1. 서 론
2. 대상 유역 및 모델
2.1 안동댐 유역
2.2 SWAT 모델
2.3 전구기후지수(Global climate index)
3. 연구 방법
3.1 수문모델링 기반 댐유입량 예측
3.2 기후지수를 이용한 댐유입량 예측(CIR-Forecasted)
3.3 관측 댐유입량 자료를 이용한 예측(Rank-Observed)
3.4 예측성 평가 지표
4. 결과 및 고찰
4.1 SWAT-Forecasted vs. SWAT-Observed
4.2 CIR-Forecasted vs. Rank-Observed
4.3 예측 방법 별 비교
5. 결 론
1. 서 론
한 달에서 수개월 시간규모의 수자원 장기예측은 안정적인 생공농업용수 공급계획수립, 유역환경관리, 댐 및 저수지관리, 가뭄관리에 효과적으로 활용될 수 있다(Wood and Lettenmaier, 2006). 수자원의 장기예측 연구는 크게 역학적인 방법과 통계적인 방법으로 진행되어 왔다. 역학적인 방법은 기후모델의 결과를 상세화(downscaling) 또는 편의보정(bias correction)한 후 유출모델링을 통해 하천유량을 예측한다(e.g., Wood et al., 2005; Luo and Wood, 2008; Block et al., 2009; Wang et al, 2009). 이에 반해 통계적 방법은 엘리뇨-남방진동(ENSO), 북극진동(Arctic Oscillation) 등의 전구기후지수와 관심 지역의 관측유출량과의 원격상관성(teleconnection)을 이용하여 하천유량을 예측한다(e.g., Hamlet and Lettenmaier, 2000; Werner et al., 2005; Barnston et al., 2005; Kuo et al., 2010; Kalra et al., 2013).
원격상관은 특정 해양이나 대륙에서 반복적으로 발생하여 수개월 또는 수년까지 지속되는 대규모 기온, 기압, 순환 패턴이 먼 거리에 위치한 지역적 기후 패턴(온도, 강수, 폭풍 등)에 영향을 미치는 것을 의미한다. 일례로, 북대서양진동(NAO)은 북동아메리카, 북유럽, 북아프리카의 기후와 연결되어 있다고 알려져 있다(Hurrell, 1995). 1995-1996년 겨울에 발생한 북아메리카와 북유럽의 한파, 북아프리카의 폭우의 원인으로 여러 연구들에서 NAO를 지목하였다. 이와 같은 원격상관에 대한 증거들이 제시됨에 따라 전구기후지수를 이용하여 수개월 이후의 기후나 수문현상을 예측하기 위한 연구들이 진행되어 왔다(e.g., Wilby, 2001; McCabe et al., 2004; Burt and Howden, 2013).
원격상관에 기반한 통계적 예측기법은 역학적인 방법에 비해 비용이 저렴하고 유연한 예측모델의 구축이 가능하다는 측면에서 장점이 있다. 지금까지 다양한 통계적 기법이 전구기후지수와 지역 수문기후변수의 상관성을 기반으로 적용되어 왔다. 다중선형회귀방법은 통계적 장기수문예측에서 가장 대표적인 기법으로 다양한 연구에 적용되고 있다(e.g., Wilby, 2001; Svensson and Prudhomme, 2005; Ruiz et al., 2007). 다른 통계적 기법을 적용한 연구사례로는 SVD (singular vlaue decomposition)를 이용한 유럽의 하천유량예측(Bierkens and Van Beek, 2009), PCA (principal component analysis)를 이용한 스리랑카 Kelani 강 유량예측(Chandimala and Zubair, 2007), wavelet-based ANN (artificial neural network)을 활용한 대만 계절 강수량예측 등이 있다(Kuo et al., 2010).
전구기후지수는 대규모 해양-대기 상호작용을 통해 지역적인 기후 및 수문의 연내(intra-annual) 및 연간(inter-annual) 변동에 영향을 미치고 있다(Fleming and Dahlke, 2014). 이러한 원격상관의 역학적인 매커니즘의 규명은 장기기후예측에서 중요한 분야로 전 세계적으로 다양한 연구가 진행되어 왔다. 미국의 경우 Enfield et al. (2001)은 ENSO가 미국의 겨울철 강수량과 연결되어 있음을 보였으며, McCabe et al. (2004)은 PDO (Pacific Decadal Oscillation)와 AMO (Atlantic Multidecadal Oscillation)가 미국 전역의 장기적인 강수변동과 가뭄발생에 미치는 영향을 제시하였다. 영국에서는 Wilby et al. (1997)과 Burt and Howden (2013)이 NAO (North Atlantic Oscillation)가 영국의 겨울철 강수특성에 중요한 예측지표가 될 수 있음을 보였다. 또한, 호주에서는 ENSO가 호주 동부지역의 봄강수량 및 북동부지역의 여름철 강수량과 연결되어 있으며, ENSO 지수를 이용할 경우 수 개월 선행시간을 가지고 예측에 활용될 수 있음을 보였다(e.g., Chiew et al., 1998).
국내에서도 전구기후지수와 한반도 기후의 상관성을 규명하고 예측에 활용하기 위한 다양한 시도들이 진행되어 왔다(e.g., Gong and Ho, 2003, Kim et al., 2007, Kim et al., 2008). Gong and Ho (2003)는 AO (Arctic Oscillation)와 동아시아 여름강수량 사이에 음의 상관성이 있음을 규명하였으며, Kim et al. (2007)은 전구기후지수와 한반도 계절강수 및 기온의 상관성을 분석하였고, Kim et al. (2008)은 전구기후지수를 이용한 월별 강수 및 기온의 예측 가능성을 제시하였다. 기후분야에서는 전구기후지수와 한반도 기후의 원격상관에 관한 다수의 연구가 수행되었으나 수자원 분야 예측을 위한 연구는 아직까지 미진한 실정이다.
본 연구에서는 전구기후지수를 활용하여 낙동강 상류에 위치한 안동댐유역의 1개월 선행 댐유입량 예측성능을 평가하였다. 예측 방법으로는 1) 원격상관에 기반하여 장기 기후예측 자료를 생산한 후 유출모델의 입력으로 사용하여 댐유입량을 예측하는 모델링 기반의 접근법, 2) 기후지수와 댐유입량의 원격상관을 직접 이용하여 예측하는 통계적 접근법, 3) 예측시점의 관측댐유입량과 과거자료를 비교하여 가장 유사한 년도의 댐유입량이 발생할 것으로 예측하는 방법을 이용하였다. 본 연구에서는 세 가지 방법의 댐유입량 예측성능을 비교평가하고, 연구의 한계 및 향후 개선방향에 대해 제안하였다.한 달에서 수개월 시간규모의 수자원 장기예측은 안정적인 생공농업용수 공급계획수립, 유역환경관리, 댐 및 저수지관리, 가뭄관리에 효과적으로 활용될 수 있다(Wood and Lettenmaier, 2006). 수자원의 장기예측 연구는 크게 역학적인 방법과 통계적인 방법으로 진행되어 왔다. 역학적인 방법은 기후모델의 결과를 상세화(downscaling) 또는 편의보정(bias correction)한 후 유출모델링을 통해 하천유량을 예측한다(e.g., Wood et al., 2005; Luo and Wood, 2008; Block et al., 2009; Wang et al, 2009). 이에 반해 통계적 방법은 엘리뇨-남방진동(ENSO), 북극진동(Arctic Oscillation) 등의 전구기후지수와 관심 지역의 관측유출량과의 원격상관성(teleconnection)을 이용하여 하천유량을 예측한다(e.g., Hamlet and Lettenmaier, 2000; Werner et al., 2005; Barnston et al., 2005; Kuo et al., 2010; Kalra et al., 2013).
2. 대상 유역 및 모델
2.1 안동댐 유역
댐유입량 장기 예측성 평가를 위해 낙동강 상류에 위치한 안동댐 유역(유역면적, 1,590.72km2)을 선정하였다. 안동댐은 1976년 10월에 준공된 다목적댐으로, 연간 9억 2,600만 m3의 용수공급을 담당하는 낙동강 유역의 주요 댐 중 하나이다. Fig. 1은 안동댐 유역에 위치한 기상, 수위 관측점의 위치, 토지이용도, DEM을 보여 준다. 그림에서 보는 바와 같이 안동댐 유역은 토지피복의 대부분이 산림이고, 유역면적의 약 20%가 해발 800m 이상에 위치해 있는 산지유역이다. 안동댐 댐유입량 자료는 국가수자원관리종합정보시스템(Water Management Information System: WAMIS)에서, 기상자료는 기상청 태백(ID216), 봉화(ID271), 안동(ID136) 3개 관측소 자료를 이용하였다.
|
Fig. 1. Andong dam watershed (a) steam network and climate stations, (b) land use (2007), (c) DEM (30 m). |
2.2 SWAT 모델
댐유입량 예측을 위한 유역 모델로 SWAT (Soil and Water Assessment Tool) (Arnold et al., 1998)을 사용하였다. SWAT 모델은 미국 농무성에서 개발된 유역모델로 대규모 유역을 대상으로 유량뿐 아니라 오염물질 거동을 평가하기 위하여 개발되었다. SWAT은 세계적으로 다양한 기후지역에서 적용성이 검증되었으며, 국내에서도 유출분석 및 기후변화 영향평가 등에 활용되고 있다(e.g., Kim et al., 2006; Bae et al., 2011; Lee et al., 2014; Jung et al., 2015).
SWAT은 복합 토지이용 상태 및 토양 특성을 가지는 유역의 장기 유출량을 일단위로 모의하는 연속형 모델이다 (Neitsch et al., 2002). SWAT에서 유출모의는 유역 내 토양 부분과 수체 부분으로 구분되어 수행된다. SWAT에서 토양 부분의 물수지는 강우량, 지하수 침투량, 증발산량, 그리고 표면 유출량으로 나누어 산정한다. 수체는 하천과 저수지로서 표현되며 유량, 퇴적물, 영양염류, 유기성 화학 물질 등의 반응기작들로 구성되어 모의된다(Neitsch et al., 2002).
SWAT의 입력변수들은 GIS (Geographic Information System)를 활용하여 계산되며, 면적, 하천 길이 및 경사도 등은 입력된 수치표고모델(DEM)을 이용하여 내부적으로 계산한다. 본 연구에서는 DEM으로 30 m 격자 크기의 ASTER Global Digital Elevation Map을 이용하였다. SWAT의 토양 관련 변수 는 국립농업과학원에서 제공하는 정밀토양도를, 토지피복 관련 변수는 환경부에서 제공하는 2007년 중분류 토지이용도를 사용하였다. SWAT은 유역 내의 서로 다른 공간적 특성을 반영할 수 있도록 대상 유역을 여러 개의 소유역으로 구분하고, 소유역은 다시 유사한 토지이용, 토양, 경사도 등에 따라 최소의 공간적 수문반응단위(Hydrologic Response Unit, HRU)로 세분화 된다. 본 연구에서는 안동댐 유역을 38개 소유역, 3,730개의 수문반응단위로 구분하였다.
2.3 전구기후지수(Global climate index)
지구 시스템은 대기, 해양, 빙권, 지면 등으로 구성되어 있으며, 이들의 시공간적인 상호작용은 지역적으로 상이한 기후특성 및 변동을 야기한다(Rasmusson and Carpenter, 1982). 전구기후지수는 기후시스템내의 상호작용에 대한 이해, 감시, 예측을 목적으로 특정지역의 해수면온도, 해면기압의 차, 강수량, 바람차 등을 이용하여 만들어 졌다(Kim et al., 2008). 본 연구에서는 미국 대기해양청(NOAA) 기후예측센터(CPC)에서 제공(http://www.wsrl.noaa.gov/psd/
data/climateindices/list/)하는 40개의 전구기후지수를 이용하여 안동댐 유역의 월 강수량, 기온, 유입량과의 원격상관을 분석하였다.
3. 연구 방법
3.1 수문모델링 기반 댐유입량 예측
수문모델링 기반 방식은 장기기후예측 자료를 생산한 후 이를 수문모델의 입력으로 사용하여 댐유입량을 예측(SWAT-Forecasted)하는 방법이다(Fig. 2). 장기기후예측 정보의 생산은 전 지구 규모의 기후지수(Climate Index)를 예측인자로 사용한 다중회귀모델 기반의 Climate Index Regression (CIR) 방법을 사용하였다. CIR은 월별 낙동강 평균 강수량 또는 기온과 최대 12개월 기간의 지체시간(lag-time)을 고려한 NOAA CPC에서 제공하는 40개 기후지수들 사이의 원격상관(teleconnection) 관계를 예측에 이용하는 방법이다.
통계적 상관 분석을 위해서 기상관측소들로부터 계산된 유역 평균 월별 강수량 및 기온을 사용하였다. 최종적으로 24개(12개월 ×2개 기후변수) 다중회귀모델이 선정되었다. 구축된 통계적 예측모델의 예측성 검증을 위해 교차검증(Cross-validation) 기법을 적용하였다. 교차검증은 특정 연도의 월에 대한 강수 또는 기온을 예측할 때 해당 년도의 자료를 제외하고 구축된 회귀식을 이용하여 제외된 년도의 강수나 기온에 대한 예측을 수행함으로써 예측성을 정량화하는 방법이다.
유역평균 월단위 기후예측 자료를 SWAT 모델의 기상 입력 자료로 사용하기 위해서는 예측된 강수 및 기온 이외에 풍속, 일사량, 상대습도 등 기상변수에 대한 일단위 자료가 필요하다. SWAT 모델에 필요한 일단위 기상변수들은 장기간의 관측 자료(1977-2010년)와의 비교를 통하여 월예측값과 가장 비슷한 월관측값을 보이는 년도를 결정한 후 유역내 관측소들의 일 단위 자료를 샘플링하는 방법을 사용하였다(Gobena and Gan, 2010). 가장 비슷한 년도의 선정은 동일 월 안에서 수행되고 강수 및 기온 두개 변수 간의 공분산을 고려하는 Mahalanobis distance (Mahalanobis, 1936)를 구하여 가장 가까운 연도를 결정하였다.
모델링 기반 예측성 평가를 위해서는 SWAT 모델의 보정 및 검정이 선행되어야 한다. SWAT모델의 보정 및 검정 기간은 2년의 예비 모의기간(warmup period)을 거쳐 2004∼2007년, 2008∼2011년의 4년 기간을 각각 사용하였다. 이 과정에서 모델의 성능 평가를 위해서는 보편적으로 사용하고 있는 총오차(Total Error, Err), 효율지수(Nash-Sutcliffe Efficiency index, NSE), 결정계수(R2)를 사용하였다. 식에서
는 관측치,
는 모의치,
는 관측평균,
는 모의평균,
은 자료의 개수를 나타낸다.
(1)
(2)
(3)
유역모델의 검보정이 수행되었더라도 장기 댐유입량 예측에 있어서 불확실성은 기후 예측 과정뿐 아니라 유역모델의 구조적 또는 매개변수 추정 과정에서도 발생할 수 있다. 따라서 두 과정에서 발생할 수 있는 불확실성을 검토하기 위해 관측기상자료를 예측정보로 가정하여 모의한 SWAT모델 결과(SWAT-Observed)와 원격상관 기반 예측정보를 활용한 결과(SWAT-Forecasted)를 비교하였다. 이 분석은 1983∼2011년 기간에 대해 수행하였는데, 태백 및 봉화 관측소는 각각 1985년 및 1988년 이후에만 관측 자료가 제공되기 때문에 본 연구에서는 안동 관측소 자료만을 사용하였다.
3.2 기후지수를 이용한 댐유입량 예측(CIR-Forecasted)
통계적 접근 방식의 경우 기후지수와 댐유입량 사이에 존재하는 원격상관을 이용하여 유역모델의 구동 없이 직접 월별 댐유입량을 예측하였다(see Fig. 2). 사용된 통계적 예측 방법은 수문모델링 기반 댐유입량 예측에서 기후예측을 위해 사용된 방법과 동일하며 월별 강수량 대신 월별 댐유입량 자료를 종속변수로 사용하였다. 독립변수로는 NOAA에서 제공하는 40개의 기후지수의 지체시간을 최대 12개월까지 변경해 가면서 예측성이 가장 높게 나타나는 다중회귀모델을 월별로 구축하여 안동댐 댐유입량을 예측하였다. 일례로, 1월 기후지수와 4월 댐유입량 자료가 유의한 상관성을 보일 경우 3개월 전에 관측된 기후지수를 이용하여 댐유입량을 예측하는 방법이다.
3.3 관측 댐유입량 자료를 이용한 예측(Rank-Observed)
관측 유량 기반의 방법은 예측시점에서의 관측유입량이 동일한 월의 과거 댐유입량 자료에서 해당되는 순위(rank)를 정하고, 이를 기준으로 다음 달 유입량 또한 동일한 순위(rank)의 유입량이 발생하는 것으로 가정하여 다음 달의 유입량을 산정한다. 이 방법은 기후지수나 예측정보를 이용하지 않고 단순히 과거 관측값만을 이용하여 기대되는 유입량을 예측하는 방법으로, 앞에서 설명한 수문모델 기반 및 CIR 방법과 예측성 비교를 위해 도입하였다.
3.4 예측성 평가 지표
앞에서 설명한 방법별 예측성 비교평가를 위해 본 연구에서는 선형적인 상관성을 평가하는 TCC (Temporal Correlation Coefficient)와 평균오차를 정량적으로 평가하는 NRMSE (Normalized Root Mean Square Error)를 이용하였다. 식에서
는 관측치,
는 모의치,
는 관측평균,
는 모의평균,
은 자료의 개수를 나타낸다.
(4)
(5)
|
|
|
|
Fig. 3. Performance of SWAT simulation for calibration period (upper panel) and verification period (lower panel). | |
4. 결과 및 고찰
4.1 SWAT-Forecasted vs. SWAT-Observed
SWAT 모델의 월유입량 모의 성능은 보정 및 검증기간에 대해 NSE 0.93, 0.93, 총오차 1.8%, 16.5%를 보였다. 월별 유입량에 대한 모델의 성능은 보정 및 검정 기간 동안에 NSE 값이 동일하게 0.93을 보여 만족스러운 결과를 보였다. 다만 총오차의 경우 검정 기간에 16.5%로 다소 큰 차이를 보였다. Fig. 3에서와 같이 SWAT은 안동댐의 계절적 월유입량의 변동을 관측치에 유사하게 모의하는 것으로 나타났다.
CIR 방법을 사용하여 예측한 월별 강수량 및 기온을 관측값과 비교하여 예측성을 평가하였다(Fig. 4). 일반적으로 TCC 값이 높은 경우 NRMSE 값(not shown)은 감소하는 경향을 보였다. 월강수량의 예측에서는 CIR 방법이 1월, 3월, 11월을 제외하고는 TCC가 0.413 이상으로 유의한 예측성(0.05 유의수준)을 보여주었다. 기온의 경우 1월을 제외한 모든 월에서 통계적으로 유의한 예측성을 나타내었다(0.05 유의수준). Table 1 월별 강수량 예측에 적용된 예측인자와 각 인자별 지체시간을 제시한 것이다. NAO, AO, AAO 등이 여러 월에서 주요 예측인자로 선정되었다. 월별로 영향을 미치는 예측인자가 상이하게 나타났는데, 이것은 기후인자가 장기적으로 영향을 미치지만 월별로 값이 변화되면서 영향이 큰 월과 작은 월이 있기 때문으로 사료된다. 기존 한반도 기후예측연구(Kim et al., 2007; 2008)에서도 유사한 결과를 제시하였다.
Fig. 5는 1983∼2011년에 대해 관측기상자료를 SWAT 모델의 입력으로 계산된 댐유입량 자료(SWAT-Observed)와 예측 자료를 이용해 계산된 댐유입량 자료(SWAT-Fo
recasted)를 실제 관측 댐유입량 자료에 대해 도시한 것이다. SWAT-Observed와 관측 댐유입량 사이의 결정계수(R2)는 0.87로 나타났다(Fig. 5a). 관측기상자료를 이용한 SWAT의 결과가 보정 및 검정 기간의 R2 값(Fig. 3)과 비교하여 다소 낮은 값을 보였는데, 이는 검·보정 기간에는 3개 기상 관측소가 사용된 반면 예측성 평가에는 장기간 자료가 존재하는 안동 관측소 1개 지점만이 사용되어 강우의 지역적 분포가 고려되지 않았기 때문이라 사료된다. SWAT-Forecasted와 관측 댐유입량 사이의 결정계수는 0.38의 예측성을 보였다(Fig. 5b). SWAT-Forecasted을 SWAT-Observed와 비교한 경우 결정계수가 0.52의 값을 보였다(Fig. 5c). 이는 관측기상자료를 이용하여 SWAT모델이 실제 유입량을 완벽하게 모의한다고 가정할 경우의 SWAT-Forecasted의 잠재적인 예측성능으로 판단할 수 있다.
|
|
|
Fig. 5. Scatter plots of (a) SWAT-Observed vs. Observed inflow, (b) SWAT-Forecast vs. Observed inflow, and (c) SWAT- Observed vs. SWAT-Forecast. Period is from 1983 to 2007. |
댐 용수 관리를 위해서는 월별 유입량 예측성 평가가 중요하다. Fig. 6은 방법에 따른 월별 TCC 및 NRMSE 값을 기준으로 분석한 예측성 평가 결과를 보여 준다. 우선 일반적으로 TCC가 높은 경우 NRMSE가 낮은 경향을 보였다. CIR 예측 자료를 이용한 유입량 모의 결과(SWAT-Forec
ast)는 5월 및 12월의 경우에만 0.367 이상(0.05 유의수준)으로 유의한 예측성을 보여주었다.
장기기후예측(CIR)에 의한 불확실성을 살펴보기 위해서 SWAT-Forecast을 SWAT-Observed와 비교한 경우 3, 5, 7, 8, 11, 12월에 예측성 향상으로 0.05 유의수준에서 유의한 예측성을 보여주었다. Fig. 6에서와 같이 SWAT-Forecast와 SWAT-Observed는 갈수기(11 및 12월) 및 홍수기(7월 및 8월)의 예측성에서 큰 차이를 보였다. 이는 SWAT 모델의 매개변수 보정이 저수위 및 고수위 상황을 모두 고려하여 수행된 반면에 예측성 평가는 저수위 또는 고수위 기간만을 따로 비교하기 때문에 발생하는 것으로 판단된다. 따라서 갈수기 및 홍수기 등 특정 기간의 모델링 기반 예측성을 향상시키기 위해서는 전체 기간을 이용한 SWAT 모델의 검보정보다는 계절별로 유역모델을 따로 보정하거나, 유역모델을 통해 예측된 유량을 후처리 과정을 통한 편이보정을 수행하거나, 토양수분 등 상태 변수들을 이용한 자료동화 기법 등을 적용하여 모델을 초기화하는 등 추가적인 절차가 필요할 것으로 판단된다.
|
|
Fig. 6. Temporal Correlation Coefficient and (b) NRMSE between observation and simulation by SWAT-Observed (circles), observation and simulation by SWAT-Forecasted (triangles), and simulation by SWAT-Observed and simulation by SWAT-Forecasted (rectangles). |
Table 2. Selected global climate indices for forecasting l-month lead dam inflow forecast. lag indicates the number of lagged months. | |||||||||||||||||||||||||||||||||||||||||||||||||||||||||||||||||||||||||||||||||||||||||||||||||
| |||||||||||||||||||||||||||||||||||||||||||||||||||||||||||||||||||||||||||||||||||||||||||||||||
AAO is antarctic oscillation, AO is arctic oscillation, CENSO is bivariate ENSO timeseries, EPO is east pacific/north pacific oscillation, ESL is equatorial eastern pacific sea level pressure, GML is global mean land/ocean temperature index, NAO is north atlantic oscillation, NINA3 is eastern tropical pacific sea surface temperature, NOI is northern oscillation index, NP is north pacific pattern, Solar is solar flux, TNA is tropical northen atlantic index, TNI is Trans-Niño index, TSA is torpical southern atlantic index, and WPO is western pacific index. | |||||||||||||||||||||||||||||||||||||||||||||||||||||||||||||||||||||||||||||||||||||||||||||||||
4.2 CIR-Forecasted vs. Rank-Observed
Table 2는 원격상관 기반의 다중회귀모델로서 안동댐유입량 예측을 목적으로 선정된 기후지수와 지체시간을 보여 준다. 이는 관측자료 기반의 기후지수들 중에서 지체시간이 1개월보다 크거나 같은 기후지수만을 예측인자로 선정한 결과이다.
원격상관 기반의 통계적 방법(CIR-Forecasted)을 관측 유입량과 비교한 결과 결정계수(R2) 0.51의 값을 보여 주었다(Fig. 7a). 이는 예측기후자료를 SWAT 모델의 입력으로 하여 모의한 결과(SWAT-Forecasted, R2=0.38)보다 우수한 예측성능을 보여주었다. 예측시점의 관측 댐유입량이 과거 관측치에서 해당하는 순위(rank)에 근거해 다음 달의 유입량을 예측한 경우(Rank-Observed)는 관측치에 대해 0.28의 결정계수를 보였다(Fig. 7b). 결과적으로 관측치에 대해 CIR-Fore
casted이 0.51로 가장 높은 결정계수를 보여 주었고, SWAT-Forecasted와 Rank-Observed는 각각 0.38 및 0.28의 결정계수 값을 나타내었다.
|
Fig. 7. (a) Comparison between CIR-Forecasted forecast and observation and (b) Rank-Observed forecast and observation for data period of 1983 –2007 |
Fig. 8은 CIR-Forecasted와 Rank-Observed의 월별 TCC 및 NRMSE 값을 기준으로 분석한 예측성 평가 결과를 보여 준다. 원격상관 기반의 통계적 방법으로 유입량을 예측한 경우 (CIR-Forecasted)가 관측 유량 기반의 방법을 이용한 경우 (Rank-Observed)와 비교하여 12월을 제외하고 모든 월에서 높은 TCC 값을 보였다. 또한 7월 및 8월의 경우를 제외하고 모든 월에서 0.396 이상으로 유의한 예측성(0.05 유의수준)을 보여주었다. 반면 Rank-Observed의 경우에는 3월에만 0.05 유의수준에서 유의한 예측성을 보여주었다.
|
(a) |
|
(b) |
Fig. 8. (a) Temporal Correlation Coefficient 및 (b) NRMSE between dam inflow observation and forecasts by CIR-Forecast and Rank-Observed |
4.3 예측 방법 별 비교
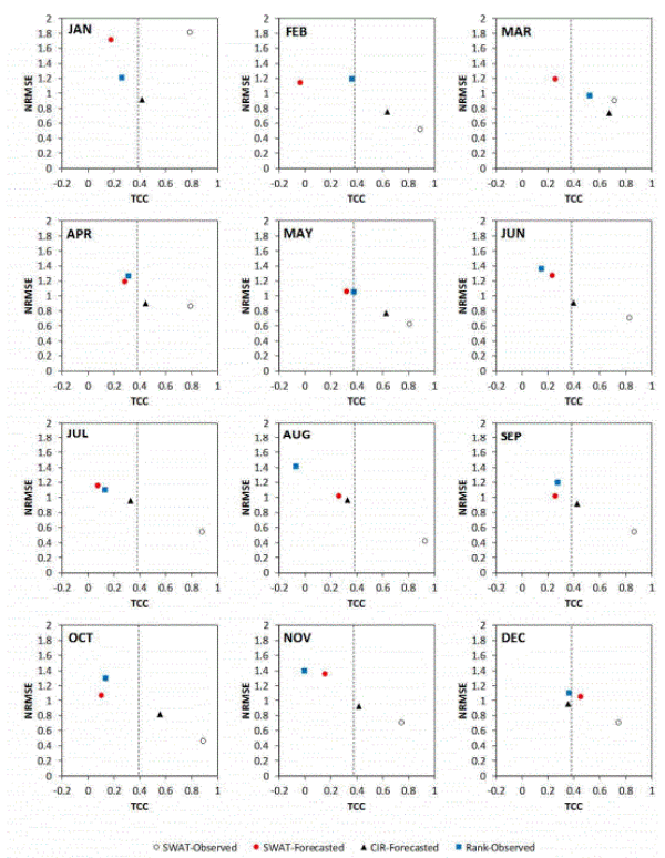
Fig. 9는 SWAT-Forecasted, CIR-Forecasted, Rank-Ob
served 및 관측 기상자료를 입력으로 한 모델링 기반 유입량 산정(SWAT-Observed)방법별 결과와 관측 댐유입량 자료와의 TCC 및 NRMSE를 보여 준다. 12월을 제외한 모든 기간 동안에 원격상관을 이용한 CIR-Forecasted 방법이 모델링 기반의 SWAT-Forecasted 및 과거 관측 유량의 순위를 이용한 Rank-Observed 방법과 비교하여 가장 높은 TCC 및 낮은 NRMSE 값을 보여 높은 예측성을 나타냈다. 특히 7, 8, 12월을 제외한 모든 기간 동안에 0.05 유의수준에서 통계적으로 유의한 상관계수의 최소값인 0.396보다 큰 값을 보여 주었고, 2월, 3월, 5월의 경우에는 0.6 이상의 높은 TCC 값을 보여 주었다.
|
Fig. 9. TCC and NRMSE of monthly dam inflow observation and forecasts by four different approaches such as SWAT-Observed, SWAT-Forecasted, CIR-Forecasted, and Rank-Observed. Analysis was performed for 1983-2007. |
장기기후예측 자료를 입력으로 사용한 모델링 방법(SWAT-Forecasted)과 예측 자료를 사용하지 않고 관측 유입량의 순위를 기준으로 산정한 방법(Rank-Observed)을 비교한 경우에는, 갈수기인 1월, 2월, 3월에 SWAT-Forecasted 방법이 Rank-Observed 방법과 비교하여 낮은 TCC 값을 보여 주고 있다. 이는 SWAT 모델이 저수위를 모의 하는데 있어서 매개변수가 최적화되어 있지 않은 것에 기인하는 것으로 판단된다. 실제로 1월-3월 기간만을 고려할 때 SWAT 모델의 관측기상 자료를 이용하여 모의된 월 유출량과 관측 유출량의 비교를 통해 계산된 결정계수는 0.63으로 전체기간의 결정계수인 0.87보다 낮은 값을 보였다. 8월에는 반대로 SWAT 모델에 의한 방법이 Rank 기반 방법과 비교하여 높은 TCC 값을 보여 주었고, 나머지 달에서는 두 방법에서의 차이가 미미한 결과를 나타냈다. 댐유입량 예측의 활용성 측면에서 갈수기가 끝나고 홍수기가 시작되는 6월이 중요한데 Fig. 10은 방법별 월 유입량의 변화를 보여 주고 있다.
본 연구에서는 관측유량과 기후지수의 원격상관을 이용하는 CIR-Forecasted 방법이 가장 우수한 예측성능을 보여주었다. 이는 CIR-Forecasted에서는 유출모델링에 따른 불확실성이 포함되지 않기 때문으로 판단된다. 따라서 장기간의 관측유량자료를 보유한 유역에서는 CIR-Forecasted 방법이 예측성과 적용성 측면에서 활용도가 높을 것으로 사료된다. 만일 관측유량자료기간이 짧아 신뢰성 있는 CIR-Forecasted 방법을 구축하기 어려울 경우에는 SWAT- Forecasted 방법을 통한 예측이 활용될 수 있다. 이 경우 매개변수 추정에 따른 불확실성을 최소화하기 위해 다목적함수(multiple objective function)를 적용하여 홍수기뿐 아니라 갈수기의 유량을 잘 모의하는 매개변수를 추정하는 방법의 고려가 필요할 것으로 판단된다. SWAT 커뮤니티에서는 매개변수 추정 및 매개변수추정에 따른 불확실성을 평가할 수 있는 SWAT-CUP (http://swat.tamu.edu/software/swat- cup/) 를 제공하고 있는데, 이를 활용한 후속연구가 추진된다면 SWAT-Forecasted 방법의 신뢰성을 향상시킬 수 있을 것으로 사료된다.
5. 결 론
본 연구에서는 이수 목적의 댐운영에 중요한 정보인 상류 유입량을 예측하는데 있어서 과거 관측 유입량에서의 순위를 이용하는 방법(Rank-Observed)과 예측 자료 기반의 방법으로 장기 기후를 예측한 후 유역모델의 입력으로 사용하여 유입량을 예측하는 모델링 기반 예측방법(SWAT-Forecast
ed) 및 높은 원격상관을 갖는 기후지수를 예측인자로 이용하여 유입량을 예측하는 통계적 방법(CIR-Forecasted)의 예측성을 비교하였다. 주요 결과는 다음과 같다.
1) 통계적 댐유입량 결과(CIR-Forecasted)가 12월을 제외한 모든 월에서 다른 두 방법과 비교하여 가장 높은 예측성능을 보였다. 또한 7, 8, 12월을 제외한 모든 기간 동안에 0.05 유의수준에서 통계적으로 유의한 예측성 결과를 보여주었다. 이것은 CIR 기후예측정보의 상세화 및 유역모델링 과정에서 발생할 수 있는 불확실성이 CIR-Forecasted에서는 포함되지 않았기 때문으로 사료된다.
2) 모델링 기반의 유입량 예측 결과(SWAT-Forecasted)는 관측자료 순위 기반의 방법(Rank-Observed)과 비교하여 갈수기인 1월, 2월, 3월을 제외한 기간에서는 비슷하거나 높은 예측성 결과를 보여 주었다. 비록 댐유입량을 직접 예측하는 CIR-Forecasted 방법이 가장 우수한 성능을 보였지만 SWAT-Forecasted 방법은 관측 댐유입량 자료가 짧은 유역에서는 최선의 대안 중의 하나로 고려될 수 있다.
3) 모델링 기반의 유입량 예측(SWAT-Forecasted)에 있어서 불확실성은 기후 예측 과정뿐 아니라 유역모델의 구조적 또는 매개변수 추정 과정에서도 발생할 수 있다. 불확실성을 검토하기 위해 SWAT-Observed와 SWAT-Forecasted를 비교한 결과 갈수기(11월 및 12월) 및 홍수기(7월 및 8월)에서 현저한 예측성의 차이를 보였다. 이는 유역모델링에서 발생하는 불확실성으로 계절별 유역모델 보정, 유역모델을 통해 예측된 유량을 후처리 과정을 통한 편이보정, 토양수분 등 상태 변수들을 이용한 자료동화 기법 등을 적용하여 모델을 초기화하는 등의 추가적인 연구를 통해 개선되어야 할 것으로 판단되었다. 또한, 유역모델링에서 발생하는 불확실성을 최소화하기 위해 주변 유역과의 비유량 추정을 통한 자료기간을 확보하고 이를 이용해 유입량을 예측하는 방법에 대해서도 연구가 필요할 것으로 사료된다.





















