1. 서 론
2. 수치해석방법
2.1 지배방정식
2.2 지진해일 조파방법
2.3 수치해석방법의 검증
2.4 수치파동수조 및 입사조건
3. 수치실험결과
3.1 시‧공간 파형분포
3.2 파동장과 유동장
3.3 연직유속분포
3.4 무차원 월파량
3.5 실제 월파량
3.6 침수거리
4. 결 론
1. 서 론
우리가 알고 있는 지진해일은 해저지진에 의해 발생하며, 해저지각의 에너지가 수괴로 전달되어 해안으로 엄청난 에너지가 유입된다. 21세기 들어 발생한 지진해일 중에서 2004년 M9.3 지진에 의한 수마트라 지진해일과 2011년 M9.0 지진에 의한 동일본 지진해일은 사망자와 실종자가 각각 30만, 3만 명으로 추정되며, 대부분의 인명피해는 지진해일의 월파에 의한 충격파와 침수로 발생하였다(Suppasri et al., 2012). 국내에서도 지각활동에 따른 지진해일의 발생과 전파특성을 분석하기 위한 연구들이 활발하게 수행되고 있다(Cho and Lee, 2002; Kim et al., 2007a; Kim et al., 2007b; Kim et al., 2008; Lee et al., 2016a). 그리고 직접적인 인명피해의 원인이 되는 월파와 침수에 대해서는 실험수조 또는 수치수조에서 지진해일을 직접 발생시켜 그 현상을 조사하였다. 여기에서는 거의 대부분 고립파 근사이론에 근거하여 지진해일을 조파하고 있다.
고립파를 적용한 대표적인 국외연구들로 Liu et al. (2006)과 Chang et al. (2009)은 1 : 20 경사면 상을 전파하는 고립파의 파형, 파고, 처오름 등을 측정하여 보고하였으며, 수치모델 검증에 많이 이용되고 있다. Hunt-Raby et al. (2011)은 고립파 및 파군형성에 따른 월파현상을 수리수조에서 측정하였다. Baldock et al. (2012)는 일정한 경사를 전파하는 고립파의 처오름과 월파량을 측정한 수리실험에서 파고와 수심과의 비, 파고와 월파수조 높이와의 비와 월파량과의 관계를 분석하였다. Bozorgnia et al. (2014)은 2차원 CFD (Computational Fluid Dynamic)에서 고립파를 생성하여 방파제에서 월파모의를 수행하였으며, 기존실험에서 측정한 수면변위와 유속을 고정도로 재현하였다. 국내에서는 Ha et al. (2010)은 비쇄파 고립파의 처오름에 관한 실혐결과(Lin et al., 1999)를 잘 구현함으로써 계산부하가 큰 Navier-Stokes 방정식 모델의 적용성을 잘 보여주고 있다. Lee et al. (2014)은 PBM (Prous Body Model) 기반의 수치파동수조에서 높은 정확도로 Liu et al. (2006)과 Chang et al. (2009)의 처오름 현상을 재현하고 있을 뿐만 아니라, 투과성 해빈의 처오름 현상에 관하여 고찰하였다. 3차원 수치파동수조에서는 Ha et al. (2012)은 불투과 잠제에 의한 고립파의 처오름 저감, Hur et al. (2015)는 투과성 잠제에 의한 고립파의 지연에 관한 수치적인 검토가 수행되었다. Park et al. (2014)는 2차원 입자법을 이용하여 안벽 주변에서의 부체 거동을 직접 모의하였다. Kang et al. (2017)은 1차원 Madsen-Sørensen 확장형 Boussinesq 방정식 모델을 통해 골곡해저지형이 고립파의 변형에 미치는 영향을 모의하였다.
Qu et al. (2017)에 따르면, 고립파는 실제 지진해일에 비해 상당히 좁은 파형분포를 가지는 것을 알 수 있다. 따라서 수리모형실험 또는 수치모형실험에 고립파를 이용할 경우, 지진해일의 수리특성이 과소평가 될 수 있다. 이것을 보완하기 위해 실험수조에서는 조파기의 스트로크와 이동속도를 조절하거나(Park et al., 2013), 붕괴파(Nouri et al., 2010; Liu et al., 2011), 공기압축식(Rossetto et al., 2011), 대용량 펌프식(Goseberg, 2012) 조파를 통해 지진해일처럼 넓은 파형을 조파한다. 수치파동수조에서는 기존 고립파 근사식에 기초하여 파형을 조절하거나(Lee et al., 2016b; Lee et al., 2017), 둘 이상의 고립파를 합성하여 쌍봉형의 지진해일(Qu et al., 2017)을 발생시키기도 한다.
본 연구에서는 지진해일의 파형분포에 따른 월파특성을 수치적으로 분석하기 위하여 Lee et al. (2016b)이 제안한 조파방법을 2차원 수치파동수조(Hur et al., 2011; Lee et al., 2016c; Lee et al., 2016d)에 적용한다. 먼저 입사파형을 조절하여 기존 지진해일 월파에 관한 실험(Hunt, 2003)과 비교 ․ 검토하여 이용하는 수치모델과 조파방법의 유효성과 타당성을 검증한다. 다음으로 지진해일 파형분포에 따른 직립호안 월파 시의 파동장과 유동장 변화특성을 고찰한다. 마지막으로 이것이 지진해일의 월파량 및 침수거리에 미치는 영향을 정량적으로 분석한다.
2. 수치해석방법
본 연구에서는 직립호안에서 지진해일 파형에 따른 월파를 모의하기 위하여 기존 2차원 파동장 모델(LES-WASS-2D)을 이용한다. 그리고 수치수조에서 안정적인 지진해일을 생성하기 위하여 지진해일 조파방법(Lee et al., 2016b)을 LES- WASS-2D에 적용한다.
2.1 지배방정식
지배방정식은 비압축성 ․ 점성유체에서 지진해일을 조파하기 위한 원천 항이 포함된 연속방정식과 Navier-Stokes 운동량 방정식으로 구성된다.
(1)
(2)
여기서, vi는 x, z방향의 유속, q*는 소스의 유량밀도, t는 시간, 𝜌는 유체 밀도, p는 압력, 𝜈T는 동점성계수(𝜈)와 와동점성계수(𝜈t)의 합, Dij는 변형률속도텐서, Si는 Brackbill et al. (1992)의 CSF (Continuum Surface Force)모델에 기초한 표면장력항, Qi는 지진해일의 소스항, Ei는 부가감쇠영역의 에너지 감쇠항, gi는 중력가속도항이다.
월파 시의 쇄파처럼 복잡한 자유수면을 추적하기 위한 VOF (Volume Of Fluid)함수, F는 유체가 계산격자에서 차지하고 있는 비를 나타낸다(Hirt and Nichols, 1981). 이것을 비압축성 유체에 대한 가정에 기초하여 유체 보전형식으로 나타내면 다음과 같다.
(3)
2.2 지진해일 조파방법
Brorsen and Larsen (1987)가 제안한 무반사 조파는 계산영역의 양쪽(x의 ±방향)으로 지진해일이 전달됨으로 Eq. (4)처럼 생성강도 q를 가진다. 그리고 입사파와 반사파가 중첩되면, 목표파형을 정확하게 생성하기가 어렵다. 이에 Ohyama and Nadaoka (1991)가 제안한 조파강도, (𝜂+h)/(𝜂s+h)을 적용하여 안정적인 지진해일을 생성한다.
(4)
여기서, v는 지진해일의 수평유속성분, 𝜂와 𝜂s는 생성지점의 근사 수면변위와 실제 수면변위를 각각 나타낸다. 그리고 ±양쪽으로 지진해일이 전파되기 때문에 상수 2가 적용된다.
수치파동수조는 엇갈림 격자체계 시스템으로 구축되어 있기 때문에 다음의 식과 같이 조파지점의 격자크기(Δxs)에 따른 강도(q)의 영향을 없애기 위하여 유량밀도 q*를 적용한다.
(5)
Lee et al. (2016b)은 기존 고립파 근사이론들에 기초하여 다양한 파형의 지진해일을 조파하기 위하여 분포계수(α)와 가상수심계수(β)를 제안하였다. 본 연구에서는 수치파동수조에서 다양한 파형분포의 지진해일을 조파하기 위하여 Dean and Dalrymple (1984)의 근사이론을 개량한 시간파형과 유속 근사식을 이용하며, 가상수심계수(β)만을 적용한다.
(6)
(7)
여기서, Hi는 입사파고, h는 수심, C는 Dean and Dalrymple (1984)가 제안한 파속(=
), λ는 근사수면변위 입사파고와의 비(=𝜂/Hi), 𝜖는 입사파고와 수심과의 비(=Hi/h), zh는 수립자의 연직거리와 수심과의 비(=
)는 바닥으로부터 수립자의 연직거리)이다.
2.3 수치해석방법의 검증
본 연구에서 이용하는 2차원 수치파동수조와 지진해일 조파방법의 타당성 및 유효성을 검증하기 위하여 Hunt (2003)의 수리모형실험에 근거한 수치파동수조를 Fig. 1과 같이 구성한다. 수심 50 cm의 해석영역에는 비탈면 경사 1 : 20의 경사면을 배치하고, 그 위에는 비탈면 경사 1 : 2, 1 : 2.85의 호안을 설치한다. 그리고 안정적인 지진해일을 조파하기 위하여 외해 쪽에는 조파소스와 부가감쇠영역을 구성한다. 해석영역의 수평방향의 계산격자는 2 cm, 수직방향의 계산격자는 1 cm로 등분할한다. 그리고 검증을 위한 수치계산은 1/1000 s의 시간간격으로 진행한다.
지진해일의 입사파형을 비교하여 Fig. 2에 나타낸다. Fig. 2에서 검정색 사각형은 Hunt (2003)의 실험에 적용한 입사파형, 파란색 점선과 붉은색 실선은 Dean and Dalrymple (1984)의 고립파 근사이론에 기초한 입사파형으로써 체적비가 0.8과 1의 경우를 각각 나타낸다. Hunt (2003)실험의 입사파형은 근사고립파형의 약 80%의 체적을 해당하며, Eq. (6)의 가상수심계수(β)를 조절하여 얻을 수 있다. 또한 Fig. 2로부터 수치파동수조에서는 Lee et al. (2016b)의 무반사 조파방법에 의한 지진해일이 매우 안정적으로 생성되는 것을 확인할 수 있다.
Fig. 3은 지진해일이 경사면을 전파하면서의 파형변형, 호안에서의 월파현상을 비교한 것으로 조파 이후 9초, 10초, 11초, 12초, 13초 때를 비교하여 나타낸다. 여기서 검정색 사각형은 Hunt (2003)의 실험에서 측정한 수면형 그리고 파란색 점선은 Dean and Dalrymple (1984)의 근사파형( V/V0= 1), 붉은색 실선은 근사파형 대비 80%의 체적비(V/V0)를 가진 파형이 각각 유입될 때의 공간파형이다.
Fig. 3에서 지진해일이 경사면을 전파하면서 비선형성이 증가하고, 호안에 도달하여 월파가 발생한다. 이 일련의 과정을 본 연구의 계산결과가 매우 잘 재현하고 있다. 특히 Hunt (2003)실험의 입사파형과 유사한 지진해일 V/V0가 0.8인 경우가 더 실험값 높은 일치도를 나타낸다. 반면 Dean and Dalrymple (1984)의 근사파형(V/V0 = 1)이 내습하는 경우에는 월파현상을 비롯하여 전반적인 수면변위가 과하게 발생한다. 이것은 입사파형에 따라 지진해일의 월파현상이 상의하게 나타날 수 있다는 것을 의미한다.
이상의 검증결과에 근거하여 파동장 모델(LES-WASS-2D)과 지진해일 조파방법(Lee et al., 2016b)의 타당성 및 유효성이 입증되었다고 판단되며, 다음에서 지진해일의 파형에 따른 월파모의를 수행한다. 그리고 수치파동수조에서 지진해일의 수리특성을 분석하기 위해서는 정확하면서 안정적으로 지진해일을 생성할 수 있어야 한다. 즉 실제 지진해일은 근사파형보다 넓기 때문에 고립파 근사이론을 그대로 적용하게 되면, 지진해일의 수리특성이 과소평가될 우려가 커지게 된다.
2.4 수치파동수조 및 입사조건
지진해일의 파형에 따른 월파현상 분석 및 월파량 측정을 위하여 Fig. 4와 같이 2가지의 무반사 조파시스템이 적용된 수치수조를 설치한다. 이 무반사 조파시스템은 지진해일을 생성하는 소스, 감쇠영역, 개경계조건으로 구성된다. 여기서 (a)의 수치수조는 지진해일 생성지점으로부터 900 cm 떨어진 지점에 높이(Fb) 2 cm, 4 cm, 8 cm, 12 cm, 16 cm의 직립호안을 설치하고, (b)의 수치수조는 직립호안 배후에 월파량을 측정할 수 있는 별도의 수조를 설치한다. 이 수치수조의 해석영역은 수평계산격자 2 cm, 수직계산격자 1 cm로 등분할하며, 1/1000 s 간격으로 수치모의를 진행한다.
Table 1에 나타낸 것과 같이 수치모의의 계산조건은 총 300 (4 × 5 × 15)가지이며, 지진해일의 입사파고(Hi), 호안의 마루높이(Fb), 고립파 근사파형 대비 지진해일의 체적비(V/V0; 이하 체적비)를 고려한다. 이 계산조건들을 Fig. 4의 수치수조 (a)와 (b)에 동시에 적용하여 월파 및 침수 현상 그리고 월파량을 측정한다. 여기서 월파량은 매 계산시간마다 Eq. (3)의 VOF함수 를 이용하여 월파수조의 유체량을 구한 것이다.
Table 1.The conditions used in this numerical simulations
| Condition | Symbol | Value |
| Tsunami height [cm] | Hi | 7.5, 10, 12.5, 15 |
| Seawall height [cm] | Fb | 2, 4, 8, 12, 16 |
| Relative wave height | Fb/Hi | 0.16~2.13 |
| Dimensionless volume | V/V0 | 0.6~2.0 |
본 연구에서 기준이 되는 고립파( V/V0= 1)는 Eq. (6)에 나타낸 것처럼 Dean and Dalrymple (1984)의 근사값이다. Fig. 5에서 확인할 수 있듯이 β < 1은 좁은 파형, β> 1는 넓은 파형이 각각 형성된다. 가상수심계수(β)에 따라 0.6~2.0 범위의 체적비(V/V0)를 나타내고, 이 시간파형들은 수치파동수조의 조파시스템에 그대로 대입된다.
3. 수치실험결과
3.1 시‧공간 파형분포
Fig. 6은 지진해일의 체적비에 따른 월파현상을 분석하기 위해 직립호안 우각부(x/Leff = 0)에서 최대지진해일고가 발생하는 순간의 공간파형을 나타낸 것이다. 대표적인 입사파고(Hi) 10 cm, 마루높이(Fb) 8 cm, Fb/Hi = 0.8에서 검정실선은 근사파형의 고립파가 유입되는 경우( V/V0= 1), 파란실선은 근사파형보다 좁은 경우(V/V0 < 1) 그리고 빨강실선은 넓은 경우( V/V0> 1)를 각각 나타낸다. 그리고 그래프의 수평축은 수평거리(x)를 Dean and Dalrymple (1984)가 제안한 약 95% 체적에 해당하는 Eq. (8)의 고립파의 유효파장(Leff), 수직축은 수면변위(𝜂)를 지진해일의 입사파고(Hi)로 각각 무차원화하여 작성한 것이다.
(8)
Fig. 6으로부터 V/V0가 클수록 월파 시에 넓은 파형분포를 나타낼 뿐만 아니라, 호안에 의한 최대수위 상승현상이 커지는 경향이 뚜렷하게 나타난다. 이 경향은 V/V0가 클수록 실질적으로 지진해일이 넓게 분포하기 때문에 호안과 상호간섭의 시점이 빨라지고, 파봉이 도달하기까지의 간섭시간이 길어짐으로 발생하는 수리특성으로 볼 수 있다. 또한 V/V0가 근사 고립파(V/V0 = 1)보다 큰 경우에서 V/V0 > 1.4일 때 호안에 의한 최대수위의 상승효과가 둔화되는 것을 확인할 수 있다. 이것은 파형분포에 따라 지진해일의 파장이 길어지기 때문이며, 일정 파장 이상에서는 호안과의 급격한 상호간섭이 발생하지 않아 수위상승효과가 유사하게 나타나는 것으로 이해된다.
Fig. 7은 Hi = 10 cm, Fb = 8 cm, Fb/Hi = 0.8의 계산조건을 고려한 월파모의에서 직립호안 우각부(x/Leff = 0)의 시간파형을 나타낸 것이다. 그래프에서 검은색 실선은 고립파형( V/V0= 1)이고, 푸른색 실선은 근사파형보다 좁은 경우(V/V0 < 1) 그리고 붉은색 실선은 넓은 경우(V/V0 > 1)를 각각 의미한다. 그리고 그래프의 수평축은 시간을 파속에 대한 거리(t(gh)1/2), 수직축은 수면변위를 입사파고로 무차원(𝜂/Hi)하여 각각 나타낸다.
Fig. 7에서 전술에서 논의한 것과 같이 V/V0 가 클수록 지진해일과 호안의 상호간섭 시점이 빨라지며, 시간파형이 넓게 분포한다. 그 결과 지진해일에 의해 이동하는 유체량이 많아지고, 월파 지속시간이 길어지는 것을 알 수 있다.
이상의 Figs. 6 and 7의 월파모의결과에 근거하여 V/V0 가 클수록 넓은 파형에 의해서 전파되는 유체량이 증가하고, 월파 지속시간도 늘어남에 따라 월파 및 침수에 관한 수리현상이 크게 증가할 것이다.
3.2 파동장과 유동장
Fig. 8은 Hi= 10 cm, Fb = 8 cm, Fb/Hi= 0.8의 월파모의조건에서 x/Leff = 0지점에서 최대해일고가 발생하는 순간의 파동장과 유동장을 도시한 것이다. 대표적으로 좁은 파형(V/V0 = 0.6), 고립파형(V/V0 = 1), 넓은 파형(V/V0 = 2)에 대해 각각 나타낸다.
Fig. 8에서 입사하는 지진해일의 V/V0 가 클수록 수면형의 공간분포뿐만 아니라, 진행방향 유속 또한 넓게 분포한다. 그리고 유체-구조물 상호작용에 의해서 호안에 가까울수록 수직유속이 발달함과 동시에 유속은 증가하고, 수위는 상승하는 경향을 나타낸다. 게다가 마루 상에서는 강한 유속과 함께 월파가 발생한다.
이 수리현상들은 V/V0 가 클수록 더욱 뚜렷이 발생하는 것을 알 수 있다. 이것으로 앞서 논의한 지진해일의 시․공간파형분포에서 V/V0 가 클수록 최대해일고가 더욱 상승한 현상을 설명할 수 있다. 또한 V/V0 가 클수록 직립호안 마루 상의 침수거리가 크게 증가함을 알 수 있다.
3.3 연직유속분포
Fig. 9는 x/Leff= 0 지점에서 최대해일고가 발생하는 시점의 연직유속분포이다. Figs. 9(a)~9(c)에 나타낸 유속, 수평유속성분, 연직유속성분들은 장파의 파속(
)으로 각각 무차원화 한다. 대표적으로 Fig. 9에서는 V/V0 = 0.6을 파란동그라미(●), V/V0= 1.0을 검정사각형(■), V/V0= 2.0을 빨강마름모(◆)로 각각 나타낸다. 그리고 각각의 월파모의에서 Hi= 10 cm, Fb = 8 cm, Fb/Hi= 0.8는 공통조건이다.
Eq. (7)과 같이 고립파의 근사유속은 최대수위(𝜂/Hi = 1)에서 발생하고, 체적비에 관계없이 유속의 크기는 같다. Fig. 9로부터 전술에서 확인한 지진해일-호안 상호작용에 의한 유동과 파동변화가 월파 시 연직유속분포에 큰 영향을 미치는 것은 확인할 수 있다. Fig. 9(a)에서 V/V0가 클수록 월파 시의 수위가 상승하여 유속의 크기는 전반적으로 증가하고, 높게 분포한다. Fig. 9(b)에서 수평유속성분도 (a)와 매우 유사하게 V/V0가 클수록 크기가 증가하고, 높게 분포한다. Fig. 9(c)에서 수직유속성분은 V/V0가 클수록 지진해일-호안 상호간섭이 격렬함으로써 상향유속이 발달하는 반면, 상층부는 호안과 멀리 떨어져 있기 때문에 호안의 영향이 줄어들어 도리어 하향유속이 발달한다. V/V0가 작은 경우에는 Fig. 8(a)와 같이 수괴가 호안의 우각부에 놓인 상태이기 때문에 하향유속만 나타낸다.
이상에서 분석한 지진해일 체적비에 따른 월파 시의 수리특성은 월파 및 침수와 직결되는 것으로 다음에서 정량적 비교를 통하여 체적비가 월파량 및 침수거리에 미치는 영향을 면밀히 조사하기로 한다.
3.4 무차원 월파량
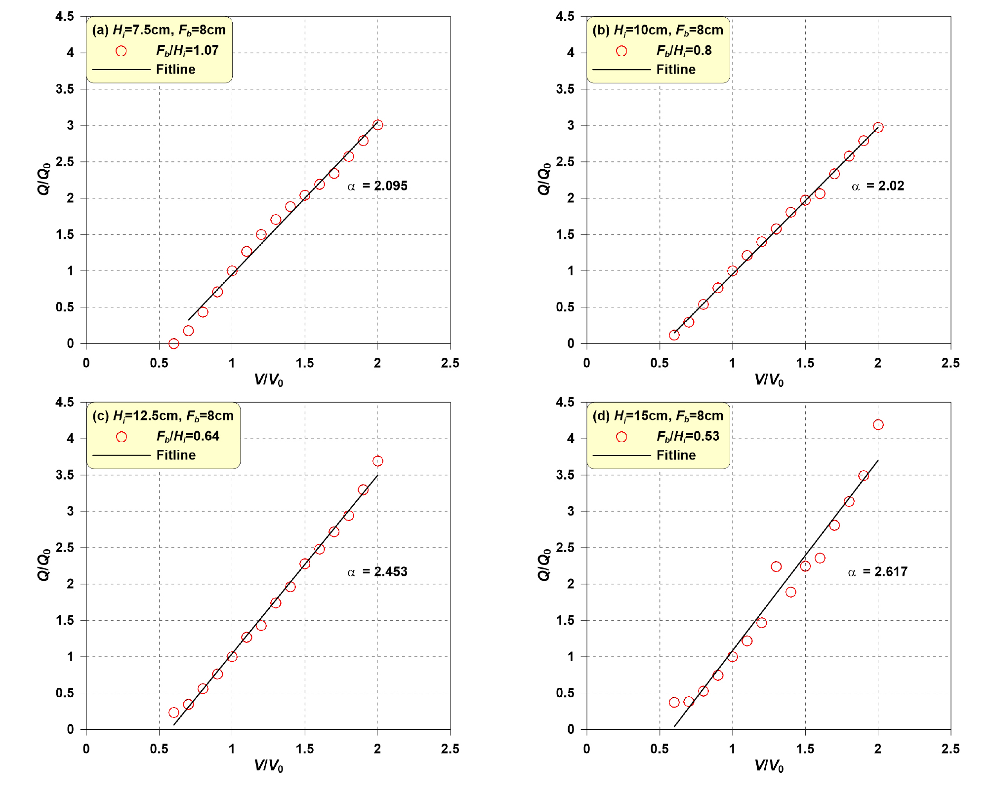
Figs. 10 and 11은 V/V0에 따른 월파량(Q)을 Dean and Dalrymple (1984)의 근사 고립파에 의한 월파량(Q0)으로 무차원하여 나타낸다. Fig. 10에서는 입사파고(Hi)변화, Fig. 11에서는 마루높이(Fb)변화에 따른 각각의 V/V0에 대한 월파량을 비교한 것이다. 여기서 Fig. 10은 마루높이(Fb)를 8 cm로 고정하고, (a)는 Hi= 7.5 cm, Fb/Hi = 1.07, (b)는 Hi= 10 cm, Fb/Hi = 0.8, (c)는 Hi = 12.5 cm, Fb/Hi= 0.64, (d)는 Hi = 15 cm, b/Hi = 0.53의 경우를 각각 나타내고, Fig. 11은 입사파고(Hi)를 10 cm로 고정하고, (a)는 Fb= 2 cm, Fb/Hi = 0.2, (b)는 Fb= 4 cm, Fb/Hi = 0.4, (c)는 Fb= 8 cm, Fb/Hi = 0.8, (d)는 Fb = 12 cm, Fb/Hi = 1.2, (e)는 Fb = 16 cm, Fb/Hi= 1.6의 경우를 각각 나타낸다. Figs. 10 and 11의 모든 그래프에서 빨강동그라미(○)는 각 계산조건에 따른 월파량, 검정실선(―)은 추세선, α는 추세선의 기울기를 각각 나타낸다.
Fig. 10에서 모든 경우에서 V/V0가 클수록 Q/Q0이 선형적으로 증가하는 뚜렷한 경향을 보인다. 상대적으로 Hi가 작은 (a)와 (b)는 비슷한 기울기를 나타내지만, Hi가 큰 (c)와(d)에서는 Hi가 클수록 기울기가 급하다. 이것은 호안으로 유입되는 지진해일고가 높은 경우, 파형이 넓을수록 월파량이 급격하게 증가함을 말한다.
Fig. 11에서도 V/V0가 클수록 Q/Q0이 선형적으로 증가가 뚜렷이 나타난다. 그리고 Fb가 클수록 급한 기울기 가진다. 하지만 이것은 Fb가 클수록 근사 고립파에 의한 월파량(Q0)이 미소하여 상대적 값이 커지기 때문이다. 실제 월파량(Q)은 Fb= 2 cm일 때가 가장 크다.
Fig. 10의 무차원 월파량에 근거하여 내습하는 지진해일고가 높을수록 체적비에 민감한 것으로 나타났다. Fig. 11의 직립호안의 마루높이가 높을수록 무차원 월파량은 크나, 실제 월파량은 마루높이가 낮은 경우에서 크게 발생한다. 이것에 대한 심도 깊은 논의는 다음 단락에서 이어간다.
3.5 실제 월파량
Fig. 12에서는 Hi와 Fb변화를 고려한 Fb/Hi에 따른 V/V0별의 실제 월파량(Q)들을 비교한다. (a)는 Hi= 10 cm일 때 Fb변화, (b)는 Fb= 8 cm일 때 Hi 변화에 따른 Q를 각각 그래프이다. 그래프에서 검정실선(―), 파란실선(―), 빨강실선(―)은 V/V0= 1, V/V0= 0.6, V/V0= 2.0의 경우들을 각각 나타낸다.
Fig. 10의 Hi에 따른 Q/Q0특성에서 고찰한 바와 같이 Fig. 12(a)에서는 Fb/Hi가 작을수록 Q가 증가하고, V/V0가 클수록 Q가 큰 뚜렷한 경향을 확인할 수 있다. 반면 Fig. 11에서 나타낸 Fb에 따른 특성과 달리 Fig. 12(b)에서는 Fb/Hi가 작을수록 Q는 매우 크게 증가한다. 특히 Fb/Hi가 작을수록 V/V0별 차가 커진다. Figs. 12(a) and 12(b)를 종합하면, 지진해일고가 높을수록, 호안의 마루높이가 낮을수록 체적비의 대한 월파량 증가가 크다.
이상에 근거하여 근사 고립파형보다 넓은 실제 지진해일이 내습할 경우, 지진해일고가 높을수록 월파 피해가 커질 것이다. 게다가 호안의 마루높이가 낮은 월파 취약지역에서는 그 피해가 가중될 것으로 생각된다.
3.6 침수거리
Fig. 13의 그래프는 V/V0에 따른 무차원 침수거리(l/l0)를 나타낸 것이다. 여기서 l는 각 계산조건에 대한 침수거리, l0는 Dean and Dalrymple (1984)의 근사 고립파를 적용한 모의에서 측정한 침수거리를 의미한다. 그래프에서 역삼각형(▼)은 Hi = 10 cm, Fb= 2 cm, 삼각형(▲)은 Hi= 10 cm, Fb= 4 cm, 동그라미(●)은 Hi = 10 cm, Fb= 8 cm, 마름모(◆)는 Hi= 10 cm, Fb= 12 cm, 사각형(■)은 Hi = 10 cm, Fb= 16 cm의 계산결과들이다.
앞서 논의한 월파량이 많을수록 그 영향에 의해서 침수거리 또한 증가하게 된다. 이 결과가 Fig. 13에 잘 나타나 있으며, V/V0가 클수록 l/l0가 커지는 특징을 잘 보여주고 있다. 실제 월파량이 많은 Fb/Hi가 작은 경우에서 V/V0가 클수록 l/l0역시 크게 증가한다.
다시 말해 월파량이 많을수록 그 영향에 의해 먼 거리까지 침수가 발생하게 된다. 그리고 전술한 것처럼 고립파형보다 넓은 지진해일이 내습할 경우, 침수거리는 증가한다. 또한 낮은 호안을 가진 월파 취약지역에서는 더 큰 침수 피해발생이 더욱더 우려된다.
4. 결 론
본 연구에서는 지진해일 파형이 직립호안에서 월파와 침수에 미치는 영향을 검토하기 위하여 Hur et al. (2011)이 제안한 2차원 수치파동수조(LES-WASS-2D)에 다양한 파형의 지진해일 조파방법(Lee et al., 2016b)을 도입하였다. 지진해일의 직립호안 월파 시의 시 ․ 공간파형 분포, 파동장, 유동장, 연직유속분포를 나타내어 파형분포에 따른 지진해일의 수리특성을 분석하였다. 나아가 지진해일의 파형분포가 월파량 및 침수거리에 미치는 영향을 정량적으로 조사하였다. 이 과정을 통해 분석한 주요한 결과는 다음과 같다.
1) Lee et al. (2016b)이 제안한 다양한 파형의 지진해일 조파방법과 2차원 수치파동수조(LES-WASS-2D)의 유효성 및 타당성을 Hunt (2003)의 실험결과와 비교 ․ 검증과정으로부터 확인할 수 있었다. 또한 지진해일 월파모의에 있어서 지진해일 파형의 중요성을 확인되었다.
2) 직립호안의 우각부에서 최대해일고가 발생하는 순간의 공간파형, 우각부의 시간파형으로부터 지진해일의 체적비가 클수록 파장이 긴 관계로 넓은 파형분포를 나타내었다. 그 영향으로 유체-구조물 상호간섭에 기인한 최대 수위 상승효과가 크게 발생하였다.
3) 직립호안 주변의 파동장 및 유동장 그리고 월파 시 우각부의 연직유속분포에서 체적비가 클수록 유속의 공간분포 또한 넓게 형성됨을 알 수 있었다. 그리고 최대수위가 상승함으로 연직유속분포의 범위가 증가함과 더불어 유속성분들이 발달하였다.
4) 지진해일 체적비에 따른 무차원 월파량이 선형적으로 증가하였다. 그 경향은 전파되는 유체량이 많은 지진해일고가 큰 경우에 더욱 뚜렷하게 나타났다. 실제 월파량에 있어서는 지진해일고가 클수록, 호안의 마루높이가 낮을수록 월파하는 유체량은 증가하였고, 이 둘이 중첩될 경우에는 월파량이 가중됨을 알 수 있었다.
5) 지진해일 체적비가 증가할수록 월파량이 많아지기 때문에 침수거리 또한 함께 증가하였다. 게다가 실제 월파량이 많은 지진해일고가 높고, 호안의 마루높이가 낮은 상황에서 가장 큰 침수거리가 발생하였다.
이상의 주요한 수치결과에 근거하여 실제 발생한 지진해일은 근사 고립파형보다 넓기 때문에 근사이론을 적용한 지진해일 모의에 의한 월파 및 침수피해 예측은 과소평가될 우려가 매우 크다. 게다가 지진해일고가 클수록, 호안의 마루높이가 낮은 지역일수록 넓은 파형의 지진해일에 대해 취약할 것이다. 그러므로 지진해일에 의한 1차 피해규모를 가늠하기 위한 수리실험 또는 수치실험에서는 고립파형보다 넓은 실제와 유사한 지진해일을 고려하거나, 지진해일 체적비에 대한 가중치를 적용해야 할 것으로 판단된다.















