1. 서 론
2. 베이지안 이론을 활용한 ESP 산정 및 평가방법
2.1 ABCD 강우-유출모델
2.2 ESP 기법
2.3 베이지안 이론
2.4 BAYES-ESP 산정방법
2.5 활용성 평가방법
3. 대상유역 선정 및 자료수집
4. 댐 예측유입량 산정 및 활용성 평가
4.1 ABCD 강우유출모델 구축
4.2 ESP 댐 예측유입량 산정 및 평가
4.3 BAYES-ESP 댐 예측유입량 산정 및 평가
4.4 Skill Score 분석
5. 결 론
1. 서 론
최근 이상기후로 인해 국내외의 가뭄피해가 증가하고 있는 추세이며, 다양한 연구사례에서 미래에 발생하는 가뭄의 심도 및 지속기간은 과거보다 증가할 것이라고 예측하고 있다(Lee et al., 2012; NEMA, 2013). 특히 2015년에는 가뭄으로 국내의 대표적인 다목적 댐인 소양강 댐의 저수율이 역대 최저에 도달하였으며, 보령댐 유역에서는 댐 용수공급이 제한되기도 하였다. 국내에서는 가뭄극복을 위해 수력발전댐 다목적화, 도수로 건설 등을 수행하고 있지만 가뭄피해는 지속적으로 발생하고 있는 실정이다.
우리나라는 강수가 여름에 집중되어 있고 하상계수가 높아 용수공급에 다목적댐 의존도가 높은 지역이다. KICT (2011)에 따르면 국내 용수공급은 56.5%를 댐에 의존하고 있으며, 향후에도 유지될 것이라고 전망하였다. 다목적 댐은 국내 용수공급의 중요한 역할을 수행하고 있으며, 댐 유역 가뭄시 생‧공‧농업용수 공급 제한 등의 광범위한 피해를 발생시킬 수 있다. 다만 가뭄은 홍수와 달리 진행속도가 느린 재해이기 때문에 사전에 정확한 댐 유입량 예측을 통한 용수공급량을 조정한다면 효율적인 대응이 가능하다.
국내의 장기적인 댐 유입량 예측 기법은 ESP (Ensemble Streamflow Prediction) 기법을 활용하고 있다. 과거 기상자료와 수문모델을 활용하여 미래 댐 유입량을 예측하는 ESP 기법은 기상자료, 초기수문조건(Initial Hydrologic Condition, IHC), 매개변수 등에 불확실성을 가지고 있다(Hay et al., 2009; Kang et al., 2014; Najafi et al., 2012; Tang and Lettenmaier, 2010). 국내외에서는 이러한 ESP 기법의 한계점을 개선하기 위해 다양한 연구가 수행된 바 있다. Hay et al. (2009)는 전지구기후지수와 유출량 간의 원격상관 관계를 이용하여 수문모델의 조건별 매개변수를 산정하였고 이를 통해 매개변수의 불확실성이 감소할 수 있음을 제시한 바 있다. DeChant and Moradkhani (2011)은 ESP 기법의 초기조건에 융설을 효과적으로 반영하기 위해 자료동화기법을 활용하였으며, 잠재적 활용성이 높음을 제시하였다. Najafi et al. (2012)는 봄철 유량예측의 정확도 향상을 위해 ESP 기법에 사전 및 사후 처리를 통해 개선한 유량예측 결과와 기상예보모델 CFSR (Climate Forecast System Reanalysis)을 강우-유출모델에 적용한 유량예측 결과를 비교분석하였다. Kang et al. (2014)은 기상청 확률장기예보와 과거 기상자료 PDF (Pro-bability Density Function)의 확률을 ESP 기법의 가중치로 사용함으로써 댐 유입량을 예측하였다. 국외에서는 ESP 기법을 개선하기 위한 여러 연구가 수행되었지만 국내 연구사례는 아직 부족한 실정이며, 지속적인 연구가 필요하다.
장기 기상 및 수문예측 분야에서 정확도 개선을 위해 많이 사용되는 기법 중 하나인 베이지안 이론은 국내외에서 다양하게 적용되었으며, 그 활용성이 검증된 바 있다. 국외에서는 Coelho et al. (2004)가 ENSO (El Niño-Southern Ocillation) 예측에 있어 기후모델인 ECMWF (European Centre for Medium-range Weather Forecasts)의 정확도를 개선하고자 베이지안 이론을 활용한 바 있으며, Fang et al. (2009)은 중국 양쯔강 유역의 여름철 강수예보의 정확도 개선을 위해 베이지안 이론을 적용하였다. 국내에서는 Son (2015)가 GS5 (GloSea5)와 VIC (Variable Infiltration Capacity) 모델 기반의 가뭄전망정보의 정확도 향상을 위해 베이지안 이론을 활용하였으며, 정확도가 개선됨을 보였다. 따라서 본 연구에서는 베이지안 이론을 ESP 기법에 적용하여 댐 예측유입량 산정기법을 개발하고 평가하고자 한다.
2. 베이지안 이론을 활용한 ESP 산정 및 평가방법
연구수행과정은 Fig. 1과 같으며, 주요수행과정은 크게 ESP 기법, 베이지안 기법, 적용성 평가로 구성되어 있다. ESP 기법에서는 과거 기상자료와 ABCD 강우유출 모델을 활용하여 유량 시나리오와 ESP 댐 예측유입량을 산정한다. 베이지안 기법에서는 ESP 댐 예측유입량과 과거 댐 관측유입량 간의 확률적 관계를 활용하여 ESP를 개선한 BAYES-ESP 댐 예측유입량을 산정한다. 적용성 평가에서는 ESP 기법과 BAYES- ESP 기법의 적용성을 시계열 분석, SS (Skill Score)를 활용하여 검증하였다.
2.1 ABCD 강우-유출모델
본 연구에서는 다목적 댐 유입량 예측을 위해 월단위 및 주단위 강우유출해석에 활용도가 높은 ABCD 모델을 선정하였다. ABCD 모델은 1981년 Thomas에 의해 개발된 이후로 국내외에서 강우유출해석 및 기후변화 영향평가 연구사례에 다양하게 활용되었다. 국내에서 Kim et al. (1991)은 미계측지역의 월 유출량 산정을 위해 적용한 바 있으며, Hwang et al. (2007)은 기후변화에 따른 수자원 영향평가를 위해 ABCD 모델을 적용하였다. 국외에서는 Li et al. (2012)이 월 단위 유량예측의 불확실성을 감소시키고자 VIC과 ABCD 모델을 활용하였으며, Martinez et al. (2010)은 미국 764개 유역에 대해 ABCD 모델의 적용성을 평가한 사례가 있다.
ABCD 모델은 물수지 이론을 활용하여 토양 속에 함유된 수분이 강수와 증발산에 의해 변화하고 지표 및 지하로 유출되는 현상을 A, B, C, D 4개의 매개변수와 간단한 식으로 표현한 개념적 모델이다. Thomas의 ABCD 모델은 강수량이 토양층과 지하수층 두 번의 과정을 거쳐 유출이 발생하는 구조이며 토양층에서 직접유출, 지하수 층에서 간접유출을 모의하도록 구성되어 있다. K-water에서는 기존에 2개의 층으로 구성되어 있는 ABCD 모델에 온도지수법을 활용하여 융적설에 의한 지체효과를 반영할 수 있도록 개선한 바 있다(Kim et al., 2016). 본 연구에서는 K-water에서 개선한 ABCD 모델을 활용하여 강우유출해석을 수행하였다. 모델의 구조는 Fig. 2와 같으며, 보다 구체적인 사항은 K-Water (2017)을 참고하기 바란다.
2.2 ESP 기법
본 연구에서는 다목적 댐의 월 단위 수문전망 방법으로 미국 기상청(National Weather Service, NWS)에서 개발한 ESP 기법을 활용하였다(Fread, 1998). ESP 기법은 과거의 기상현상이 미래에 재현될 수 있다는 전제하에 예측시점의 수문상태(IHC)와 과거 기상자료를 강우-유출모델을 통해 결합하여 미래의 수문을 예측하는 경험적 장기수문예측기법이다. 즉, 예측시점의 수문상태인 IHC와 미래에 발생할 가능성이 있는 모든 기상시나리오를 활용하여 강우-유출모델으로부터 다수의 수문시나리오를 산정하고, 그 대푯값을 미래 수문 예측값으로 활용한다. 예측시점의 IHC는 모두 다르므로 동일한 기상시나리오를 활용하여도 수문예측값은 매번 다르게 산정된다. 통상 기상시나리오는 WMO (World Meteorological Organization)에서 기후값 계산을 위해 활용하는 30년 자료를 이용한다. ESP 기법은 과거 기상자료를 활용함에 따라 수문예측 결과가 과거의 경향을 벗어나지 못하는 한계가 있으나, 예측시점의 초기수문조건을 반영한다는 점에서 미래 수문상황 예측에 널리 활용되고 있다.
2.3 베이지안 이론
본 연구에서는 ESP 기법의 정확도 향상을 위해 베이지안 이론을 활용하였다. 베이지안 이론은 18세기 영국의 Thomas Bayes가 제시하였으며, 사회과학, 공학 등 다양한 분야에 두루 사용되어왔다. 이 개념은 어떤 사건에 대해 기존의 지식과 새로운 증거가 확보된다면 기존의 지식과 새로운 증거 간의 관계를 활용하여 보다 사실에 가까운 예측이 가능하다는 데에 있다. 여기서 기존의 지식을 사전정보, 기존의 지식과 새로운 증거 간의 관계를 우도함수, 보다 사실에 가까운 예측을 사후정보라고 하며 이를 확률로써 표현할 경우 다음 Eq. (1)과 같다. 임의의 확률변수(
)가 이산적이고 그 수가 유한하다면, 또 다른 사건(
)이 발생하였을 때의 확률
를 알 수 있다.
(1)
여기서, P(
)는 사전확률(prior probability),
는 우도함수(likelihood function),
는 사후확률(posterior probability)이라고 한다.
베이지안 이론을 활용하여 수문예측을 할 때 이러한 확률값들은 확률분포의 형태로 표현할 수 있으며, 확률분포의 결정에는 공액 사전분포(conjugate priori distribution)과 비공액 사전분포(non-conguate priori distribution)을 활용한다. 공액 사전분포는 계산의 편의성을 위해 사전분포와 사후분포를 동일한 확률분포로 활용하는 방법이며, 비공액 사전분포는 공액분포의 추정이 어려울 경우 활용하는 방법이다(Kim, 2013). 본 연구에서는 공액 사전분포를 활용하여 사전분포를 추정하였으며, 분포형으로 평균과 분산을 모수로 취하는 정규분포를 활용하였다. 각 확률분포가 모두 정규분포 일 때, 사전정보는 사전분포의 평균과 분산, 우도함수는 임의의 확률변수(
)와 또 다른 사건(
)의 조건부 분포, 사후정보는 수문예측값으로 사후분포의 최빈값인 평균을 사용한다.
2.4 BAYES-ESP 산정방법
댐 예측유입량 정확도 향상을 위해 ESP 기법에 베이지안 이론을 적용하였으며, 적용과정은 크게 사전분포, 우도함수, 사후분포로 구분된다. 본 연구에서는 사전분포의 인자로 과거 댐 관측유입량을 활용하였으며, 우도함수 인자로 ESP 댐 예측유입량을 이용하였다. 사후분포는 사전분포와 우도함수의 곱을 통해 산정되며, 이때 사후분포의 평균인 사후정보를 BAYES-ESP 댐 예측유입량 값으로 이용한다.
사전정보는 기존에 알고 있던 정보로써 주로 표본자료에 대한 빈도해석, 전문적 지식, 경험을 통해 얻게 된다. 댐 유입량의 경우 가장 쉽게 예측할 수 있는 방법은 과거 관측자료를 사용하는 것이며, 통상 과거 관측자료 중 가장 발생가능성이 높은 값이 평균이다. 따라서 본 연구에서는 임의의 t시점에 대해 과거 댐 관측유입량의 일정기간 평균(
)을 사전정보로 선정하였다. 사전분포는 특정 월에 대한
가 주어졌을 때 발생 가능한
의 분포가 되며, 확률밀도함수식은 다음과 같다.
(2)
여기서,
는 과거 댐 관측유입량,
는 사전분포의 분산을 의미한다.
우도함수는 사전정보와 우도함수 인자 간의 조건부 확률분포로 표현가능하며, 댐 관측유입량(
)과 ESP 댐 예측유입량(
) 간의 관계를 활용하였다. 조건부 확률분포를 산정하기 위해서는 두 정보 간의 관계를 규명할 필요가 있으며, 본 연구에서는 선형회귀모델을 활용하여 Eq. (3)과 같이 관계를 산정하였다(Coelho et al., 2004; Luo et al., 2007). 우도함수의 조건부 확률분포는 선형회귀관계를 활용하여 산정하였고 산정식은 (4)~(7)과 같다. Eq. (6)은 기존
의 오차를 보정하는 역할을 하며,
가
에 비해 크거나 작은 경향을 가질 경우 그 차이를 감소시킨다.
(3)
(4)
(5)
(6)
(7)
여기서,
는 선형회귀의 절편,
는 기울기,
는 선형회귀값(
)과
사이의 잔차를 의미한다.
사후분포는 Eq. (8)과 같이 사전분포와 우도함수를 통해 산정할 수 있으며, 평균(
)과 분산(
)을 갖는 정규분포 식으로 나타낼 수 있다. 사후분포의 평균과 분산은 Eqs. (9) and (10)으로 산정할 수 있다. 사후분포의 평균은 Eq. (9)와 같이 사전분포의 평균(
)과 분산(
), 우도함수의
와
의 함수로써 나타낼 수 있다. 여기서 분자의 분산을 분모의 분산의 합으로 나누면 가중치가 되며 이를 정밀도(precise)라 한다. 따라서 사후정보는
,
의 정밀도를 고려한 보정결과이며, 본 연구에서는 사후분포의 최빈값이라고 할 수 있는 평균(
)를 BAYES-ESP 댐 예측유입량으로 활용하였다.
(8)
(9)
(10)
2.5 활용성 평가방법
ESP 기법과 BAYES-ESP 기법의 활용성을 평가하기 위해 도시적 평가방법인 시계열 분석, 통계적 평가방법인 SS (Skill Score) 분석을 수행하였다. 시계열 분석은 수문전망값과 관측값을 도시한 후 정성적인 평가를 하는 방법으로 수문전망과 관측값 간의 거동을 분석할 수 있는 방법이다. SS는 수문전망을 수행할 수 있는 다양한 예측수단이 있을 때, 예측수단들의 오차를 활용하여 예측성을 비교평가하기 위한 통계값으로 여러 연구사례에 적용된 바 있다(Bradley et al., 2015; Harrison and Bales, 2015). 예측수단의 비교평가를 위해서는 기준이 되는 예측수단이 있어야 하며, 본 연구에서는 월별 평균 댐 관측유입량(
)을 활용하였다. SS는 Eqs. (11)~(13)을 통해 산정할 수 있으며,
는
로 비교하고자하는 예측값,
는
로 기준으로 활용되는 예측값을 활용한다. 값의 범위는 음의 무한대에서 1의 값까지 가질 수 있다. 값이 1일 경우 완벽한 예측이며, 음의 값을 가질 경우 기준예측수단보다 예측성이 떨어짐을 의미한다.
(11)
(12)
(13)
여기서,
는 관측값과 예측값 간의 오차,
는 예측값,
는 관측값,
은 예측값의 개수,
는 평균제곱근오차,
는 평가하고자 하는 예측수단의 평균제곱근오차,
는 기준 예측수단의 평균제곱근오차를 의미한다.
3. 대상유역 선정 및 자료수집
본 연구의 대상유역은 기상관측기간, 댐 유입량 관측기간, 유역면적, 저수지 저수량을 고려하여 Fig. 3의 충주댐 유역을 선정하였다. 충주댐은 국내 대표적 다목적댐이며 유역면적은 6,705 km2, 저수용량은 2,750백만 m3으로 댐 용수공급의 중요한 역할을 수행하고 있다. 충주댐은 1985년 10월에 준공되어 30년 이상의 댐 유입량 관측자료를 확보하고 있으며, 기상관측자료는 1966년부터 현재까지 50년 이상의 자료가 구축되어 있다. 기상관측자료는 1966~2016년의 국토교통부, 기상청, 한국수자원공사의 지점 관측자료를 활용하였으며, 댐 관측유입량은 한국수자원공사의 1986~2016년 관측자료를 활용하였다.
4. 댐 예측유입량 산정 및 활용성 평가
4.1 ABCD 강우유출모델 구축
본 연구에서는 댐 예측유입량 산정을 위해 충주댐 유역에 대해 ABCD 강우유출모델을 적용하였다. 모델을 사용하기 위해서는 강우유출모델의 모의능력을 평가할 필요가 있으며, 모의능력은 대상지역에 대한 적정 매개변수를 산정하고 그에 따른 유출결과의 정확도 평가를 통해 이루어져야 한다.
ABCD 모델의 매개변수는 자동추정방법인 SCE-UA (Shuf-fled Complex Evolution method developed at The University of Arizona) 기법을 활용하였다. SCE-UA 방법은 전체 매개변수 공간에 대한 최적 해를 찾는 전역 최적화 방법이다(Duan et al., 1992). 충주댐 유역의 매개변수를 추정하기 위한 보정기간으로 2005~2015년을 활용하였으며 검정기간은 1994~ 2004년을 활용하였다.
Fig. 4는 ABCD 모델 보정결과를 나타낸 그림으로 진한 회색실선은 댐 관측유입량(OBS), 검정색 실선은 ABCD 모의 댐 유입량(SIM)을 나타낸 것이다. 보정결과 SIM는 OBS와 거의 유사한 거동을 보였으나, OBS에 비해 다소 과소 모의하였다. 보정기간에 대한 SIM와 OBS 간의 상관계수는 0.92로 나타났다. 검정결과 보정기간과 동일하게 SIM는 OBS의 거동특성은 유사하게 나타났으며, SIM와 OBS 간의 상관계수는 0.95로 보정기간에 비해 높게 나타났다. 따라서, 충주댐 유역에 대한 ABCD 모델의 매개변수는 적절하게 추정되었으며, 월 단위 댐 유입량 모의능력이 우수한 것으로 판단된다.
4.2 ESP 댐 예측유입량 산정 및 평가
본 연구에서는 베이지안 이론을 활용하여 ESP 기법을 개선하고자 한다. 개선을 위해서는 기존 방법의 한계점을 파악할 필요가 있다. 따라서 충주댐 유역에 대해 1개월, 2개월, 3개월 전망의 ESP 댐 예측유입량을 산정하고 관측값과 비교평가하였다.
ESP 댐 유입량 산정을 위해 충주댐 유역의 예측시점 별 초기수문조건을 ABCD 모델로 모의하였다. 과거 일정기간의 강수량, 기온을 전망기간별로 수집하고 기상시나리오를 구축하였으며, 기상시나리오를 예측시점의 초기수문조건과 함께 ABCD 모델에 적용하여 전망기간별 유량시나리오를 산정하였다. 1개월, 2개월, 3개월 ESP 댐 예측유입량은 전망기간별 유량시나리오를 평균한 값을 이용하였다.
Fig. 5는 충주댐 유역에 대한 1개월, 2개월, 3개월 ESP 댐 예측유입량 값을 도시한 것으로, 회색 실선은 OBS, 검정색 실선은 ESP 댐 예측유입량(ESP)이다. 1개월 전망의 ESP는 OBS에 비해 다소 작은 것으로 나타났으며, 매년 전망값의 큰 차이 없이 유사한 거동을 보였다. 따라서 ESP 전망값은 2006, 2011년 등의 다우년의 여름철 OBS 보다 작게 모의하였으며 2014, 2015년 등의 과우년의 OBS 보다는 크게 모의하였다. 2개월 및 3개월 전망의 ESP는 1개월 예측값과 유사하게 2006, 2011년 등의 다우년과 2014, 2015년 등의 과우년의 예측성이 떨어지는 것으로 나타났다. 결론적으로 ESP는 OBS 보다는 다소 작게 모의하는 경향을 보였으며, 다우년과 과우년에 예측성이 떨어지는 것으로 나타났다. 이는 우리나라의 계절별 또는 월별 강수의 변동성을 반영하지 못하는 것으로 앙상블 예측기법인 ESP의 한계점으로 판단된다. ESP 기법은 과거 발생했던 기상자료를 활용하여 산정한 유입량 시나리오의 평균을 통해 전망값을 산정한다. 따라서 기상자료의 변동성이 커서 유입량이 평균에서 많이 벗어나는 지역보다, 변동성이 작아 유입량이 매년 큰 차이가 없는 지역에 적합한 기법이라고 할 수 있다. 다만 우리나라와 같이 장마 및 태풍 등의 영향으로 매년 강수의 변동성이 크게 나타나는 지역은 ESP 기법 적용에 한계가 있다.
4.3 BAYES-ESP 댐 예측유입량 산정 및 평가
BAYES-ESP 댐 예측유입량(BAYE-ESP) 산정을 위해서는 사전분포, 우도함수, 사후분포를 산정해야 한다. 사전분포로는 월별 OBS 기반의 정규분포를 활용하였으며, 정규분포를 적용하기 위해 월별 OBS의 정규성 검정을 수행하였다. 정규성 검정은 Kolmogorov-Smirnov 방법을 활용하여 수행하였다. Table 1은 OBS의 정규성 검정결과를 나타낸 것으로 1월, 3월을 제외한 모든 월에 대하여 유의수준(α) 0.05를 만족하였으며, 1월을 제외한 모든 월이 유의수준 0.1에 대하여 정규성이 유의하였다. 따라서 대부분의 월별 OBS의 정규성이 있으며, 사전분포로 정규분포를 활용이 가능할 것으로 판단하였다.
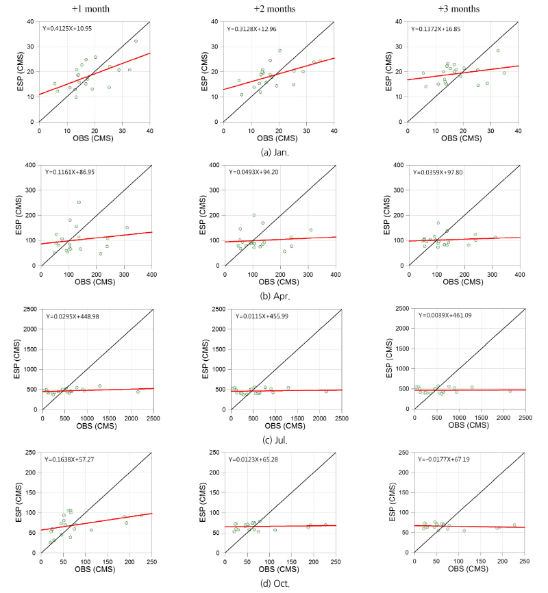
우도함수는 1996~2015년 기간의 ESP와 OBS의 선형회귀관계를 활용하여 산정하였다. 회귀식은 전망기간별, 월별로 산정하였으며 Fig. 6은 1월, 4월, 7월, 10월의 선형회귀식을 예로써 도시한 것이다. 그림에서 선형회귀를 수행한 각 과거자료의 산포도를 나타내었으며, 빨간색 실선은 선형회귀선, 검정색 실선은 기울기가 1인 선을 의미한다. 여기서 산포도와 선형회귀선이 기울기가 1인 검정색 실선에 가까울수록 ESP는 OBS를 적절하게 예측한 것이며, 검정색 실선보다 기울기가 낮을 경우 과소모의, 높을 경우 과대모의함을 의미한다.
1개월 전망의 경우 1월의 회귀선의 기울기가 0.4125로 비교적 높았으며 4월과 10월의 기울기가 각각 0.1161, 0.1638로 나타났다. 여름철인 7월의 회귀선의 기울기는 0.0295로 매우 낮았다. 모든 월의 회귀선의 기울기가 1 이하로 ESP는 OBS를 과소 모의 한다고 판단할 수 있다. 또한 여름철 7월의 경우 회귀계수의 기울기가 거의 0에 근접하였으며, 7월의 ESP와 OBS 간의 연관성이 거의 없다고 볼 수 있다. 이는 ESP 기법의 여름철 OBS에 대한 예측능력이 떨어짐을 의미하며 앞에서 수행한 ESP 평가와 동일한 결과라고 할 수 있다. 2개월 전망의 경우 1월의 회귀선의 기울기가 0.3128로 비교적 높았으며, 4월, 7월, 10월의 회귀선의 기울기는 0.1 이하로 모두 낮았다. 2개월 전망의 회귀선 기울기는 1개월 전망에 비해 낮게 산정되어, 1개월 전망에 비해 예측성이 떨어지는 것으로 나타났다. 또한 7월뿐만 아니라 4월과 10월의 회귀선의 기울기가 0에 근접하여 정확도가 낮게 나타났다. 3개월 전망에서는 1월의 회귀선의 기울기가 0.1372로 2개월 전망에 비해 크게 떨어졌으며, 4월, 7월 기울기는 0.1 이하, 10월의 기울기는 음의 값을 나타내어 2개월 전망 보다 예측정확도가 떨어지는 것으로 나타났다. 2개월, 3개월 전망의 경우 일부 월의 선형회귀선 기울기에 음의 값이 나타났으며, 이는 ESP의 예측성이 거의 없음을 의미한다.
전망기간별 선형회귀 결과를 볼 때 ESP는 OBS에 비해 과소 모의하는 경향이 있으며, 특히 여름철의 예측성이 떨어지는 것으로 나타났다. 또한 전망기간이 길어짐에 따라 회귀선의 기울기가 감소하여 ESP의 예측성은 전망기간이 길어짊에 따라 감소하는 것으로 나타났다.
Fig. 7은 사후분포로부터 산정된 BAYES-ESP의 결과값을 도시한 그림으로, 우도함수 추정을 위한 20년의 보정기간(1996~2015)과 우도함수를 통해 산정한 10년의 사후정보의 검정기간(1986~1995)로 구분하여 나타내었다. 주황색 실선은 BAYES-ESP, 녹색 실선은 OBS, 검정색 실선은 ESP를 의미한다.
1개월 전망의 경우 BAYES-ESP는 보정기간에 OBS 보다 낮은 거동을 보이는 ESP를 보다 크도록 보정하였으며, 특히 평년보다 높은 OBS가 나타나는 2007, 2011, 2013년 등에 보정효과가 크게 나타났다. BAYES-ESP는 건기보다는 우기에 보정폭이 크게 나타났으며, OBS가 가장 높은 7월에 가장 큰 것으로 나타났다. 다만 2014, 2015년과 같이 심각한 가뭄이 들었던 해에는 ESP를 보다 크게 보정되어 정확도가 떨어지는 것으로 나타났다. 또한 장마, 태풍 등으로 인해 평년과 강수 패턴이 다른 해에는 정확도 개선효과가 거의 없는 것으로 나타났다. 검정기간에는 보정기간과 유사하게 평년보다 OBS가 컸던 1987, 1990, 1995년 등에 개선되는 것으로 나타나 BAYES-ESP는 ESP에 비해 크게 보정되었다. 반면 극심한 가뭄이 들었던 1992, 1994년에는 개선효과가 미미한 것으로 나타났다.
2개월 전망의 경우 BAYES-ESP는 보정기간에 OBS 보다 낮은 거동을 하는 ESP를 보다 크도록 보정하였으며, OBS가 평년보다 높았던 해에 보정효과가 크게 나타났다. 일부 1998년과 같은 해에는 2개월 BAYES-ESP가 1개월 BAYES-ESP보다 크게 보정되는 것으로 나타났다. 이는 2개월 전망 우도함수의 회귀선 기울기 계수가 1개월 보다 작아 Eq. (6)의
가 더 크게 산정되었기 때문이다. 검정기간에는 보정기간과 유사하게 평년보다 OBS가 컸던 기간에 대해 개선효과가 크게 나타났다.
3개월 전망의 경우 BAYES-ESP는 보정기간에 OBS 보다 낮은 ESP 보다 크도록 보정되었으며, OBS가 평년보다 높았던 해에 보정효과가 크게 나타났다. 3개월 BAYES-ESP는 1개월 전망 보다 더 낮은 우도함수의 회귀선 기울기 계수를 갖는 경우가 있어 일부 해에는 1개월 전망보다 크게 보정되는 것으로 나타났다. 검정기간에는 보정기간과 유사하게 ESP 보다 크도록 보정되었다.
BAYES-ESP의 보정 및 검정은 우도함수 산정결과에서 나타난 ESP가 OBS를 과소 모의하는 현상을 보정하여 개선효과가 있는 것으로 나타났다. 특히 평년보다 OBS가 높았던 기간에 대해 그 개선효과가 뚜렷하였다. 다만 심각한 가뭄이나 평년과 다른 강수패턴을 보이는 경우에는 개선효과가 없는 것으로 나타났다.
4.4 Skill Score 분석
SS는 예측성을 비교평가하기 위한 통계치이므로 산정하기 위해서는 기준이 되는 예측수단이 필요하다. 일반적으로 가장 간편하게 미래 댐 유입량을 예측하는 방법은 과거 댐 관측유입량의 평균을 사용하는 것이다. 이러한 방법은 단지 과거 관측값만을 사용하기 때문에 미래의 물리적 현상을 반영하기 어려우며, 예측성이 낮다. 본 연구에서 적용한 BAYES- ESP는 이러한 한계를 개선하기 위해 개발된 기법이다. 따라서 우도함수 기간의 월 평균 댐 관측유입량(
)을 기준예측수단으로 활용하여 비교평가를 수행하고자 한다. ESP와 BAYES-ESP의 예측성을 정량적으로 비교하고자 Tables 2 and 3과 같이 보정기간과 검정기간에 대해 월별로 SS를 산정하였다.
Table 2의 보정기간 SS 산정결과, 1개월 전망 ESP는 1~3월에 비교적 큰 양의 값으로 나타나 기준예측수단 보다 예측성이 있는 것으로 나타났다. 이는 Fig. 6의 선형회귀식 산정결과 1월의 ESP가 예측성이 비교적 높다는 결과와 유사하다. 2개월 및 3개월 전망 ESP의 SS결과도 1개월 전망과 유사하였다. 보정기간에 대한 1개월 전망 BAYES-ESP는 1~3월에 비교적 큰 양의 값으로 나타났으며, ESP 보다 개선되었다. 또한 4, 8, 12월에도 SS가 ESP에 비해 커지는 것으로 나타났다. 2개월 전망 BAYES-ESP는 1개월 전망과 유사하게 1~3월에 비교적 높은 SS가 나타났으며, ESP 보다 개선되었다. 4월 및 8월에도 SS가 ESP에 비해 증가하는 것으로 나타났다. 3개월 전망의 경우 BAYES-ESP의 SS는 모든 월에 음의 값을 보였으며 8, 9, 11, 12월에 ESP보다 높은 값을 갖는 것으로 나타났다.
Table 3은 검정기간 SS 산정결과로 1개월 전망 ESP는 보정기간과 유사하게 1~3월에 비교적 높은 SS를 갖는 것으로 나타났으며, 대부분의 월에 SS가 0보다 작았다. 2개월 전망 및 3개월 전망 ESP의 SS도 1개월 전망과 유사하였다. 검정기간 BAYES-ESP의 SS 산정결과 1개월 전망에서 1~ 3월의 SS가 양의 값을 가졌으며 ESP 보다 향상되었다. 또한 4, 5, 7월의 SS가 ESP 보다 개선되는 것으로 나타났다. 2개월 전망 및 3개월 전망의 결과도 1개월 전망과 유사하였다.
Fig. 8은 BAYES-ESP와 ESP의 계절별 평가를 위해 전망 및 검/보정 기간별 SS의 3개월 이동평균(moving average) 그림을 나타낸 것이다. Y축은 3개월 이동평균 SS이며, X축은 3개월 이동평균 기간으로 각 월의 약자를 활용하여 JFM의 경우 Jan-Feb-Mar를 의미한다. 그림의 주황색 실선은 BAYES- ESP의 SS 이동평균, 파란색 실선이 ESP의 SS 이동평균을 뜻한다. 검정색 실선은 SS가 0인 값을 나타내며, 기준 예측값으로 사용한 월별 평균 댐 관측유입량의 SS를 나타낸다. 따라서 BAYES-ESP 또는 EPS의 실선이 검정색 실선보다 위에 있을 경우 예측성이 더 뛰어남을 뜻한다.
보정기간에 대한 SS 이동평균 결과 1개월 전망의 경우 ESP는 JFM (1~3월) 기간에 대해 가장 높은 SS를 나타내었으며, 가을, 겨울, 봄에 대체적으로 SS가 0보다 높았고 강수량이 많아지는 6월이 추가되는 AMJ (4~6월)부터 SS가 0 이하의 값으로 내려가는 것으로 나타났다. BAYES-ESP의 경우 ESP와 대체적으로 유사한 거동을 보여 JFM에 가장 높은 SS를 보였으나, 겨울, 봄에 ESP에 비해 SS가 향상되는 것으로 나타났다. 2개월 전망의 경우 ESP는 1개월과 유사하게 JFM에 가장 큰 SS를 보였으며, 5월이 추가되는 MAM (3~5월)부터 SS가 음의 값에 도달하는 것으로 나타났다. BAYES-ESP의 경우 대부분의 기간에 대해 ESP 보다 우수한 예측성을 보이는 것으로 나타났으며, 1개월과 유사하게 JFM에 가장 큰 SS를 보였다. 3개월 전망의 경우 1, 2개월과 유사하게 ESP와 BAYES-ESP의 SS는 JFM에 가장 높은 것으로 나타났으나, 대부분의 기간에 대해 SS가 음의 값을 갖는 것으로 나타났다.
검정기간에 대한 SS 이동평균 결과 1개월 전망의 경우 ESP는 보정결과와 유사하게 JFM 기간에 대해 가장 높은 SS를 갖는 것으로 나타났으며, 4월의 SS가 크게 떨어져 봄철 기간의 예측성이 낮게 나타났다. BAYES-ESP는 비교적 4월의 SS가 높아 ESP 보다 봄철 예측성이 개선된 것으로 나타났으며, 기존 보정결과와 유사하게 JFM의 SS가 가장 높게 나타났다. 2개월과 3개월 전망결과 ESP는 1개월 전망과 유사하게 나타났으며, BAYES-ESP는 전망기간이 길어짐에 따라 SS가 감소하였으나, 봄철인 JFM과 FMA 기간에 대하여 예측성이 ESP에 비해 향상되는 것으로 나타났다.
본 연구에서는 ESP와 BAYES-ESP의 댐 유입량 예측성을 정량적으로 평가하기 위해 보정 및 검정기간에 대해 SS를 산정하고 월별, 계절별 평가를 수행하였다. 산정결과 ESP는 1~3월에 비교적 예측성이 높았으며, 이외의 월에는 예측성이 떨어지는 것으로 나타났다. 계절별 평가결과에서도 봄철의 SS 이동평균이 높았고 1~3월 기간에 최대값을 보였다. ESP는 예측시점의 IHC를 반영하기 때문에 예측성이 있는 기법으로, 강수량이 많은 기간에는 그 활용성이 떨어진다. 우리나라는 기후특성상 1~3월에 강수량이 비교적 적으며, 이외의 기간에는 강수량의 변동성이 크기 때문에 ESP의 활용성이 떨어지는 것으로 판단된다. BAYES-ESP의 SS는 1~3월에 양의 값을 가졌으며, ESP 보다 개선되는 것으로 나타났다. 계절별 평가에서는 봄철에 ESP를 개선하는 것으로 나타났으며, SS의 이동평균은 1~3월에 가장 높게 나타났다. 베이지안 기법은 ESP와 OBS 간의 관계를 활용하여 ESP를 개선하는 기법으로 Fig. 6과 같이 비교적 선형관계를 갖는 1~3월에 보정효과가 나타난다. 다만 3개월 전망의 경우 ESP와 OBS 간의 선형관계가 뚜렷하지 않아 개선정도가 미미하였다. 또한 4월에 ESP에 비해 SS가 향상되는 것으로 나타났으며, 이는 ESP 자체의 예측성이
에 비해 매우 낮아, Eq. (9)의
가
에 비해 매우 커져 기준예측수단인 평균 댐 관측유입량(
)과 비슷한 값을 갖게 되었기 때문이다.
5. 결 론
본 연구에서는 베이지안 이론을 활용한 댐 예측유입량 산정기법(BAYES-ESP)를 개발하고, ESP와 BAYES-ESP의 적용성을 평가하였다. 대상유역으로 국내의 주요 다목적댐인 충주댐 유역을 선정하였으며, BAYES-ESP 및 ESP를 30년(1986~2015) 기간에 대하여 산정하였다. 평가방법으로는 시계열, Skill Score 분석을 수행하였으며 연구의 주요내용 및 결과를 요약하면 다음과 같다.
1)댐 예측유입량 산정을 위해 충주댐 유역에 대해 ABCD 강우유출모델을 구축하였다. 매개변수 보정기간은 2005~ 2015년, 검정기간은 1994~2004년을 활용하였다. 보정기간에 대한 SIM와 OBS 간의 상관계수 산정결과 0.92로 나타났으며, 검정기간의 SIM와 OBS 간의 상관계수는 0.95로 보정기간에 비해 높았다. 따라서, 충주댐 유역에 대한 ABCD 모델의 매개변수는 적절하게 추정되었으며, 월 단위 댐 유입량 모의능력이 우수한 것으로 판단된다.
2)ESP 산정 및 시계열 분석결과 ESP는 매년 전망값의 큰 차이가 없었으며 OBS 보다는 다소 작게 모의하는 경향을 보였다. 따라서 1개월, 2개월, 3개월 전망에서 모두 다우년과 과우년에 비교적 예측성이 떨어지는 것으로 나타났다. 이는 앙상블 예측기법인 ESP의 한계로 댐 유입량 시나리오의 평균을 활용하는 ESP는 계절별 또는 월별 강수의 변동성이 큰 우리나라에서는 정확도에 한계가 있는 것으로 판단된다.
3)BAYES-ESP 산정을 위해 1996~2015년 기간 동안의 ESP와 OBS의 관계를 활용하여 우도함수를 산정하였다. 우도함수 산정결과 ESP는 OBS에 비해 과소모의하는 경향이 나타났으며, 특히 여름철의 예측성이 떨어지는 것으로 나타났다. BAYES-ESP는 우도함수 추정을 위한 20년의 보정기간과 10년의 검정기간에 대하여 산정하였다. 산정결과 BAYES-ESP는 ESP가 OBS를 과소 모의하는 현상을 보정하여 개선효과가 있는 것으로 나타났다. 특히 평년보다 OBS가 높았던 기간에 대해 그 개선효과가 뚜렷하였다.
4)BAYES-ESP의 SS 평가를 위해 댐 관측유입량의 평균(
)을 기준 예측수단으로 활용하였다. 월별 SS 산정결과 ESP는 1~3월에 SS가 비교적 높은 양의 값을 나타내었으며, 이외의 월에는 대부분 음의 값을 나타내었다. BAYES- ESP는 ESP와 OBS가 비교적 선형관계를 갖는 1~3월에 ESP 보다 SS가 향상되는 것으로 나타났다. 계절별 SS의 이동평균 산정결과 봄철에 BAYES-ESP의 예측성이 가장 높았으며, 1~3월에 최대값을 나타냈다.
본 연구결과 ESP는 앙상블 예측기법의 특성상 매년 전망값이 유사하여 다우년 및 과우년의 예측성이 떨어졌으며, 특히 월별 계절별 강수량의 변동성이 큰 우리나라에 적용하기에는 한계가 있었다. 이러한 ESP의 한계점을 개선한 BAYES-ESP는 댐 유입량 예측연구에 가치가 있다고 판단된다. 다만 BAYES-ESP는 ESP와 OBS간의 관계를 활용하여 개선하는 기법으로 일부 선형적인 관계를 갖는 월에만 개선이 이루어지는 것으로 나타났다. 추후 국내 특성에 맞는 댐 유입량 예측기법을 개발하기 위해서는 앙상블 예측기법 뿐만 아니라 원격상관, ANN, 통계적 특성을 활용한 방법 등의 다양한 기법을 시도해 볼 필요가 있다.













