 모델이다.
3.2 잠재증발량 모의결과 비교
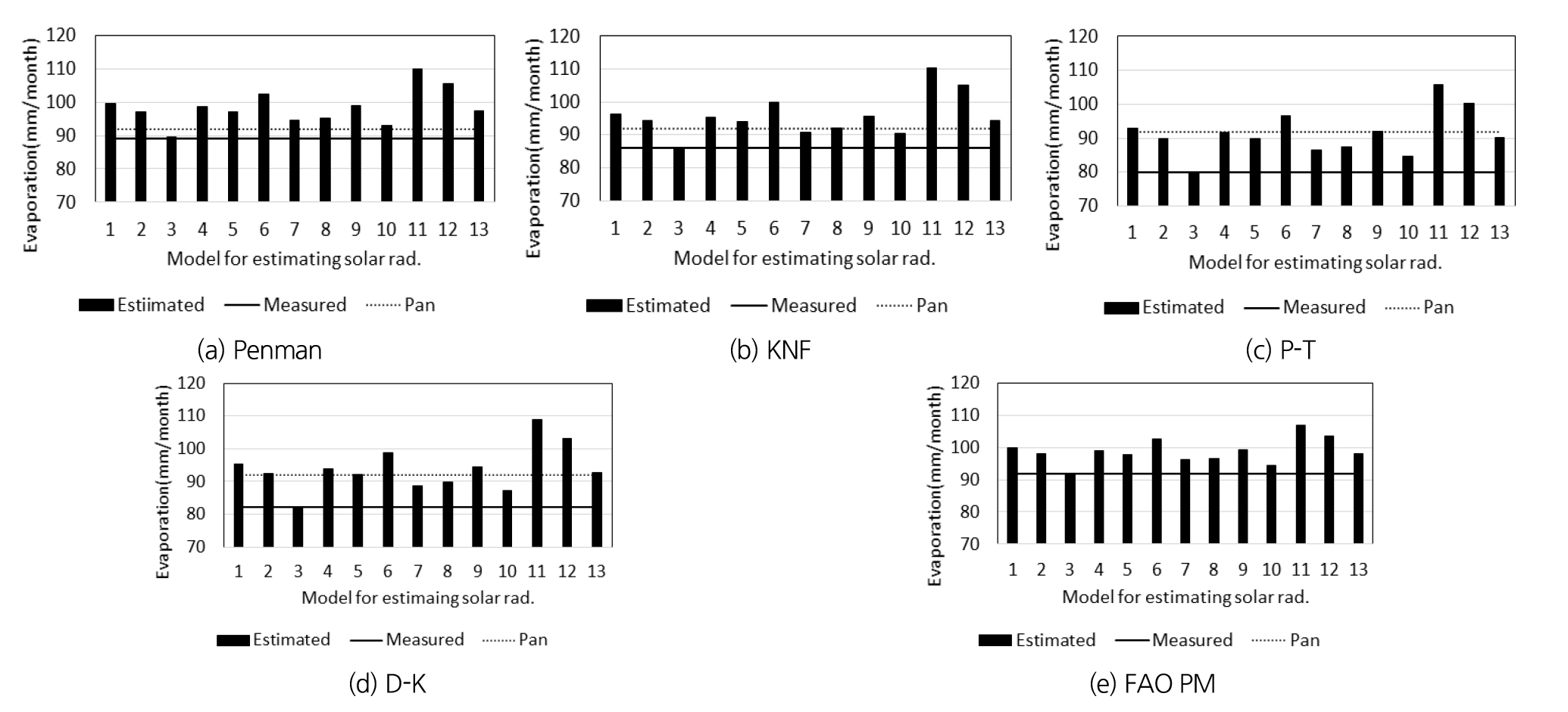
기상관측지점(서울, 대전, 전주, 목포, 제주)에서 관측된 일사량과 일사량 산정 모델로부터 산정된 일사량을 이용하여 증발량을 산정하고 이를 증발접시 증발량과 비교하였고, 각 연구지역에서 증발량 산정식마다 증발접시 증발량을 가장 잘 모의하는 3가지 식들을 선정하여 Bold 이탤릭체로 NSC값을 표시하였다(Table 5). 비교 결과 서울지역에서 월평균 증발접시 증발량은 91.9 mm/month이고, 관측된 일사량을 적용하는 경우 산정된 월평균 증발량은 Penman식(=89.2 mm/month), KNF식(=86.0 mm/month), P-T식(=79.9 mm/month), D-K식(=82.1 mm/month), 그리고 FAO PM식(=91.8 mm/month)이고, NSC지수는 Penman식(=0.905), KNF식(=0.883), P-T식(=0.751), D-K식(=0.791), 그리고 FAO PM식(=0.910)이였다(Fig. 3). 따라서 NSC지수로 판단할 때 FAO PM식으로부터 산정된 증발량이 증발접시 증발량과 가장 근사한 것으로 나타났고, P-T식이 가장 큰 차이를 보이는 것으로 나타났다. 서울지역의 경우 모든 5개의 증발량 산정식에서 일사량 산정 모델로부터 산정된 월평균 증발량이 관측된 일사량으로부터 산정된 월평균 증발량보다 더 큰 값을 보였다. 또한 일사량 산정 모델 Type H(모델 11)이 5개 증발량 산정식 모두에서 가장 큰 증발량을 산정하였고, 모델 Type A(모델 3)이 5개 증발량 산정식 모두에서 가장 작은 증발량을 산정하였다.
Table 5. Comparisons of measured and estimated evaporation according to solar radiation estimation model (based on Nash-Sutcliffe coefficient)
대전지역에서 월평균 증발접시 증발량은 85.3 mm/month이고, 관측된 일사량을 적용하는 경우 산정된 월평균 증발량은 Penman식(=92.0 mm/month), KNF식(=84.8 mm/month), P-T식(=92.3 mm/month), D-K식(=94.8 mm/month), 그리고 FAO PM식(=88.0 mm/month)이고, NSC지수는 Penman식(=0.845), KNF식(=0.891), P-T식(=0.738), D-K식(=0.731), 그리고 FAO PM식(=0.881)이였다. 따라서 NSC지수로 판단할 때 KNF식으로부터 산정된 증발량이 증발접시증발량과 가장 근사한 것으로 나타났고, D-K식이 가장 차이가 있는 것으로 나타났다. 대전지역의 경우 모든 5개의 증발량 산정식에서 모델 7과 10을 제외한 다른 일사량 산정 모델로부터 산정된 월평균 증발량이 관측된 일사량으로부터 산정된 월평균 증발량보다 더 큰 값을 보였다. 또한 일사량 산정 모델 Type D(모델 6)이 5개 증발량 산정식 모두에서 가장 큰 증발량을 산정하였고, 모델 Type D(모델 7)이 5개 증발량 산정식 모두에서 가장 작은 증발량을 산정하였다.
전주지역에서 월평균 증발접시 증발량은 88.4 mm/month이고, 관측된 일사량을 적용하는 경우 산정된 월평균 증발량은 Penman식(=90.9 mm/month), KNF식(=83.8 mm/month), P-T식(=91.1 mm/month), D-K식(=93.4 mm/month), 그리고 FAO PM식(=87.1 mm/month)이고, NSC지수는 Penman식(=0.920), KNF식(=0.888), P-T식(=0.886), D-K식(=0.886), 그리고 FAO PM식(=0.907)이였다. 따라서 NSC지수로 판단할 때 Penman식으로부터 산정된 증발량이 증발접시증발량과 가장 근사한 것으로 나타났고, D-K식이 가장 차이가 있는 것으로 나타났다. 전주지역의 경우 모든 5개 증발량 산정식에서 모델 3과 10을 제외한 다른 일사량 모델로부터 산정된 월평균 증발량이 관측된 일사량으로부터 산정된 월평균 증발량보다 더 큰 값을 보였다. 또한 일사량 산정 모델 Type D(모델 6)이 5개 증발량 산정식 모두에서 가장 큰 증발량을 산정하였고, 모델 Type A(모델 3)이 5개 증발량 산정식 모두에서 가장 작은 증발량을 산정하였다.
목포지역에서 월평균 증발접시 증발량은 93.6 mm/month이고, 관측된 일사량을 적용하는 경우 산정된 월평균 증발량은 Penman식(=102.8 mm/month), KNF식(=94.5 mm/month), P-T식(=96.4 mm/month), D-K식(=98.9 mm/month), 그리고 FAO PM식(=100.1 mm/month)이고, NSC지수는 Penman식(=0.736), KNF식(=0.749), P-T식(=0.595), D-K식(=0.593), 그리고 FAO PM식(=0.763)이였다. 따라서 NSC지수로 판단할 때 FAO PM식으로부터 산정된 증발량이 증발접시증발량과 가장 근사한 것으로 나타났고, D-K식이 가장 다른 것으로 나타났다. 목포지역의 경우 Penman식, KNF식, P-T식 그리고 D-K식의 경우 일사량 산정모델 3, 7, 10, 12를 제외한 다른 일사량 모델로부터 산정된 월평균 증발량이 관측된 일사량으로부터 산정된 월평균 증발량보다 더 큰 값을 보였다. FAO PM식의 경우 일사량 산정모델 7, 10, 11, 12를 제외한 다른 일사량 모델로부터 산정된 월평균 증발량이 관측된 일사량으로부터 산정된 월평균 증발량보다 더 큰 값을 보였다. 또한 일사량 산정 모델 Type A(모델 1)가 5개 증발량 산정식 모두에서 가장 큰 증발량을 산정하였고, 모델 Type I(모델 12)가 5개 증발량 산정식 모두에서 가장 작은 증발량을 산정하였다.
제주지역에서 월평균 증발접시 증발량은 102.6 mm/month이고, 관측된 일사량을 적용하는 경우 산정된 월평균 증발량은 Penman식(=105.8 mm/month), KNF식(=98.8 mm/month), P-T식(=96.6 mm/month), D-K식(=98.7 mm/month), 그리고 FAO PM식(=107.4 mm/month)이고, NSC지수는 Penman식(=0.905), KNF식(=0.857), P-T식(=0.736), D-K식(=0.755), 그리고 FAO PM식(=0.882)이였다. 따라서 NSC지수로 판단할 때 Penman식으로부터 산정된 증발량이 증발접시증발량과 가장 근사한 것으로 나타났고, P-T식이 가장 차이가 있는 것으로 나타났다. 제주지역의 경우 Penman식, KNF식, P-T식 그리고 D-K식의 경우 일사량 산정모델 3, 6, 7, 8, 10을 제외한 다른 일사량 모델로부터 산정된 월평균 증발량이 관측된 일사량으로부터 산정된 월평균 증발량보다 더 큰 값을 보였다. FAO PM식의 경우 일사량 산정모델 3, 6, 7, 8, 10, 그리고 12를 제외한 다른 일사량 모델로부터 산정된 월평균 증발량이 관측된 일사량으로부터 산정된 월평균 증발량보다 더 큰 값을 보였다. 또한 일사량 산정 모델 Type H(모델 11)가 5개 증발량 산정식 모두에서 가장 큰 증발량을 산정하였고, 모델 Type D(모델 6)이 5개 증발량 산정식 모두에서 가장 작은 증발량을 산정하였다.
4. 요약 및 결론
본 연구에서는 증발량 산정에 필요한 일사량을 산정하기 위해 13개의 일사량 산정 모델들을 적용하여 일사량을 산정하고, 관측된 일사량과 비교하였다. 또한 13개의 일사량산정 모델들로부터 산정된 일사량과 관측된 일사량을 Penman식 KNF식, Priestley-Taylor식, De Bruin-Keijman식, 그리고 FAO Penman-Monteith식 등 5개 증발량 산정식에 적용하여 증발량을 산정하고 증발접시 증발량과 비교 분석하였다.
일조시간과 가조시간의 비뿐만 아니라 최고기온과 최저기온을 동시에 고려하여 일사량을 산정하는 모델(모델 Type 8)이 관측 일사량과 가장 근사한 결과를 보여주었다. 반면에 Angstrőm-Prescott 모델(모델 Type A)의 경우 전 세계적으로 일사량 산정을 위해서 널리 사용되고 있지만 양호한 일사량 모의결과를 보이지 않았다. 따라서 모델 Type A의 계수 값을 추정한 Allen et al. (1998)에 의해서 제안된 모델 1을 일사량 산정모델로 적용하고 있는 FAO Penman-Monteith식은 증발산량을 과대 산정할 수 있다. 하지만 Angstrőm-Prescott모델의 계수값을 본 연구에서 보정한 모델 Type A(모델 3)의 경우 전반적으로 연구지역 모두에서 관측 일사량과 근사한 결과를 보였다. 따라서 일사량 산정모델을 적용하는 경우 적용하는 지역 조건에 적합하도록 모델 계수값을 다시 보정하는 것이 필요하다.
일사량을 산정하기 위해 일사량의 비와 일조시간과 가조시간의 비 사이의 관계를 3차방정식으로 설정하여 일사량을 산정하는 경우 2차방정식으로 설정된 모델보다 더 나은 결과를 보이지 않았다. 그 이외에 일사량을 산정하기 위해 최고기온과 최저기온의 차를 이용한 방법, 일사량을 상대습도와 지구 대기권 도달 태양방사량과의 상관성을 이용한 방법, 상대습도와 지구 대기권 도달 태양방사량뿐만 아니라 월평균 일 최고기온과 최저기온의 차를 추가하여 일사량을 산정하는 방법 등도 일사량 산정 정도를 개선하지 못하였다.
비교결과에 의하면 본 연구지역을 대상으로 Angstrőm- Prescott 일사량 산정모델의 계수값을 보정한 모델 3을 제외한 다른 일사량 산정모델들은 전반적으로 일사량을 과대 산정하였다. 또한 그들이 개발되고 검증된 지역보다 좋지 않은 일사량 모의결과를 보였다. 이는 일반적으로 일사량 모델의 계수값은 그 모델이 적용되는 지역의 대기조건(습도, 먼지 등), 위도 그리고 계절에 따라서 각기 다른 값을 가진다. 따라서 본 연구에서 검토된 일사량 산정모델을 원래 모델이 개발되고 검증된 지역이 아닌 다른 지역에 적용하는 경우 그 다른 지역 조건에 적합하도록 모델 계수값을 다시 보정하는 것이 필요함을 의미한다. 하지만 기온자료만을 이용하여 일사량을 산정하는 Bristow and Campbell 모델(모델 6)의 계수값을 우리나라 지점에 대해서 보정한 모델 7의 경우 다른 일사량 산정 모델에 비해서 양호한 결과를 보이지 않았다. 따라서 증발량 산정을 위해 일사량모델을 선정하는 경우 입력자료의 존재여부 뿐만 아니라 적절한 일사량을 산정하는 모델형식을 동시에 고려하는 것이 필요하다.
관측된 일사량을 적용하여 증발량을 산정하는 경우에 Penman식은 전주, 제주지역에서 증발접시 증발량과 가장 근사한 것으로 나타났고, FAO Penman-Monteith식은 서울과 목포지역에서 그리고 KNF식은 대전지역에서 증발접시 증발량과 가장 근사한 것으로 나타났다. 반면에 Priestley-Taylor식과 De Bruin-Keijman식은 이들 3가지 식(Penman식, FAO Penman-Monteith식, KNF식)들과 비교하여 5개 연구지역에서 증발접시 증발량과 차이를 보였다. 이러한 연구결과는 동일한 일사량 산정모델을 증발량산정식에 적용한다 할지라도 지역에 따라서 산정된 증발량과 증발접시 증발량 사이에 차이가 발생하는 것으로서 추후 연구에서는 이러한 차이를 줄일 수 있도록 증발량산정식의 보정이 필요하다.





