1. 서 론
2. 이론적 배경
2.1 개수로의 에너지 소비 현상
2.2 DEM 기반 유역의 지형학적 인자
2.3 유역의 응집구조
2.4 멱함수 법칙분포의 일반식
3. 방법론
3.1 대상유역
3.2 최우도법에 의한 매개변수 추정
4. 적용사례
4.1 지형학적 인자의 여누가 분포도
4.2 멱함수 법칙분포의 적합
4.3 멱함수 법칙분포의 지수 추정결과에 대한 검토
5. 결 론
1. 서 론
유역은 물의 순환과정에 대한 공간적 토대를 이루는 자연계로서 그 형성과정이나 변환과정 속에 지질구조학적 융기(tectonic uplift)로부터 유수에 의한 침식(fluvial erosion)에 이르기까지 수많은 성분들의 복잡한 상호작용들이 포함되어 있는 것으로 알려져 왔다(Willgoose et al., 1991). 이렇게 대규모의 공간적 자유도(degree of freedom)를 갖는 거대한 계들이 보이는 복잡한 현상들에 대한 과학적인 접근수단으로 프랙털(fractal) 기하학(Mandelbrot, 1982)이나 SOC (Self-organized Criticality) 이론(Bak, 1996) 등이 등장한 바 있다. 여기서 한 가지 흥미로운 사항은 이러한 이론들이 주목하는 복잡성(complexity)의 대표 사례로서 유역의 지형학적 특성을 기술하는 경험법칙(예를 들면 Horton 법칙이나 Hack의 법칙 등)들이 자주 언급되는 점으로 Kim et al. (2016)은 이를 유역이 대표적인 복잡계(complex system) 중의 하나임을 입증하는 명시적인 증거로 간주한 바 있다. 따라서 이로부터 유도되는 각종 수문학적 응답함수들이 대상유역의 복잡한 거동에 직접적인 영향을 받게 될 것은 자명하므로 물리적으로 기초한 유역특성에 대한 해석은 관련된 지형인자들에 대한 정확하고 객관적인 평가를 바탕으로 수행되어야만 할 것이다.
복잡계의 가장 대표적인 특성은 멱함수 법칙분포(power law distribution)로 알려져 있다. 현재 멱함수 법칙분포의 대표적인 사례로 빈번히 언급되는 Gutenberg-Richter의 법칙, Pareto의 법칙 및 Zip의 법칙 등은 지구물리학(Geophysics), 경제학(Economics), 언어학(Linguistics) 등 다양한 분야에서 파생된 독립적인 법칙들 임에도 불구하고 모두 동일한 특성을 기술한다(Bak, 1996). 수문학 분야에서는 Rodriguez- Iturbe et al. (1992)이 무작위 질량응집체계 모형(Takayasu et al., 1988)과 fractional Brown 운동(Mandelbrot and Van Ness, 1968)의 개념을 결합하여 유역의 유출(혹은 질량)응집과 에너지소비 구조에 관한 기본 관계를 제시하였다. 이후 다양한 후속 연구를 통하여 유역에 관한 멱함수 법칙분포는 이론적 체계를 구축하게 되었고 대표적인 지형특성 중의 하나로서 활발하게 연구되어 왔다(de Vries et al., 1994; La Barbera and Roth, 1994; Maritan et al., 1996; Perera and Willgoose, 1998). 특히 Moglen and Bras (1995)가 배수면적의 멱함수 법칙분포 거동을 누가면적분포(cumulative area distribution, CAD)라 명명하고 그 거동특성에 대한 간략한 해석을 제시한 이래 CAD는 폭 함수(width function) 및 프랙털 차원과 함께 유역을 대표하는 지형인자 중의 하나로서 연구되어 왔다(McNamara et al., 2006; Paik and Kumar, 2007; Paik and Kumar, 2011; Khan et al., 2013; Nicholson et al., 2013). 주목할 만한 연구 성과로서 최근 Nicholson et al. (2013)은 화성 표면에 대한 DEM 분석을 통하여 멱함수 법칙분포 곡선을 도시하고 화성에서 유역이 존재했던 흔적을 찾고자 시도한 바 있다.
본 연구의 주목적은 자연유역의 유출응집구조와 에너지소비 양상을 멱함수 법칙분포의 틀 내에서 해석해 보고자 하는 것이다. 이를 위하여 주요 지형인자로서 유역 내 지점별 배수면적(drainage area)을 선정하고 이를 기반으로 해당 지점별 소류력(tractive force)과 수류력(stream power)의 규모를 정의할 수 있는 지형학적 인자(geomorphologic factor)를 구성하여 이와 관련한 멱함수 법칙분포에 대한 이론적 검토를 수행하였다. 실제 적용을 위한 대상유역으로는 조양하 유역을 선정하였으며 GIS를 이용하여 지형분석을 수행하였다. 대상유역의 주요 지형인자들에 대한 멱함수 법칙분포의 적합에는 Clauset et al. (2009)이 제안한 방법을 적용하여 보다 신뢰성 있는 결과를 도출하고자 하였다.
2. 이론적 배경
2.1 개수로의 에너지 소비 현상
길이가
이고 하상의 경사가
(
, 여기서
는 하상 경사각)인 직사각형 단면을 갖는 개수로(여기서 수로 단면의 폭은
) 내 물의 흐름을 고려해 본다. 수심이
인 등류(uniform flow) 흐름을 가정할 경우 힘의 평형 조건에 따라 중력과 이에 저항하는 마찰력 사이에는 다음과 같은 등식의 관계가 성립하게 된다.
(1)
여기서,
는 물의 밀도이고
는 중력가속도로서
가 매우 작은 경우(
), Eq. (1)의 좌변은 중력의 흐름 방향 성분을 나타낸다. Eq. (1) 우변의
는 물과 수로의 접촉면에 작용하는 전단응력(shear stress) 혹은 소류력(tractive force)을 의미하는 것으로서 흐름의 동압력(dynamic pressure)을 이용하여 다음과 같이 나타낼 수 있다.
(2)
여기서, 첫 번째 우변의
(
)은 동수반경(hydraulic radius), 두 번째 우변의
는 무차원 저항계수 그리고
는 평균 유속을 의미하는 것으로서 이로부터
를 다음과 같이 나타낼 수 있게 된다(Rodriguez-Iturbe and Rinaldo, 2003).
(3)
여기서, 만약 Eq. (3)을 개수로의 마찰손실수두
에 대한 관계와 비교해 볼 경우
는 해당 수로 내에서 유수(流水)가 마찰로 인하여 소비하는 단위중량 당 단위거리 당 에너지의 크기로 해석할 수 있게 된다.
전술한 Eqs. (2) and (3)의 관계로부터 개수로 내부에서 발생하는 소류력과 에너지소비에 대한 관계를 Eqs. (4) and (5)와 같은 비례식의 형태로 일반화할 수 있다.
(4)
(5)
여기서, Eq. (5) 좌변의
는 유수가 소비하는 에너지 그리고 우변의
는 유량을 의미하는 것으로 이에 따라 Eq. (5)는 단위거리 당 에너지의 시간 당 소비율 즉 수류력(stream power)의 개념을 가짐을 알 수 있다.
2.2 DEM 기반 유역의 지형학적 인자
DEM을 기반으로 유역의 속성을 계량하기 위하여 고안된 지형학적 인자(geomorphologic factor)
는 다음과 같은 일반식의 형태로 표현될 수 있다.
(6)
여기서,
는 비례상수 그리고
,
은 지수(exponent)이다. Eq. (6)은 계량코자하는 유역의 속성에 따라 다양한 형태로 변환될 수 있는데 그 대표적인 예로서 하천망의 추출에 자주 적용되는 다음과 같은 관계를 찾아볼 수 있다.
(7)
여기서, 우변의
는
번째 pixel 지점을 통하여 배수되는 상류의 배수 면적으로서 좌변의
(즉
번째 pixel 지점을 통하여 배수되는 유량)에 대한 대리변수(surrogate variable)로 정의되고 있음을 알 수 있다. Eq. (7)은 하천의 시점(혹은 수원, source)을 면적한계기준(area threshold)을 이용하여 정의하는
의 관계식으로서 이를 이용하여
번째 pixel 지점의 소류력과 수류력(Eqs. (4) and (5))의 관계를 다음과 같이 나타낼 수 있게 된다.
(8)
(9)
여기서, Eq. (8) 우변의 지수
는 다음과 같은 개수로의 수리기하(hydraulic geometry)에 대한 관계식으로부터 추론할 수 있다.
;
;
(10)
여기서,
,
,
는 비례상수이고
,
는 지수로서 Eq. (7) 및
의 관계로부터 Eq. (8)과 Eq. (10)의
는 서로 일치하게 됨을 알 수 있다. Leopold and Maddock (1953)은 Eq. (10)의 지수들에 대하여
,
,
(
)의 값을 제시한 바 있는데 이는 단일 하천망을 통하여 유출이 발생할 경우
가 공간적으로 크게 변화하지 않음을 의미한다(Pilgrim, 1977). 이에 따라 다수의 선행연구(Montgomery and Dietrich, 1992; Rodriguez-Iturbe et al., 1992; Montgomery and Foufoula-Georgiou, 1993; McNamara et al., 2006)에서는
를 0.5로 가정하여(
) Eq. (8)을 소류력의 계량에 적용한 바 있다.
2.3 유역의 응집구조
Rodriguez-Iturbe et al. (1992)은 Takayasu et al. (1988)의 무작위 질량응집체계 모형과 fractional Brown 운동(Mandelbrot and Van Ness, 1968)의 개념을 결합하여 배수 면적에 대한 멱함수 법칙분포
를 다음과 같이 제시하였다(Kim et al., 2016).
;
(11)
여기서,
은 배수 면적에 대한 멱함수 법칙분포의 지수이고
는 집수평면(catchment planform)의 분계선(divide)이나 하천선의 궤적이 갖는 1차원 fractional Brown 운동의 거동을 정의하는 Hurst 지수이다. 유역 내 수로의
와
사이에는 다음과 같은 경험적 관계가 존재하는 것으로 알려져 왔다(Horton, 1945; Flint, 1974).
(12)
여기서,
는 지수로서 Eq. (12)는 유역의 규모에 따른
의 거동특성을 묘사하는 관계식이다. 이에 따라 Eqs. (8) and (9)로 정의되는 유역 내 소류력의 분포
와 수류력의 분포
를 다음과 같이 유도할 수 있게 된다.
;
(13)
;
(14)
Eqs. (11), (13) and (14)는 멱함수 법칙분포의 기본 관계로서 특히 Rodriguez-Iturbe et al. (1992)은 실제 유역에 대한 분석을 기반으로
와
에 대한 관계(Eqs. (11) and (13))가 서로 다른 특성(지질, 기후, 식생, 암석 등)을 갖는 다수의 유역들에 대하여 보편적으로 성립함을 예시한 바 있다.
2.4 멱함수 법칙분포의 일반식
Eqs. (11), (13) and (14)와 같이 비례식의 형태로 표현되는 멱함수 법칙분포의 기본 관계는 다음과 같이 보다 일반적인 함수
의 형태로 변환할 수 있다(Newman, 2005; Clauset et al., 2009).
(15)
여기서,
는 비례상수이고
는 멱함수 법칙분포의 지수이다. 만약
가 0으로 접근하는 경우를 고려해 보면 Eq. (15)는 발산하게 됨을 예상할 수 있다. 이는 멱함수 법칙분포의 정의역 내에 하한계(
)가 존재함을 암시하는 것으로 이에 따라
의 범위를
와 같이 가정할 경우
를 다음과 같이 완전한 함수의 형태로 유도할 수 있게 된다.
(16)
Eq. (16)은 멱함수 법칙분포의 수리구조(數理構造)를 완전하게 기술하는 2매개변수 확률밀도함수(probability density function)로서 이를 기반으로
의 통계모멘트에 대한 관계식을 다음과 같이 해석적으로 표현할 수 있게 된다.
(17)
여기서,
는 기대치 연산자이고
는 통계모멘트의 차수(order)로서 멱함수 법칙분포의 경우 차수별 통계모멘트의 정의가
에 종속적임을 Eq. (17)의 우변으로부터 확인할 수 있다. 특히 만약
의 값이 2보다 작을 경우 모든 차수에 대한 통계모멘트들이 발산하게 됨을 알 수 있다. 이는 해당 확률변수의 대표적인 규모를 규정할 수 없는 복잡계의 전형적인 특성을 나타낸다. 또한 멱함수 법칙분포의 초과 확률(exceedance probability)
역시 Eq. (16)을 기반으로 다음과 같이 해석적인 형태로 나타낼 수 있게 된다.
(18)
한 가지 흥미로운 사항은
가
와 마찬가지로 멱함수의 형태를 취하는 것으로 이들은 양자 모두 양대수지 상에서 직선의 형태로 나타나게 됨을 확인할 수 있다.
3. 방법론
3.1 대상유역
본 연구에서는 중국 동북 3성 중의 하나인 길림성(吉林省) 연변조선족자치주(延邊朝鮮族自治州) 내에 위치한 조양하(朝阳河) 유역을 대상유역으로 선정하였다. 조양하 유역은 배수 면적이 약 599 km2 정도인 중규모의 자연유역으로서 출구지점에 위치한 오도저수지(五道貯水池)를 통하여 연변주의 주도(主都)인 연길(延吉)시에 용수를 공급하고 있다. 본 연구에서는 오도저수지의 상류에 위치한 배수유역에 대하여 각종 지형인자들을 DEM을 기반으로 추출하였다(Fig. 1). 본 연구에서 이용한 DEM 자료는 미국의 NASA (National Aeronautics and Space Administration)와 NGA (National Geospatial-Intelligence Agency)가 합작하여 제작한 SRTM (Shuttle Radar Topography Mission) DEM으로서 pixel의 해상도는 90 × 90 m이다. 지형분석 S/W로는 Arc GIS를 이용하였으며 흐름추적에는 8방향 방법을 적용하였다. 대상유역에 대하여 수행된 주요한 지형 분석 결과는 Fig. 2와 같다. 여기서 (a)는 sink를 보정한 DEM, (b)는 흐름방향도, (c)는 국부경사도(8방향 pixel window 상의 최급하향경사도) 그리고 (d)는 흐름누적도이다.
3.2 최우도법에 의한 매개변수 추정
Eqs. (16) and (18)은 전술한 바와 같이 양대수지 상에서 선형 관계를 가지게 됨으로 최소자승법(least square)을 적용할 경우 비교적 쉽게 두 매개변수
과
를 추정할 수 있다. 하지만 Clauset et al. (2009)은 이들의 추정에 최소자승법을 적용할 경우 편향성(bias)의 문제가 발생할 수 있음을 지적하고 그에 대한 대안으로 최우도법(method of maximum likelihood)에 의한 매개변수 추정 방법을 다음과 같이 제안하였다. 임의 확률변수
에 대하여
개의 관측치(
,
)가 주어질 경우 Eq. (16)에 따른 해당 자료의 우도는 다음과 같이 산정될 수 있다.
(19)
여기서,
는 다중곱 연산자이다. 분석의 편의를 위하여 Eq. (19)의 양변에 대수를 취하고
에 대한 1계 도함수(
)의 형태로 정리할 경우 해당 우도를 최대화하는 매개변수의 추정치
에 대한 관계식을 다음과 같이 유도할 수 있게 된다.
(20)
Eq. (20)을 이용하여
를 추정하기 위해서는
에 대한 합리적인 결정이 요구된다. 이를 위하여 Clauset et al. (2009)은 다음과 같이 Kolmogorov-Smirnov (KS) 통계량
의 적용을 제안하였다.
(21)
여기서,
와
는 각각 관측치와 Eq. (18)로부터 산정되는 초과확률로서 만약 특정한
을 가정할 경우 Eqs. (20) and (21)로부터 그에 대응하는
와
가 추정될 수 있다. 이러한 과정을
에 대한 모든 가정치 혹은 모든
에 대하여 수행할 경우
를 최소화하는
와
을 찾을 수 있게 된다. 따라서 본 연구에서는 전술한 방법론을 적용하여 주요한 분석을 수행하여 보았다.
4. 적용사례
4.1 지형학적 인자의 여누가 분포도
본 연구의 대상 유역에 대하여
,
,
의 여누가 분포(complementary cumulative distribution)를 지형분석결과(Fig. 2)를 기반으로 Figs. 3~5와 같이 양대수지 상에 도시하여 보았다. 여기서 종축의 단위
는 괄호 안의 조건을 만족하는 pixel의 개수이다.
와
의 산정에는 Eqs. (8) and (9)를 이용하였는데 Eq. (8) 좌변의 지수
의 값으로는 0.5를 적용하였다.
Figs. 3~5로부터 주목할 만한 사항으로서 세 분포곡선 모두 중심부에서는 직선 형태의 양상을 보이지만 원점 부근과 곡선의 꼬리 부분에서는 이와는 상이한 형태의 거동을 보임을 시각적으로 확인할 수 있다. 만약 이들이 모두 멱함수 법칙분포를 만족하는 분포곡선으로 가정할 경우 곡선 꼬리 부분의 거동은 표본(sample)의 유한한 크기(finite size effect)에 기인하는 것으로 해석할 수 있게 된다(Newman, 2005; Clauset et al., 2009). 즉 하류방향으로 이동함에 따라 큰 값을 갖는 자료가 표본 내에 부족하게 되어 해당 구간의 분포 곡선이 중심부의 직선 형태의 분포 거동에서 벗어나게 되지만 만약 대상 유역의 범위를 출구 지점보다 더 하류까지 확장할 경우 중심부의 직선 형태의 분포 거동은 하류 방향을 따라 지속적으로 나타날 수 있음을 예상할 수 있는 것이다(Kim et al., 2016).
와
의 경우 Figs. 3 and 5로 부터 전술한 특성을 뚜렷하게 발견할 수 있어 이들이 멱함수 법칙분포를 따르는 지형학적 인자임을 쉽게 예상할 수 있다. 하지만
의 경우 Fig. 4에서 볼 수 있듯이
,
와는 정반대의 경향을 나타내고 있어 해당 인자는 멱함수 법칙분포와는 다른 형태의 분포를 따르는 변수일 가능성이 높은 것으로 판단된다.
원점 부근의 분포 곡선은 Fig. 3과 Figs. 4 and 5의 형태가 서로 개별적인 두 가지 양상을 나타내고 있음을 확인할 수 있다. Moglen and Bras (1995)는 Fig. 3과 같은
의 여누가 분포는 원점부근에서 역 S자 형태의 거동을 보이며 중심부의 직선 구간과 상이한 형태를 보이는 이유는 지표면과 하천망 사이의 유출응집구조의 차이 때문임을 지적한 바 있다. 이와 관련하여 최근 Kim et al. (2016)은 국내 유역을 대상으로 한 분석에서 이러한 형태의 거동이 다수의 유역에 대한 결과에서 공통적으로 나타날 수 있음을 확인한 바 있다. 여기서 한 가지 주목할 사항은 이들이 제시한 분포도의 경우 원점 부근에서 Fig. 3보다 더 뚜렷한 형태의 역 S자 거동을 나타내는 것으로 이는 분석에 이용한 DEM의 해상도에 기인하는 결과로 판단된다. 실제로 Kim et al. (2016)은 1/25000 지형도를 기반으로 작성된 20 × 20 m 해상도의 DEM을 적용하였으나 본 연구의 경우 전술한 바와 같이 이보다 다소 조악한 해상도(90 × 90 m)의 DEM을 적용하여 이러한 현상이 나타난 것으로 판단된다.
Figs. 4 and 5의 경우 양자 모두 Fig. 3과는 달리 원점 부근에서 수평선 형태의 분포 곡선을 나타내고 있음을 볼 수 있다. 이는
와
의 정의(Eqs. (8) and (9))에 따라 지점별
와
의 상호작용에 기인하는 것으로 판단된다. 즉 상대적으로
의 규모가 작은 상류 지점들의 경우 하류 지점들에 비하여 큰 규모의
를 가지게 되어 원점 부근에서
와
의 규모별 빈도분포가 비교적 균일한 형태로 나타나게 되는 것이다.
4.2 멱함수 법칙분포의 적합
Figs. 3~5에서 제시한 결과를 정량적으로 평가하기 위하여 Eqs. (11), (13) and (14)의 세 지수
,
,
및 Eq. (16)에 따라 각 지수에 대응하는
(즉,
,
,
)을 각각 추정하여 보았다. 본 연구에서는 전술한 바와 같이 Clauset et al. (2009)이 제안한 최우도법을 적용하였는데 Eqs. (20) and (21)을 기반으로 한 실제 추정 과정은 다음과 같다. 만약 고려하는 지형학적 인자가
일 경우 Fig. 3의 횡축에 도시되는 모든 변량들을
으로 가정하여 각 사례별로
과
을 추정하고 이중 Eq. (21)에 따라
를 최소화하는 추정치 쌍을 선택하면 해당 인자에 대한 멱함수 법칙분포의 확률밀도함수를 적합할 수 있다.
와
에 대해서도 동일한 과정을 통하여 각 확률밀도함수의 매개변수를 추정할 수 있다. 여기서 Eq. (21) 우변의
는 Weibull 공식(
;
은 내림차순으로 정렬된 자료의 순위)을 적용하여 산정할 수 있다. Table 1은 본 연구의 대상유역에 대하여 수행한 멱함수 법칙분포의 매개변수 추정 결과를 정리한 것이다.
Table 1에서 주목할 만한 사항은
의 분포에 대한 지수
의 산정 결과로서 앞서 4.1절에서 예상된 바와 같이 해당 인자의 분포가
와
의 분포와는 정성적으로 다른 특성을 가짐을 볼 수 있다. 이는 Eq. (17)로부터 쉽게 유추할 수 있는 것으로
과
의 경우 양자 모두 2 이하의 값을 가짐으로 모든 차수에 대하여 해당 인자들의 통계모멘트가 정의되지 않지만
의 경우 1, 2, 3차 통계모멘트가 유한하게 정의될 수 있음을 알 수 있다. 이에 따라
와
는 대표적인 규모를 정량적으로 결정할 수 없는 규모 불변성(scale invariance, scale independence) 지형인자이지만
는 유한한 규모를 갖는 혹은 규모 종속성(scale dependence) 지형학적 인자로 해석할 수 있게 된다.
상기한 결과를 도해적으로 확인하기 위하여 Figs. 3~5에 도시된 분포곡선들의 빈도를
(즉,
,
,
)에 해당하는 종거를 이용하여 정규화하고 Eq. (18)에 따라 작도한
(즉,
,
,
)와 중첩하여 Figs. 6~8과 같이 도시하여 보았다. 여기서 실선으로 표시한 곡선들이
이다. 우선 Figs. 6 and 8에서 횡축의 약 2~3개 이상의 대수 눈금 구간에 걸쳐 직선형태의 분포양상이 뚜렷하게 나타나고 있음을 확인할 수 있다. 이는 Gutenberg-Richter의 법칙이나 Zip의 법칙과 유사한 형태로서 전형적인 멱함수 법칙분포의 거동임을 확인할 수 있다(Bak, 1996). 하지만 Fig. 7의 경우 횡축 상의 1개 대수 눈금보다도 작은 구간 내에서만 직선형태의 분포양상을 보여 전술한 바와 같이
는 멱함수 법칙분포를 따르지 않는 지형학적 인자인 것으로 판단된다. Table 2는 Eq. (17)을 이용하여
의 차수별 통계모멘트를 산정한 결과로서 여기서
,
,
는 각각
의 분산, 변동계수 및 왜곡계수를 의미한다. 이러한 결과 역시
의 분포가 멱함수 법칙분포를 따르지 않음을 보여주는 것으로 추후 다른 분포(예를 들면 대수정규분포나 지수분포)를 이용한 적합도 검정시험이 필요할 것으로 판단된다.
4.3 멱함수 법칙분포의 지수 추정결과에 대한 검토
Table 1에서 제시한
,
,
에 대한 추정결과를 선행연구 성과를 기반으로 검토하여 보았다. 우선 본 연구에서
은 약 1.50 정도로 산정되었는데 이는 선행연구에서 제시한 값에 비하여 다소 큰 수치이다. 실제로 Rodriguez-Iturbe et al. (1992)은
의 값으로 1.45를 제시한 바 있는데 Kim et al. (2016)은 이러한 불일치의 원인으로
의 추정에 사용된 방법론의 차이에 주목한 바 있다. 즉 본 연구에서 적용한 최우도법에 의한 멱함수 법칙분포 적합방법이 Clauset et al. (2009)에 의해 제시되기 전까지
의 추정에는 주로 최소자승법이 적용되어 온 것으로 보인다. 이에 따라 선행연구에서는 Fig. 3과 같은 분포곡선으로부터 도해적인 방법으로
을 결정하고 선형관계를 보이는 자료만을 추출하여 최소자승법에 따라
을 추정해 온 것으로 판단된다.
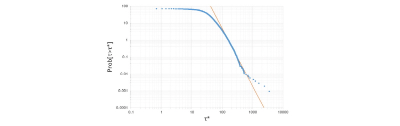
이러한 방법론의 차이에 따른 영향을 검토하기 위하여 본 연구에서는 Fig. 6의 분포곡선 상에서 Table 1의
을 하한계로 한 자료들만을 추출하여 Fig. 9와 같이 최소자승법을 적용하여 보았다. 여기서 실선으로 표시된 곡선은 분포곡선 꼬리부분의 자료를 제외한 회귀곡선(분포곡선 상단의 회귀식)이고 점선으로 표시된 곡선은 분포곡선 꼬리부분의 자료를 포함한 회귀곡선(분포곡선 하단의 회귀식)으로서 두 회귀식의 지수로부터 꼬리부분에 해당하는 자료들이
의 규모에 미칠 수 있는 영향을 확인할 수 있다. 특히 분포곡선 상단의 회귀식으로부터 최소자승법에 의한
의 값으로 약 1.47을 예상할 수 있는 바 본 연구에서 제시한
에 대한 추정치는 타당성을 인정할 수 있는 것으로 판단된다. 여기서 한 가지 더 고려해 볼 만한 사항은 지형자료의 질(quality)과 흐름추적기법에 관한 것으로 전술한 바와 같이 본 연구에서는 해상도가 다소 조악한 SRTM DEM을 지형분석에 이용하였고 흐름추적 과정에는 8방향 방법을 적용하였다. 전자의 영향은 이미 4.1절에서 언급한 바와 같이 Fig. 3에 도시된 분포곡선의 형상에서도 확인한 바 있다. 또한 후자의 경우 주로 유역 내 계곡부에서 발생하는 흐름의 수렴현상은 비교적 잘 묘사하지만 구릉지사면의 확산현상 모의에는 한계를 가지는 것으로 알려져 있어
의 산정 결과에 직접적으로 영향을 미칠 수 있을 것으로 예상된다. 따라서 고해상도의 DEM자료를 기반으로 보다 더 실제에 가까운 흐름방향의 모의를 통해
의 멱함수 법칙분포의 특성을 파악하는 연구가 반드시 수행되어야 할 것으로 판단된다.
와 관련하여 Rodriguez-Iturbe et al. (1992)은
의 값으로 1.90을 제시한 바 있다. 이는 Eq. (14) 우변의
에 대한 관계식으로부터 쉽게 추론할 수 있는 수치로서 만약
을 1.45,
를 0.5로 가정할 경우 이 값을 얻을 수 있게 된다. Taboton et al. (1989)은 link 분류법을 기반으로 한 지형분석을 통하여 Eq. (12) 우변의
값으로 0.5를 제시한 바 있는데 이는 전술한 추론 결과와 일치하는 결과임을 확인할 수 있다. 본 연구에서 제시한
는 1.78로서 선행연구결과에 비하여 다소 작은 수치임을 알 수 있다. 전술한 방법에 따라 본 연구에서 제시한
(1.50)을 Eq. (14) 우변의
에 대한 관계식에 적용할 경우
의 값으로 0.36을 구할 수 있다. Fig. 10은 대상유역의
값을 추정하기 위하여
와
사이의 관계를 도시해 본 것으로 해당 지형인자의 큰 산포경향을 제거하기 위하여 동일한
를 갖는
를 평균하고
의 규모에 따라 grouping하여 작도하였다. 여기서 Ⅰ구간은 지표상의 발산지형구간, Ⅱ구간은 지표상의 수렴지형구간, Ⅲ구간은 지표와 하천 사이의 천이구간 그리고 Ⅳ구간은 하천 구간에 해당한다. 이에 따라 대상유역의
값은 약 0.42로서 위에서 제시한 값과 유사하게 나타남을 확인할 수 있다. 고무적인 결과로 Table 1의
(4.42)를 Eq. (13) 우변의
에 대한 관계식에 적용할 경우 역시
의 값으로 0.36을 구할 수 있어 본 연구에서 추정한 지수들의 타당성을 확인할 수 있었다.
5. 결 론
본 연구에서는 조양하 유역의 유출응집구조와 에너지소비 양상을 멱함수 법칙분포를 기반으로 해석해 보았다. GIS를 기반으로 대상유역 내 지점별 배수면적과 함께 소류력 및 수류력을 정의하는 지형학적 인자를 추출하고 해당 인자들의 여누가 분포에 대한 도해적 해석과 함께 최우도법을 이용하여 멱함수 법칙분포의 적합을 수행하였으며 이로부터 도출된 결과를 선행연구 성과 및 대상유역의 지형학적 특성을 기반으로 검토하여 보았다. 이상으로부터 얻어진 주요한 결론을 요약해 보면 다음과 같다.
1)배수면적
와 함께 소류력 및 수류력을 정의하는 지형학적 인자
와
의 여누가 분포를 양대수지 상에 도시하여 본 결과 세 분포곡선 모두 중심부에서는 직선 형태의 양상을 보이지만 원점 부근과 곡선의 꼬리 부분에서는 이와는 상이한 형태의 거동을 보임을 시각적으로 확인할 수 있었다.
2)멱함수 법칙분포 확률밀도함수의 매개변수를 최우도법을 이용하여 추정해 본 결과
의 분포는
나
의 분포와는 정성적으로 다른 특성을 가짐을 볼 수 있었다. 후자의 경우 모든 차수에 대하여 해당 확률변수들의 통계모멘트가 정의되지 않지만 전자의 경우 1, 2, 3차 통계모멘트가 정의될 수 있음을 볼 수 있어
와
는 대표적인 규모를 유한하게 결정할 수 없는 규모 불변성 지형인자이지만
는 유한한 규모를 갖는 혹은 규모 종속성 지형학적 인자로 판단할 수 있었다.
3)멱함수 법칙분포 적합결과를 도시해 본 결과
와
는 전형적인 복잡계 거동을 보임을 확인할 수 있었다. 하지만
의 경우 제한된 범위에서만 복잡계 거동을 보여 멱함수 법칙분포를 따르지 않는 것을 확인할 수 있었다.
4)본 연구에서 최우도법을 적용하여 추정한
의 멱함수 법칙분포 지수는 선행연구에 비하여 다소 큰 수치임을 확인할 수 있었다. 이러한 불일치는 해당 지수의 추정에 사용된 방법론의 차이에 기인하는 것으로 선행연구와 마찬가지로 최소자승법에 따라 멱함수 법칙분포 지수를 추정해 본 결과 유사한 값이 나타남을 확인할 수 있었다. 이에 따라 본 연구에서 제시한 추정치는 타당성을 인정할 수 있는 것으로 판단할 수 있었다.
5)본 연구에서 제시한
의 멱함수 법칙분포 지수는 선행연구에 비하여 다소 작은 수치임을 확인할 수 있었다. 이는 대상유역의 규모에 따른 수로경사의 특성에 기인하는 것으로
에 대한 결과에서도 유사한 경향을 확인할 수 있어 본 연구에서 추정한 지수들의 타당성을 재확인할 수 있었다.
추가로 고려해 볼 사항은 지형자료의 질과 흐름추적기법에 관한 것으로 본 연구에서는 해상도가 다소 조악한 SRTM DEM을 지형분석에 이용하였고 흐름추적 과정에는 8방향 방법을 적용하였다. 후자의 경우 주로 유역 내 계곡부에서 발생하는 흐름의 수렴현상은 비교적 잘 묘사하지만 구릉지사면의 확산현상 모의에는 한계를 가지는 것으로 알려져 있어
의 산정 결과에 직접적으로 영향을 미칠 수 있을 것으로 예상된다. 따라서 고해상도의 DEM자료를 기반으로 보다 더 실제에 가까운 흐름방향의 모의를 통해
의 멱함수 법칙분포의 특성을 파악하는 연구가 반드시 수행되어야 할 것으로 판단된다.














