1. 서 론
2. 상수도 사용량 데이터 정제
2.1 결측 데이터 정제
2.2 오측 데이터 정제
2.3 비대칭 데이터 식별
3. 상수도 사용량 변화 분석 지표
3.1 분석 지표 1: 이용 총량 및 비중 변화
3.2 분석 지표 2: 이용 패턴 변화
4. 적용 및 결과
4.1 적용대상 네트워크
4.2 데이터 필터링 결과
4.3 상수도 사용량 변화 분석 결과
5. 결 론
1. 서 론
지난 2019년 말 발생한 COVID-19(Corona Virus Disease 2019)로 인해, 인간의 사회활동 형태가 다양하게 변모하고 있다. 국내에서도 2020년부터 몇 차례의 COVID-19 대유행을 겪는 과정에서 마스크 착용, 개인위생 권장, 사회적 거리두기 등 강력한 예방수칙들이 도입되어 왔다. 특히, 확산 심각성에 따라 단계적으로 발효되는 방역대책 및 사회적 거리두기는 생활양식을 변화시켰으며, 이러한 생활양식의 변화는 물과 전력 공급 등 필수 인프라 시설의 운영 및 관리에 혼란을 야기하고 있다. 특히, 감염병으로써 COVID-19는 방역 및 위생 차원에서 물 사용량에 큰 변화를 가져올 것으로 예상되었으며, 대표적인 해외 연구사례는 다음과 같다.
Sivakumar (2021)의 연구에서는 COVID-19 대응을 위한 봉쇄령을 실시할 경우, 초기 대외활동 감소로 인해 일시적으로 물 사용량이 감소하는 것으로 나타나지만, 점차 시간이 지남에 따라 봉쇄 단계가 완화됨에 따라 대외활동이 회복되고, 더불어 시민들의 강화된 위생의식으로 인해 급격한 상수도 사용량 증가가 나타날 것으로 예상한 바 있다. Kalbusch et al. (2020)의 연구에서는 브라질의 Joinville을 대상으로 본격적인 COVID-19 확산(2020년 3월) 전후의 물 사용량을 비교 분석한 결과, COVID-19 확산으로 인해 물 사용량이 감소한 것으로 나타났다. 또한, Balacco et al. (2020)의 연구에서는 이탈리아 남부를 대상으로 2019년 3월 물 사용량과 COVID-19가 확산되기 시작한 2020년 3월 물 사용량을 시간별로 비교 분석하였으며, 마찬가지로 물 사용량이 감소하는 동시에 시간별 물 사용 패턴이 변화한 것으로 나타났다.
국내에서도 COVID-19 위기에 따른 물 사용량 변화가 몇 차례 주목받은 바 있으며, 몇 가지 대표적인 사례를 요약하면 다음과 같다. Lee (2020)의 연구에서는 2017~2020년 3월 이전까지의 물 사용량과 COVID-19 확산이 본격적으로 시작된 2020년 3월 이후 물 사용량을 비교하였으며, 수도권 지역의 물 사용량은 약 0.99%, 확산 중심 지역의 물 사용량은 약 1.94% 감소한 것으로 나타났다. 이때, 산업, 학교 및 체육시설 등 공공시설에서의 물 사용량 감소가 비교적 크게 나타났으며, 개인위생 확보를 위해 가정용 물 사용량은 증가한 것으로 분석되었다. 실제로, 서울특별시 수도 조례 일부개정조례안에서는 COVID-19 감염 예방을 위한 손 씻기 활성화로 인해 세대당 1개월간 약 1톤의 가정용 물 사용량이 증가할 것으로 추정하였으며, K-water (2020)에서는 COVID-19 관련 물 사용 부담 증가를 완화시키기 위해 수도요금 감면 추진을 검토한 바 있다.
이처럼 상수도 분야에서는 COVID-19 확산이 상수도 이용 변화에 미치는 영향을 파악하고, 나아가 물 공급 위기 발생을 고려한 대응 방안을 모색하고 있다. 대표적인 해외 연구사례의 경우, Sowby (2020)의 연구에서는 COVID-19 대응을 위한 미국 물 관리 정책을 바탕으로, 고수요 시간대에서 주거지역의 증가한 물 사용 강도에 대비한 시설물 용량, 운영 위기 등을 물 분야 주요 위기 중 하나로 주목하고 있음을 제시하였다. 또한, Asadi-Ghalhari and Aali (2020)의 연구에서는 기존 용수공급 운영에서 COVID-19로 인한 일시적 물 사용량의 감소가 발생할 경우, 상수도의 배수지 및 관내 체류시간 증가로 이어질 수 있음을 지적하며 잔류염소농도 저하 등 수질오염 발생 가능성 또한 제시하였다.
그러나 국내 연구사례에서는 아직 COVID-19를 고려한 정밀한 물 관리 분석 연구가 다소 미흡하며, 특히 물 위기 대응을 고려한 공학적인 검토는 구체적으로 이루어진 바 없다. 따라서, 본 연구에서는 COVID-19로 인한 물 사용량 변화를 보다 정밀하게 분석하고자 하였으며, 구체적으로 국내 중소규모 도시인 S시 일부 상수도 네트워크를 대상으로 COVID-19로 인한 급수전 단위 물 사용량 변화 여부를 분석하고, 전반적인 물 사용량 및 사용 비중의 변화, 시간별 물 사용 패턴의 변화 등을 분석하였다.
본 논문은 구체적으로 다음과 같이 구성되었다. 2장에서는 COVID-19 물 사용량 변화 분석을 위한 분석 대상 급수전 데이터 정제 방법을 소개하였으며, 3장에서는 전체 상수도 사용량과 사용 비중 변화(3.1절) 및 시간별 물 이용 패턴 변화(3.2절) 분석 방법을 다루었다. 4장에서는 본 연구의 적용 대상 상수도 네트워크에 대한 소개 및 분석대상 급수전 현황, 물 사용량 변화 분석 결과를 서술하였으며, 마지막으로 5장을 통해 연구결과를 요약하고 향후 관련 연구의 확장 및 활용 방향을 제시하였다.
2. 상수도 사용량 데이터 정제
상수도 사용량의 계측은 서비스 지역에 따라 다양한 단위로 이루어진다. 먼저 상수도 사용량 계측의 공간적 배경은 대상 시스템 전체에 용수를 공급하는 정수처리장에서부터, 각 배급수구획을 담당하는 배수지, 각 말단 급수전에서의 사용량 등으로 점차 세분화할 수 있으며, 시간적 단위는 월별, 일별 및 시간별 사용량 등으로 구분할 수 있다. 이러한 상수도 사용량의 계측은 최근 고도로 발달한 계측 기술로 인해 시공간적으로 점차 더 정밀한 단위에서 이루어지고 있다. 그러나 데이터의 계측 과정에서는 불가피한 오류가 발생하며, 이러한 계측 오류의 결과는 데이터가 기록되지 않은 결측 데이터 또는 비정상적인 값으로 기록되는 오측 데이터 등으로 나타난다. 오·결측 데이터는 그 규모에 따라 해당 데이터의 분석 자체를 불가능하게 하거나, 분석 결과의 신뢰도를 크게 저해할 수 있으므로, 데이터 분석 과정에서는 본격적인 분석에 앞서 비정상 데이터를 식별하고, 소거하기 위한 정제 과정이 필수적이다.
한편, 데이터 분석 목적에 따라 정상적으로 계측된 데이터 또한 분석 결과의 신뢰도를 저해하는 상황이 발생할 수 있다. 예를 들어, 시계열 데이터 분석 중 특정 기간에서 비상 상황에 따른 데이터가 포함되는 경우, 또는 여러 지점을 포함하는 분석 중 특정 지점의 물리량이 상대적으로 매우 큰 경우 등 데이터 현황에 따라 분석 목적에 벗어나는 데이터가 포함될 수 있다. 이러한 상황은 시·공간적으로 규모가 큰 데이터를 분석하는 경우 보다 빈번하게 발생하며, 따라서 분석 목적을 고려하여 정확한 분석 대상 데이터를 결정하는 것이 중요하다. 본 연구에서는 각각 아래와 같은 과정을 통해, 수집 데이터 내 1) 결측 데이터, 2) 오측 데이터, 3) 비대칭 데이터 및 상대적으로 사용량이 큰 급수전 데이터 등을 식별하여 분석 대상 데이터를 정제하였다.
2.1 결측 데이터 정제
결측 데이터는 계측기에서 데이터의 계측에 실패하였거나, 데이터의 전송 및 저장 단계에서 오류가 발생하여 데이터베이스 내에 확보되지 않은 데이터를 의미한다. 여기서 결측 데이터의 유형은 구체적으로 1) 해당 시계열 자체가 기록되지 않은 경우, 2) 해당 시계열의 데이터가 공란(null)으로 기록된 경우, 3) 해당 시계열의 데이터가 non-numeric 형태로 기록되는 경우 등으로 구분할 수 있다. 본 연구에서는 위와 같은 데이터 유형들이 모두 결측 데이터로 분류된 CSV spread sheet 형태의 데이터베이스를 수집하였으며, 분석대상 기간 내 결측 데이터가 포함된 급수전은 분석이 불가능한 급수전으로 판단하고, 해당 급수전의 데이터를 분석 대상 데이터에서 제외하였다.
2.2 오측 데이터 정제
오측 데이터는 데이터베이스 내에 numeric 형태의 데이터가 기록되었지만, 기록된 데이터 값이 실제와 다르게 계측되었거나 전송 및 저장 단계의 오류로 변질된 데이터를 의미한다. 이때, 실제 데이터 값을 알 수 없기 때문에 정확한 오측 데이터의 식별은 어려운 과정이며, 이를 정확히 식별하고 보정하기 위해 많은 연구들이 수행된 바 있다. 본 연구에서는 사용량 변화 분석의 관점에서, 각 급수전에서 나타나는 일반적인 물 사용량 범위를 벗어나는 비정상 데이터가 포함된 급수전을 우선 식별하고자 하였으며, 급수전별 오측 데이터 발생 여부를 아래와 같은 두 가지 특징을 통해 식별하고, 해당 급수전의 데이터를 분석 대상 데이터에서 제외하였다.
2.2.1 오측 데이터 유형 1: 과대계측
계측기 오류로 인한 오측 데이터의 분포는 대부분 오차범위 내에서 이루어지며, 정상 데이터로 분류된 데이터 내에서도 오측 데이터는 상당수 존재할 수 있다. 이러한 오측 데이터의 경우, 명확한 식별이 어려울 뿐만 아니라 이를 보정하더라도 별다른 효과를 기대할 수 없기 때문에, 일반적으로 오측 데이터란 물리적, 통계적으로 발생 가능한 계측 범위를 벗어나거나, 정상 범위에 해당하더라도 관측 경향을 순간적으로 벗어나는 경우를 가리킨다. 따라서 데이터베이스 내 오측 데이터는 다양한 방법을 통해 분류될 수 있으며, 모든 데이터베이스 내 오측 데이터를 정확히 식별하는 것은 다소 복잡한 과정을 요구한다.
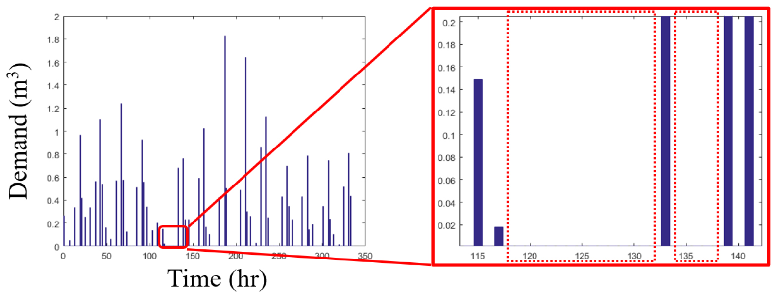
본 연구에서는 급수전 단위로 수집된 물 사용량 데이터 중 오측 데이터를 포함하고 있는 급수전을 분석 대상에서 제외하고자 하였으므로, 모든 오측 데이터의 정확한 식별보다는 먼저 각 급수전 내 과대계측 데이터를 바탕으로 오측 데이터의 발생 여부를 파악하여 해당 급수전을 분석에서 제외하였다. 구체적으로, 과대계측 데이터는 분석기간 내 각 급수전의 데이터를 오름차순으로 정렬하였을 때, 데이터 계측값이 갑작스럽게 증가하여 계측 범위가 서로 다른 수준으로 분리되는 것을 통해 식별되었다. 예를 들어, Fig. 1에서는 오름차순으로 정렬된 급수전 내 시간별 물 사용량을 나타내고 있으며, 가장 우측에 표시된 최대 물 사용량이 그 다음으로 큰 물 사용량 대비 약 열 배 가까이 크게 나타남으로써 과대계측 데이터가 발생하였음을 알 수 있다. 이때, 평상시 물 사용량이 적은 급수전의 경우, 과대계측 데이터로 인한 사용량 증가율은 비교적 크게 나타날 수 있다. 반면, 평상시 물 사용량이 큰 급수전의 경우 비교적 작은 증가율로도 비정상적으로 큰 증가량을 나타낼 수 있으므로, 과대계측 발생 여부를 결정하기 위한 정확한 증가율 및 증가량 기준은 각 급수전의 물 사용량 수준을 고려하여 개별적으로 적용되었다.
2.2.2 오측 데이터 유형 2: 지연계측
앞서 소개된 과대계측에 해당하는 수준의 오측 데이터는 그 발생 확률이 낮으며, 비교적 쉽게 식별 가능한 오측 데이터에 해당한다. 그러나, 누적 계측 방식을 사용하는 수도 계량기의 경우 지연계측에 의한 오측 데이터 유형을 포함하고 있어 추가적인 오측 데이터의 검정이 요구된다. 수도 계량기에서는 해당 급수전의 물 사용량을 누적하여 기록하며, 이들 데이터의 확보는 수집 간격에 따라 현재 계량값에서 이전 시간의 계량값을 차감하는 방식을 통해 이루어진다. 이때, 데이터 수집 간격이 짧을수록 현재 계량값이 정확히 반영되지 않는 문제가 있으며, 따라서 해당 계측값은 다음 수집 시간에 누적하여 반영된다. 즉, Fig. 2에 나타난 것과 같이, 일정 기간동안 데이터가 수집되지 않다가 누적된 물 사용량 데이터가 한꺼번에 기록되는 지연계측이 발생하며, 이들 지연계측은 계량값 반영에 소요되는 지연시간이 불규칙적이므로 다양한 범위의 오측 데이터를 발생시킨다.
수도요금 부과를 위해 월 단위 물 사용량의 계측이 중요한 수도 계량의 특성 상, 시간 단위 데이터 수집에서의 지연계측은 별다른 문제를 발생시키지 않지만, 본 연구에서는 시간단위 물 사용량을 포함하여 물 사용량 변화 양상을 분석하고자 하였으므로, 이러한 지연계측 데이터를 오측 데이터로 분류하였다. 구체적으로, 지연계측 데이터는 장시간동안 물 사용량이 전혀 나타나지 않는 기간이 존재하는 급수전을 파악한 후, 해당 기간 직후의 물 사용량이 비교적 크게 나타나는 것을 통해 식별할 수 있다.
2.3 비대칭 데이터 식별
또한, 본 연구에서는 물 사용량 변화 분석의 목적을 고려하여, 앞서 제시된 오측 데이터 식별 방법을 거쳐 정상 급수전으로 분류되었으나 분석 목적에 부합하지 않는 데이터를 추가적으로 분류하고자 하였다. Fig. 3은 임의의 급수전에서 각각 COVID-19 확산 전과 후에 해당하는 2019년과 2020년의 동일 기간에 발생한 물 사용량을 나타낸 그림이다. Fig. 3(a)에 나타난 급수전에서는 2019년 분석기간(12.18~12.31) 동안 물 사용량이 전혀 나타나지 않았으나, 2020년 분석기간(12.18~12.31)에서는 정상적인 물 사용이 이루어지고 있는 것을 알 수 있다. 이러한 급수전의 경우, COVID-19의 영향과 관계없이 물 사용량을 증가시키므로, 본 연구의 분석 목적에 부합하지 않는 비대칭 데이터에 해당한다. 또한, Fig. 3(b)에 나타난 급수전의 경우, 2019년과 2020년의 동일한 기간에 모두 물 사용량이 존재하지만, 2020년 분석기간 중 일부 기간에서 물 사용이 전혀 발생하지 않은 것을 알 수 있다. 이는 특정 급수전에서만 발생하는 개별적 요인에 해당하므로, 마찬가지로 분석 목적에 부합하지 않는 비대칭 데이터에 해당한다. 따라서, 본 연구에서는 분석기간 중 1일 이상 물 사용량이 존재하지 않는 기간을 포함하는 경우, 모두 비대칭 데이터를 포함하는 급수전으로 분류하고, 분석대상 급수전에서 제외하였다.
위와 같은 절차들을 통해 데이터베이스 내 모든 오·결측 및 비대칭 데이터를 정제하는 것은 불가능하지만, 이들 식별 방법의 범위를 벗어나는 경우 전체적인 물 사용량 변화 분석에 중대한 영향은 미치지 않을 것으로 판단하였다. 그러나 물 사용량이 매우 큰 급수전에서는, 상대적으로 작은 수준의 오측 및 비대칭 데이터를 포함하는 경우에도 물 사용량 변화 분석에 유의미한 영향을 줄 수 있다. 따라서 본 연구에서는 각 급수전에 연결된 상수관로의 직경을 바탕으로 분석대상 지역 내 물 사용량이 매우 큰 급수전을 파악하고, 해당 급수전을 분석에서 제외하였다.
3. 상수도 사용량 변화 분석 지표
3.1 분석 지표 1: 이용 총량 및 비중 변화
본 연구에서는 COVID-19 확산에 따른 상수도 사용량 변화를 분석하기 위해, COVID-19 확산 전후의 총 이용량 및 용도별 사용 비중 변화를 분석하였다. COVID-19 확산이 사회에 미치는 주요 영향은 활동 제한으로 인한 생활양식의 변화이며, 가장 먼저 상수도 사용의 비중이 변화할 것으로 예상할 수 있다. 생활용수의 사용은 구체적으로 상시 주거지역인 가정 내 물 이용에 해당하는 가정용수와 상업지구 등 일시적 활동지역에서의 물 이용에 해당하는 영업용수(일반용, 상업용 등)로 다시 구분할 수 있다. COVID-19로 인한 사회적 거리두기 등의 제한조치는 특히 상업지구 등 영업용수 사용에 큰 영향을 미칠 것으로 예상되며, 따라서 이러한 물 사용 비중 변화에 주목할 필요가 있다.
한편, 사회적 거리두기로 인한 물 사용 비중의 변화는 상업지구에서의 물 사용량이 가정 내 물 사용량으로 이동하는 현상이며, 따라서 직접적으로 물 사용 총량에 영향을 미치는 요인이라고 볼 수 없다. 그러나 감염병으로써 COVID-19 확산에 따른 인식은 높은 수준의 위생의식으로 이어져 다양한 형태로 물 사용량을 가중시킬 것으로 예상할 수 있다. 예를 들어, 다수의 인구가 이용하는 상업지구에서는 세척 등의 목적으로 보다 빈번하고 높은 강도의 물 사용이 발생하고, 가정에서는 외부활동 직후 의복류 세탁과 손 씻기 등의 목적으로 평상시 물 사용량이 증가할 것으로 예상된다. 따라서 본 연구에서는 물 사용 비중의 변화와 함께, COVID-19 확산에 따른 물 이용 총량의 변화를 용수 사용 목적별로 비교 분석하였다.
3.2 분석 지표 2: 이용 패턴 변화
가정용수 및 영업용수로 구분되는 상수도의 이용은 단위지역 내 급수인구의 생활패턴에 의해 주요 시간대별 물 이용량이 큰 폭으로 변화하는 특징을 갖는다. 예를 들어, 가정용수의 경우 새벽 물 사용량이 적고, 가정 내 주요 활동 시간인 아침 및 저녁 시간대에 물 사용량이 집중되는 형태의 이용 패턴을 갖는다. 영업용수의 경우, 주요 외부 활동 시간인 점심 및 저녁 시간대에 물 사용량이 집중되고, 그 외에는 물 사용량이 매우 적어 가정용수 대비 더 극단적인 형태의 이용 패턴을 갖는 것으로 이해할 수 있다. 이러한 상수도 이용 패턴에 있어, COVID-19 확산으로 인한 외부 활동의 제한은 재택근무, 영업시간 단축 등으로 인해 대규모 인구의 활동 시간을 변화시킴으로써, 주목할만한 생활패턴 변화를 유발하였다. 즉, COVID-19 확산 및 사회적 거리두기로 인한 외부활동의 제한은 물 사용 비중을 변화시키는 동시에 용수별 물 이용 패턴에도 영향을 미칠 수 있다. 특히, 상수도 공급 서비스의 관리는 이러한 물 이용 패턴을 상당 부분 반영하고 있으므로, 이러한 물 이용 패턴의 변화는 상수도 공급에 있어 예상치 못한 문제를 불러일으킬 것으로 우려된다. 따라서 본 연구에서는 물 사용량 변화와 함께 시간대별 물 이용 패턴 변화를 분석함으로써 COVID-19 확산이 상수도 공급에 미치는 영향을 보다 상세히 검토하였다.
4. 적용 및 결과
4.1 적용대상 네트워크
본 연구에서는 국내 중소규모 도시인 S시 일부 행정구역을 대상으로 COVID-19 확산에 따른 상수도 사용량 변화를 분석하였으며, 대상지역에는 아파트 및 빌라 등이 적은 단독 주거지 위주의 형태로 약 3,400명의 인구가 거주하고 있다. 또한, 주요 용수 수요는 주거지 기반의 생활용수 사용량과 상가 및 음식점 등 영업용 물 사용량으로 구분할 수 있다. 조사 대상 급수전 수는 가정용 1,607개 및 영업용(일반용 및 상업용) 169개 등 총 1,776개이며, 대상지역 내 총 물 사용 규모는 분석대상 기간에 대하여 일평균 약 682 m3의 사용량을 갖는 것으로 조사되었다. 이때, 각 급수전별 물 사용량 분포는 Table 1과 같이 급수전에 연결된 관로의 직경을 통해 가늠할 수 있다.
분석대상 기간은 국내에서 아직 COVID-19가 발생하기 전인 2019년 12월 18일부터 31일까지와 COVID-19 영향을 받은 2020년 내 동일한 기간(12월 18일부터 31일까지)으로 구성하였으며, 따라서 연도별로 각각 14일간의 1시간 단위 데이터(336시간), 총 672시간의 용수 사용량 데이터를 수집하였다. 2020년 12월 기준 대상지역의 사회적 거리두기 단계는 당시 3단계 체계 중 공공 및 민간 다중 이용시설이 상당 수준 제한되는 2단계를 적용한 것으로 조사되었다.
Table 1.
Diameter distribution of water supply pipes
| Diameter (mm) | No. of demand nodes connected |
| 13 | 99 |
| 15 | 1,605 |
| 20 | 50 |
| 25 | 11 |
| 32 | 9 |
| 50 | 2 |
| Sum | 1,776 |
4.2 데이터 필터링 결과
본 연구에서는 앞서 소개한 바와 같이 수집 데이터 내 각각 1) 결측 데이터, 2) 오측(과대 및 지연계측) 데이터, 3) 비대칭 데이터, 4) 상대적으로 사용량이 큰 급수전 데이터 등 물 사용량 분석 신뢰도를 저해하는 데이터를 검정하고 제외하였다. Table 2는 순차적으로 적용된 각 검정 단계에 따라 분석대상에서 제외된 급수전의 수를 정리한 표이며, 전체 1,776개의 급수전 중 최종 598개의 급수전을 분석대상 급수전으로 결정하였다. 이들 598개 급수전의 용수 사용량 비율은 전체 용수 사용량의 약 47.3%에 해당하며, 따라서 최종 분석대상 급수전을 이용하여 대상지역 내 용수 사용량 변화 특성을 충분히 반영할 수 있을 것으로 판단하였다.
Table 2.
Number of nodes after each data validation step
| Data validation step | Before validation | Missing data | False-reading data | Incomparable data | High-demand data |
| Number of filtered nodes | 1,776 | 172 | 196 | 788 | 22 |
| Number of remained nodes | - | 1,604 | 1,408 | 620 | 598 |
4.3 상수도 사용량 변화 분석 결과
4.3.1 분석 결과 1: 이용 총량 및 비중 변화
먼저 COVID-19 확산에 따른 대상지역 내 분석기간(2주) 동안의 총 용수 사용량 및 사용 비중 변화를 분석한 결과는 다음과 같다. Table 3은 분석기간 동안 COVID-19 확산 전후 가정용수 및 영업용수, 총 용수 사용량 및 사용 비중 변화를 정리하여 나타낸 표이다. 분석 결과, 전체 용수 사용량은 약 13.3% (564.8 m3) 증가하였으며, 이때 가정용수 및 영업용수 사용량은 각각 16.0% (559.8 m3), 0.7% (5.0 m3) 증가하여 가정용수 사용량 변화가 전체 용수 사용량 변화의 대부분을 차지하는 것으로 나타났다. 특히 가정용수 사용량의 비중은 2019년 82.7%에서 2020년 84.6%로 약 1.9%p 증가하여 사회적 거리두기 등으로 인한 대외활동 감소의 영향으로 주거공간 내 물 사용 비중이 증가하였음을 확인할 수 있다.
한편, 본 연구에서는 용수 사용량 변화 요인을 보다 면밀히 파악하기 위해 평일 용수 사용량과 주말 용수 사용량으로 구분하여 가정용수 및 영업용수 사용량 변화를 분석하였다. Table 4는 평일 및 주말로 구분하였을 때의 용수 사용량 및 사용 비중 변화를 정리한 표이다.
먼저, 분석대상 기간 내 전체 사용량이 16.0% 증가한 가정용수는 평일과 주말에 각각 15.6% (340.3 m3) 및 16.6% (219.5 m3) 증가하여 주말 용수 사용량 증가분이 더 큰 것으로 나타났다. 반면, 전체 사용량이 0.7% 증가한 영업용수는 평일과 주말에 각각 2.1% (9.3 m3), -1.5% (-4.3 m3) 증가하여 주말 사용량이 전년도 대비 감소한 것으로 나타났다. 이러한 현상은 사회적 거리두기에 의한 주말 대외활동 감소로 인해 영업용수 사용량이 감소하였음을 나타낸다.
Table 3.
Water use change by COVID-19 spread
| Year | Index | Domestic | Commercial | Sum |
| 2019 | Demand (m3) | 3,505.0 | 734.1 | 4,239.1 |
| Weight (%) | 82.7 | 17.3 | 100.0 | |
| 2020 | Demand (m3) | 4,064.8 | 739.1 | 4,803.9 |
| Weight (%) | 84.6 | 15.4 | 100.0 | |
| Increase rate (%) | 16.0 | 0.7 | 13.3 | |
Table 4.
Water use change by COVID-19 spread per weekday and weekend
4.3.2 분석 결과 2: 이용 패턴 변화
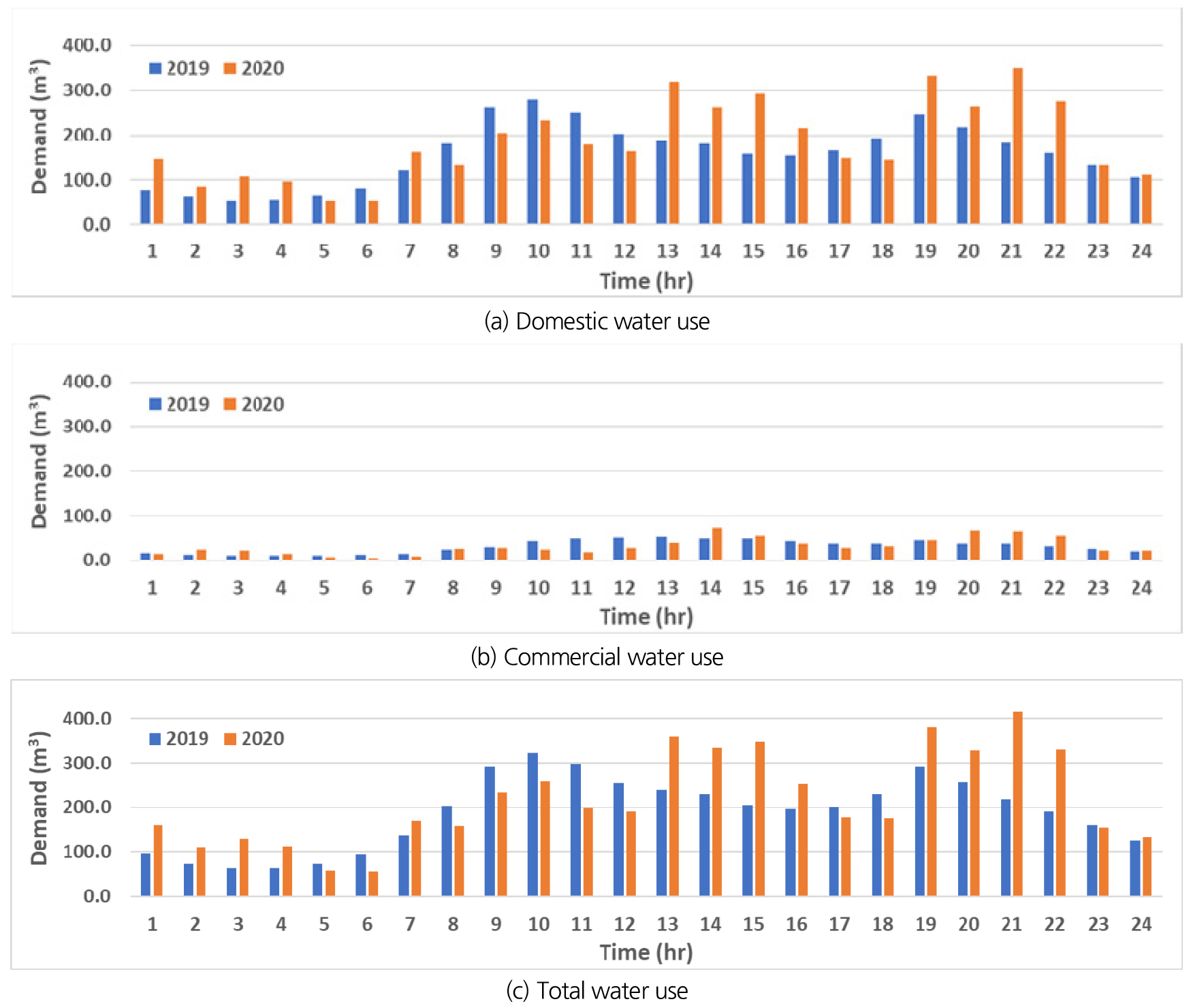
다음으로 COVID-19 확산에 따른 대상지역 내 시간별 용수 사용 패턴 변화를 분석하였다. Fig. 4는 전체 분석대상 기간 동안 각각 가정용수, 영업용수, 총 용수 사용 패턴을 나타낸 그래프이다. 여기서, 그래프의 y축은 시간평균 물 사용량 대비 각 시간대별 물 사용량의 비율, 즉, 사용 강도를 의미한다. Fig. 4(a)에 나타난 바와 같이, 가정용수 사용 패턴의 경우 일반적으로 용수 사용이 집중되었던 아침 시간대(8시~12시)의 물 사용 강도가 전반적으로 감소하였으며, 낮 시간대(13시~15시) 물 사용 강도가 증가하는 등 재택근무와 같은 실내 활동 비중의 증가로 인해 물 사용 패턴이 다소 지연되는 것으로 나타났다. 이러한 지연 현상은 저녁 시간대(18시) 물 사용이 밤 시간대(21시~22시) 물 사용으로 이동하는 현상을 통해서도 파악할 수 있으며, 최대 물 사용 시간은 2019년 10시에서 2020년 21시로 이동하는 등 전반적인 가정 내 용수 사용 패턴이 변화한 것으로 이해할 수 있다.
영업용수 사용 패턴의 경우, Fig. 4(b)에 나타난 것과 같이 용수 사용이 집중되었던 점심 시간대(10시~13시)의 물 사용 강도가 크게 감소하였으며, 비교적 늦은 오후 시간대(14시)의 물 사용 강도가 증가하는 것으로 나타났다. 이는 전반적인 이용객 감소 현상과 함께, 대상지역 내 인구의 활동 시간이 지연된 영향인 것으로 판단된다. 특히, 영업용수 사용 패턴에서는 사회적 거리두기로 인해 영업이 제한되는 21시 전후로 물 사용 강도가 급격히 증가하였으며, 최대 물 사용 시간은 2019년 12시에서 2020년 14시로 이동하는 등 가정용수 대비 더 큰 용수 사용 패턴 변화를 보였다. 그러나, 영업용수 사용 패턴의 급격한 변화에도 불구하고, 전체 물 사용량 중 영업용수 사용량이 차지하는 비중이 낮아, 전반적인 물 사용 패턴 변화는 Fig. 4(c)에 나타난 것과 같이 가정용수 사용 패턴 변화와 유사한 양상을 보였다. Table 5를 통해 각 용수의 COVID-19 확산 전후 시간대별 물 사용 패턴 및 사용 강도의 변화를 보다 상세하게 파악할 수 있다.
한편, Fig. 5는 각 용수의 사용 패턴이 아닌 시간별 사용량 변화를 나타낸 그래프이다. Fig. 5(b)에 나타난 것과 같이, 해당 지역의 영업용수 사용량은 가정용수에 비해 사용량 규모가 작아 양적 측면에서 전체 용수 사용량 변화에 큰 영향을 미치지 않는 것으로 나타났다. Fig. 5에 나타난 대상지역 내 가정용수 및 전체 사용량 변화를 살펴보면, 전체 용수 사용량의 대부분을 가정용수가 차지하고 있음을 알 수 있다. Table 6을 통해 각 용수의 시간대별 물 사용량 및 변화율을 보다 상세하게 파악할 수 있으며, 특히 가정용수의 경우 밤 시간대(21시) 순간 물 사용량이 2019년 대비 2020년에 약 92% 증가한 것으로 나타났다. 한편, 가정용수와 영업용수 사용량 모두 새벽 시간대에서도 큰 변화율을 보였으나, 해당 시간대의 물 사용량 규모가 작아 이로 인한 용수공급에 미치는 영향은 미미할 것으로 판단하였다.
앞서 분석된 결과를 바탕으로, 국내 상수도 이용환경을 고려하여 COVID-19 확산 및 사회적 거리두기에 의한 상수도 사용량 변화 요인은 다음과 같이 요약할 수 있다. 먼저, 전체적인 용수 사용 측면에서는 COVID-19 확산에 따른 사회 활동 감소, 사회적 거리두기에 따른 행동강령 및 영업시간 제한 등으로 인한 대외활동 감소가 가장 큰 변화 요인으로 분석되었으며, 용수 사용 패턴 측면에서 재택근무 등 활동 패턴의 변화가 용수 사용 패턴을 지연시키는 것으로 분석되었다. 또한, Sivakumar (2021)의 연구에서 제시한 바와 같이 COVID-19 감염을 예방하기 위한 적극적인 손 씻기 등 전반적인 국민 위생의식 증대로 인한 물 사용량 증가(특히, 가정용수 증가)가 나타난 것으로 판단된다.
특히, 약 21시 전후로 나타난 전체 용수 사용량의 급격한 증가는 예상치 못한 시간대에 상수도 공급 압력 저하 등의 문제를 야기할 수 있을 것으로 판단된다. 상수도 운영 절차에서는 효율적인 정수장, 펌프장 및 배수지 운영을 위해, 정수처리 및 처리용수의 도달시간 등을 고려한 선행 수요예측이 필수이며, 앞서 분석한 바와 같이 실제 용수 사용량 및 패턴이 급격히 변화하여 이러한 기존 예측범위를 벗어나는 경우 배수지 수위 유지, 공급 수질 변화 등 기존 상수도 공급 및 시스템 관리에 변화가 불가피할 것으로 예상된다.
Table 5.
Water use pattern change (hourly demand peaking factor) by COVID-19 spread
Table 6.
Water use change (hourly water demand) by COVID-19 spread
5. 결 론
본 연구에서는 COVID-19 확산으로 인한 국내 물 사용량 변화와 함께, 사용량 변화가 물 공급 서비스에 미칠 수 있는 잠재적인 위협을 알아보기 위해 국내 중소규모 도시인 S시 일부 주거지역을 대상으로 COVID-19 확산 전후 동일한 기간의 상수도 사용량 데이터를 수집하고, 분석하였다. 수집된 데이터는 각각 오·결측 데이터 및 분석 신뢰도를 저해하는 비대칭 데이터 등을 식별하고 정제하였으며, 구체적으로 상수도 이용 목적별 사용량 변화 및 사용 비중의 변화, 그리고 시간별 용수 사용 패턴의 변화를 분석하였다. 적용대상 지역 내 총 1,776개 급수전 데이터의 정제 과정을 통해, 최종적으로 598개 분석대상 급수전(전체 물 사용량의 47.3% 반영)의 COVID-19 확산 전후 물 사용량 변화 분석결과는 다음과 같이 요약할 수 있다.
1) 분석대상 기간 내 전체 용수 사용량은 약 13.3% (564.8 m3) 증가하였으며, 이 중 가정용수 사용량은 16.0% (559.8 m3), 영업용수 사용량은 0.7% (5.0 m3) 증가한 것으로 나타났다.
2) 2019년 대비 2020년 가정용수 사용량 비중이 82.7%에서 84.6%로 약 1.9%p 증가하였으며, 특히 2020년 주말 영업용수 사용량은 2019년 대비 1.5% (4.3 m3) 감소하는 등 COVID-19 확산으로 의한 대외활동 제한이 물 사용량 변화에 영향을 미치는 것으로 분석하였다.
3) COVID-19 확산에 따른 생활양식의 변화로 인해, 물 이용 패턴이 지체되는 양상을 보였으며, 최대 물 사용 시간이 2019년 10시에서 2020년 21시로 이동하였다. 특히, 최대 물 사용 시간인 21시의 물 사용량은 2019년 대비 약 92% 증가하였다.
이처럼 사회적 거리두기에 따른 집합금지, 영업시간 제한, 재택근무/수업 등으로 인한 대외활동 감소가 물 사용량 변화에 영향을 미치고 있는 것으로 나타났다. 금회 분석대상 지역의 경우, 중소규모 도시의 특성상 업종별 영업 종사자 및 연령 분포 등이 제한적이어서 배달 음식 수요의 증가, 재택근무 증가 등 대도시에서 나타날 수 있는 물 사용량 변화는 제대로 반영하지 못하는 것으로 판단된다. 따라서 물 이용 시설 및 거주인구 분포가 다양한 대도시를 대상으로 보다 정밀한 물 사용량 변화 분석이 필요할 것으로 판단된다. 특히 순간적인 가정용수 사용량 증가와 같은 물 이용 변화는 그 규모에 따라 상수도 운영관리 차원에서의 적응 노력이 필요할 것으로 판단되며, 특히 정수장, 펌프장, 배수지 등의 운영계획 및 공급 수압, 수질 유지를 위한 지속적인 연구가 요구된다. COVID-19 확산으로 인한 위기는 아직도 현재진행형이며, 과거 SARS (Severe Acute Respiratory Syndrome), MERS (Middle East Respiratory Syndrome) 확산과 더불어 추가적인 감염병 사태가 발생할 수 있음을 인지하고, 유사한 감염병 사태에 유연하게 대응할 수 있도록 비상시 상수도 시스템의 안정적이고 효율적인 운영방안 마련이 필요할 것으로 판단된다.







