1. 서 론
2. 연구 방법
2.1 연구 활용자료
2.2 돌발가뭄(Flash Drought)
2.3 돌발가뭄 분석 방법
3. 적용 및 연구 결과
3.1 Percentile 기반 가뭄 단계 적용
3.2 돌발가뭄 발생 조건 적용
3.3 Drought heat map (히트맵)을 통한 경향 분석
3.4 돌발가뭄 시기에 따른 상관분석
4. 결 론
1. 서 론
일반적으로 가뭄은 기상학적인 관점에서 장기간 강수의 부족이 지속되는 현상으로 정의할 수 있으며, 하천 바닥이 마르고 식물이 시들며 고사할 때까지 확실히 인식하기가 어렵기 때문에 가뭄 발생 시기를 감지하는 것이 어려운 자연재해이다. 또한, 기후변화로 인하여 기상이변에 따른 강우패턴 변화 및 기온상승 등으로 극치 수문사상의 불확실성이 야기되고 있으며, 이로 인하여 가뭄의 발생빈도 및 피해 규모가 증가하고 있다(Nam et al., 2015a). 전 세계적으로 기후변화에 따른 온난화 현상으로 인하여 농작물에 대한 직접적인 영향이 커지고 있으며, 식량 및 경제적 문제를 초래할 수 있을 정도로 가뭄 피해 범위가 확대되고 있다(Sternberg, 2011). 국내의 경우 농림축산식품부에서 발표한 자료에 의하면 2014년 후반 심화된 가뭄이 2015년까지 지속되어 연간 강수량이 평년대비 72%로 특히, 중부지방의 경우 10월까지 내린 비의 양이 평년의 절반에도 못미치는 수준이었으며, 2017년에는 5 ~ 6월 영농기에 전국적으로 평균 강수량이 29.5 mm, 60.7 mm로 평년대비 각각 29%, 38%로 중부지방과 충청남도 지역을 중심으로 가뭄이 진행되었다(Nam et al., 2018; Yoon et al., 2018).
최근에는 기후변화에 따른 기상이변 및 기온상승 등으로 인하여 이상가뭄의 발생이 잦아졌으며, 일반적인 가뭄과 달리 빠르게 가뭄이 심화되어 농업 및 자연 생태계에 미치는 영향이 큰 가뭄도 발생하고 있다(Christian et al., 2019). 미국의 국가가뭄정보시스템, NIDIS (National Integrated Drought Information System)에서는 짧은 기간의 급속하게 발생하는 (rapid-onset) 가뭄을 ‘Flash Drought’로 정의하였으며, Flash Drought는 비정상적으로 높은 증발산 비율과 비정상적인 고온 및 바람, 일조량 등에 의하여 몇 주 또는 몇 달 이내 빠르게 발전하는 가뭄으로 예측 및 감지하기가 어렵다(Svoboda et al., 2002; Otkin et al., 2018). 미국에서 정의된 Flash Drought는 국내에서 ‘돌발가뭄’으로 해석할 수 있으며, 국내의 경우 단기적인 가뭄 발생에 대한 연구는 미흡한 실정이다.
국외에서는 돌발가뭄에 대한 감지 및 특성을 분석하기 위하여 일반적으로 폭염 및 강수 부족에 대한 두 가지 유형의 발생 원인을 기준으로 분석하고 있다. 폭염에 의한 돌발가뭄은 증발산량과 토양수분 및 최고기온에 대한 조건을 활용하였으며, 강수 부족에 의한 경우 증발산량, 강수량, 최고기온 등을 활용하여 유형별 돌발가뭄에 대한 특성을 분석하였다(Mo and Lettenmaier, 2015; 2016). Zhang et al. (2017)은 VIC (Variable Infiltration Capacity) 모델을 활용하여 폭염 및 강수 부족에 대한 유형별 발생빈도를 분석하였다. 유형에 따른 돌발가뭄 분석과 달리 증발산량 또는 토양수분의 변화를 활용하여 돌발가뭄을 감지할 수 있으며, Liu et al. (2020)은 토양수분 백분위수의 감소율에 초점을 두어 돌발가뭄의 빈도, 시공간 패턴, 기상 조건에 따른 돌발가뭄 특성, 계절적 변화와의 관계 등을 분석하였다. 증발산량을 활용하는 경우 증발산 기반 가뭄지수를 활용하여 돌발가뭄에 대하여 분석하였으며, Otkin et al. (2014)은 2015년 미국 중남부 지역에서 발생한 가뭄에 대하여 위성영상 기반 증발스트레스지수 ESI (Evaporative Stress Index)를 활용하여 시계열 분석을 통한 돌발가뭄의 경향성을 분석하였다. 또한, Nguyen et al. (2019)은 호주 지역을 대상으로 토양수분, 유출량, 증기압, 온도, 풍속 등과 ESI를 비교하여 시계열 분석을 통한 호주의 돌발가뭄 특성에 대하여 평가하였다.
짧은 기간의 급속하게 발생하는(rapid-onset) 돌발가뭄은 발생원인인 토양수분함량의 감소와 강수의 부족, 낮은 습도, 고온 및 강풍 등으로 인한 증발 수요의 증가 등과 유사한 관계가 있기 때문에 농업 및 자연 생태계에 미치는 영향이 크며, 발생원인 또한 농업가뭄의 범주에 속하기 때문에 이에 대한 모니터링이 필수적이다. 돌발가뭄의 경우 증발산량 또는 토양수분의 분석이 중요하지만, 국내에서 이루어지는 토양수분 관측자료는 원활한 보정이 이루어지지 않거나 기존 자료들에 대한 공유 및 통합과정이 부족한 상황이다(Kim et al., 2015). 따라서, 본 연구에서는 농업 및 수문학적 가뭄과 밀접한 관련이 있는 증발산량을 활용하고자 하였으며, 위성영상 기반 증발스트레스지수 ESI를 활용하여 국내에서 아직 정의되지 않은 돌발가뭄에 대한 감지 조건을 제시하고, 수문기상학적 인자들의 상관성을 분석하여 국내 돌발가뭄에 대한 특성을 분석하고자 한다.
2. 연구 방법
2.1 연구 활용자료
돌발가뭄의 기상학적 특성 분석을 위하여 국내 종관기상관측장비(Automated Synoptic Observation System, ASOS)를 이용하여 전국의 기상관측소를 대상으로 기상자료를 수집하였으며, Fig. 1과 같이 도서 지역을 제외한 65개의 기상관측소 자료를 활용하였다. 시도 단위 돌발가뭄을 분석하기 위하여 8개의 도(강원도, 경기도, 경상남도, 경상북도, 전라남도, 전라북도, 충청남도, 충청북도)를 대상으로 지수를 산정하였다. 증발산량을 활용한 ESI 영상자료의 경우 NASA (National Aeronautics and Space Administration)와 USAID (United States Agency for International Development)가 공동개발계획하여 전지구 위성자료 및 공간정보자료를 제공하는 플랫폼인 SERVIR (https://www.servirglobal.net)의 주 단위 공간해상도 0.05° × 0.05°의 4주 합성데이터를 활용하였다. 토양수분 영상자료의 경우 NASA에서 제공하는 GRACE (Gravity Recovery And Climate Experiment) 이미지의 주 단위 0.25° × 0.25° 공간해상도 자료를 취득하였으며, 본 연구에서는 ESI와 비교를 위하여 resampling을 통하여 공간해상도 0.05° × 0.05°로 재산정하여 활용하였다.
2.2 돌발가뭄(Flash Drought)
일반적으로 가뭄은 수개월 동안 서서히 발생 및 심화되면서 진행 속도가 느린 특징을 가지고 있으며, 가뭄의 발생 및 해갈에 대한 수문기상학적 변수들을 지속적으로 모니터링하는 것이 중요하다. 하지만 돌발가뭄이라는 용어는 비교적 짧은 기간에 가뭄이 심화되면서 농작물들의 큰 영향을 미치는 현상으로 일반적인 가뭄과 구별하기 위하여 사용되어 왔다(Svoboda et al., 2002; Mo and Lettenmaier, 2015, 2016; Otkin et al., 2018). 돌발가뭄은 일반적인 가뭄과 유사하게 수문학적 순환 및 변화와 관련 있을 뿐만 아니라 토양과 대기 사이의 지구 에너지 순환의 영향을 받으면서 폭염, 강수량, 토양수분 및 증발산량의 변화에 대하여 민감하게 반응한다(Wang et al., 2016). 또한 기록적인 고온과 적은 강수량을 중심으로 단기간 토양에서의 물이 증발하면서 높은 증발산 비율을 통하여 토양수분의 빠른 고갈을 유발하며, 이로 인한 식생의 스트레스가 증가하면서 가뭄이 발생하는 것으로 정의한다.
2.3 돌발가뭄 분석 방법
2.3.1 Evaporative Stress Index
증발스트레스지수 ESI는 위성영상 기반 가뭄지수로 대기온도, 대기압, 순복사량, 식생 등의 다양한 수문기상인자들의 기작으로 발생하는 증발산량을 중심으로 실제 증발산량과 잠재 증발산량의 비를 이용하여 가뭄을 분석하는 가뭄지수이다(Anderson et al., 2011; 2015). ESI는 가뭄 모니터링 및 토양수분 기반 가뭄 분석에 적합하며(Anderson et al., 2013), 지표면과 대기 사이에서의 수분공급을 표현함으로써 가뭄 현상을 분석하는 지표로 개발되었다(Sur et al., 2014; Lee et al., 2019). 취득가능한 ESI 영상자료는 GOES (Geostationary Operational Environmental Satellite) 위성영상을 활용하여 산정되며, 산정식은 Eqs. (1) and (2)와 같다.
Eq. (1)에서 ETALEXI는 실제 증발산량을 의미하며, ALEXI (Atmosphere-Land Exchange Inverse) 모델은 TIR (Thermal InfraRed) 영상을 통하여 취득한 LST (Land Surface Temperature)를 기반으로 증발산량을 추정한다. ALEXI는 TSEB (the Two-Source Energy Balance model)을 기반으로 지수면의 온도, 플럭스 및 대기 결합이 다른 토양과 식물 요소의 합성을 활용하여 잠열 및 지열 플럭스의 민감성 등을 계산한다(Norman et al., 1995). TSEB는 특정한 방사선 부하에 따른 LST를 유지하기 위하여 필요한 증발 냉각 추정치로 변환하는 것에 사용되며(Kustas and Anderson, 2009), LST 값을 도출하여 초기 가뭄의 분석에 대하여 높은 신뢰도를 보여준다(Anderson et al., 2007). 정지위성에서 LST 관측을 통하여 산정된 ESI는 일반적인 가뭄지표와 관련성이 있으며, 가뭄에 대한 영향을 적절한 시기에 감지하는 이점을 가지고 있다(Anderson et al., 2016a). Eq. (2)에서 PET는 잠재 증발산량을 의미하며, Allen et al. (1998)에서 기술된 바와 같이 국제연합식량농업기구(Food and Agriculture Organization of the United Nations, FAO)에서 제공하는 FAO-56 Penman Monteith (FAO-56 PM)를 기반으로 산정한다. △는 증기압 곡선의 기울기(kPa ℃-1), Rn은 이용가능한 복사열인 순복사량(MJ m-2 day-1)을 의미하며, G는 토양 유속밀도(MJ m-2 day-1), Tmean는 일 평균기온(℃), es ‒ ea는 포화증기압에서 실제증기압을 감한 포화결손량(kPa), 는 건습계상수(kPa ℃-1), u2는 2 m 높이에서의 풍속(m s-1)이다. ALEXI 기반 관련 기상자료를 취득 및 보정하며, CFSR (Climate Forecast System Reanalysis)의 격자 단위 입력자료를 활용하여 순복사량, 풍속, 증기압, 기온 등을 산정한다(Saha et al., 2010).
ESI는 LAI (Leaf Area Index)와 LST의 원격감지 자료를 사용하여 에너지밸런스를 바탕으로 아노말리(anomaly)로 나타내며(Anderson et al., 2016b), 0 이하의 ESI 값은 가뭄, 0 보다 큰 ESI 값은 비가뭄으로 표현하고 있다. 또한, LST로 초기 가뭄 스트레스가 전달될 수 있기 때문에 이를 활용하여 일반적인 기상학적 가뭄지수보다 단기간 급속하게 발생하는 돌발가뭄에 대하여 활용성이 높다(Otkin et al., 2013).
2.3.2 돌발가뭄 비교 분석
돌발가뭄은 다양한 수문기상학적인 원인이 복합적으로 작용하여 발생하기 때문에 증발산 비율, 토양수분뿐만 아니라 최고기온, 상대습도, 풍속, 강수량 등의 수문기상학적 요소를 비교대상으로 활용하였다. 또한, 가뭄 분석에 대하여 일반적으로 활용되고 있는 강수 기반 가뭄지수인 표준강수지수(Standardized Precipitation Index, SPI)를 포함하였다. 본 연구에서는 증발산 기반 가뭄지수인 ESI와 비교하기 위하여 GRACE 기반 토양수분(SM), SPI, 최고기온(TM), 상대습도(RH), 풍속(WS), 강수량(PR) 자료를 히스토그램을 활용한 정규분포를 이용하여 모수적 방법에 의한 z-score 표준화를 통하여 지수화하였다. 동일하게 4주 합성데이터로 재산정하여 ESI-4W, SM-4W, SPI-4W, TM-4W, RH-4W, WS-4W, PR-4W로 표현하였다.
각 지표의 동일한 가뭄 단계를 적용하기 위하여 USDM (United States Drought Monitor)에서 활용하는 percentile 방법을 적용하였다. percentile은 가뭄 분석에 사용되는 모든 매개변수를 활용하여 가뭄심도의 임계값을 표현하며, USDM은 미국 전역의 모든 기상관측소를 기준으로 percentile을 활용한 가뭄 단계를 Table 1과 같이 분류하였다(Svoboda et al., 2002; Nam et al., 2015b). percentile 기반 가뭄 단계를 분류한 USDM은 여러 변수에 대한 단기 및 장기적 가뭄을 단순화된 지수 또는 단계로 표현한 복합지수이다(Xia et al., 2014). Lee et al. (2020, 2021)은 국내 전역을 대상으로 ESI 격자 값을 추출하여 USDM 기준 가뭄심도 임계값을 산정하였으며, 아노말리로 표현되는 ESI에 대하여 국내 기준의 가뭄 단계를 제시하였다. 국가별, 지역별, 또는 기후적 특성을 반영할 수 있는 percentile 기반 가뭄 단계는 본 연구에서 여러 지수들에 대한 동일한 가뭄 단계를 표현 및 비교에 적합할 것으로 판단된다.
Table 1.
Drought categories for USDM based on percentile method
| Category | Description | Percentile ranges (%) | |
| D0 | ![]() | Abnormal dry | 21 to 30 |
| D1 | ![]() | Moderate drought | 11 to 20 |
| D2 | ![]() | Severe drought | 6 to 10 |
| D3 | ![]() | Extreme drought | 3 to 5 |
| D4 | ![]() | Exceptional drought | below to 2 |
2.3.3 돌발가뭄 감지 정의
돌발가뭄을 분석하기 위하여 돌발가뭄 발생의 주요한 원인인 토양수분 또는 증발산량의 변화를 모니터링하는 것이 중요하며, Liu et al. (2020)은 토양수분 백분위수를 활용하여 40% 이상인 정상 시기에서 약 4주 이내 20% 이하로 감소하는 경우 단기간에 급격한 가뭄 단계의 심화로 판단하여 돌발가뭄으로 정의하였다. Noguera et al. (2020)은 증발산량을 중심으로 강수량 및 기온 등을 고려한 가뭄지수인 표준강수증발산지수(Standardized Precipitation Evapotranspiration Index, SPEI)를 활용하여 약 4주 이내 정상 시기에서 표준화한 지수 값이 -1.28σ 이하로 감소하는 경우에 돌발가뭄으로 판단하였다.
본 연구에서는 돌발가뭄 감지 기준을 ESI-4W의 가뭄 단계가 약 4주 이내 정상 시기에서 극심한 가뭄 단계(Extreme drought, D3) 이하로 심화될 경우로 정의하였으며, 돌발가뭄 조건을 활용한 예시는 Fig. 2와 같다.
3. 적용 및 연구 결과
3.1 Percentile 기반 가뭄 단계 적용
동일한 수준의 가뭄 단계 적용을 위하여 각 지수별 지수 값을 추출하여 히스토그램에 의한 정규분포 형태를 기준으로 percentile 기반 가뭄심도의 임계값을 산정하였다. 위성영상 기반 지수인 ESI-4W, SM-4W의 경우 격자 단위 지수 값을 추출하여 가뭄심도를 산정하였으며, ESI-4W는 약 340만 개, SM-4W은 약 294만 개의 격자를 활용하였다. 기상관측소 지점자료 기반 지수인 SPI-4W, TM-4W, RH-4W, WS-4W, PR-4W의 경우 약 16만 개 지수 값을 추출하여 가뭄심도를 산정하였다. Table 2와 같이 각 지수별 가뭄심도를 산정하여 비정상적인 건조(D0)부터 이례적인 가뭄(D4)까지 5단계의 가뭄 단계로 비교하였다.
Table 2.
Drought severity threshold based on each index
3.2 돌발가뭄 발생 조건 적용
2014년부터 2018년까지 5년간 국내에서 발생한 돌발가뭄에 대한 감지를 위하여 강원도(GW), 경기도(GG), 경상남도(GN), 경상북도(GB), 전라남도(JN), 전라북도(JB), 충청남도(CN), 충청북도(CB)로 구분하여 돌발가뭄 발생 조건을 적용하였다. Fig. 3과 같이 시계열 그래프로 표현하였으며, 본 연구에서 제시한 조건에 만족하는 돌발가뭄은 10회 발생하였다. 강원도 0회, 경기도 2회, 경상남도 0회, 경상북도 2회, 전라남도 1회, 전라북도 2회, 충청남도 1회, 충청북도 2회 돌발가뭄이 발생하였으며, 동일시기에 대하여 세 번의 돌발가뭄이 발생하였다. 2015년 경기도, 충청북도에서는 6월 중순 동일시기에 돌발가뭄이 발생하였으며, 2016년에는 경상북도, 전라남도에서 9월 초 돌발가뭄이 발생하였다. 2018년 8월 중순에는 전라북도, 충청남도, 충청북도 세 지역에서 돌발가뭄이 발생하였으며, 이처럼 동일시기에 돌발가뭄이 발생한 지역들은 모두 인접한 지역으로 시도 단위 범위 내로 돌발가뭄이 발생하였다.
3.3 Drought heat map (히트맵)을 통한 경향 분석
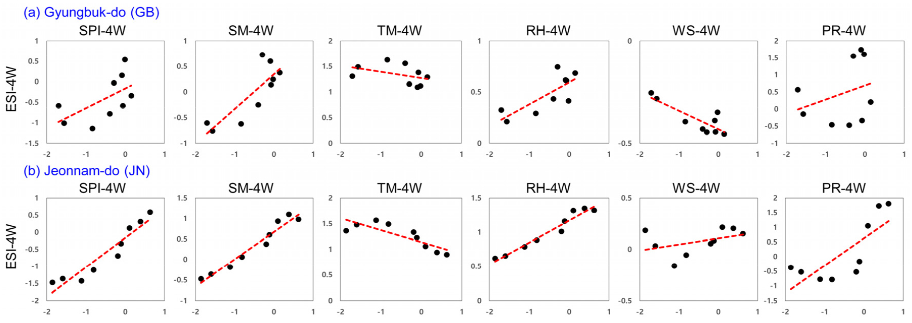
동일시기 돌발가뭄이 발생한 지역에 대하여 ESI-4W 감소에 따른 각 지수별 변화를 분석하기 위하여 Fig. 4와 같이 해당 시기의 가뭄 단계를 히트맵으로 표현하였다. 2015년 6월 중순 경기도, 충청북도에서 발생한 돌발가뭄의 특성은 ESI-4W가 가뭄 단계가 심화되면서 SM-4W, RH-4W 가뭄 단계도 심화되었으며, SM-4W의 경우 ESI-4W와 같이 D2, D3 수준의 가뭄 단계를 표현하였다. 일반적인 가뭄을 표현하는 SPI-4W의 경우 돌발가뭄 이후 D3, D4 수준의 극심한 가뭄 단계를 나타내었다.
2016년 9월 초 경상북도, 전라남도에서 발생한 돌발가뭄은 ESI-4W 가뭄 단계가 심화되면서 SPI-4W, TM-4W 가뭄 단계 또한 심화되었으며, TM-4W의 경우 D3, D4 수준의 극심한 가뭄 단계를 표현하였다. SPI-4W는 돌발가뭄 발생 시기와 동일시기에 대하여 D1, D2 수준의 가뭄을 나타내었으며, 돌발가뭄 발생 이후 대부분의 지수들은 정상 또는 습윤한 상태를 표현하였다.
2018년 8월 중순 전라북도, 충청남도, 충청북도에서 발생한 돌발가뭄의 특성은 2016년 발생한 돌발가뭄과 마찬가지로 TM-4W의 감소가 뚜렷하였다. D4 수준의 극한의 가뭄 단계를 표현하면서 ESI-4W와 TM-4W의 심각한 가뭄 단계를 확인하였으며, SPI-4W의 경우 D1, D2 수준의 가뭄 단계를 표현하였다. 돌발가뭄 발생 이후 전반적으로 가뭄이 빠르게 해갈되어 대부분 지수들이 1개월 뒤에는 정상 또는 습윤한 상태를 나타내었다.
3.4 돌발가뭄 시기에 따른 상관분석
3.4.1 2015년 돌발가뭄
ESI-4W의 감소에 따라 지수별 변화를 파악하기 위하여 돌발가뭄 발생 시기 이전 8주간을 대상으로 상관성을 분석하였다. 2015년 6월 중순 발생한 돌발가뭄에 대하여 Fig. 5와 같이 산점도로 표현하였으며, Table 3과 같이 정리하였다. 경기도 지역은 WS-4W를 제외하고 지수 간 상관성이 높게 나타났다. 0.8 이상의 매우 높은 상관계수를 나타내었으며, 전반적으로 높은 상관관계를 표현하면서 ESI-4W 지수 값이 감소함에 따라 가뭄 단계가 심화되는 시기에 다른 지수들도 가뭄 단계가 심화되는 것으로 판단하였다. TM-4W, WS-4W는 지수 값이 상승하면서 가뭄 단계가 심화되기 때문에 ESI-4W와 상관성 분석을 할 때 음의 상관관계를 표현해야 하지만, WS-4W의 경우 양의 상관관계를 보이면서 연관성이 부족하였다. PR-4W의 경우 히트맵을 통한 가뭄 단계 파악은 어렵지만 돌발가뭄 발생 시기에 대하여 지수 값이 감소하고 있다. 충청북도 지역도 0.8 이상의 매우 높은 상관성을 보였으며, SPI-4W, SM-4W은 0.9 이상의 상관계수를 나타내었다. 경기도 지역과 마찬가지로 WS-4W에 연관성을 찾는 것에 한계가 있으며, PR-4W에 대한 상관계수가 약 0.9로 높은 상관성을 보이면서 돌발가뭄 발생 시기에 지수 값이 감소했음을 확인하였다.
Table 3.
Correlation coefficient between ESI-4W and each index for flash drought period in 2015
| Category | SPI-4W | SM-4W | TM-4W | RH-4W | WS-4W | PR-4W |
| GG | 0.935 | 0.981 | -0.949 | 0.816 | 0.673 | 0.917 |
| CB | 0.916 | 0.929 | -0.864 | 0.839 | 0.809 | 0.899 |
3.4.2 2016년 돌발가뭄
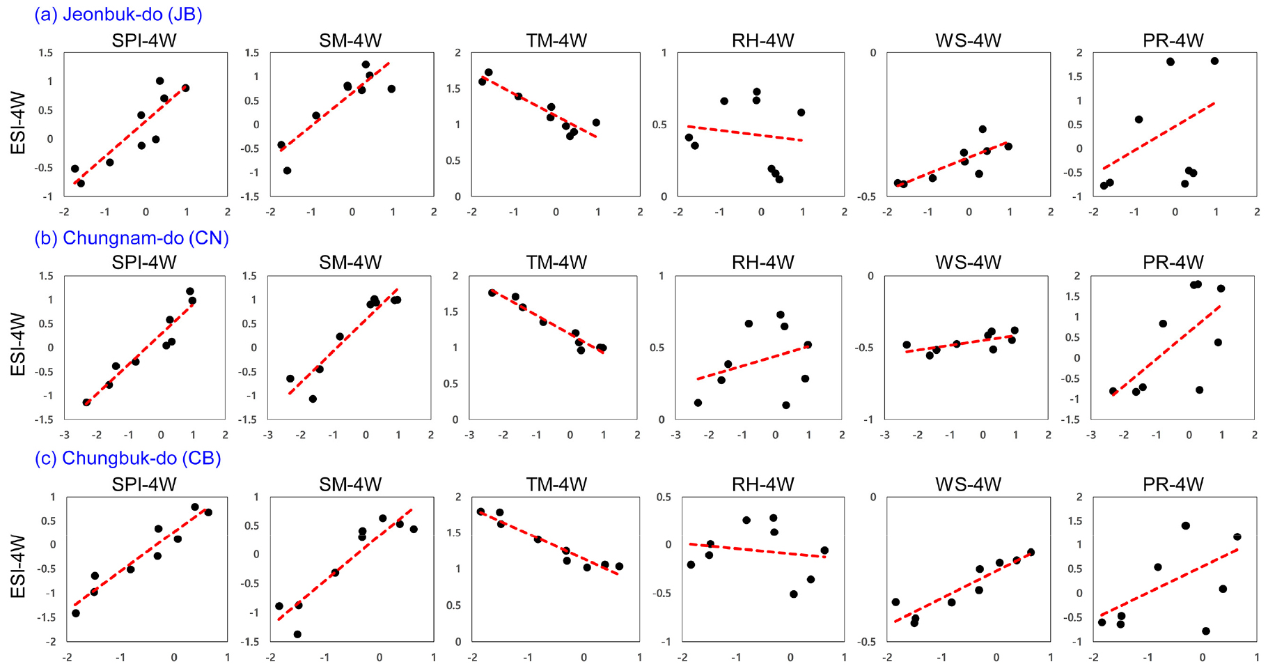
Fig. 6과 Table 4는 2016년 9월 초 발생한 돌발가뭄에 대하여 나타낸 것이다. 경상북도 지역은 전반적으로 유의미한 상관계수를 표현하였지만, 다른 지역에 비하여 대체로 낮은 상관계수를 표현하였다. SPI-4W, TM-4W, PR-4W를 제외하고 약 0.8 이상의 높은 상관관계를 나타내었으며, 특히 SM-4W, WS-4W와 높은 상관성을 보였다. 히트맵을 통하여 SM-4W, WS-4W, PR-4W는 가뭄 단계를 표현하지 않았지만, SM-4W의 경우 0.827로 높은 상관성을 보이면서 돌발가뭄 발생 시기에 대하여 지수 값이 감소하고 있었음을 확인하였다. 또한, WS-4W와는 높은 음의 상관관계를 나타내면서 ESI-4W 지수 값이 감소하면서 가뭄 단계가 심화될 때, WS-4W도 마찬가지로 가뭄 단계가 심화되었음을 확인하였다. 전라남도 지역에서는 대부분 지수와 약 0.9 이상의 높은 상관성을 보였으며, WS-4W, PR-4W와는 상대적으로 낮은 상관관계를 나타내었다. 특히, 다른 시기의 지역별 상관계수에 비하여 RH-4W에 대한 상관계수가 높게 나타났다.
Table 4.
Correlation coefficient between ESI-4W and each index for flash drought period in 2016
| Category | SPI-4W | SM-4W | TM-4W | RH-4W | WS-4W | PR-4W |
| GB | 0.590 | 0.827 | -0.428 | 0.773 | -0.833 | 0.302 |
| JN | 0.950 | 0.976 | -0.832 | 0.977 | 0.409 | 0.773 |
3.4.3 2018년 돌발가뭄
2018년 8월 중순 발생한 돌발가뭄에 대하여 Fig. 7과 Table 5로 표현하였다. 전라북도, 충청남도, 충청북도 지역에서는 SPI-4W, SM-4W, TM-4W 세 지수와의 상관성이 약 0.9 이상으로 높게 나타났으며, 다른 시기의 지역별 상관계수에 비하여 RH-4W, PR-4W에 대한 낮은 상관성을 보였다.
4. 결 론
본 연구에서는 기후변화 및 기상 이변으로 인하여 발생하는 다양한 유형의 가뭄 중 아직 국내에 정의되지 않은 돌발가뭄(Flash Drought)에 대한 특성을 분석하고자 하였으며, 증발산량을 활용한 위성영상 기반 가뭄지수인 증발스트레스지수(ESI)를 통하여 수문기상학적인 인자와의 상관성 분석을 통한 시기별, 지역별 돌발가뭄에 대하여 평가하였다. 4주 단위의 ESI-4W와의 비교 및 분석을 위하여 표준강수지수(SPI), 토양수분, 최고기온, 상대습도, 풍속, 강수량 등을 지수화하였으며, USDM 기준 percentile을 활용한 가뭄심도의 임계값을 산정하여 동일한 가뭄 단계를 기준으로 ESI-4W의 변화에 따라서 각 지수별로 미치는 영향에 대하여 분석하였다.
본 연구에서는 돌발가뭄 감지 기준을 ESI-4W의 가뭄 단계가 약 4주 이내 정상 시기에서 극심한 가뭄 단계(Extreme drought, D3) 이하로 심화될 경우로 정의하였으며, 돌발가뭄 감지 조건을 바탕으로 국내 적용 결과, 2014년부터 2018년까지 5년간 돌발가뭄이 10회 발생하였다. 2015년 6월 중순 발생한 돌발가뭄은 다른 돌발가뭄 발생 시기에 비하여 강수량과 높은 상관관계를 보였으며, 2016년 9월 초 발생한 돌발가뭄은 전반적으로 높은 상관관계를 나타내면서 다른 시기와 비교하여 지수 간 상관계수의 큰 차이를 보이지 않았다. 2018년 8월 중순 발생한 돌발가뭄의 경우 다른 시기에 비하여 상대습도, 강수량과 낮은 상관성을 보였으며, 상대습도의 경우 약 -0.1 수준의 상관계수를 나타내면서 해당 시기에 발생한 돌발가뭄에 대하여 상대습도와 연관성을 찾기 어렵다고 판단하였다. 국내에서 발생한 돌발가뭄의 경우 SPI, 토양수분, 최고기온에 대한 높은 상관관계를 나타내어 돌발가뭄과 밀접한 관련이 있으며, 토양수분의 감소 및 폭염의 지속 등과 큰 연관성을 가지고 있는 것으로 판단된다. 또한, 시기에 따라서 강수량과 상대습도에 대한 영향력이 반영될 수 있다.
강수량 기준의 기상학적으로 분류된 일반적인 가뭄 사상을 표현하는 SPI의 경우 ESI와 높은 상관관계를 나타내면서 돌발가뭄으로 정의된 시기에 대하여 가뭄을 표현하였다. 국내에서 발생하는 일반적인 가뭄의 경우 봄 시기를 중심으로 가뭄이 발생하는 반면, 본 연구에서 감지한 돌발가뭄의 경우 여름철 강수패턴의 변화 및 폭염의 영향 등으로 급격하게 가뭄이 심화되었으며, 이후 신속하게 해갈되는 경향을 보였다. 장기적으로 발생하는 일반적인 가뭄과 달리 돌발가뭄은 단기간에 가뭄이 발생하고 해갈되기 때문에 향후에는 돌발가뭄에 대한 모니터링 및 조기경보 기술이 필수적이다.
본 연구에서 제시한 돌발가뭄 감지 조건을 만족하는 경우 이외의 시기의 상관계수에 대해서는 낮은 상관계수와 연관성 있는 결과를 찾기 어려운 만큼 본 연구에서 제시한 조건이 국내 돌발가뭄 특성 분석에 대하여 수문기상학적인 자료를 반영한 높은 설명력을 보이는 것으로 판단된다. 향후 대상 시기를 확대하고 시군구 단위로 대상 지역을 세분화한다면 국내 돌발가뭄에 대한 명확한 정의가 가능해질 것으로 사료되며, 신뢰성 높은 국내 돌발가뭄의 특성에 대하여 분석할 수 있을 것으로 기대된다.














