1. 서 론
오랫동안 인류의 문명은 하천 주변을 중심으로 시작되고 발달하여 왔다. 하천 근처는 교통, 수자원, 농업의 편리성 등 인류 정착에 있어 필요 요소들을 제공함으로써 하천 근처로부터 공동체가 형성되었다. 이러한 물에 대한 접근성은 문명의 시작과 발달에 영향을 미치는 핵심적인 사항이다. 하천이 주는 편리함과 경제적 이익에도 불구하고 범람원 근처 정착지는 홍수 발생 가능성이 크며 이에 따라 인류는 제방과 같은 홍수 저감 시설을 구축하여 홍수에 대응하였다. 이것은 범람원 주변 정착지의 인간과 홍수 시스템 사이 상호작용을 통해 복잡한 역학 작용을 만들어낸 결과이다. Di Baldassarre et al. (2013)은 이러한 복잡한 인문-홍수 시스템 간의 상호작용을 개념화하였다. Di Baldassarre et al. (2013)은 수문학적 시스템과 인문 사회적 시스템 사이 상호작용과 피드백 과정을 모의하기 위해 동적(dynamic) 변화를 포함한 개념적인 모델을 제시하였다. 본 연구에서는 기술 발전과 인간의 활동 같은 외적 요인을 포함한 변수들이 사회-수문 시스템에 상호영향을 평가하는 데 목적이 있었으며, 모형 성능 측면에서 사회-수문 시스템의 상호영향과 관련된 현상을 효과적으로 재현할 수 있는 것으로 파악되었다. 예를 들어, 범람원 지역을 보호하기 위해 제방을 건설하거나 높일 때, 제내지의 범람 빈도는 감소하지만, 하천의 수위를 상승시켜 사회에 더 높은 홍수방어 기준이 요구된다. 한편 높은 홍수방어 기준에 따라 제방의 높이가 올라간 상태에서 홍수가 발생하는 경우 일시적으로 더 큰 유량이 범람 되어 피해가 더 커질 수 있는 악순환이 반복된다. 즉, 하천의 수위 상승으로 인해 홍수가 발생하면 과거와 비교해 피해 측면에서 더욱 불리할 수밖에 없다.
범람원 또는 홍수터(floodplain)는 주로 하천의 하류 지역에 형성되며 하천의 범람으로 형성된 평탄한 지형으로 정의한다. 범람원은 하천의 범람으로 주기적으로 침수가 반복된다(Junk et al., 1989). 이집트의 메소포타미아 고대 사람들은 주로 무역, 농업, 그리고 경제 발전에 좋은 조건을 갖춘 범람원에 정착하였다. 현재까지도 약 10억 명의 사람들이 범람원에 거주하고 있는 것으로 추정된다. 오랫동안 인간이 홍수에 어떻게 적응해왔는지(White, 1942) 그리고 범람원의 침수와 같은 홍수의 발생이 인간의 정착지와 토지이용에 어떤 영향을 미쳤는지에 관한 연구가 진행되어왔다(Myers et al., 2008; Green et al., 2011; Schultz and Elliott, 2013). 최근 연구에서는 홍수빈도와 규모에 대한 인간의 개입(홍수방어 시설, 토지이용 변화 및 도시화)으로 인한 상호영향을 조사하였다(Di Baldassarre et al., 2009; Heine and Pinter, 2012; Remo et al., 2012). 그러나 과거 연구들은 인문 사회적 시스템과 수문학적 시스템의 상호작용에 대한 피드백이 충분히 반영되지 않고 다소 단순화된 영향만이 고려되었다. 장기적인 관점에서 사회-수문 시스템의 동적 변화를 반영하는 과정은 전망 결과의 신뢰성 제고 측면에서 중요한 사항이다. 예를 들어, 전통적 수문학에서는 인간에 의한 활동은 범람원 시스템에 대한 외부 요인으로 간주하여 상호작용이 반영되지 않고 오직 수문학적 시스템 측면만을 고려하였다. 즉, 홍수 발생 시 홍수방어 시설만 효과적으로 구축하면 홍수로 인한 피해를 줄일 수 있다고 판단되었다. 그러나 사회수문학 측면에서는 지속해서 홍수방어 시설을 구축하는 것이 오히려 홍수피해를 증가시킬 수 있는 요인으로 고려될 수 있다.
White (1942)는 이에 대한 근거로 제방 효과(levee effect)와 적응 효과(adaptation effect)를 예시로 들었다. 그동안 전 세계 여러 지역사회에서는 범람 빈도 및 피해를 줄이기 위해 제방을 건설하거나 제방 증고를 통해 범람원의 거주지를 보호하려고 하였다. 제방으로 인해 홍수빈도가 줄어 범람원 지역 사람들이 안전하다고 느끼면 하천 주변에서는 활발한 경제 발전이 이루어진다. 경제 발전은 인구 증가로 이어지며 하천 주변 지역사회가 활발하게 개발되지만, 홍수가 발생했을 때 피해가 증가하는 요인으로 작용한다. 이것을 제방 효과라 부르며 홍수방어 시설이 홍수 발생빈도를 줄여 잦은 홍수로부터의 위험을 감소시키지만, 역설적으로 홍수위험도 인식을 저감시켜 기록적인 홍수 시 피해가 증가하는 사회적 현상을 뜻한다. 즉, 제방을 건설하고 높이는 것은 대규모 홍수 발생 가능성이 잠재된 산업화 도시로 발전시킬 가능성이 있다. 이에 대한 예시로 미국의 뉴올리언스 사례를 들 수 있다. 반대로 홍수 발생 직후 비슷한 규모의 홍수가 발생하면 오히려 홍수로 인한 피해가 감소하는 적응 효과도 같은 맥락에서 이해할 수 있다. 이전의 홍수 경험으로 지역사회의 적응 능력이 개선되기 때문에 홍수가 자주 발생하는 지역에서는 홍수 취약성이 감소하는 경향을 말한다. 이에 대한 예시로 1995년의 뮤즈강 홍수의 피해사례를 들 수 있다. 사회수문학적 요소가 홍수빈도와 강도에 미치는 영향과 사회 발전에 따른 홍수 발생 특성을 평가하기 위해서는 범람원의 동적 거동과 사회수문학적 피드백을 고려한 상호작용에 대한 이해가 필요하다(Di Baldassarre et al., 2013). 이런 맥락에서 Sivapalan et al. (2012)은 사회-수문 시스템의 상호영향을 개념적으로 연구하는 사회수문학을 제안했다. 사회수문학의 중요성이 강조되면서 그에 따른 연구가 전 세계적으로 활발하게 이루어지고 있다. 최근 뉴질랜드에서는 제방 건설로 인한 하천의 분할, 직선화로 인한 수위 상승과 생태계 파괴를 이유로 하천을 본래의 모습으로 되돌리려는 노력이 있었다. 즉, 제방을 제거하여 하천을 다시 재연결 시키고 직선화된 하천을 다시 곡선화시켜 자연스러운 침수와 퇴적을 통해 생태계 복구에 이바지한다는 취지에서 주목할 만하다.
본 연구에서는 홍수 발생 시 상호영향을 고려하여 수문학적 홍수위험도, 제방 건설, 홍수위험 인지 정도, 도시 확장 등의 영향을 동적으로 평가하는 방안을 제시하였으며, 양재천을 사례를 들어 적합성을 평가하였다. 2장에서는 사회수문학에 대한 개념을 요약하여 제시하고 3장에서는 본 연구에서 고려된 방법론에 관해서 기술하였다. 4장에서는 제시된 방법론을 양재천에 적용한 결과를 제시하고 마지막으로 결론 및 토의 사항에 관해서 기술하였다.
2. 사회수문학의 개요
통합 수자원 관리(integrated water resources management, IWRM)는 수문학적 시스템의 원리를 이용한 시나리오 기반의 접근이다. 수자원개발, 수자원 이용, 생태계 및 환경 측면에서 지속 가능성을 훼손하지 않으면서 경제 및 사회적 복지를 극대화하기 목적으로 물, 토지이용 및 자원의 제한된 개발 및 지속적 관리를 촉진하는 과정이다. 이는 사회수문학과 유사한 점이나, 통합 수자원 관리는 사회와 환경에 관해 원하는 결과에 도달하기 위해 수문학적 시스템을 제어하거나 관리하는 데 초점을 둔다는 점에서 차이가 있다. 이러한 접근은 간혹 비현실적일 수 있으며 특히 장기 전망 관점에서 인문사회학적 시스템을 고려하지 않아 전망 결과가 부정확하거나 신뢰성 측면에서 단점이 있다. 예를 들어, 통합 수자원 관리에서는 홍수가 발생한 기간과 홍수피해는 서로 선형적으로 증가할 것으로 가정하여 제방 건설과 같은 홍수방어 시설을 구축하는 것을 장려한다. 하지만 이러한 가정은 지역사회의 내적 변화 요소를 고려하지 않은 사항으로 홍수가 사회에 미치는 영향과 사회가 다시 홍수에 미치는 영향을 고려해야 하는 것이 필요하다. 사회수문학에서는 사회-수문 시스템이 공동으로 진화하는 동적 거동을 고려하여 미래 변화 방향을 이해 및 전망하는 데 초점을 두어 장기적 측면에서 더욱 효과적인 전망이 가능하다.
사회수문학은 생태 수문학의 공동 진화(coevolution)에서 발전 방향을 찾을 수 있다. 생태 수문학은 물 가용성과 관련하여 물과 식물의 공동 진화와 자기 조직화를 탐구하는 학문 분야이다. 사회수문학은 이처럼 물 가용성과 관련하여 물과 인류의 공동 진화와 자기 조직화를 분석한다는 점에서 공통점이 있다. 사회수문학은 인간과 수자원 간 상호작용에 관한 새로운 동적 변화를 모니터링하고 모형화하는 것으로 시작된다. 이러한 공동 진화는 다양한 시공간 규모에서 상호작용이 발생하며, 시스템에서 이전에 관찰되지 않았던 새로운 상태로 진화할 수 있으며, 시스템 반응 측면에서 임계점(tipping point)을 초과할 수 있다. 임계점 초과로 인해 새로운 안정 상태로 변화하는 것을 자기 조직화라고 한다. 생태 수문학은 식생 패턴과 그 진화로부터 새로운 학문적 의미를 탐구하는 것을 목표로 하는 것과 유사하게, 사회수문학은 수자원에 대한 접근 및 근접성 측면에서 해석함과 동시에 사회 경제적, 기술적 요인에 대한 영향을 해석함으로써 인류가 홍수에 대응하는 것에 대한 교훈을 얻을 수 있다. 이러한 사회수문학적 상호작용을 주도하는 사회적 요소로 정책, 보조금, 경제성, 기술 및 역사적 요소 등이 있으며 이로 인해 상호작용에도 차이가 나타날 수 있다.
Di Baldassarre et al. (2013)은 지역사회에 홍수를 대상으로 사회수문학적 접근을 시도하였다. 인류의 정착지는 하천 근처 지역에서 발전하고 무역과 같은 활동을 통해 경제적 이익을 얻는다고 가정한다. 이때 갑작스러운 홍수의 발생은 경제적 손실을 초래한다. 하천 주변 거주지가 반복적인 홍수를 경험하고 이에 대한 충격으로 홍수위험도에 대해 인식을 하게 된다. 이후 지역사회는 두 가지 선택권이 있다. 첫째는 강에서 멀어지는 것 (Fig. 1(a))이며, 두 번째는 범람원으로부터 지역사회를 보호하기 위해 제방을 건설하는 것이며(Fig. 1(b)), 두 방법을 조합하여 대응할 수도 있다.

Fig. 1.
Conceptual representation of human adaptation to floods : a) Adaptation to floods by moving away from river due to flood damage b) Technological society with flood defense facilities (e.g., levees) (Di Baldassarre et al., 2013)
범람원으로부터 멀어지는 첫 번째 방법은 하천으로부터 얻었던 직간접적 이익이 감소하여 경제적으로 불리할 수 있다고 가정한다. 두 번째 방법 또한 제방 건설을 위한 비용이 필요하고 제방 건설로 인한 수위 상승으로 홍수 시 오히려 홍수피해를 가중하여 경제적 손실이 발생할 수 있다(Di Baldassarre et al., 2009; Remo et al., 2012; Heine and Pinter, 2012). 첫 번째 방법을 선택했던 지역사회도 시간이 지남에 따라 홍수위험도에 대한 인식이 낮아져 범람원 근처로 정착지가 이동하여 경제적 이익을 취하려는 경향이 반복적으로 일어날 수 있다.
3. 연구방법
3.1 사회수문학적 동역학 및 인과관계
Di Baldassarre et al. (2013)은 수문학적, 경제적, 정치적, 기술적, 사회적 요인에 따라 다섯 가지 유형의 프로세스를 고려하여 개념화하였다. 구성 요소는 서로 연결되어 서로 영향을 미치며 시간에 따라 점진적으로 진화하고 홍수 시 상호영향을 받는다고 가정한다. 구성 요소 간 상호작용과 역학 작용에 초점을 맞춘 인과관계는 다음 Fig. 2와 같다. 시스템 동역학(system dynamics)은 Forrester (1961)에 의해 처음 개발된 이후, 산업, 경제, 사회, 환경 시스템을 분석하는 데 주로 사용됐다. 시스템 동역학의 가장 눈에 띄는 점 중 하나는 복잡한 비선형 시스템에 대한 분석적인 해를 추정할 수 있다는 것이다. 시스템 동역학은 문제의 파악과 시스템 내의 피드백 프로세스에 초점을 두며, 대안 정책 수립과정에서 그 유용성이 크다 하겠다. 이러한 특징 때문에, 시스템 동역학은 미국과 영국에서 도시계획, 정부 또는 기업의 정책 수립 지원을 위한 도구로 활용되고 있다. 시스템 동역학적 모형화는 시스템에 대한 이해를 바탕으로 개념적 모델 구조를 인과관계를 고려하여 다이어그램 형태로 기술한다. 인과관계 개념도가 구성되면, 모델 구조 속 변수들은 인과관계 개념도 안의 상호작용에 기초하여 수학적 방정식을 수립하여 정량적인 속성을 가지게 된다. 이러한 단계가 끝나면, 모형화의 목적에 따라 모형 검보정이 필요하게 되며, 여러 시나리오를 통해 검증된 모형은 주어진 문제를 해결하기 위한 도구로 활용될 수 있다.

Fig. 2.
A influence diagram between hydrological, economic, political, technological and social processes associated with flood events (solid thick arrows) and dashed arrows indicate the control variable (Di Baldassarre et al., 2013)
인과관계도와 시스템 이론을 활용하여 시간에 따른 시스템의 동적 변화에 중점을 둔 모델링을 시스템 동역학 모형이라고 한다. 구성 요소 간의 인과관계를 모식화 하여 표현할 수 있으며 인과관계도는 시스템을 구성하는 요소 간 인과관계를 이해하기 위한 도식화 방법이라 할 수 있다. 수치적 모의를 통해 시스템 구성 요소의 정량적 변화과정을 분석하고 인과관계를 바탕으로 시스템 전체가 상호작용을 효과적으로 묘사하고 있는지를 파악할 수 있다. 인과관계도에서 (+)는 양의 피드백 즉, 양의 상관관계를 갖는다. 이는 두 요소가 같은 방향으로 진화하는 것을 뜻한다. (-)는 음의 피드백 상황으로 음의 상관관계를 갖는다. 이는 두 요소가 각기 다른 방향으로 진화하는 것을 뜻한다.
3.2 홍수에 따른 사회-수문시스템 개념화
사회-수문 시스템에 대한 상호작용은 하천수위 변화와 상호 연관된 동적 변수들의 미분방정식을 통해 개념화할 수 있다. 은 하천의 수위를 나타내며 구체적으로 특정 기준값을 넘어서는 수위 즉 POT (peak-over threshold)를 나타낸다. 즉, POT는 제방 높이를 넘어서는 수위를 의미하며, POT 발생 시 주변 상황에 따라 홍수를 유발할 수 있는 수위라 할 수 있다. 이러한 POT 계열을 모형화하기 위하여 수위 를 비선형의 충격함수(impulse)로 가정하여 모의할 수 있다. 이러한 POT 계열의 수위 를 기준으로 홍수의 강도를 추정할 수 있으며 0(홍수 미발생)부터 1(홍수 발생) 사이의 범위를 갖는 홍수위험도 로 추정이 가능하다. 개념적으로 POT 계열 로 인해 발생하는 제내지에 홍수피해 비율(혹은 상대적 피해) 는 다음 식을 통해 추정할 수 있다(Merz et al., 2011).
시간 에 따라 변화하는 동적 변수는 대문자로 표시되고 추정될 매개변수는 아래 첨자 H (=Hydrology)로 표시된다. 위 식에서 는 수위, 는 홍수방어 수준 척도로 볼 수 있는 제방고, 그리고 는 하천으로부터 주거지(또는 도심지)까지의 거리이다. 앞서 언급된 3가지 변수 모두 길이의 차원을 가지는 변수라 할 수 있다. 홍수 발생 시 실제 홍수위는 로 표현될 수 있다. 는 제방을 높임으로써 증가하는 하천수위의 비율이며 는 홍수 발생 직전의 제방고이다. 앞서 언급했듯이, 제방 증고 시 상대적으로 규모가 작은 홍수에 대한 발생빈도는 감소하지만, 설계기준을 초과하는 홍수 발생 시 과거보다 더 큰 수위 상승으로 피해가 가중될 수 있다 (Di Baldassarre et al., 2009; Remo et al., 2012; Heine and Pinter, 2012). Di Baldassarre et al. (2009)는 홍수 범람 분석을 통해 홍수위 증가가 주로 제방 건설 및 보강과 관련 있다는 가설을 증명하였다. Heine and Pinter (2012)는 일리노이와 아이오와에 있는 200여 개 강의 관측 수문 자료를 분석하여 홍수 크기에 따른 제방 효과를 분석하였다. 이 경험적 연구를 통해 제방의 존재가 오히려 홍수위를 상승시키는 원인으로 작용할 수 있다는 점을 지적하였다.
Eq. (1)의 매개변수 는 제내지의 지형 특성과 관련이 크다. 는 0에서 1사이 값이며 경사도가 커질수록 값이 커진다. 주어진 수위에 대해 큰 에 대해서는 하천으로부터 거리가 증가함에 따라 홍수피해가 상당히 감소하는 반면 0일 때는 하천수위나 강의로부터의 거리와 관계없이 피해가 최대(F = 1)가 된다. 0일 때, 수위가 매우 높거나 하천으로부터의 거리가 0에 가까워질수록 제내지의 거주지는 완전한 파괴에 이르게 된다. 홍수가 발생하면 () 홍수위험도 F의 최솟값은 항상 양수이며 수위가 낮아지고 하천으로부터 거리가 멀어질수록 0에 가까워진다.
홍수 발생 후, 지역사회는 두 가지 선택권이 있다고 가정한다. 첫 번째로는 홍수위에 따라 제방을 건설 혹은 증고하는 방법이다. 이런 선택을 하는 지역사회를 기술사회(technology society)라고 하며 제방 효과의 기초를 둔 지역사회이다. 제방을 축조하는 것은 지역사회의 경제력과 기술력에 의해 결정된다. 두 번째는 제방을 높이지 않고 홍수 우려가 있는 지역의 인구밀도를 줄이는 것이다. 즉, 하천에서 거주지를 이격시켜 멀어지게 하는 방법이다. 이런 선택을 하는 지역사회를 녹색 사회(green society)라 하며 적응 효과에 기초를 둔 지역사회이다. 이를 개념화하였을 때 정착지의 크기(또는 재산)를 G로 나타낼 수 있으며 단위는 면적의 단위를 갖는다. 주어진 시간 에 대해 홍수 발생 후 증고한 제방고는 길이의 단위를 갖는 로 정의하고 다음과 같이 나타낼 수 있다.
는 홍수 발생 직전 제방고이며 는 홍수 발생 직전 정착지의 크기를 뜻한다. 만약 홍수 발생 후 정착지의 피해 규모 또는 피해 비용()이 제방 건설 혹은 보강 비용()보다 클 경우(), 의사결정자들에게 제방을 보강하는 것이 타당한 선택지일 것이다. 홍수 발생 후 남은 재산()이 제방 건설 혹은 보수비용()보다 많을 경우(), 지역사회가 감당할 수 있는 한도 내에서 제방을 보강할 수 있다. 안전율을 1보다 크게 함으로써 제방 보강 시 여유고를 두는 것이 일반적이다(Werner and McNamara, 2007). 홍수 발생 직후 지역사회가 경험한 심리적 충격의 크기는 홍수피해 강도 F에 비례하며, 홍수 발생 이후 제방 축조(혹은 보축)량 R을 통해 홍수위험도가 조절된다고 가정한다. 여기서, 매개변수 를 도입하여 심리적 충격에 대한 크기 를 다음과 같이 정의할 수 있다.
는 무차원 함수로 F와 같이 0부터 1 사이 값이다. 홍수 발생 후 추가 보호 조치가 없는 경우 (R = 0) 충격의 크기는 F값과 같다. 제방 보축 등의 홍수방어 장치를 통해 홍수방어 수준을 나타내는 제방고를 R만큼 상승시킨다면 심리적 충격의 크기는 원래의 홍수위험도 F보다 작아지게 된다. 이때 안전성은 반대로 이 된다. 매개변수 가 0일 때, 사람들은 추가 보호 조치를 통해 안정감을 느낀다. 즉, 이를 완전한 해결책으로 인식하여 미래의 발생 할 홍수에 대해 완전히 안전하다고 가정하는 것이다(Ludy and Kondolf, 2012). 따라서 인 경우 지역주민 측면에서 보면 도입된 홍수방어 대책이 홍수로 인한 충격을 완전하게 해소하기에는 불충분하다는 것을 의미한다. 위의 가정에 따라 일 때 지역사회는 홍수방어를 위한 추가적인 대책에도 불구하고 홍수위험도가 여전히 높다고 인식한다는 것을 의미한다. 위에서 제시된 Eqs. (1), (2), (3)은 홍수 발생 시 생기는 수문학적, 인문사회학적 상호작용을 나타낸다. 즉, 개념화 모델에서 홍수, 심리적 충격, 방어 수준을 높이기 위한 의사결정 등을 하나의 연계 과정으로 고려한다. 다음 네 가지 미분방정식은 앞서 언급된 홍수위험도 Eq. (1)을 통해 통합적으로 연계되며 홍수로 인한 사회-수문학적 시스템을 동적으로 설명한다.
제시된 미분방정식을 통해 홍수의 수문학적 시스템이 경제적(Eq. (4)), 정치적(Eq. (5)), 기술적(Eq. (6)), 사회적(Eq. (7)) 요인에 따라 어떻게 동적으로 변화하는지를 추적할 수 있다. 범람원을 중심으로 홍수로 인한 사회-수문 시스템의 개념화는 두 가지 시스템의 상호작용을 고려하여 구체화한다.
Eq. (4)의 미분방정식은 경제(economy) 상황을 동적으로 묘사하기 위한 방정식이다. 여기서 항 는 시간 에 따른 사람들이 거주하는 정착지의 크기이며, 이는 인구, 면적 및 경제적 가치와 관련 있다. G는 시간에 따른 두 가지 주요 동적 요소에 의해 영향을 받는다. 즉, 자체적으로 G에 비례하는 점진적 성장 요소(왼쪽 항)와 홍수로 인해 갑작스럽게 경제적 쇠퇴를 가져오는 구성 요소(오른쪽 항)에 의해 결정된다. 매개변수 는 시간의 차원을 가지며 인간의 정착지가 하천에 가장 근접했을 때 얻을 수 있는 상대적인 최대 성장률을 나타낸다. 따라서 는 경제학적 측면에서, 정착지 자체적인 발전 요소라기보다는 외부적인 요소로 고려될 수 있으며 보다 일반적으로 설명하면 경제모델에서 지역 또는 세계 경제와 연결될 수 있는 사항이다. 여기서, 경제적 이익 측면에서 정착지가 하천에 가까울수록 유리하다고 가정하였으며, 항 를 이용하여 하천과 정착지의 거리가 증가할수록 경제적 이익이 감소하는 사항을 모의할 수 있다. 매개변수 을 사용하여 하천으로부터 경제적 이득을 얻을 수 없는 임계거리(critical distance)를 설정할 수 있다. 따라서 지역사회의 경제 성장률은 하천으로부터 거리 D와 선형적으로 관련이 있으며 지역사회가 거리 를 초과하면 경제 성장률은 오히려 감소할 수 있다. 홍수로 인한 경제 상황을 나타내는 G의 갑작스러운 감소는 일 때를 제외하고 항상 0이며 주기성을 가지지 않는 델타함수 을 통해 생성된다. 는 홍수 발생 시 활성화되는 델타함수로서, 연계되는 항인 ()는 홍수 발생 시에만 존재한다. 변수 F와 R은 Eqs. (1) and (2)에 정의된다. Eq. (4)에서 FG는 홍수로 인한 피해(flooding damage)를 나타내며 면적의 단위를 갖는다. 항 는 제방을 건설하거나 보수하는 비용이다. 매개변수 는 제방을 건설하거나 보수하는데 제방 높이 R과 제방 폭 를 기준으로 결정되는 정착지 면적의 감소에 따른 손해를 포함한 단위면적당 비용을 나타낸다(보호할 정착지 가장자리의 폭을 로 가정한다). 의 홍수일 경우, 지역사회의 경제적 손해는 홍수에 대한 피해 F와 피해를 줄이기 위한 제방 보축(R) 비용으로 구성된다.
Eq. (5)의 미분방정식은 하천에서 정착지 중심까지의 거리 의 동적 변화를 나타내며 정치(politics)적인 요소를 평가하기 위해 도입된다. 하천으로부터 가까워지거나 멀어지는 움직임은 그에 맞는 경제력과 기술력이 필요하다. 를 사용하여 시간 에 따른 이전 홍수 기억을 바탕으로 경험적으로 홍수위험도 인식을 나타낼 수 있다(Eq. (7)). M값이 큰 경우 사람들 혹은 의사 결정권자들이 하천에서 멀어지도록 결정할 것이다. 즉, 정착지는 하천에서 더 멀리 이동하므로 중심거리 D는 증가한다. 그러나 사회는 하천과 가까워질수록 경제적 이익이 증가하기 때문에 홍수에 대한 피해를 어느 정도 감내할 수 있다. 이것은 Eq. (5)에서 항 으로 고려될 수 있다. 매개변수 는 홍수에 대한 기억(지역사회가 강에서 멀어지게 함)과 동시에 하천 근처로 이동하여 경제적 이익을 극대화하려는 의지 사이의 상충 관계를 나타낸다. 는 길이의 차원을 가지는 매개변수로 홍수에 관한 지역사회의 위험 의식과 정치적 행동과 관련이 있다. 지역사회와 의사결정자는 경제적 추론을 기반으로 하천으로부터 멀어져 홍수 위험성을 줄이고 경제적 이익을 일부 포기할지 하천으로부터의 거리를 좁혀 경제적 이익을 취하고 어느 정도의 홍수피해를 감내할지 홍수 허용 수준을 선택할 수 있다(Schumann and Nijssen, 2011). Eq. (5)의 마지막 항은 정착지의 중심을 이동시킬 수 있는 능력을 정의한다. 대규모의 집단이 재정착하는 것이 소규모의 집단보다 훨씬 어려우므로 대규모 도시 지역(부유한 지역)이 이동 능력이 떨어진다고 가정한다. 즉, 항 은 속도의 차원을 가지며, 관성 작용으로 인간 정착지의 대표 길이 에 반비례한다고 가정한다. 따라서 매개변수 은 의 차원을 가지며 유동의 매개변수로 새로운 건물이 지어질 비율을 의미한다.
Eq. (6)의 미분방정식의 는 길이의 차원을 가지며 홍수방어 수준을 뜻하며 기술(technology) 요소의 동적 변화를 모의하기 위해 도입된다. 홍수방어 시설 건설은 Eq. (2)에서 정의된 바와 같이 제방을 보축하는 비용과 기술에 의해 결정된다. 홍수 발생 직후 홍수위험도 인식이 높을 때 기술과 경제력이 충분하다면 제방이 즉시 건설된다고 가정한다. Eq. (6)의 두 번째 항은 시간에 따른 구조물의 노후화 정도를 나타내고 는 시간의 역수를 차원으로 가지는 매개변수로서 제방 축조 시 사용된 기술에 따라 달라지는 노후화 정도를 의미한다. 범람원 시스템 내 프로세스 간 상호작용에 초점을 맞춘다면 제시된 미분방정식은 상대적으로 적은 매개변수로 5개의 요소의 상호작용을 효과적으로 묘사할 수 있다.
Eq. (7)의 미분방정식 은 시간에 따른 홍수위험도 인식의 변화로 사회(social) 요소의 동적 변화를 모의하기 위해 도입된다. 즉, 는 지역사회가 홍수로 인해 경험한 심리적 충격 S 때문에 축적되는 위험도의 인지 정도를 나타낸다. 본 식에서 위험도 인지 정도는 시간 경과에 따라 의 비율로 점차 감소하며, 는 시간의 역수를 차원으로 가지는 매개변수이다. Baan and Kljin (2004), Parker et al. (2011) 및 Scolobig et al. (2012)은 홍수 발생 직후에만 홍수위험도 인식을 갖는다고 주장하였다. 위험도 인식의 감소는 홍수 발생 직후 흔히 관찰되는 고위험 인식이 비교적 짧은 시간에 소멸한다는 사실에 근거한다(Baan and Klijn, 2004).
즉, 정착지의 크기 G가 증가할수록 하천으로부터 거리 D의 감소율은 줄어들며 D가 증가할수록 G는 감소한다. 제방고 R은 홍수위 H와 정착지 크기 G에 영향을 끼치고 홍수로 인한 심리적 충격비율 S에 따라 홍수위험도 인식 M이 결정된다. 다시 M은 D에 영향을 주어 M이 증가할수록 정착지가 하천으로부터 멀어지게 한다. 이처럼 상호작용을 주고받는 네 가지 미분방정식을 개념화하였다.
4. 대상유역 및 자료
본 절에서는 홍수로 인한 사회수문학적 평가를 위해서 제시된 이론적 배경을 토대로 모의실험을 수행하고자 한다. 즉, 앞서 제시된 Eqs. (4), (5), (6), (7)을 토대로 사회수문학적 요소들을 가정하고 시간에 따른 정착지의 크기 변화, 하천으로부터 거리, 제방 높이, 홍수위험도 인지 정도 등을 모의하고자 한다. 홍수에 따른 사회수문학적 상호영향을 평가하기 위해, 서울 양재천을 해석 대상으로 하였다. 양재천을 대상으로 연구를 진행하면서 관련 자료의 취득이 어려운 부분은 가정하여 연구를 진행하였다. 과거에서부터 현재까지 양재천 주변의 거주지 규모, 도시발전 등을 고려하기 위하여 과거의 지도와 사진, 하천기본계획 정비 사례 등을 검토하였고 제방고는 미도아파트 근처 영동6교 지점 근교에서 측정한 자료를 자료를 사용하였다. Fig. 3은 1861년 제작된 대동여지도 중 한강 주변과 양재천 부분을 확대하여 각각 나타내었으며, 대동여지도 제작 당시 마을은 양재천에서 떨어진 곳에 있음을 알 수 있다. 대동여지도 작성 시기인 1860년대 양재천 근처를 보면 4대문 밖 경기도 지역으로 분류되며, 정착지가 거의 존재하지 않는 것으로 볼 수 있다. 현재의 양재천은 탄천의 지류로 분류되나, 과거 대동여지도를 기준으로 판단해보면 한강의 1차 지류로서 현재의 하천지형과는 다른 형태를 가지고 있었을 것으로 판단된다. 본 실험연구에서는 1900년을 기준으로 주변에 거주지가 없다고 가정하고 모의를 시행하였다.
Fig. 4(a)는 1982년에 현재의 삼성동 근처에서 바라본 은마아파트를 나타내며 Fig. 4(b)는 현재의 휘문중고등학교 근처에서 바라본 은마아파트 전경을 보여주고 있다, 사진을 통해 주변 정착지의 형태를 추정해볼 수 있으며, 은마아파트가 건설되기 전에는 양재천 근처에는 정착지가 거의 존재하지 않았으며 삼성동 근처에 소규모의 정착지가 형성되어 있는 것을 사진으로부터 확인할 수 있다. 정착지는 1960년대 기준 현재의 삼성역 부근에서 약 300,000 m2의 크기의 주거지이며 주거지 중심에서부터 양재천까지 1.3 km의 거리가 있다고 가정했으며 1960년대의 홍수방어 수준으로 볼 수 있는 제방고를 0 m라 가정하였다. 1979년에 은마아파트가 대치동에 대규모로 건설되었다. 1982년 촬영된 양재천 부근 은마아파트의 사진으로 1970년대 제방고를 추정하였다. Fig. 5 속 여성의 키를 150 cm라고 생각하여 원근법을 고려하였을 때 제방고는 약 4 m (1.5 m × 2 × 1.33 = 4 m)라고 가정하였다. 위에서 추정한 위치부터 은마아파트 단지까지의 약 630,000 m2의 크기로 급격하게 증가하였으며 주거지 중심으로부터 양재천까지 1.0 km라고 가정하였다. 1983년에 양재천을 마주 보고 미도아파트가 건축되었으며 현재 양재천에서 가장 가까운 주거지이다. 하천으로부터 거리 0.82 km로 더욱 근접하게 된다. 이 시기에 미도아파트 부지를 포함하여 정착지 면적 890,000 m2로 증가하였다. 1983년도 하천기본계획 기준 제방고는 11.74 m로 급격하게 증가하였다. 2003년에는 같은 하천 이격거리 D, 정착지 면적 G를 기준으로 제방고가 15.37 m로 다시 한번 높아지는 것으로 파악되었다. 시간 경과에 따른 양재천 주변의 정착지 확장(G), 정착지 중심으로부터 하천까지 거리(D), 제방 높이(H)를 정리하여 Fig. 6과 Table 1에 나타내었다.

Fig. 4.
Photograph that can simulate how levee of Yangjae River was like in the past (Kwon (2016) Nomad A small record of the changing lives of Koreans in the 1980s, Nunbit)

Fig. 5.
Eunma Apartment in Daechi-dong, photographed in Yagjae river in the early 80s (Kim (2011) The world of alleys the complete photographs, Nunbit)
5. 연구결과
시간 0에서 정착지는 양재천에서 1300 m 에 위치한 300,000 m2의 작은 마을이라 가정한다. 이 지역에 막 정착한 사람들은 홍수를 겪어본 적이 없고 제방과 같은 홍수방어 시설이 없다고 가정한다. 지역사회는 양재천 주변에 정착함으로써 경제활동을 하고 주변 지역이 발전하게 된다. 앞서 언급하였듯이 Table 1은 과거 홍수 기록과 함께 최근 하천기본계획에 제시된 정보를 기준으로 작성하였다. 본 연구에서는 이러한 점에서 모형의 적합성을 평가하기 위해서 Table 1에 제시된 시간 경과에 따른 양재천 주변의 정착지 크기, 제방 높이, 하천으로부터 거리를 관측값으로 간주하고 모형 매개변수를 였다. 모형의 매개변수 추정 관점에서 가정 및 결정된 매개변수들에 관해 설명하면 다음과 같다.
하천 주변은 교통 등 발전에 유리하며 이를 고려하여 경제 성장률이 매년 3% 로 추정되었다. 반면 정착지와 하천의 거리가 멀어지면 성장률이 감소한다는 점에서 본 연구에서는 2,500 m 를 초과하는 지역의 성장률은 감소한다고 가정하였다. 동시에 홍수위 는 잠재적으로 주변 지역을 침수시킬 수 있으며( = 0.05) 경제 성장에 악영향을 줄 수 있다. 홍수 발생 시 주민들은 심리적 충격을 경험하게 되며, 이러한 충격은 제방이 신규로 건설되거나 더 높게 보축된다면 감소 될 수 있다( = 0.1). 이러한 정신적 충격은 거주민들의 홍수에 대한 위험 인식을 높이는 요인으로 작용하지만, 이러한 홍수에 대한 정신적 충격은 약 10년 이내에 50% 정도 감소한다고 가정하였다. 홍수에 대한 기억은 지역사회를 하천으로부터 멀어지게 하는 효과가 있다. 본 연구에서는 지형 여건을 고려하여 하천으로부터 정착지의 거리는 2,000 m 일 때 홍수로부터 완전히 안전하다고 가정하였다. 홍수 후 정착지를 재건설할 수 있는 능력을 로 하여 분석하였다. 추정된 매개변수들을 토대로 모의를 통해 Table 1에 제시된 결과를 재현할 수 있는지를 일차적으로 평가하였다. 100년 동안 홍수사상을 가상으로 모의하여 Fig. 7에 나타내었다. 여기서 홍수 시점은 Table 1에 제시된 제방 높이 증고 시점을 기준으로 임의 크기의 홍수사상을 모의하여 활용하였다.
양재천 주변 지역사회의 진화를 알아보기 위해서 개념화 모델을 사용하여 사회 수문 시스템 요소 간의 상호작용을 모의할 수 있으며, 제시된 미분방정식을 통해 사회수문학적 상호영향을 평가하는 데 있어서 3가지 시나리오를 고려하였다. 즉, 양재천의 제방을 신축 혹은 보축하는데 드는 비용에 대해 세 가지 시나리오를 가정하였다. 첫 번째로는 저비용 시나리오(low-cost, = 0.5), 두 번째로는 중간비용 시나리오(moderate-cost, = 10), 마지막으로 고비용 시나리오(high-cost, = 100)가 있다. 본 모의실험에서 제방의 노후화 수준은 100년 동안 약 50%이며(), 홍수위는 제방 증고분의 50% ( = 0.5)만큼 증가한다고 가정한다.
Fig. 8은 양재천의 1900 ~ 2020년까지 홍수와 사회수문학적 거동을 평가 및 검증하기 위한 첫 번째 경우로서, 제방 축조 또는 신축 비용이 적은 저예산 시나리오이다(low-cost = 0.5). 실제 우리나라의 제방 축조 비용은 국가에서 충당하며, 지역의 홍수 피해액 등에 비해 매우 작다는 측면에서 Table 1에 제시된 실제 사항과 비교해볼 만하다. 이 점을 고려하여 실제 값과 모의한 값을 비교한 결과는 다음 Table 2와 같다. 전체적으로 Table 1에서 제시된 동적 변화를 효과적으로 모의하는 것을 확인할 수 있었다.
Table 2.
Simulated results under different cost scenarios for levee construction
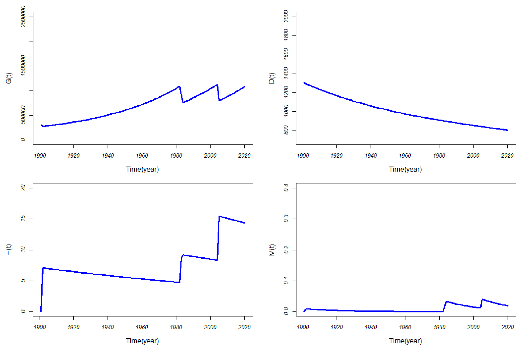
예상한 바와 같이 저예산 시나리오에서는 높이 인 제방이 첫 번째 홍수가 발생하자마자 지어진다. 두 번째 홍수 발생 후 제방의 높이는 약 9 m 가까이 증가하게 된다. 지역사회가 제방을 건설하여 홍수위험도를 줄이면서 지역사회의 중심이 분석 초기 1,300 m에서 지속적으로 양재천 근처로 이동하며 약 800 m로 수렴하고 있는 실제 사례와 유사하다. 양재천에서 지역사회 중심까지의 거리 를 분석해보면 지역사회가 제방을 축조하면서 양재천 근처로 빠르게 이동하는 것을 볼 수 있다. 양재천 근처로 갈수록 지역사회의 경제 성장률은 증가하지만, 홍수에 대한 잠재 위험도 는 반대로 증가하는 것을 Fig. 10에서 확인할 수 있다. 저비용 시나리오에서는 지역사회가 빠르게 성장하지 않고 홍수로 인해 하천 근처에서 정착지가 반복적으로 이동한다고 볼 수 있다. 지역사회 주민들의 위험 의식 로 봤을 때 제방의 존재가 홍수위험 의식을 낮춘다는 사실을 확인할 수 있다. Fig. 9는 3가지 제방 건설비용에 따른 사회수문학적 요소들의 상호작용을 나타낸다. 저비용 시나리오와 유사하게 중간비용 시나리오 기준에서도 제방 건설로 인한 홍수위험 인식의 감소는 지역사회가 하천 근처로 이동하게 되는 요인으로 작용하게 된다. 처음부터 제방이 지어지는 저예산 시나리오의 경우 주민들의 위험 인식 가 0.1을 넘어가지 않고 일정하게 유지된다. 이는 홍수위험 인식 는 제방의 건설로 인해 점진적으로 낮아진다는 사실을 확인할 수 있다. 홍수 빈도가 감소하고 홍수 방지 시설 구축으로 인해 위기의식이 낮아지기 때문이며, 홍수위험 인식의 감소는 지역사회를 하천 근처로 이동하게 하는 요인으로 작용하게 된다. 한편 Fig. 10에서 보듯이 하천 근처로 이동한 지역사회는 홍수 발생 시 피해 정도가 증가할 수 있으며 이러한 상호작용은 반복적으로 나타난다.

Fig. 9.
Dynamic evolution of socio-hydrology factors based on low-cost (blue), moderate-cost (red), and high-cost (black) scenarios, community scale G(t)[m2], distance from Yangjae River to center of community D(t)[m], levee height H(t)[m] indicating the level of flood protection, and degree of flood risk recognition M(t)[.]
중간예산 시나리오는 두 번째 홍수 발생 이후 제방이 축조되고 그 이후 홍수가 발생할 때마다 저비용 시나리오와 비슷한 추세를 보이며 제방을 보축하는 것으로 파악되었다. 중간예산 시나리오의 경우 제방이 지어진 이후 오히려 경제 요소인 지역사회의 규모 G값이 감소함을 확인할 수 있다. 제방고의 증가율은 저예산 시나리오와 유사한 거동을 보이지만 제방 건설에 대한 투자 비용으로 인해 제방이 지어진 이후 도시의 규모를 나타내는 G값이 감소하였다고 판단될 수 있다. 고비용 시나리오는 제방 투자 비용이 매우 높아 제방이 지어지지 않는다. 제방에 대한 투자 비용이 없으므로 는 큰 내림세 없이 증가하지만 다른 시나리오에 비하면 값의 변화가 적다. 홍수가 발생할 때마다 지역사회는 민감하게 반응하며 다른 시나리오에 비해 위험도 인식이 값이 크게 나타난다. 고비용 시나리오의 경우 경제 성장률은 홍수 발생에 영향을 적게 받으며 높은 값으로 인해 지역사회가 쉽게 하천에 접근하지 못하게 되며, 100년 후 상대적으로 먼 거리에 도시가 정착되게 된다.
6. 결 론
국내 하천제방의 경우 50년에서 100년, 도심을 관통하는 국가하천의 경우 200년 빈도 홍수위를 기준으로 설계되어 70년대부터 축조됐다. 향후 기후변화에 따른 국지성 호우에 따라 홍수피해가 지속적으로 늘 것으로 예상되며 이에 따른 홍수피해 복구비가 지속해서 늘어날 것으로 전망된다. 본 연구에서는 지역사회가 홍수에 대응하고 상호영향을 어떻게 주고받는지, 사회수문학적 개념을 통해 설명하고자 하였다. 수문학적, 경제적, 정치적, 기술적, 사회적 과정의 개별 및 상호간의 복잡성은 가능한 단순화 하였다. 궁극적으로 홍수로 인해 나타나는 사회수문학적 요소 간의 상호작용과 피드백에 대한 이해를 넓히는데 주안점을 두고 연구를 진행하였다. 소개된 홍수로 인한 사회수문학적 개념모형은 홍수터의 지배적인 상호작용을 인간-홍수 시스템 관점에서 모의한다. 예를 들어, 사람들이 하천에서 멀리 떨어져 홍수를 피하는 시나리오와 지역사회를 보호하기 위해 제방을 구축하는 시나리오에 해당하는 다양한 지역발전의 방향성을 비교할 수 있었다. 예를 들어 당장 2021년 양재천의 제방고 15.67 m (계획홍수위인 21.58 Elm)를 초과하는 홍수가 발생한다고 가정해보자. 앞서 제시한 같은 시나리오와 매개변수를 가지고 2050년까지 전망된 결과는 Fig. 11과 같다.

Fig. 11.
As in Fig. 9 but for the expected socio-hydrological behaviour due to the flood event in 2021
2021년 대홍수가 발생한다고 가정하면 가장 눈에 띄는 점은 제방고가 급격하게 증가하는 것과 함께 경제적 요소인 지역사회의 크기가 심하게 감소하는 것을 확인할 수 있다. 제방의 보축이 물리적인 범위 내에 있는지에 대한 제약조건은 두지 않았으나, 양재천 주변의 거주 형태 및 도로 상황을 고려할 때 10 m까지 증가시키는 것은 거의 불가능한 대안이라고 할 수 있다. 이와 함께 2021년 홍수 이후 제방을 높인다고 가정했을 때 홍수위험도 는 현재보다 2배 가까이 높아지게 된다(Fig. 12). 제방을 높임으로써 당장은 홍수를 피할 수 있지만, 홍수가 일단 발생하게 되면 예상되는 피해는 2배 이상 증가한다는 것을 의미한다.
그러나 이러한 개념적 연구는 사회수문학적 요소 간의 복잡성과 이질성과 관련하여 잠재적으로 중요 사항들을 고려하지 못한다는 점에 주의해야 한다. 예를 들어, 일부 지역사회 구성원은 다른 집단보다 거주지 이동을 위한 경제적 자원이 적거나 하천 주변에 얻을 수 있는 경제적 이익(예를 들어 집값의 상승 등) 때문에 이동하지 않고 더 큰 홍수위험을 감수하는 선택을 할 수 있다. 마찬가지로, 이러한 개념적 모델은 수문학적, 경제적, 기술적, 정치적 과정의 이질성을 모두 고려할 수는 없다. 또한, 이러한 의사결정과정 간의 상호작용과 피드백에 초점을 두고 분석이 이루어지기 때문에 대부분 단순화된 방정식으로 도식화되며, 복잡한 의사결정과정이 효과적으로 고려되지 못할 위험도 항상 존재한다고 하겠다. 따라서 사회수문학적 개념화 모형의 적용 범위는 지리적/시간적으로 특정 위치 및 시점에서 예측을 위한 도구로 활용되기보다는 인간과 홍수 시스템이 어떻게 일반화된 방식으로 작동하는지에 대한 이해를 넓히기 위한 도구로 활용될 수 있을 것으로 판단된다.








