1. 서 론
2. 연구 대상지역 및 자료
3. 연구 방법론
3.1 서울특별시 내 우량계 기반의 대류성 강우 정의 및 구분
3.2 대류성 강우의 격자 형태 시나리오 제작을 위한 머신러닝 모형 개발
4. 적용 결과 및 토의
4.1 머신러닝 모형의 성능 평가
4.2 격자 형태로 생성된 강우 시나리오에 대한 정량적 평가
4.3 격자 형태로 생성된 강우 시나리오에 대한 공간적 분포 평가 및 분석
5. 결 론
Appendix
1. 서 론
최근 기후변화로 인해 극한 강우사건에 대한 위험성이 지속적으로 증가하는 모습을 보였다(Vörösmarty et al., 2013; Wei et al., 2018). 2022년 8월 서울의 한강 이남지역에서 발생한 폭우사태는 3시간 동안 300 mm의 강우가 발생한 국지성 호우의 한 사례로 총 457명의 인명피해와 1,000억 이상의 재산적 피해를 발생시켰다(Kim and Kang, 2023; Kim et al., 2024a; Song et al., 2024). 당시, 서울특별시에는 시간당 141.5 mm 만큼의 폭우가 발생하였으며, 서울특별시의 200년 빈도 설계 강우량인 114.0 mm보다 큰 강우라는 것을 알 수 있다. 특히, 2022년 서울특별시에서 발생한 호우는 국지성 호우로 강우가 발생한 형태가 지역적으로 편차가 있었으며, 지역적 강우 편차를 대비하기 위해 강우의 공간적인 분포를 분석하는 것이 중요하다(Das and Siddique, 2012; Liu et al., 2018).
우량계에서 관측된 강우 자료는 공간적 특성 및 분포를 반영하지 못한다는 한계점이 존재한다. 과거 선행연구에서는 강우의 공간적인 분포에 대한 특성을 반영하기 위해 다양한 방법론을 제안하였다. 다양한 방법론 중 일반적으로 국내에서 자주 활용된 방법론인 산술평균법, 지배면적 가중법, 역거리 자승법 등은 우량계에서 관측된 자료를 선형관계로 내삽하는 방법이다(Cho and Jeong, 2006; Chen and Liu, 2012; Xu et al., 2015). 이를 통해 제작된 강우 자료는 수문학적 모델링의 입력자료로 활용하였다. 다만, 해당 강우 자료는 방법론에 따라 산출된 결과의 편차가 크다는 단점이 존재한다. 특히, 산악지형이 많은 국내에서는 강우의 공간적 특성이 평준화되는 문제가 제기될 수 있다.
이후, 다양한 선행연구에서는 선형적 관계를 활용한 내삽 방법이 가지는 한계점을 극복하기 위해 비선형적 관계를 고려하여 강우 자료를 격자화하는 방법을 제안해왔다. 대표적인 방법론으로는 크리깅(Kriging) 보간법과 최적 보간법(Optimal Interpolation) 등이 있다(Daly, 2006; Hofstra and New, 2009). 해당 방법론들은 우량계의 공간적 공분산과 보간된 격자에서 산출되는 추정오차 등을 보정하여 우량계의 위치만을 고려하는 내삽 기반의 방법론보다 더 좋은 결과를 도출하였다(Chen et al., 2002; Hofstra et al., 2008; Baik and Choi, 2015; Baik et al., 2016). 특히, 크리깅 보간법은 자료의 공간적 패턴과 변동성을 고려한다는 점과 물리적인 의미를 갖는 지역적 특징을 더 잘 반영한다는 장점을 지니고 있다. 다만, 해당 방법론은 우량계의 관측 밀도에 따라 정확성이 떨어질 수 있다는 점에서 공간적 분포에 민감하게 반응하고, 자료가 희소하거나 불규칙한 상황에서 적용하기 어렵다는 단점을 보여주었다(Gentile et al., 2013).
국내에서 강우의 공간분포를 보다 정확하게 파악하기 위해 강우 레이더와 인공위성 자료를 활용하여 강우의 공간분포가 반영된 자료를 확보해왔다(Kim et al., 2024b). 국내에 설치된 강우 레이더는 1 km 이상의 공간 해상도와 10분 이상의 시간 해상도를 가지고 있기에 내삽 방법론으로 제작된 강우 자료보다 비교적 고해상도 자료를 제공하고 있다는 것을 알 수 있다. 국내 레이더 관측 자료의 공간적 범위는 국내 내륙 지역과 연안 지역을 포함하고, 높은 시·공간 해상도의 강우 정보를 제공한다는 장점을 가지고 있다(Kim et al., 2007). 다만, 강우 레이더는 반사도의 분포를 활용하여 강우량을 추정한다는 점에서 실제 관측되는 강우와는 다를 수 있다. 전반적으로 강우 레이더에서 관측된 강우강도는 우량계에서 관측되는 강우강도보다 비교적 과소 추정되는 형태를 보여주었다(Kitchen and Blackall, 1992; Schleiss et al., 2020).
다양한 선행연구는 우량계와 강우 레이더에서 관측된 강우 자료의 단점을 서로 보완하기 위해 두 자료를 활용한 공간 보간 방법론을 제안하기도 하였다. Foehn et al. (2018)은 스위스 알프스 지형에 위치한 Rhône 유역을 중심으로 우량계의 네트워크 자료와 기상 레이더를 효율적으로 결합하는 방법론을 개발하였다. 분석 결과, 우량계 기반의 역거리 자승법보다 비교적 정확한 성능을 발휘한다고 언급하였다. Ochoa-Rodriguez et al. (2019)는 우량계와 강우 레이더를 병합한 방법론을 도시 내 수문학적 응용에서 요구되는 미세한 시·공간적 해상도에서 적합한지 평가하였다. 널리 사용되고 성능이 우수한 방법론을 중심으로 평가하였으며, 그 결과, 평균 필드 편향 조정(Mean field bias adjustment), 외부 드리프트 크리깅(Kriging with external drift), 그리고 베이즈 병합(Bayesian merging)이 우수한 기술로 선정되었다(Todini, 2001; Wackernagel, 2003; Harrison et al., 2009). 다만, 우수한 기술로 선정된 방법론들은 소규모의 도시 유역 및 지역 중심의 방법론이 아니라는 한계점을 가지고 있다. 이런 한계점을 극복하기 위해 소규모 도시 유역에 적합한 머신러닝 기반의 공간 보간 방법론을 개발하고자 한다.
본 연구에서는 서울특별시에서 관측된 대류성 강우의 공간적 특성을 반영한 우량계 주변의 격자 형태 시나리오를 제작하는 방법론을 제안하였다. 연구 자료는 2019년부터 2022년까지 6월부터 9월 사이 1시간 단위의 27개 우량계와 기상청의 레이더 합성장 자료인 Constant Altitude Plan Position Indicator (CAPPI)를 활용하였다. 대류성 강우는 우량계에서 관측된 독립 호우사상을 활용하여 강우강도가 10 mm/hour 이상인 호우사상으로 정의하였다. 2019년부터 2022년까지 관측된 대류성 강우를 활용하여 우량계와 레이더 강우 자료는 격자 형태 시나리오를 제작할 수 있는 머신러닝 기반의 회귀모형을 구축하는데 활용된다. 구축된 회귀모형은 우량계를 중심으로 대류성 강우의 격자 형태 시나리오를 제작하고, 2022년 레이더 강우 자료에서 관측되었던 대류성 강우와 비교하여 평가하였다. 격자 형태 시나리오는 공간적 특성이 드러나지 못하는 우량계에서 벗어나 시·공간적 특성을 반영한 강우 시나리오를 제작할 수 있을 것으로 판단된다.
2. 연구 대상지역 및 자료
본 연구에서는 대류성 강우의 공간적 특성을 반영한 격자 형태의 강우 시나리오를 제작하는 머신러닝을 개발하고자 2019년부터 2022년까지의 서울특별시 내 종관기상관측장비(Automated Synoptic Observing System, ASOS)와 자동기상관측장비(Automatic Weather Station, AWS)에서 관측한 강우 자료와 레이더 강우 자료를 데이터로 선정하였다(Fig. 1). 본 연구에서는 1시간 단위의 강우 자료를 활용하였다(KMA, 2024). 본 연구에서 사용한 우량계 자료는 서울특별시에 포함된 ASOS 1개, AWS 26개이다(Table 1). Table 1은 연구에 활용된 지점에 대한 지형 정보와 2019년부터 2022년까지의 연간 평균 강수량을 나타내었다. 연구 대상지역의 우량계는 다양한 높이에 설치되어 있으며, 해발고도로부터 최소 11.93 m부터 시작하여 최대 267.05 m 높이에 위치한다. 서울의 연간 평균 강수량은 지역적으로 200에서 300 mm 정도 차이가 발생하는 것을 확인하였다. 대표적으로 지점번호 419번은 연간 평균 강수량이 773.50 mm로 가장 적었으며, 지점번호 406번에서 연간 평균 강수량이 1,121.90 mm에서 가장 크게 관측되었다.
Table 1.
Description of basic information about 27 rain gauge stations (i.e., ASOS and AWS) in Seoul, Republic of Korea
| Site Number | Site Name | Type | Latitude (°) | Longitude (°) | Altitude (m) | Annual Average Rainfall1) (mm) |
| 108 | Seoul | ASOS | 37.5714 | 126.9658 | 85.67 | 966.08 |
| 400 | Gangnam | AWS | 37.4982 | 127.0816 | 12.66 | 986.25 |
| 401 | Seocho | AWS | 37.4846 | 127.0260 | 33.05 | 1,066.88 |
| 403 | Songpa | AWS | 37.5115 | 127.0967 | 58.26 | 1,048.63 |
| 404 | Gangseo | AWS | 37.5739 | 126.8295 | 80.40 | 862.63 |
| 405 | Yangcheon | AWS | 37.5296 | 126.8782 | 11.93 | 919.13 |
| 406 | Dobong | AWS | 37.6661 | 127.0295 | 56.65 | 1,121.90 |
| 407 | Nowon | AWS | 37.6219 | 127.0919 | 25.30 | 968.75 |
| 408 | Dongdaemun | AWS | 37.5846 | 127.0604 | 53.96 | 985.38 |
| 409 | Jungnang | AWS | 37.5855 | 127.0868 | 39.09 | 959.88 |
| 410 | Korea Meteorological Administration | AWS | 37.4933 | 126.9174 | 44.00 | 1,037.38 |
| 411 | Mapo | AWS | 37.5517 | 126.9292 | 100.67 | 857.50 |
| 412 | Seodaemun | AWS | 37.5705 | 126.9408 | 103.08 | 922.13 |
| 413 | Gwangjin | AWS | 37.5338 | 127.0857 | 28.63 | 1,007.38 |
| 414 | Seongbuk | AWS | 37.6117 | 126.9994 | 128.62 | 1,033.25 |
| 415 | Yongsan | AWS | 37.5204 | 126.9761 | 31.73 | 925.13 |
| 416 | Eunpyeong | AWS | 37.6465 | 126.9426 | 57.00 | 961.63 |
| 417 | Geumcheon | AWS | 37.4655 | 126.9002 | 45.00 | 1,000.50 |
| 418 | Hangang | AWS | 37.5249 | 126.9390 | 10.66 | 868.63 |
| 419 | Junggu | AWS | 37.5524 | 126.9874 | 267.05 | 773.50 |
| 421 | Seongdong | AWS | 37.5472 | 127.0389 | 34.73 | 945.88 |
| 423 | Guro | AWS | 37.4933 | 126.8263 | 42.72 | 923.13 |
| 424 | Gangbok | AWS | 37.6380 | 127.0098 | 69.80 | 1,031.13 |
| 425 | Namhyeon | AWS | 37.4635 | 126.9815 | 113.00 | 1,007.75 |
| 509 | Gwanak | AWS | 37.4528 | 126.9502 | 141.64 | 1,054.38 |
| 510 | Yeongdeungpo | AWS | 37.5271 | 126.9071 | 25.38 | 917.88 |
| 889 | Seoul National Cemetery | AWS | 37.5004 | 126.9765 | 16.23 | 1,000.88 |
CAPPI는 Plan Position Indicator (PPI)를 여러 고도각으로 관측하여 일정한 고도의 수평자료를 표출한 자료이며, 낮은 고도각 자료만을 활용하는 이유로 거리가 멀어질수록 관측 고도가 높아지는 요소 때문에 정확성이 떨어지는 PPI의 단점을 보완한 자료이다(Yoo et al., 2016; Jung et al., 2024). CAPPI는 다양한 고도 중 일정한 고도의 자료만을 나타내기 때문에 레이더로부터 거리가 멀어지더라도 동일한 고도에서 강우를 관측한다는 점에서 에코의 수평적인 해석에 유용하다. 다만, 일반적으로 기상청에서 제공하는 CAPPI는 1.5 km의 고도로 설정하여 추출하기 때문에 본 연구에서 해당 데이터를 활용하였다(KMA, 2024). CAPPI의 시간 단위는 우량계의 시간 해상도와 동일하게 1시간 단위로 설정하였다. CAPPI의 공간 해상도는 500 m이다. 본 연구에서 활용한 CAPPI의 자료에 대한 공간적 범위는 위도 37.4°N-37.7°N, 경도 126.7°E-127.2°E이다. 또한, CAPPI의 기준 위경도는 위도로 38.0°N ,경도로 126.0°E임을 확인하였다. 해당 데이터를 활용하여 우량계를 중심으로 발생한 대류성 강우의 공간적 특성을 반영하고자 하였다(Fig. 1(b)). 그리하여, 본 연구에서 레이더 강우 자료는 선행연구에서 대류성 강우의 공간적 크기가 9 km2 (3 km × 3 km)라고 언급했다는 점과 레이더 강우 자료의 공간 해상도가 500 m라는 점을 참고하여 우량계를 중심으로 가까운 36개의 픽셀로 활용하였다(Peleg et al., 2018).
3. 연구 방법론
3.1 서울특별시 내 우량계 기반의 대류성 강우 정의 및 구분
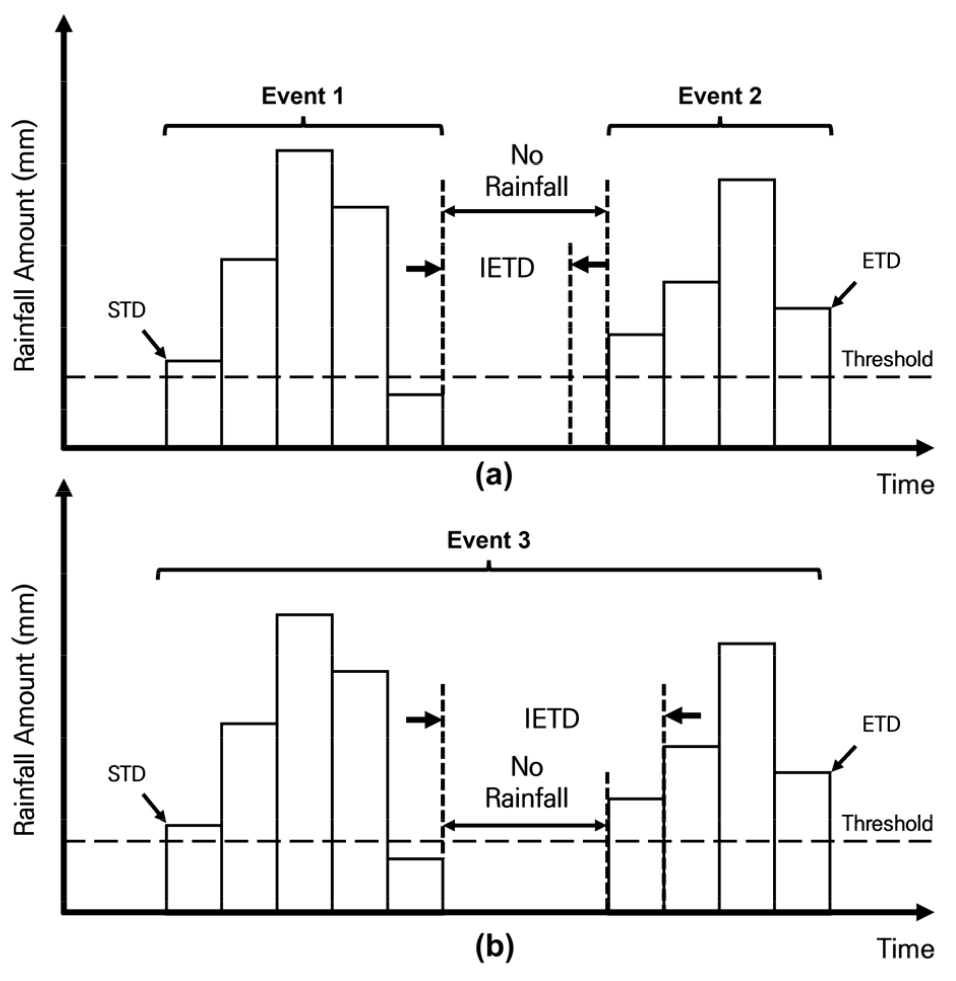
연구 대상지역의 우량계에서 관측된 강우 자료는 대류성 강우를 정의하고자 독립 호우사상으로 분리하였다. 독립 호우사상은 하나의 호우사상으로 간주될 수 있는 특징을 가지는 호우사상으로 정의된다(Restrepo-Posada and Eagleson, 1982; Cha et al., 2024). 독립 호우사상에 대한 구성요소와 이를 분리하는 조건은 부록에 있는 Fig. 10를 통해 확인 가능하다. 독립 호우사상은 우량계를 통해 분리되면, 호우사상의 시간분포에 대해 우량주상도를 이용하여 표현할 수 있다. 이를 구성하는 요소는 시점(Start Time Definition, STD), 종점(End Time Definition, ETD), 지속기간(duration), 총 강우량 및 강우강도 등이 있다. 독립 호우사상은 조건에 따라 다르게 분리되는데, 조건으로는 무강우 기간(InterEvent Time Definition, IETD), 절단 값(threshold) 등이 있다.
독립 호우사상을 분리하기 위한 조건은 IETD를 2시간, 절단 값을 0.5 mm으로 설정하였다. 독립 호우사상은 STD를 기준으로 절단 값보다 발생한 강우량이 크다면, 독립 호우사상의 첫 시점이라고 정의한다. 이후, 무강우 기간과 IETD을 서로 비교하여 독립 호우사상을 분리하는 과정을 거친다. Fig. 10(a)는 무강우 기간이 IETD보다 긴 조건이며, Fig. 10(b)는 무강우 기간이 IETD보다 짧은 조건을 간략한 예시로 보여준다. 이를 통해, 같은 강우 상황임에도 불구하고 IETD의 조건 설정에 따라 독립 호우사상의 분리되는 형태가 다르다는 것을 보여준다. IETD는 과거 대류성 강우에 대한 특성을 독립 호우사상으로 살펴본 선행연구를 참고하여 결정하였다(Bezak et al., 2016). 독립 호우사상은 제안된 조건에 적합하게 서울특별시 내 존재하는 우량계의 강우 자료를 활용하여 분리하였다. 다양한 선행연구에서 대류성 강우를 구분하는 조건을 강우강도로 정의하였으며, 일반적으로 10 mm/hour 이상을 대류성 강우로 구분하였다(Rigo and Llasat, 2004; Kyznarová and Novák, 2009; Barnolas et al., 2010; Penide et al., 2013; Gatidis et al., 2024). 따라서 본 연구에서는 선행연구 기반의 대류성 강우를 구분하는 기준을 적용하였다.
이후, 대류성 강우는 우량계에서 관측한 독립 호우사상을 활용하여 구분하였다. 격자 형태의 강우 시나리오를 제작할 수 있는 모형을 제작하기 전, 구분된 대류성 강우에 대한 특성을 확인하였다(Table 2). 대류성 강우에 대한 특성은 서울특별시 내 총 27개의 우량계에서 2019년부터 2022년까지 관측된 대류성 강우를 통해 계산하였다.
Table 2.
Characteristics of convective rainfall observed at stations in Seoul from 2019 to 2022
결과를 살펴보면, 서울특별시에서 발생한 대류성 강우의 개수는 총 594개이며, 이는 독립 호우사상을 기준으로 연간 평균 149번의 대류성 강우가 서울특별시에서 발생하고 있다는 것을 확인하였다. Table 2를 살펴보면, 대류성 강우는 다른 연도에 비해 2022년에 가장 많이 발생하였다. 2022년도에 발생한 대류성 강우의 총 강우량과 지속기간은 다른 연도에 비해 크거나 길다는 특징도 나타났다. 다만, 평균 강우강도는 2021년에 발생한 대류성 강우가 다른 연도에 비해 크다는 것을 알 수 있었다.
다음, 우량계 주변의 대류성 강우에 대한 공간분포를 적용하기 위해 대류성 강우가 발생한 시기의 우량계를 중심으로 가까운 36개의 합성장 자료를 활용하였다(Fig. 2). 이렇게 구축된 합성장은 우량계를 중심으로 주변에 발생한 대류성 강우의 공간적 분포를 반영한 독립된 강우장을 의미한다. 합성장은 전반적인 대류성 강우의 공간적 분포에 대한 특성을 잘 반영하기 위해 잡음을 제거하여 학습 모형을 제작하였다. 강우 레이더에서 나타난 잡음은 가우시안 필터(Gaussian Filter)를 적용하여 제거하였다. 가우시안 필터는 가우시안 함수 형태의 커널을 사용하여 신호나 이미지를 부드럽게 만드는 저역통과 필터이다(D’Haeyer, 1989; Shin et al., 2005). 해당 방법은 노이즈 제거에 특화적이며 가우시안 분포를 기반으로 한 커널을 사용하여 주변 픽셀 값들의 가중 평균을 계산한다. 가우시안 함수는 아래의 공식과 같다(Eq. (1)).
여기서, 는 가우시안 함수의 값을 의미하며, 특정 좌표 에서의 가우시안 분포에 따른 가중치를 계산하는 공식을 뜻하기도 한다. 𝜎는 표준편차를 의미한다. 해당 값은 필터의 스무딩 정도를 결정하는데, 값이 클수록 넓은 범위의 픽셀을 고려하고 값이 작을수록 국소적인 영역에 적용하여 노이즈를 제거하게 된다.
여러 표준편차를 적용하여 가우시안 필터로 보정된 레이더 자료와 실제 레이더를 비교하였다. Fig. 11는 가우시안 필터로 보정된 레이더 자료가 연구에 활용하기 적합한 표준편차를 산정하기 위해 공간적 유사성이 비교 가능한 피어슨 상관계수(Pearson Correlation)와 노이즈 수준을 정량적으로 보여줄 수 있는 고주파 성분 비율(High Frequency Ratio)을 산출하였으며, 이를 보여주는 결과이다. 가우시안 필터가 적용된 레이더 자료를 중심으로 제작된 격자 형태의 강우 시나리오가 왜곡되지 않도록 공간적 분포가 유사하고 노이즈가 적은 표준편차를 선정하였다. 피어슨 상관계수는 두 변수 간 선형 관계의 강도와 방향을 나타내며, -1에서 1 사이의 값을 갖는다. 값이 1에 가까울수록 자료 간 유사성이 높음을 의미한다. 고주파 성분 비율은 자료 내 변화의 불규칙성을 나타내는 지표로, 값이 높을수록 노이즈가 많음을 의미한다. 분석 결과, 일반적으로 표준편차가 증가함에 따라 고주파 성분 비율은 일정 수준에서 감소하는 경향을 보였다. 그에 따라, 피어슨 상관계수는 0.9 이상을 유지하면서 고주파 성분 비율이 적절히 감소하는 표준편차를 16으로 설정하여, 보정된 자료를 구축하였다. 해당 자료를 기반으로 대류성 강우의 공간적 특성을 반영한 격자 형태의 강우 시나리오를 생성하였으며, 이를 회귀모형의 출력자료로 활용하였다.
3.2 대류성 강우의 격자 형태 시나리오 제작을 위한 머신러닝 모형 개발
자료 구축 이후, 우량계에서 관측된 강우 자료만을 활용하여 대류성 강우의 공간적 분포 특성이 반영된 격자 형태의 강우 시나리오를 제작할 수 있는 머신러닝 모형을 개발하였다(Fig. 3).
모형 개발의 순서는 다음과 같다. 1) 2019년부터 2021년까지의 대류성 강우를 활용하여 격자 형태를 제작할 수 있는 머신러닝을 위해 필요한 학습 자료를 구축하였다. 2) 격자 형태의 시나리오를 제작할 수 있는 회귀모형을 제작하였다. 3) 2022년 대류성 강우 기간 동안 발생한 우량계 관련 정보를 구축하였다. 4) 2022년 대류성 강우 관련 정보는 제작한 회귀모형에 적용하여 격자 형태의 강우 시나리오를 제작하였다. 5) 2022년 대류성 강우 기간 동안 레이더를 통해 관측된 강우 자료와 제작된 격자 형태의 강우 시나리오와 비교하여 결과를 분석하였다.
학습 자료는 우량계가 위치한 위도, 경도, 우량계를 중심으로 36개의 레이더의 강우 자료 및 격자와의 거리, 그리고 시간과 관련된 변수였다. 우량계가 위치한 위도와 경도에 대한 정보는 기상청에서 제공하고 해당 정보를 입력자료로 활용하였다. 사용한 이유는 지점별로 구분하고자 하였다. 우량계의 위, 경도를 중심으로 가까운 36개의 레이더 격자와의 거리는 유클리드 거리를 활용하여 계산하였다(Danielsson, 1980; Gower, 1985). 유클리드 거리는 계산하는 위도에 따라 km로 보정하는 수치가 다른데, 중위도의 경우, 142.05 km를 곱하여 단위 변환을 실시하였다(Eq. (2)).
여기서, Dist.는 우량계의 위치를 중심으로 레이더 격자의 중심과의 거리를 의미한다. ∆Lon와 ∆Lat은 레이더 격자 간 우량계의 위도와 경도 사이의 차이 값을 의미한다. 우량계와 레이더 격자와의 거리를 입력자료로 사용한 이유는 거리에 따라 추정되는 강우강도의 값이 다르다는 점을 반영하고자 활용하였다. 시간 관련 변수는 시간의 변동성을 고려하고자 대류성 강우가 발생한 시점을 0이라 설정하고, 대류성 강우가 끝나는 시점까지 1씩 더하여 추가하였다. 예를 들어, 대류성 강우가 지속기간이 3시간이면 대류성 강우가 발생한 시점이 0이고, 대류성 강우가 끝나는 시점은 2로 설정하였다. 다음, 구축한 자료는 학습 자료와 테스트 자료를 무작위로 80%: 20%로 구분하여 특정한 패턴을 가진 대류성 강우에만 치우치지 않도록 회귀모형의 머신러닝에 적용하였다. 머신러닝은 학습 자료를 통해 우량계의 위치 정보, 격자와의 거리, 시간 관련 변수를 활용하여 36개의 레이더 격자에서 관측된 강우 자료와 학습시킨다. 본 연구에서 활용한 머신러닝은 그래디언트 부스팅(Gradient Boosting), 랜덤 포레스트(Random Forest), 엑스트라 트리(Extra Trees), 다층 퍼셉트론(Multi- Layer Perceptron) 회귀모형으로 활용하였다.
이후, 학습된 회귀모형은 2022년 발생하였던 대류성 강우 기간 동안 우량계에서 관측된 강우 자료, 우량계를 중심으로 주변 36개 레이더 격자와의 거리, 우량계가 위치한 위도, 경도, 시간의 순서에 대한 정보를 구축하였다. 2022년 대류성 강우와 관련된 자료는 구축된 머신러닝 모형에 적용하여 격자 형태의 강우 시나리오를 제작하였다. 이후, 레이더 강우 자료와 격자 형태의 강우 시나리오에 대한 공간적 분포를 비교하기 위해 강우강도의 값을 고려하지 않고 자료를 최소, 최대 정규화하였으며, 2022년 대류성 강우가 발생한 모든 호우사상을 활용하여 비교 및 평가하였다. 평가 방법은 각 우량계를 중심으로 레이더 강우 자료 및 강우 시나리오 내 격자와의 위도와 경도 차이를 계산하고, 위도와 경도의 차이에 따라 위치한 강우강도의 정규화된 값을 전부 평균하여 산출하였다. 이후, 3차 스플라인(Cubic Spline)을 활용한 보간 방법을 채택하여, 대류성 강우 내 공백 부분을 채우고 시각화를 유용하게 하였다. 마지막으로 제작된 격자 형태의 강우 시나리오와 2022년 실제 대류성 강우가 발생했던 기간 동안의 레이더 강우 자료와 비교하여 모델에 대한 성능을 평가하였다.
4. 적용 결과 및 토의
4.1 머신러닝 모형의 성능 평가
본 연구에서는 서울특별시 내 우량계 자료를 활용하여 2019년부터 2021년까지 발생한 대류성 강우의 공간적 특성을 반영한 강우 시나리오가 제작 가능한 머신러닝 모형을 구축하였다. 구축한 머신러닝 모형에 대한 성능은 평가지표를 활용하여 산출하였다. 본 연구에서 활용된 평가지표는 총 4가지로 피어슨 상관계수(Pearson Correlation), 평균 절대 오차(Mean Absolute Error, MAE), 평균 제곱근 오차(Root Mean Squared Error, RMSE), 평균 편향 오차(Mean Bias Deviation, MBD)로 구성하였다.
MAE는 예측 값과 실제 값 간의 평균적인 오차의 크기를 측정하며, 오차의 방향과 관계없이 절대적인 차이를 평균한 결과를 보여준다. RMSE는 예측 값과 실제 값의 차이를 제곱하여 평균을 구한 후, 그 평균의 제곱근을 취한 값을 의미한다. MBD는 예측 값이 실제 값보다 과대 또는 과소 평가되는 경향성을 보여준다. MBD의 값이 0에 가까울수록 모델이 과대 및 과소 평가를 하지 않음을 의미한다. 2019년부터 2021년까지 서울특별시에서 발생한 대류성 강우의 자료를 활용하여 제작된 머신러닝 모형은 앞서 제안한 평가지표를 통해 성능을 평가하였다.
평가지표는 제작된 머신러닝 모형에 테스트 자료를 적용하여 제작된 격자 형태의 시나리오와 실제 관측된 레이더 강우 자료와의 비교를 통해 계산된 결과이다(Table 3). Table 3를 확인하면, 전반적으로 그래디언트 부스팅에 대한 성능평가가 다른 모형들에 비해 비교적 좋다는 것을 확인하였다. 그와 반대로, 엑스트라 트리 회귀모형은 성능평가를 통해 다른 모형에 비해 비교적 정확하지 않게 나타났다. MBD의 결과를 확인하면, 전반적으로 제작된 회귀모형은 레이더 강우 자료보다 제작된 격자 형태의 강우 시나리오가 과소 평가되고 있다는 것을 확인하였다. 각 구축된 모델을 기반으로 2022년의 대류성 강우에 대해서 적용하였고, 적용한 결과에 대한 성능 평가를 실시하였다(Table 4).
Table 3.
Comparison of evaluation metrics for models using 2019- 2021 convective rainfall data
Table 4.
Comparison of evaluation metrics for models using 2022 convective rainfall data
전반적으로 결과를 살펴보면, 엑스트라 트리 회귀모형은 그 전의 결과와 동일하게 성능이 비교적 부족한 모델임을 확인하였다. 다만, 2019년부터 2021년 자료를 통해 평가된 성능과는 다르게 2022년 자료를 활용하여 성능을 평가한 결과에서 다층 퍼셉트론이 다른 모형들에 비해 현저하게 정확성이 높다는 것을 확인하였다. 다층 퍼셉트론 기반의 회귀모형을 제외한 모형들은 MBD를 통해 레이더 강우 자료보다 과대 평가되고 있다는 것을 확인하였다.
4.2 격자 형태로 생성된 강우 시나리오에 대한 정량적 평가
본 절에서는 서울특별시 내 존재하는 우량계에서 관측된 강우 자료, 레이더에서 관측된 강우 자료와 머신러닝 모형에 따라 제작된 격자 형태의 강우 시나리오 간의 비교를 통해 강우강도의 크기를 비교 및 평가하고자 한다. Fig. 4는 대류성 강우가 발생했던 시간에 서울특별시 내 각각 우량계에서 관측된 강우강도와 그에 상응하는 주변 36개 레이더 격자에서 관측된 평균 강우강도와의 일대일 비교를 통해 산출된 결과이다. 그림 내 빨간 선은 평등선(Line of Equality)을 의미하며, 초록 선은 우량계에서 관측된 자료와 레이더 강우 자료를 상수항 없이 선형회귀하여 도출한 회귀식(Ordinary Least Squares, OLS)을 의미한다.
전반적으로 레이더 강우 자료에서 관측된 강우강도는 우량계에서 관측된 강우강도보다 작게 관측되었다. 특히, 우량계에서 관측된 강우강도가 커질수록 레이더에서 관측되는 강우 자료가 비교적 과소 추정하고 있었다. 평가지표를 기준으로 결과를 살펴보면, 피어슨 상관계수는 0.79로 비교적 높은 양의 상관관계를 나타냈다. 상수항 없이 선형회귀식을 산출한 기울기는 0.57로 우량계에서 관측되는 강우강도에 비해 레이더에서 관측되는 강우강도의 값이 약 60% 정도 과소 추정 된다는 것을 확인하였다.
Fig. 5는 4개의 모델을 활용하여 제작된 2022년에 대한 격자 형태의 강우 시나리오와 우량계에서 관측된 자료와 서로 비교한 결과이다. 전반적으로 결과를 살펴보면, 4개의 모델은 우량계에 비해 강우강도가 작게 추정하여 시나리오를 제작하였다. 다만, 4개의 모델은 우량계 자료와 비교적 높은 양의 상관관계를 가지고 있다는 것을 확인하였다. 이는, 전반적으로 우량계의 자료와 제작된 격자 형태의 시나리오 간의 연관성이 강하며, 강우강도의 경향성이 비슷한 추세를 보인다는 것을 의미한다. 특히, 다층 퍼셉트론을 통해 제작된 시나리오는 피어슨 상관계수의 값이 0.99로 우량계 자료에 상당히 의존적인 형태임을 확인하였다. 제작된 시나리오는 전반적으로 우량계에서 관측된 강우 자료보다 절반 정도 혹은 그 아래의 값으로 산정되었다.
다음, 2022년 기간 동안 4개 모델을 활용하여 제작된 격자 형태의 시나리오와 레이더에서 관측된 대류성 강우와의 평균 강우강도를 비교하였다(Fig. 6). 전반적으로 레이더에서 관측된 자료의 강우강도보다 모형을 통해 제작된 격자 형태의 시나리오의 평균 강우강도가 비교적 작게 산출되었다. 다만, 우량계에서 관측된 자료보다는 비교적 강우강도의 값이 비슷하였다. 피어슨 상관계수를 통해 결과를 확인하면, 우량계에서 관측된 자료에 비해 상관계수 값이 작지만 4개의 모형은 높은 양의 상관계수가 산출되었다. 선형 회귀식을 통해 결과를 살펴보면, 레이더 강우 자료보다 80% 정도 과소 추정하였다. 이에, 제작되는 격자 형태의 강우 시나리오는 실제 자료들보다 비교적 과소 추정한다는 결과를 확인하였으며, 양의 상관관계를 통해 비슷한 경향성을 보여주었다.
다음, 우량계를 중심으로 격자 간의 거리에 따라 우량계에서 관측되는 강우 자료와 레이더 강우 자료 및 격자 형태와의 시나리오를 서로 비교하여 평가하고자 한다(Fig. 7). 본 연구에서는 우량계를 중심으로 0.5 km 간격마다 평가지표를 확인하였고, 0-0.5 km, 0.5-1.0 km, 1.0-1.5 km, 1.5-2.0 km, 2.0 km 이상으로 설정하였다. 먼저, 레이더 강우 자료와 우량계에서 관측된 강우강도끼리 비교한 결과를 살펴보면, 거리에 따라 평가지표의 값이 크게 다르진 않지만 거리가 멀어질수록 우량계에서 관측되는 강우강도와의 유사성이 떨어진다는 것을 확인하였다.
다만, 다층 퍼셉트론은 1.5-2.0 km 사이에서 제작된 강우강도가 우량계에서 관측된 강우강도와 가장 유사성이 떨어졌다. 이는 레이더 강우 자료를 기반으로 살펴본 결과에서 MBD를 중심으로 이와 유사한 특성의 결과가 나타났다. MAE와 RMSE를 중심으로 우량계와 가장 유사한 강우강도를 도출하는 모델은 그래디언트 부스팅이며, MBD를 기준으로 엑스트라 트리가 우량계의 강우강도와 가장 유사하다는 것을 알 수 있었다. MBD의 결과로 살펴보면, 레이더 강우 자료의 평가지표와 유사한 모형은 다층 퍼셉트론임을 확인하였다.
4.3 격자 형태로 생성된 강우 시나리오에 대한 공간적 분포 평가 및 분석
2022년 대류성 강우가 발생한 동안 레이더 강우 자료와 회귀모형을 기반으로 제작된 강우 시나리오 간 공간적 분포에 대한 유사성을 확인하였다(Fig. 8). 레이더 강우 자료는 강우의 공간적 분포가 연속적인 자료이지만, 본 결과의 경우, 레이더 중심점과 우량계의 위도와 경도와의 차이를 활용하였기에 불연속적인 형태로 나타났다.
Fig. 8의 결과를 확인하면, 다층 퍼셉트론 기반의 회귀모형을 통해 제작된 격자 형태의 강우 시나리오는 다른 회귀모형을 통해 제작된 강우 시나리오의 공간 분포와는 다른 형태를 보여주었다. 전반적으로 다층 퍼셉트론을 제외한 모형들의 결과는 우량계를 중심으로 남쪽 영역에서의 강우강도가 특히 과소 추정되는 결과를 나타내었으나 전반적인 경향성이 비슷하게 나타나는 것을 확인할 수 있었다. 그와는 다르게, 다층 퍼셉트론 기반의 회귀모형의 결과는 우량계를 중심으로 가까운 부근에서 강우강도가 크게 산출되는 반면, 우량계와 멀어질수록 비교적 강우강도가 과소 추정되는 형태를 보였다. 이는 레이더 강우 자료에서 보여주는 공간적 분포와도 다른 특징이 나타났다.
공간적 분포의 유사성에 대한 분석을 위하여 정량적인 지표를 활용하여 분석하였다. 분석에 활용된 평가지표는 정규화된 상관계수(Normalized Cross-Correlation, NCC), 평균 절대 오차, 평균 제곱근 오차, 그리고 구조적 유사성 지표(Structural Similarity Index Measure, SSIM)을 고려하였다(Table 5). 정규화된 상관계수는 정규화된 자료 간의 피어슨 상관계수를 적용하여 공간적 유사성을 살펴볼 수 있는 평가지표이다. 피어슨 상관계수와 동일하게 1에 가까울수록 공간적 분포가 유사하다는 것을 의미한다. 구조적 유사성 지표는 두 2차원 배열의 구조적 유사성을 비교하며, 사람의 시각적 인식인 밝기, 대비, 구조적 정보 등을 수치적으로 모델링하여 비교하는 지표이다(Eq. (3)).
여기서, A와 B는 레이더 강우 자료의 배열과 격자 형태의 강우 시나리오에 대한 배열을 의미한다. , 는 각 데이터의 평균, , 는 자료의 분산을 의미한다. 는 두 자료를 합친 공분산을 보여주며, , 는 분모가 0이 되지 않도록 하는 작은 상수를 의미한다. 해당 지표는 1에 가까울수록 두 자료가 유사하다는 것을 보여준다.
Table 5.
Evaluation metrics for similarity of spatial distribution during convective rainfall in 2022
분석 결과, 회귀모형을 통해 제작된 시나리오는 레이더 강우 자료와의 공간적 유사성이 전반적으로 떨어졌다. 엑스트라 트리 모형을 통해 제작된 강우 시나리오는 다른 회귀모형을 통해 제작된 강우 시나리오에 비해 레이더 강우 자료와 공간적으로 비교적 유사하였다. 다음으로 랜덤 포레스트, 그래디언트 부스팅, 다층 퍼셉트론 순으로 공간적으로 유사성이 높다는 것을 알 수 있었다. 다만, 대류성 강우가 발생한 전체 기간에 대한 공간분포의 유사성을 평균한 결과이기에 정확한 평가가 어렵다. 이에, 대류성 강우가 발생한 특정 시기에 대한 평가를 위해 분석을 실시하였다.
특정 시기에서 발생했던 호우사상에서 관측한 레이더 강우 자료와 회귀모형에서 산출된 격자 형태의 강우 시나리오와 비교하였다. 본 연구에서는 다층 퍼셉트론을 활용하여 제작된 강우 시나리오를 활용하여 평가하였으며, 이외의 모델에 대한 결과는 Fig. 12에서 확인 가능하다. 활용한 호우사상은 대류성 강우가 발생한 2022년 8월 8일 오전 10시부터 2022년 8월 9일 오후 10시까지 1시간 단위로 관측되었던 기간을 활용하였다. 강우 시나리오를 제작하고자 서울특별시 내 존재하는 28개 우량계 관련 강우 자료를 기반으로 격자 형태의 강우 시나리오를 제작하였다(Fig. 9).
Fig. 9은 2022년 8월 8일 발생했던 특정 시기에서 관측된 레이더 강우 자료와 다층 퍼셉트론을 통해 제작된 강우 시나리오를 보여준다. Figs. 9(a) and 9(b)는 가우시안 분포를 적용한 레이더 강우 자료이며, 각각 서울특별시 전체와 강우 시나리오와의 동일한 격자에 해당하는 레이더 강우 자료를 표현한 자료이다. Fig. 9(c)는 다층 퍼셉트론을 통해 제작된 격자 형태의 시나리오를 의미한다. 동시에, Figs. 9(b) and 9(c)는 우량계에서 관측된 강우강도와 레이더 강우 자료 및 강우 시나리오를 서로 비교하고자 우량계에서 관측한 강우 자료를 표현하였다.
Figs. 9(b) and 9(c)를 비교하면, 서울특별시의 남쪽 지역에서 레이더 강우 자료 및 강우 시나리오와 비슷하게 큰 강우강도 값을 보여주는 것을 알 수 있었다. 다만, 레이더 강우 자료와의 공간적 분포에 대한 유사성은 비교적 부족하다는 것을 확인하였다. 우량계와 비교해 보면, 레이더 강우 자료 및 강우 시나리오의 강우강도는 우량계에서 관측된 강우 자료에 비해 비교적 과소 추정되는 모습을 보여주었다. 특히, 서울특별시를 기준으로 남동쪽 부분은 우량계에서 강우강도가 크게 관측되는 반면, 레이더 강우 자료에서 비교적 과소 추정되는 형태가 나타났다.
마지막으로 해당 호우사상 기간 동안 다층 퍼셉트론을 통해 제작된 격자 형태의 시나리오와 시나리오와 동일한 격자 내에 위치한 레이더 강우 자료 간의 유사성을 평가지표를 통해 평가하였다. 평가지표는 1시간 단위의 레이더 강우 자료와 강우 시나리오 간의 유사성을 비교하여 산출한 통계값을 평균하여 결과를 확인하였다. 그 결과, MAE는 3.38 mm/hour, RMSE는 4.08 mm/hour로 강우강도의 측면에서 큰 차이가 있지는 않지만, 상관계수는 0.45로 비교적 약한 양의 상관관계를 보여주었다. 또한, MBD는 -0.22 mm/hour라는 결과를 통해 다소 강우 시나리오가 과소 추정된다는 것을 확인하였으며, 이를 통해 추후 강우 시나리오 제작의 회귀모형에 대한 고도화가 일부 필요하다는 것을 알 수 있었다.
5. 결 론
본 연구에서는 서울특별시를 중심으로 발생한 대류성 강우의 공간적 특성을 반영한 격자 형태의 강우 시나리오를 제작하기 위해 머신러닝 기반의 회귀모형을 구축하였다. 회귀모형을 제작하기 위해 연구 자료는 2019년부터 2022년까지의 서울특별시 내 우량계에서 관측된 강우 자료와 레이더 합성장 자료를 활용하였다. Peleg et al. (2018)을 비롯한 다양한 선행연구에서 제안한 대류성 강우의 구분과 공간적 범위를 통해 회귀모형의 개발로 활용할 입, 출력 자료를 구축하였다. 해당 자료를 활용하여 머신러닝 기반의 회귀모형을 제작하였으며, 회귀모형을 활용하여 제작한 강우 시나리오를 비교 및 평가하였다. 그 결과, 회귀모형의 성능은 상관계수가 0.6 이상, RMSE가 3-5 mm/hour 사이로 나타났으나, 레이더 강우 자료를 기준으로 공간적 유사성 측면에서 부족한 성능을 보여주었다. 다만, 본 연구에서 제안한 방법론은 서울특별시와 같이 도시의 소규모 유역에서 발생하는 대류성 강우를 중심으로 강우의 공간 보간 방법을 제안했다는 점과 머신러닝 중심의 방법론에서 다른 선행연구와의 차별점을 가진다.
본 연구에서 제안한 회귀모형은 우량계를 통해 관측된 강우 자료의 단점 중 하나인 공간적 특성을 보여주지 못한다는 점을 보완할 수 있는 방법론으로 활용될 수 있다. 제안한 회귀모형은 관측 공백을 해소하기 위한 기존의 방법론에서 단순한 통계적 접근에 벗어나 레이더 자료를 활용한 방법론을 제안했다는 점에서 다른 선행연구와는 차별점을 가지고 있다고 판단된다. 본 방법론을 통해, 레이더 자료를 대체하는 정도의 성능은 아니지만, 일종의 사유로 인해 관측되지 않은 순간의 공간적 특성이 반영된 강우 자료로 활용이 가능할 것으로 사료된다. 또한, 레이더를 설치하기 힘든 특정 지역에 우량계가 설치되어 있는 경우, 레이더에서 관측되는 공간적 특성을 반영한 격자 형태의 강우 자료를 제작할 수 있을 것으로 판단된다.
본 연구에서 제작된 회귀모형은 학습하는 과정에서 평가한 모델의 성능은 비교적 준수하나, 레이더에서 관측된 강우 자료의 공간적 특성과 비교적 유사하지 않다는 것이 한계점이라고 판단된다. 학습된 회귀모형을 통해 제작된 강우 시나리오는 비교적 강우강도가 과소 추정되는 것도 한계점이었다. 지형 및 고도에 영향을 받는 강우와 레이더 자료의 특성상 이를 고려하지 않았다는 점과 학습하는 과정에서 회귀모형의 매개변수도 중요하나, 이를 고려하지 않았다는 점도 한계점이라 판단된다. 추후 연구에서는 한계점을 참고하여 보다 고도화된 방법론을 제안하고자 한다.














