1. 서 론
2. 자료와 방법
2.1 실험설계
2.2 분석방법
3. 결 과
3.1 지면기후장 생성실험(Recursive 10 year loop experiment)
3.2 초기장 생성실험(Restarted experiment)
4. 요약 및 결론
1. 서 론
지면은 대기와 물, 에너지를 교환하면서 상호작용하므로 일기 및 기후시스템에서 필수적이며 수치모델링에서 중요한 지면조건을 제공한다(Orth et al., 2017). 에너지와 수분을 저장하고 있는 지면조건의 현실화는 수치모델의 기상예측 성능을 결정하는 한 요소이며(Santanello et al., 2018), 대기와 상호작용하여 구름, 강수를 포함하는 다양한 기상과정과 열파와 같은 대기의 극한현상에 영향을 준다(Fischer et al., 2007; Santanello et al., 2011). 특히, 토양수분은 물순환과 관련하여 대기에 영향을 주는 가장 주요한 지면조건 중의 하나이다(Dirmeyer, 2011). 토양수분은 대기강제력으로부터 야기된 아노말리를 축적하여 이를 수주에서 수개월 동안 유지하는 특성(memory)이 있으며, 유출(runoff), 증발산, 지상기온과 습도를 조절하는 역할을 하면서 하층구름과 강수에 그 영향을 되돌려준다(Dharssi et al., 2011; Orth, 2013).
이러한 날씨 또는 기후 규모에서의 지면-대기 상호작용을 고려하기 위해 수치예보모델에서는 지면모델(Land Surface Model, LSM)을 결합하여 활용하고 있다(Chen et al., 1996; Koster and Saurez, 1996; Koster et al., 2000; Best et al., 2011; Niu et al., 2011; Smirnova et al., 2016). LSM은 대기로부터 주어진 강제력에 따라 지표의 에너지와 물 플럭스를 계산하고, 이 결과를 다시 대기모델의 지면 경계조건으로 제공한다. LSM은 설정된 지표특성 변수 및 물리과정 등에 의해 고유의 기후특성을 가지고 있는데, 이를 제대로 구현하기 위해서는 토양수분과 토양온도 등과 같은 진단변수들이 해당 LSM의 기후변동범위에서 안정화되는 과정이 필요하다. 이 과정을 스핀업(Spin-up)이라 부르며, 특히 토양수분과 같이 느리게 변하는 변수의 안정화에 대해 다양한 연구들이 시도된바 있다(Yang et al., 1995; Cosgrove et al., 2003; Rodell et al., 2005; Kumar et al., 2012; Lim et al., 2012; Seck et al., 2015; Santanello et al., 2016).
Cosgrove et al. (2003)은 북미지역을 대상으로 서로 다른 기후에 따라 스핀업 실험을 수행한 결과, 토양수분이 상대적으로 스핀업 속도가 느리며, 증발산량과 토양온도는 비교적 빠르게 안정화되는 결과를 보였다. Rodell et al. (2005)은 10가지 스핀업 방안을 비교하였으며, 초기 토양수분 조건(10, 30, 70%)이나 스핀업을 수행하는 기간(1년, 15년 평균 대기강제력, 15년 강제력 시계열), 공간해상도에 따른 스핀업 차이 등을 분석하였다. 제한된 자료와 자원을 고려하였을 때, 중간 수준(30%)의 토양수분에서 15년 연속된 대기 강제력자료를 사용한 스핀업 실험이 가장 현실적인 지면모델의 초기조건을 산출한다고 하였다. 또한, Rodell et al. (2005)은 많은 연구들에서 사용되는 1년 대기 강제력을 이용하여 반복수행하는 스핀업 방법에서는 특정 연도의 기후 아노말리가 지면상태에 과도하게 축적되기 때문에, 다년의 강제력 자료를 활용한 스핀업의 중요성을 강조하였다. 동아시아지역을 대상으로 한 Lim et al. (2012) 연구에서는 건조지역은 스핀업에 2∼3년, 습한지역은 3개월정도 소요됨을 보였고, 동일한 모델 기반의 초기조건을 사용하더라도 스핀업이 필요하다고 하였다.
기상청은 새로운 전지구수치예보시스템(Global Data Assimilation Prediction System Korean Integrated Model, GDAPS-KIM)을 개발하고 운영 중에 있다. 본 연구에서는 수 일 이상의 중기예보를 위한 GDAPS-KIM의 지면모델인 Noah LSM의 안정화된 초기조건 산출을 위한 사전작업으로, Noah LSM의 스핀업 특성을 분석하고, 안정화된 초기조건을 생산하기 위한 기반을 구축하고자 하였다. 이를 위하여 지면활용도와 기후지역에 따라 LSM 스핀업 특성과 안정화 과정을 분석하였다.
2. 자료와 방법
2.1 실험설계
본 실험에서는 오프라인 Noah LSM의 모델링이 가능한 National Aeronautics and Space Administration (NASA)의 Land Information System (LIS; Kumar et al., 2006; Peter-Lidard et al., 2007) 7.2버전을 사용하였다. LIS는 지면정보 생산을 위한 전처리, 지면정보생산, 검증을 수행하는 시스템이다. 사용된 지면모델은 Noah LSM 3.3 (Mitchell, 2005)으로 토양 수문역학(Soil hydrodynamic; Mahrt and Pan, 1984), 펜만 잠재 증발산량(Penman potential evaporation; Mahrt and Ek, 1984), 토양 열역학(Soil thermodynamic; Pan and Mahrt, 1987), 캐노피 저항(Canopy resistance; Chen et al., 1996), 지표침투(Surface infiltration; Schaake et al., 1996), 설원과 동토(Snowpack and frozen ground; koren et al., 1999), 지표밑 열플럭스(Subsurface heat flux; Peters-Lidard et al., 1997) 등이 고려되었다(Table 1).
Table 1. Description of Noah LSM3.3 physics
| Physics | Reference |
| Soil hydrodynamic physics | Mahrt and Pan (1984) |
| Stability-dependent Penman potential evaporation | Mahrt and Ek (1984) |
| Soil thermodynamic physics | Pan and Mahrt (1987) |
| Time-integration scheme | Kalnay and Kanamitsu (1988) |
| Canopy resistance | Chen et al. (1996) |
| Surface infiltration | Chen et al. (1997) |
| Surface-layer turbulence | Chen et al. (1997) |
| Bare soil evaporation and vegetation greenness | Betts et al. (1997); Gutman and Ignatoy (1998) |
| Snowpack and frozen ground | Koren et al. (1999); Livneh et al. (2010) |
| Subsurface heat flux | Peters-Lidard (1998); Chang et al. (1999) |
오프라인 LSM에 사용된 대기강제력은 National Centers for Environmental Prediction (NCEP)의 Global Data Assimilation System (GDAS) 대기분석장이다. 기간은 2008∼2017년으로 지상기온, 비습, 단파복사, 장파복사, 동서/남북 바람, 지상기압, 강수량, 강설량을 이용하였다. 시간해상도는 3시간 간격이며 공간해상도는 0.25°×0.25°이다. 자료는 LIS의 대기강제력 전처리 시스템을 통해 시간과 공간내삽이 수행된다. 시간내삽은 모델 적분시간 간격에 따라 수행되며 특히 단파복사의 경우 태양고도(Zenith angle)를 고려하여 내삽된다. 모의된 LSM 분석장 검증에 사용된 지면정보는 NASA의 Gobal Land Data Assimilation System (GLDAS; Beaudoing and Rodell, 2016; Rodell et al., 2004; Rodell et al., 2005)의 토양수분, 지표기온, 증발산량이다.
토양수분의 초기값은 Rodell et al., (2005)을 참고하여 0.3 m3m-3(Rodell et al., 2005)으로 설정하였으며, 토양층은 총 4개층으로 각각 0.1, 0.3, 0.6, 1.0 m 두께이다. 본 연구에서는 13개로 분류된 Advanced Very High Resolution Radiometer (AVHRR; Fig. 1) University of Maryland (UMD) 지면피복 자료(Hansen et al., 2000)와 더 세분화되어 20개로 분류된 Moderate Resolution Imaging Spectroradiometer (MODIS; Fig. 2) International Geosphere-Biosphere Program (IGBP) 지면피복 자료(Sulla-Menashe and Friedl, 2018)를 전구영역의 LSM 모의에 적용하고 특성을 비교하였다. MODIS IGBP 지면피복은 AVHRR UMD에 비해 육지에서 물과 관련된 지역과 빙하로 세분화된다는 장점이 있으며, 이를 통해 빙하지역(Snow and Ice)이 내륙의 빙하모듈로 수행될 수 있다.
스핀업 실험은 크게 두 단계로 나뉜다(Table 2). 첫 번째는 2008∼2017년의 평균 대기장을 이용하여 오프라인 Noah LSM 모의를 10년 반복(Recursive simulation)하는 과정을 통해 지면기후장을 생성하는 실험이다. 이 실험에서는 지면피복에 따른 스핀업 특성 차이를 분석하기 위해 MODIS IGBP 지면피복을 이용하는 실험(EXP1)과 ASCAT UMD 지면피복을 이용하는 실험(EXP2)을 수행하였다. 그리고 이 지면기후장을 초기장으로 LSM을 재시작(Restarted simulation)하여 2018년을 모의하는 실험(EXP3)을 통해 전구수치예보시스템에 활용될 지면초기장을 생산하고자 하였다.
Table 2. Specifications of experimental simulation
2.2 분석방법
스핀업이 적절하게 수행되었는지 분석하기 위해서는 Change in Percent (CP; Eq. 1)를 계산하여 지면모델이 평형상태에 이르렀는지 파악해야 한다. 이상적인 상태에서는 반복적인 스핀업에서 토양수분과 같은 예측변수는 연간변동성이 없어야 한다. 하지만 실용적인 측면에서 연간변동성인 CP는 -1∼1% 이내로 수렴하면 모델이 평형상태에 도달했다고 판단하여 스핀업의 cut off time을 결정하게 된다(Cosgrove et al., 2003; Lim et al., 2012). M1은 이전연도의 월평균 토양수분이고 M2은 해당연도의 월평균 토양수분이다.
| $$CP=\frac{(M_1-M_2)}{M_2}\times100\%$$ | (1) |
지면모델 스핀업 행태는 강수와 기온과 상관관계가 높기 때문에 지역의 기후특성에 따라 다른 반응을 보인다(Cosgrove et al., 2003). 특히, 본 연구는 전지구를 대상으로 하므로 기후지역을 세분화하여 스핀업 특성을 분석할 필요성이 있다. 이를 위하여 기후지역 구분에 널리 사용되는 코펜분류(Köppen-Geiger climate classification; Kotter et al., 2006; Fig. 3)를 이용하였다. 본 연구에서 사용된 기후 구분은 1951∼2000년까지 Climatic Research Unit of University of East Anglia의 지상기온 관측자료와 Global Precipitation Climatology Centre의 강수자료가 사용되었다. 이 기후구분에서 열대(Tropical), 건조(Arid), 온난(Temperate), 대륙(Continent), 극지역(Polar) 등의 5개의 대분류를 사용하였다. 또한, 지면의 기후특성을 더 세분화하기 위해 식생의 차이를 나타내는 지면피복 자료를 이용하였다.
3. 결 과
3.1 지면기후장 생성실험(Recursive 10 year loop experiment)
스핀업 실험 초기에 토양수분은 전구적으로 0.3 m3m-3 내외의 토양수분을 보이고 있다(Figs. 4(a) and 4(c)). 이와 같은 토양수분은 10년의 반복실험 후에 실제 지면상태와 유사해진다(Figs. 4(b) and 4(d)). EXP1과 EXP2 실험 모두 스핀업 실험 초기(Figs. 4(a) and 4(c))와 10년 후(Figs. 4(b) and 4(d))에 유사한 패턴을 보이지만 빙하지역(Snow and ice)에서 가장 큰 차이를 보였다(Fig. 2). EXP1은 초기부터 그린란드가 토양수분이 1 m3m-3로 처리되며 이 값이 지속적으로 유지된다. 반면에 EXP2의 그린란드 지역은 나대지(bare soil)로 처리하며, 빙하와 관련된 분류가 없다(Fig. 1).
3.1.1 코펜 기후분류와 지면피복에 따른 스핀업 특성
이번 장에서는 강제력의 기후평균값을 이용한 반복적인 스핀업 실험을 분석하여 지면모델이 전구도메인에서 평형상태에 도달하는 cut off time을 분석하고자 하였다. Fig. 5는 스핀업 기간 중 1년이 지난 후부터 10년까지 토양수분에 대한 CP를 나타낸다. EXP1과 EXP2는 각 기후지역별로 스핀업 행태가 유사한 경향을 보이며, 지면피복에 의한 차이보다는 기후지역과 층에 따른 차이가 크다. 건조지역은 첫 번째 층(Fig. 5(a))을 제외하고 가장 늦게 평형상태에 도달하는 지역이다(Figs. 5(b) and 5(d)). 특히, 건조지역은 초기에 가장 급격하게 토양수분이 변화하고 첫 번째 층(Fig. 5(a))과 네 번째 층(Fig. 5(d))은 cut off time이 2∼3배 차이가 났다. 이는 토양수분에 중요한 강수량이 건조지역에는 매우 부족한데, 층이 깊어질수록 토양수분이 더욱 적어지기 때문이라고 생각된다. GLDAS 2018년 자료를 기준으로 하면 건조지역에서 첫 번째 층 대비 네 번째 층의 토양수분은 64.5% 감소한다. 또한, 건조지역이 다른 지역에 비해 스핀업에 소요되는 시간이 길다는 것은 Cosgrove et al. (2003)과 Lim et al. (2012)에서도 언급되었다. 열대지역은 가장 빠르게 평형상태에 도달하며 cut off time이 1∼2년 정도 소요되었다(Fig. 5). 이는 cut off time 값은 다르지만 강수량이 많을 수 록 스핀업 소요기간이 짧아지는 관계는 Lim et al. (2012)와 유사하다. 극지역은 첫 번째 층에서 가장 늦게 평형상태에 도달하였다(Fig. 5(a)). Rodell et al. (2005)는 어는점 온도가 토양수분 스핀업에 큰 영향을 준다고 하였다. 왜냐하면 어는점 온도는 토양수분의 침투와 재분배뿐만 아니라 눈의 축적에 영향을 주기 때문이다. 한편, 실험에 사용된 지면피복 자료에 따라 다음과 같은 차이가 나타났다. 첫 번째 층에서는 EXP2가 EXP1 보다 수렴이 1년 정도 더 늦게 나타났다. 이에 대한 원인은 위에서도 언급되었듯이 EXP2에 사용되는 AVHRR UMD에서 그린란드를 포함한 극지역을 나대지로 처리하기 때문이다(Figs. 1 and 2). 전지구평균으로 볼 때 전 층의 CP가 -1∼1% 내로 수렴하는 토양수분의 cut off time (Table 3)은 EXP1은 3.6년이고 EXP2는 3.2년이다. 기후지역별과 층별로 세분해서 보면, EXP1의 경우 첫 번째 층은 3.5년(극지역), 네 번째 층은 7.2년(건조지역)이고, EXP2는 첫 번째 층이 4.5년(극지역), 네 번째 층은 6.8년(건조지역)이다. 그러므로 지면모델의 토양수분의 모의가 수렴되기 위해서는 7년 이상의 기간이 필요하다. EXP1의 토양수분 cut off time은 EXP2와 유사하지만 사용된 MODIS IGBP가 종류가 더 다양하고, 그린란드와 그 주변지역을 빙하지역으로 분류하고 있다(Figs. 1 and 2). 따라서 이후에 진행되는 분석과 실험은 MODIS IGBP 지면피복을 이용하여 진행하였다.

Fig. 5.
Time series of change percent for volumetric soil moisture in (a) the first layer, (b) second layer, (c) third layer, and (d) fourth layer over 10 years. There are 5 regions including global, arid, continental, tropical, temperate and polar. Solid line and dashed line are EXP1 and EXP2 respectively
Table 3. Cut off time (year) when CP is within -1~1%
첫 번째 층 토양수분이 스핀업 되는데 소요되는 시간과 지상기온 또는 강수량과의 관계를 보기 위해, EXP1을 MODIS IGBP 지면피복 분류(Fig. 2)를 이용해 세분화하여 분석하였다(Fig. 6). 스핀업 cut off time은 1.1∼7.6년으로 지면피복 종류에 따라 민감하게 변하며 이는 지상기온과 강수량에 연관되기 때문이다. 그 결과 첫 층은 코펜기후구분에서 분석한 것과 같이 극지역에 속하는 나대지 툰드라(Bare Ground Tundra)가 가장 늦게 평형상태에 도달하여 7.6년이 소요되었다. 이 지역은 기온도 낮고 강수량도 적은 지역이다. 동일하게 3개의 툰드라 지역이 가장 긴 cut off time을 보였다. 이는 어는점은 토양수분의 침투와 재분배를 제한하기 때문이다(Rodell et al., 2005). 반면에 빙하지역(Snow and Ice) 분류가 가장 빠른 cut off time을 보였는데 이는 LSM에서 이 지역의 토양수분을 1 m3m-3로 처리하기 때문이다. 이를 제외하면, 열대지역에 속하는 상록 활엽수림(Evergreen Braodleaf)이 수렴이 가장 빨랐는데, 이 지역은 기온이 높고 강수량이 많은 지역이다. 산포도에서 cut off time은 지상기온(Fig. 6(a))과 음의 상관관계를 보였고 강수량(Fig. 6(b))과도 음의 상관관계를 보였다. 토양수분은 지상기온이 낮고 강수량이 적을수록 스핀업에 소요되는 시간이 길고 지상기온이 높고 강수량이 많을수록 스핀업에 소요되는 시간이 짧아진다는 것을 의미한다. 본 연구는 전지구를 대상으로 하기 때문에 북미대륙을 대상으로 한 Cosgrove et al. (2003) 연구에서 나타나지 않은 기후지역과 식생지역을 포함한다. 그러므로 기온과 강수량이 더 넓은 범위로 나타나며 이에 따라 다양한 cut off time이 도출되었다. 따라서 전지구를 대상으로 할 때 하나의 전구평균값으로 분석하면 스핀업이 안정화되지 못하는 지역이 발생할 확률이 더 크기 때문에, Cosgrove et al. (2003)에서 논의된 스핀업 cut off time 분석에서 기온과 강수량에 따른 지역별 차이를 고려하는 것은 더 중요하다.
3.2 초기장 생성실험(Restarted experiment)
위의 실험 분석을 통해 MODIS IGBP 지면피복을 이용한 EXP1이 10년 동안의 스핀업을 통해 적절하게 평형상태에 도달하였음을 알 수 있었다. EXP1로 산출된 지면기후장을 초기장으로 LSM을 재시작하여 EXP3이 2018년의 지면기후를 적절하게 모사하는지 분석하였다. 본 실험에서 EXP3의 2018년 1월 1일 0Z의 첫 번째 층의 토양수분을 GLDAS와 비교한 결과는 Fig. 7과 같다. 스핀업으로 생성된 EXP1의 지면기후장은 GLDAS 지면장과 차이를 보이는데 오스트레일리아 지역을 제외한 코펜 기후구분의 건조지역은 습윤오차가 있으며 고위도의 대륙지역에는 건조오차가 나타났다. 빙하지역으로 처리되는 그린란드에는 큰 양의 오차가 나타났는데 이는 이 지역에서 모수값이 다른것으로 생각된다. 본 실험의 Noah LSM3.3에서 빙하지역은 토양수분이 1 m3m-3로 일괄처리 되지만, GLDAS의 경우 동일한 모델과 버전을 사용하지만 1 m3m-3 보다 작고 빙하 지역내에서도 공간적인 변동성이 있다. 또한, Rui and Beaudoing (2019)도 GLDAS 자료에서 그린란드를 포함하는 적설이 많은 극 주변지역은 대기강제력이 신뢰도가 낮고 빙하모델의 부재로 인하여 해당지역을 제외하고 자료를 사용하기를 권고하고 있다. 따라서 6개월 수행이 지난 2018년 6월 1일 0Z의 토양수분은 GLDAS와 크게 차이가 줄어들어 2018년 지면상태에 근접하였다고 판단된다(Fig. 8).
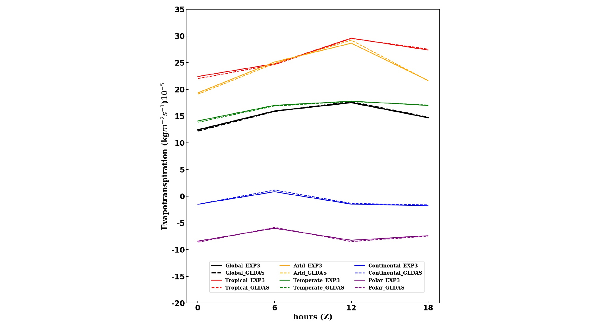
전구 영역평균한 토양수분의 시계열은 Fig. 9에 제시하였다. 첫 번째 층의 토양수분(Fig. 9(a))은 재시작할때는 GLDAS와 차이가 컸으나 시간이 지날수록 그 차이가 줄어들어 6개월이 지나면 GLDAS와 거의 유사해져서 위의 필드장 분석결과와 동일한 결과를 보였다. 지표기온(Fig. 9(b))은 EXP3 수행 초기부터 대기강제력의 영향을 빠르게 반영하여 GLDAS와의 차이가 초기부터 매우 작았다. 열대지역은 지표기온의 연변화가 다른 지역에 비해 크지 않으며, 대륙, 극지역은 12∼1월에 낮으며 6∼8월에 높아진다. 이 실험은 이러한 기후지역의 연변화 경향을 잘 모사하고 있으며 GLDAS와 유사한 변동성을 보였다. 또한, 지표기온의 일변동(Fig. 10)도 최고기온과 최저기온에서 약간의 차이를 보이지만 GLDAS와 유사한 경향을 보인다. 증발산량(Fig. 9(c))의 경우 비교적 모든 지역에서 연변동성을 GLDAS와 유사하게 모의하고 있으며, 6개월 이후부터는 열대지역을 제외한 모든 지역에서 차이가 크게 줄어들었다. 열대지역에서 시계열값이 일정하게 차이가 났는데 이 값은 1년 동안 지속되었다. 그 차이에 대한 원인은 향후 추가 분석될 필요성이 있다. 종합적으로 보면 지면기후장을 이용하여 해당연도의 지면상태에 적분 후 약 6개월 후에 첫 번째 층의 토양수분은 해당연도의 지면상태에 도달하였다. 이렇게 적절하게 스핀업된 오프라인 LSM을 이용하면 전지구모델의 토양수분을 초기화 할 수 있는데, 모의된 토양수분을 직접 입력하거나 위성의 토양수분 관측자료를 자료동화하는데 LSM의 통계값과 모의된 지면변수를 사용할 수 있다.
4. 요약 및 결론
수치모델 예측성능에서 지면조건은 매우 중요하며(Santanello et al., 2018) 특히, 토양수분은 물순환과 관련하여 지면-대기 상호작용을 통해 기온, 구름, 강수에까지 영향을 준다(Dirmeyer, 2011; Dharssi et al, 2011; Orth, 2013). 또한, 토양수분은 수주에서 수개월 유지되는 특성이 있기 때문에 수치모델에서 그 초기조건은 중요하다. 본 연구는 GDAPS-KIM에서 토양수분 초기화를 위한 기반자료를 마련하고자 오프라인 Noah LSM 스핀업 실험을 수행하고 지면피복(AVHRR UMD와 MODIS IGBP)과 기후지역에 따른 차이를 분석하였다. 스핀업 실험은 GDAS 대기강제력을 10년 평균한 값으로 LSM을 10년 반복 수행하여 지면기후장을 생성하는 실험(EXP1, EXP2)과 이 지면기후장을 초기값으로 재시작하여 2018년의 지면상태에 근접한 지면조건을 만들고 전지구모델에 사용될 수 있는 초기장을 생성하는 실험(EXP3)으로 나뉘었다.
지면기후장 생성실험을 코펜 기후지역별로 토양수분의 CP cut off time을 분석한 결과는 다음과 같다. 전구평균은 EXP1이 3.6년, EXP2가 3.2년이다. 첫 번째 층은 극지역이 가장 늦게 평형상태에 도달하여 EXP1은 3.5년, EXP2는 4.5년이었고 두 번째에서 네 번째 층은 건조지역이 오랜시간이 소요되어 EXP1은 7.2년, EXP2는 6.8년이었다. 극지역에서 첫 번째 층은 기온에 영향을 많이 받기 때문에 가장 늦게 평형상태에 도달한 것으로 보이며, 상대적으로 기온에 영향을 덜 받는 두 번째 층 부터는 건조지역에서 평형상태에 도달하는 시간이 길었다. 또한, 스핀업에서 건조지역의 경우 첫 번째 층보다 네 번째 층에서 약 2∼3배 정도 평형에 도달하는 기간이 길어 층별 차이가 크게 나타났으며 토양수분량과 관련이 있는 것으로 추정된다. 모든 층에서 가장 빠르게 평형상태에 도달한 지역은 열대지역으로 1∼2년 소요되어 그 차이는 크지 않았다. EXP1과 EXP2은 평형상태에 도달하는 시간이 크게 차이가 나지 않았는데, EXP1에 사용된 MODIS IGBP 자료는 그린란드를 포함한 지역이 빙하로 처리되고 지면피복이 더 상세하게 분류된다. 따라서 MODIS IGBP가 더 적절한 지면피복으로 보인다.
EXP1을 지면피복에 따라 첫 층의 토양수분과 cut off time간의 관계를 분석한 결과는 다음과 같다. 토양수분 스핀업에 소요되는 cut off time은 지면피복에 따라 1.1∼7.6년으로 매우 공간 변동성이 컸으며, 이는 지상기온과 강수량과 연관된다. 토양수분의 스핀업에 소요되는 시간은 기온과 강수량과 음의 상관관계를 보였다. 즉, 지상기온이 낮고 강수량이 적을수록 스핀업에 소요되는 시간은 길어진다. 툰드라 지역은 기온도 낮고 강수량이 적은 지역으로 가장 토양수분 수렴 cut off time이 길었다. 토양수분이 1 m3m-3로 처리되는 빙하지역을 제외하면 기온도 높고 강수량도 많은 상록 활엽수림(Evergreen Broadleaf)이 수렴이 가장 빨랐다. 스핀업 안정화에 소요되는 시간은 기후지역별로 민감한데 이는 지상기온과 강수와 연관되어 있기 때문이다. 기후구분과 지면피복 분석을 통해 본 연구에서 사용된 LSM은 적절한 지면기후장 생성에 약 10년정도 스핀업이 필요함을 알 수 있었다.
EXP1의 스핀업된 지면기후장을 초기장으로 이용한 EXP3는 약 6개월 정도 적분 후에 점차 안정화되어 GLDAS 토양수분과 유사해졌다. 또한, 실험의 토양수분 시계열값은 GLDAS의 연변화를 잘 모의하였다. 증발산량 역시 6개월 수행 후면 GLDAS와 연변화를 포함하여 유사해졌으며, 지표기온은 재시작 초기부터 대기강제력의 영향을 빠르게 반영하여 그 차이가 매우 작았고 연변화와 일변화 경향을 GLDAS와 유사하게 모의하였다. 이를 바탕으로 지면기후장을 이용한 경우 층마다 안정화 속도가 다르지만 약 6개월간의 재현기간 후에는 2018년 전지구수치모델의 토양수분 초기장을 생성함을 확인할 수 있었다.
본 연구는 전지구수치모델에 토양수분을 초기화할 수 있도록 오프라인 Noah LSM을 현실적인 지면상태로 스핀업하였다는데 의의가 있다. GDAPS-KIM에 사용되는 LSM의 물리과정과 기초자료가 거의 유사한 오프라인 Noah LSM에서 생산된 초기값을 사용하면 다른 국외의 토양수분 초기장을 적용하였을 때 나타나는 충격을 해소하고 더 안정적인 예측이 가능하다. 또한, GDAPS-KIM에 결합되어 있는 LSM이 물리과정 또는 기초자료가 변경되어 지면기후가 변화되면 그에 따라 오프라인 Noah LSM을 수정하여 수정된 지면초기장을 제공해줄 수 있다는 점에서 현업적인 의미가 크다. 추후 생산된 토양수분장을 활용하여 전지구수치모델을 모의하고 평가할 예정이며 위성자료를 활용한 자료동화과정도 추가할 예정이다.











