1. 서 론
2. 가뭄지수의 개선 및 검증
2.1 적용유역
2.2 수문학적 가뭄지수 개선: Surface Water Supply Index
2.2.1 활용가능한 수문기상인자의 선정
2.2.2 수문기상인자의 확률분포 추정 개선
2.3 개선된 가뭄지수의 검증
2.3.1 중권역 3001
2.3.2 중권역 3014
3. 개선된 가뭄지수를 활용한 확률론적 가뭄전망
3.1 앙상블 기반 확률론적 가뭄전망
3.1.1 확률론적 가뭄전망 과정
3.1.2 수문모형: 물수지 모형
3.2 확률론적 가뭄전망의 검증
3.2 확률론적 가뭄전망의 검증
4. 결론 및 향후연구
1. 서 론
최근 2014년부터 2015년까지 경기북부를 중심으로 하여 전국적으로 가뭄에 의한 농업용수 부족 등으로 인해 경제적 피해가 크게 발생했다. 이와 같이 가뭄의 발생은 점차 빈번해지고 있으며, 이로 인한 사회경제적인 피해도 증가하고 있다. 특히 우리나라는 연평균 강우의 2/3가 여름철에 발생하는 계절적 특징이 존재하는 것뿐만 아니라 지구온난화 등의 기상변화로 인해 여름철 강우량이 줄어드는 마른 장마까지 더해져 가뭄관리에 매우 취약한 상태라 할 수 있다. 이로 인하여 저수지에는 충분한 물이 확보되지 못해 농업 및 생활용수 등의 수자원 부족이 점점 심해짐에 따라 우리나라 수자원 관리와 계획이 매우 어려운 상황이다(Choi, 2002). 이러한 가뭄을 효과적으로 예방하고 피해를 경감하기 위해서는 가뭄지수들의 지속적인 개선이 우선되어야 하나 가뭄은 다양한 조건과 상황에 의해 발생하므로 이를 모두를 가뭄지수에 반영하기는 어렵다. 국내에서 활용되고 있는 다양한 가뭄지수들은 어떠한 수문기상학적 인자를 활용할 것인가, 개선 혹은 개발된 가뭄지수가 모든 지역에서 확대 적용가능한가, 가뭄지수의 단계를 구분함에 있어서 임계값의 설정은 어떻게 할 것인가 등의 고민을 가지고 있으며, 이러한 고려사항들로 인해 실제적으로 발생하는 가뭄을 정확히 모니터링하고 전망하는데 있어서 어려움이 발생한다.
본 연구에서는 가뭄분류 중 수문학적 가뭄에 초점을 맞추어 수행하였다. 수문학적 가뭄에 있어서 강수, 증발산량 등의 기상학적 변수가 가뭄에 미치는 영향보다 하천유량, 토양수분, 지하수 등 수문학적 변수의 영향이 물리적으로 지연되므로 이러한 특징이 수문학적 가뭄지수에 잘 반영될 수 있도록 해야 한다. 최근 수문학적 가뭄지수의 개발과 개선 연구사례를 살펴보면, Shukla and Wood (2008)은 지표면유출 등의 수문학적 변수를 이용하는 SRI (Standardized Runoff Index)를 개발하고 빙설지역에 대하여 SPI (Standardized Precipitation Index)와 적용결과를 비교하였으며, Karamouz et al. (2009)는 기존 널리 활용되는 3개의 가뭄지수인 SPI, SWSI (Surface Water Suuply Index), PDSI (Palmer Drought Severity Index)를 결합한 형태의 새로운 수문학적 가뭄지수인 HDI (Hybrid Drought Index)를 개발하여 이란의 Gavkhooni/ Zayandeh- rud 지역에 적용하여 가뭄전망에 효과적임을 보였다. Dogan et al. (2012)는 케냐 가뭄의 강도와 지속기간에 대하여 6개의 다양한 가뭄지수를 비교·분석하였으며, 월단위 가뭄에 대하여 EDI (Effective Drought Index)가 가장 우수한 결과를 나타냈다고 결론내렸다. 국내 연구로는 Kwon et al. (2006)와 Kwon and Kim (2006)은 SWSI의 강설인자를 지하수인자로 변경한 MSWSI (Modified SWSI)를 제안하여 전국에 적용하여 그 효용성을 보였으며, Seo et al. (2008)은 가뭄대비 저수지 최적운영방안을 위하여 MSWSI를 활용하였다. Ahn and Kim (2010)는 수문학적 가뭄지수인 SWSI를 대체할 수 있는 유역에서 사용 가능한 물의 양에 기반한 WAI (Water Ability Index)를 개발하였다. Park et al. (2011)은 기존 가뭄지수의 한계점인 취수원, 저수지, 댐 등 수리시설물의 공급 또는 가용능력을 반영하지 못하는 점을 개선한 수문학적 가뭄지수인 WADI (Water Availability Drought Index)를 제시하였으며, Lee et al. (2015)은 수문학적 가뭄평가를 위해 하천유량을 이용하는 가뭄지수인 SDI (Streamflow Drought Index)를 이용하였다.
또한 가뭄에 대한 대비를 위해서는 가뭄전망이 선행되어야 하며 이에 대한 국내의 연구를 살펴보면 다음과 같다. White et al. (2004)은 호주 가뭄전망을 위해 바다표면 온도의 변동성을 CCA (Canonical Correlation Analysis)를 활용한 연구를 수행하였으며, Ghoshi et al. (2007)은 기후변화 시나리오 하에 비모수 분석방법을 이용하여 미래 가뭄전망을 수행하고 이에 따른 시나리오 불확실성을 제시하였다. Belayneh and Adamowski (2013)은 ANN (Artificial Nural Network), SVR (Support Vector Regression), Wavelet-ANN을 이용하여 에티오피아 Awash강 유역의 단기간 가뭄전망을 수행하였으며, 1개월과 3개월 전망에 효과적임을 보였다. 국내연구에서는 Kim et al. (2012)은 가뭄전망을 위해 활용가능한 기상정보를 조사하고 적용하여 주단위와 월단위로 가뭄전망을 수행하였으며 확률적 가뭄전망의 가능성을 보였다. Son and Bae (2015)은 수문학적 가뭄전망에 있어서 ESP (Ensemble Streamflow Prediction) 기법의 활용성을 검토하였으며 1~2개월 전망에서 효과적임을 보였다. 하지만 국내 가뭄전망에 대한 연구는 아직 시작단계에 불과하며, 가뭄전망에 있어서 미래 기상전망 자료의 활용이 필요하나 아직 기상전망자료의 불확실성이 크고 자료취득과 연계성의 한계로 인하여 현실적으로 자료활용이 어렵다.
따라서 본 연구에서는 다음과 같이 가뭄전망 연구를 수행하였다. 첫 번째로 수문학적 가뭄지수를 개선하였다. 기존 수문학적 가뭄지수의 제약점을 분석하고 이를 개선할 수 있는 방법을 제시하고 적용하였다. 두 번째로 개선된 가뭄지수를 이용하여 월단위 가뭄을 전망하였다. 앙상블 기법을 기반으로 한 확률적 가뭄전망을 수행하였으며, 기존 방법을 이용한 가뭄전망과의 향상정도를 비교하였다.
2. 가뭄지수의 개선 및 검증
2.1 적용유역
가뭄지수 개선과 가뭄전망 검증을 위해 금강유역을 적용지역으로 선정하였다. 금강유역은 유로연장 401 km, 유역면적은 9,810 km2이며, 총 21개의 중권역(K-water 기준)으로 구성되어 있다. 금강유역에는 용담댐과 대청댐이 위치하고 있으며, 용담댐은 전주권의 생공용수, 대청댐은 대전과 청주권의 용수를 담당하고 있다. 금강유역은 타 유역에 비해 댐이 적고 하천구성이 단순하여 하천흐름분석이 상대적으로 간단하다. 또한 기존 가뭄관련 연구에서 많이 활용된 지역으로 본 연구의 결과와 비교하기에도 용이하다. 본 연구에서는 국가관리수자원정보시스템을 기준으로 금강유역을 14개 중권역으로 구분하였으며, Fig. 1과 같다.
2.2 수문학적 가뭄지수 개선: Surface Water Supply Index
본 연구에서는 수문학적 가뭄지수로 SWSI (Shafer and Dezman, 1982)를 선정하였다. SWSI는 대표적인 수문학적 가뭄지수로서 적용지역에 따라 다양한 수문기상인자를 유연하게 활용할 수 있는 장점이 있다. SWSI는 기본적으로 강수, 강설, 하천유량, 저수지 인자로 구성되어 있으며, 눈이 많은 산악지형에 적합하게 구성되어 있다. 가뭄심도는 PDSI와 동일하게 7단계(-4.2∼4.2; 극한가뭄, 강한가뭄, 약한가뭄, 보통상태, 약한습윤, 강한습윤, 극한습윤)로 구분되며, SWSI식은 아래와 같다.
SWSI=
(1)
여기서, PN는 각 인자의 비초과확률(nonexeedance probability)이며, pcp는 강수, sn는 강설, sf는 하천유량, rs는 저수지, w는 각 인자별 가중치를 의미한다. SWSI 산정에서 지역에 따라 12월부터 이듬해 5월까지는 강설인자, 나머지 기간에는 하천유량인자를 적용하게 된다.
다음으로 Kwon et al. (2006)과 Kwon and Kim (2006)에서 SWSI를 국내 가뭄실정에 맞도록 한차례 개선하여 MSWSI를 개발하였다. MSWSI에서는 국내 수자원 관리에서 강설의 비중이 낮고 지하수가 중요하므로 강설인자 대신 지하수 인자(gw)로 대체하였으며, 식은 다음과 같다.
MSWSI=
(2)
MSWSI의 산정과정을 살펴보면 다음과 같다.
단계(1) 유역별 활용가능한 수문기상인자 분석
단계(2) 가능한 수문기상인자의 선정과 관측자료 수집
단계(3) 각 수문기상인자의 가중치 산정
단계(4) 각 수문기상인자의 확률분포 추정
단계(5) MSWSI식을 이용하여 가뭄지수 산정
이 과정에서 국내에 적용된 기존 MSWSI는 산정과정에 있어서 몇 가지 제약점이 있었다. 첫 번째로 단계(1)과 (2)에서 기존 MSWSI에서는 4개 인자(하천유량, 지하수, 강수, 댐유입량)만을 적용하여, 좀 더 다양한 수문기상인자를 반영하지 못하는 한계가 있었다. 실제적으로 자료길이, 도심지역, 댐상·하류 등 유역에 따라 직·간접적으로 영향을 주는 인자가 다를 수 있으므로 가용한 인자를 폭넓게 살펴보아야 한다. 두 번째로 단계(4)에서 MSWSI는 각 인자들의 확률분포를 추정하고 비초과확률값을 가뭄지수식에 적용하는데, 기존 MSWSI에서는 모든 인자의 확률분포를 정규분포로 가정하였다. 인자별로 적합한 확률분포를 추정해야 정확한 비초과확률값을 얻을 수 있으며, 이를 바탕으로 실제에 가까운 가뭄지수를 산정할 수 있다.
이에 따라 본 연구에서는 크게 두 가지를 개선하고자 하였다. 첫 번째는 활용가능한 모든 수문기상인자를 조사하고 각 유역별로 적합한 인자를 선정하였으며, 두 번째는 각 수문기상인자별로 적합한 확률분포를 적용하였다. 자세한 개선사항은 다음과 같으며, Fig. 2는 MSWSI 산정과정과 개선사항에 대하여 나타낸 그림이다.
2.2.1 활용가능한 수문기상인자의 선정
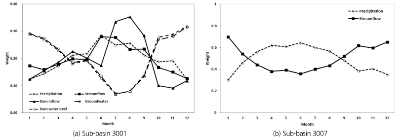
본 장에서는 단계(1)과 (2)를 개선하였다. 우선 유역별 활용가능한 수문기상인자를 분석하였다. 금강유역 중권역별로 존재하는 모든 수문기상자료를 기상자료, 우량자료, 수위자료, 국가하천, 지방하천, 광역상수도, 지방상수도, 지하수 등 9가지로 구분하여 조사하였다(Table 1(a) 참조). 이 중 자료취득 용이성, 적절한 자료 길이와 품질 확보 등 실질적으로 적용가능한 수문기상인자로 기상자료, 수위-유량자료, 댐자료(유입량, 방류량, 수위), 지하수자료를 우선 선정하였으며, 각 인자에 대해 각 관측소별로 자료를 수집하였다(Table 1(b) 참조). 이를 바탕으로 최종적으로 유역별로 선정된 수문기상인자는 Table 2와 같다. 기존 MSWSI에서는 강수, 하천, 댐유입량, 지하수만을 이용하였으며, 강수는 6개 관측소(면적평균강수, 전국 대상), 하천은 10개 관측소, 지하수는 3개 관측소를 이용하였다. 본 연구에서는 강수, 하천, 댐유입량, 댐저수위, 댐방류량, 지하수를 이용하였으며, 강수는 42개 관측소(면적평균강수, 금강유역 대상), 하천은 28개 관측소, 지하수는 7개 관측소로 확장하여 적용하였다. 또한 각 유역에 대해 가장 영향이 큰 수문기상인자에 따라 유역을 댐상류, 댐하류, 하천, 지하수, 강수, 상수도 유역으로 분류하였으며, 영향이 크다는 의미는 가중치가 가장 크다는 것을 뜻한다. 여기서 가중치는 Doesken et al. (1991)의 방법을 이용하여 산정하였다. 가중치 산정과정을 간략하게 설명하면 우선 각 인자별로 전체 대비 각 월의 비율을 계산함으로서 무차원화된 1차 가중치를 산정하고 다음으로 1차 가중치의 보정을 거친 후 최종적으로 각 월별로 인자별 비율을 계산함으로써 각 인자별 월별 최종가중치를 산정하게 된다. 댐상류나 댐하류에 인접한 유역은 댐과 관련된 인자의 영향이 가장 컸으며(Fig. 3(a) 참조), 이외 유역에서는 하천과 강수의 영향이 가장 컸다. 특히, 하천과 강수의 영향은 월별로 조금씩 차이가 있는데 홍수기에는 강수의 영향이 더 커지며, 갈수기에는 하천의 영향이 더 큰 것으로 나타났다(Fig. 3(b) 참조).
Table 2. Selected hydrometerological components and stations at each sub-basin | |||||||||||||
| |||||||||||||
* KW: K-water; K: KMA; M: MLIT* KW: K-water; K: KMA; M: MLIT | |||||||||||||
| |||||||
Fig. 3. Example of weights of each hydrometeorological variable for each month at sub-basin 3001 and 3007 | |||||||
2.2.2 수문기상인자의 확률분포 추정 개선
다음으로 단계(4)를 수정하였으며, 각 수문기상인자에 적합한 확률분포를 추정하였다. 앞서 언급한 바와 같이, 기존 MSWSI (K-water, 2005)에서는 모든 수문기상인자를 정규분포(normal distribution)을 따르는 것으로 가정하여 비초과확률을 추정하였다. 하지만 본 연구에서는 각 수문기상인자별로 적용가능한 확률분포(GEV, 정규분포, 2-매개변수 대수정규분포, 3-매개변수 대수정규분포)를 적용하고 매개변수 추정을 위해 최우도법(maximum likelihood method), 확률가중모멘트법(probability weighted moment method), 모멘트법(method of moment)을 이용하였으며, 적합도 검정(goodness of fit test)을 위해 log-likelihood 검정을 이용하였다. 추정결과, 강수자료는 모든 중권역에서 Gumbel 분포를 따르는 것으로 나타났으며, 하천자료는 3개 중권역은 정규분포, 나머지 중권역은 Gumbel 분포가 적합하였다. 댐자료(유입량, 방류량, 저수위)는 2-매개변수 대수정규분포 , 지하수는 3-매개변수 대수정규분포를 따르는 것으로 나타났다. Table 3은 각 소유역별/수문기상인자별로 최종 선정된 확률분포를 나타낸다.
Table 3. Selected suitable probability distributions to hydrometerological components at each sub-basin | |||||||||||||
|
2.3 개선된 가뭄지수의 검증
본 장에서는 기존 산정과정에 따른 MSWSI와 본 연구에서 개선한 MSWSI 산정결과를 비교하였다. 대상기간은 전국적으로 가뭄피해가 컸던 2001년, 2006년, 2014년을 대상으로 하였다. 2001년의 경우에는 3~5월 전국 강수량이 최대 377 mm로서 경기, 충청, 영남북부 지역은 예년 강수량의 20~30% 수준밖에 되지 않았다. 또한 저수율은 경기, 충청, 강원, 전라북도가 전국평균보다 낮았다. 2006년에는 충남, 전라남북도, 경상남도를 중심으로 8~10월 강수량이 평년대비 30% 수준밖에 되지 않았으며, 전국 저수율은 평균 67%로 나타났다(NEMA, 2009). 2014년에는 강원, 경기, 충청 일부지역에 가뭄이 크게 발생하였으며, 이 지역의 강수량은 평년대비 50~61% 수준이었다. 특히 일부지역에는 생활용수 제한급수까지 실시하였다(KMA, 2014).
Fig. 4는 2001년, 2006년, 2014년 4월의 금강유역에 대한 기존 MSWSI와 개선된 MSWSI 결과를 나타내고 있다. 2001년에는 두 MSWSI가 전체적으로 비슷하게 심한 가뭄으로 나타나고 있으나 대청댐을 중심으로 기존 MSWSI는 가뭄이 심하나 개선된 MSWSI에서는 가뭄이 다소 해소된 것으로 나타났다. 2001년 전체적으로 양상은 비슷하게 나타났으며, 개선된 MSWSI가 다소 가뭄이 완화된 것으로 표현하였다. 2006년과 2014년은 전체적으로 기존 MSWSI보다 개선된 MSWSI가 가뭄 심도가 더 강해진 지역이 두드러지게 나타나며, 특히 2014년은 서쪽지역의 가뭄 더욱 극심해진 것으로 나타났다. 기존 MSWSI와 개선된 MSWSI 비교를 더 자세히 살펴보면 다음과 같다.
2.3.1 중권역 3001
Fig. 5(a)는 중권역 3001에 대해 2014년 기존 MSWSI와 개선된 MSWSI에 대한 시계열을 나타내고 있다. 기존 MSWSI에서는 약하거나 심각한 가뭄이 지속적으로 발생하는 것으로 나타나고 있으나 개선된 MSWSI에서는 가뭄은 발생하지 않고 상반되게 습윤한 것으로 나타나고 있다. 이에 대해 중권역 3001의 수문기상자료인 강수, 하천유량, 댐유입량의 평년 평균대비 비율을 살펴보았으며, Fig. 5(b)와 같다. Fig. 5(a)의 기간 A에서 강수와 댐유입량은 2014년 1~2월은 평균보다 낮았으나 2013년 9~12월까지 평균보다 매우 많은 강수발생(최대 164%)으로 인하여 댐유입량과 하천유량도 매우 풍부한 것으로 나타났다. 이러한 영향이 2014년 초까지 이어짐에 따라 중권역 3001에서는 수문학적으로 가뭄이 발생하지 않는 것이 더 타당할 것으로 판단된다. 홍수기에 강수와 댐유입량이 평균보다 낮았으나 3~4월의 강수영향으로 물부족 상태까지 발생하지 않는 것으로 나타났다. Fig. 5(a)의 B기간에서 기존 MSWSI는 가뭄상태로 나타났지만 평년보다 매우 많은 강수발생으로 댐유입량과 하천유량이 증가하였으며, 이에 대한 영향으로 개선된 MSWSI에서는 습윤한 것으로 나타났다.
| |
Fig. 5. Verification of improved MSWSI in sub-basin 3001 and 3014: (a) & (b) at 3001 and (c) & (d) at 3014 | |
2.3.2 중권역 3014
Fig. 5(c)은 2001년 중권 3014에 대해 기존 MSWSI와 개선된 MSWSI에 대한 시계열을 나타낸다. 기존 MSWSI에서는 전체적으로 다소 변동이 심하나 대부분 4단계(보통상태) 이상으로서 중권역 3014에는 7~8월을 제외하고 가뭄발생이 없는 것으로 나타냈다. 이와 반대로 개선된 MSWSI에서는 중권역 3014에 대하여 2001년에는 대부분 가뭄이 발생하였으며, 특히 2001년 초기에는 극한 가뭄이 발생하였으며, 지속적으로 심한 가뭄과 약한 가뭄이 나타났다. 이에 대해 중권역 3014의 강수와 하천자료의 평년 평균대비 비율을 월별로 살펴보았으며, Fig. 5(d)와 같다. Fig. 5(c)의 박스기간동안 Fig. 5(d)의 강수와 하천유량을 살펴보면, 대부분 평균대비 40~60%만 발생함에 따라 심각한 물부족으로 인하여 가뭄이 발생한 것으로 판단할 수 있다. 이에 따라 중권역 3014에서는 수문학적 가뭄이 발생하는 것이 더 타당한 것으로 판단된다.
앞서 몇 가지 사례를 살펴본 바와 같이, 기존 MSWSI와의 비교에서 개선된 MSWSI가 금강유역에서 발생하는 가뭄을 보다 정확하게 정량적으로 나타내었으며, 수문학적 가뭄 모니터링과 가뭄전망에 있어서 개선된 MSWSI를 이용하는 것이 더 타당함을 확인하였다.
3. 개선된 가뭄지수를 활용한 확률론적 가뭄전망
3.1 앙상블 기반 확률론적 가뭄전망
3.1.1 확률론적 가뭄전망 과정
본 연구에서는 앙상블 기반의 월단위 확률론적 가뭄전망의 검증을 위해 2006년 1월부터 12월, 2014년 1월부터 12월까지를 검증기간으로 하였으며, 2006년에 대해서는 1990년 1월부터 2005년 12월까지 16개년도, 2014년에 대해서는 1990년 1월부터 2013년 12월까지 24개년도의 과거 강수와 온도 앙상블 시나리오들을 이용하였다.
확률론적 가뭄전망 과정을 살펴보면, 예를 들어 2006년 1월의 가뭄을 전망하고자 하는 경우에 우선 1990년부터 2005년까지의 16개 강수와 기온 앙상블을 각각 abcd모형에 입력하여 2001년 1월의 15개의 유입량과 지하수위 앙상블을 생성하였다. 다음으로 다른 월에 대해서도 15개의 과거 강수 앙상블, 유입량 앙상블, 지하수위 앙상블을 과거 관측자료를 이용하여 생성하였다. 이렇게 생성된 각 인자들에 대해 앞서 선정한 확률분포를 적용하여 비초과확률을 산정하고 각 수문기상인자에 대한 가중치를 산정하였다. 마지막으로 각 수문기상인자의 월별 비초과확률 앙상블을 Eq. (2)의 MSWSI 공식에 대입한 다음 MSWSI 앙상블을 산정하고 각 MSWSI 앙상블을 MSWSI의 가뭄단계에 맞도록 구분하였다. Fig. 6은 확률론적 가뭄전망 과정을 나타낸 그림이다.
3.1.2 수문모형: 물수지 모형
본 연구에서는 가뭄전망에서 수문인자(유출량, 지하수위)를 생산하기 위한 강우-유출모형으로 물수지모형인 abcd모형을 적용하였다. abcd모형에 사용되는 매개변수(a, b, c, d)는 댐유입량이나 하천수위(유량) 등의 자료가 존재하는 계측유역의 경우 모의유량과 관측유량이 근접해지도록 추정하였으나, 미계측유역은 계측유역에서 구한 매개변수 추정값을 유역특성인자로 회귀식을 만든 지역회귀분석기법(regional regression method)을 사용하였다. 즉, 독립성이 유지될 수 있도록 각 유역특성을 선택하였으며, 독립변수로 선택된 유역특성은 유역 연평균 잠재증발산량, 유역평균고도, 유역평균경사, 하천밀도, 평균온도, 월최대강우, 총하천길이 등 7의 인자이다. 이에 따른 종속인자는 9개 다목적댐(충주댐, 소양강댐, 안동댐, 임하댐, 합천댐, 대청댐, 보령댐, 부안댐, 섬진강댐)으로부터 추정된 매개변수이며, stepwise regression 기법을 이용하여 매개변수별 회귀식을 구성하였다(Table 4 참조). 여기서 구성된 회귀식을 사용하면 우리나라 미계측유역에 대하여 abcd모형으로 월별 유역 유출량을 구할 수 있다는 장점이 있다.
지역회귀분석기법으로 추정한 매개변수를 검증하기 위해 abcd모형으로 기간#1인 2002년 1월부터 2004년 12월, 기간#2인 2010년부터 2013년까지 용담댐의 유입량을 모의하였다. 검증결과 기간#1의 R2는 92.42, R-Bias는 –0.06, R-RMSE는 0.35이며, 기간#2에서 R2는 90.61, R-Bias는 0.11, R-RMSE는 0.55로서 정확성이 높게 나와, 적용 가능한 모형임을 확인하였다.
3.2 확률론적 가뭄전망의 검증
Fig. 7은 2006년과 2014년의 4월과 12월의 기존 MSWSI와 개선된 MSWSI를 이용한 가뭄전망 예시를 나타내고 있다. 전체적으로 기존 가뭄전망보다 개선된 MSWSI를 이용한 가뭄전망에서 가뭄강도가 더 강하게 표출되고 있으며, 금강유역에서 광범위하게 가뭄지역이 발생한 것으로 나타났다. 2006년과 2014년 4월에 기존 MSWSI를 이용한 가뭄전망은 용담댐 근처 일부 소유역과 하류 일부 소유역에서 가뭄이 심한 가뭄이 발생하는 것으로 전망하였으나 개선된 MSWSI를 이용한 가뭄전망은 금강유역 대부분에 극심한 가뭄이 발생하는 것으로 전망하여 서로 상반된 전망을 나타냈다. 다음으로 2006년과 2014년 12월을 살펴보면, 전반적으로 가뭄이 발생하는 소유역은 비슷하나 개선된 MSWSI에서 가뭄이 더 심하게 발생하는 것으로 나타났다. 특히 2014년 12월 가뭄전망에서 개선된 MSWSI가 용담댐 근처와 하류에서 더 극심함 가뭄이 발생하는 것으로 전망되었다. Table 5는 2014년 4월과 12월에 대해 기존 MSWSI와 개선된 MSWSI를 이용한 가뭄전망의 중권역별 가뭄발생확률을 나타낸 표이다. 개선된 MSWSI를 이용한 가뭄전망에서 4월과 12월 모두 극심한 가뭄을 70%이상이 확률로서 매우 발생가능성이 높게 전망하였다.
| |||
Fig. 7. Comparison of the drought forecasts using the previous and improved MSWSI on April and December in 2006 and 2014 |
Table 5. Comparison of the most probable drought steps and their probabilities for each sub-basin in April and December on 2014 | |||||||||||||
| |||||||||||||
* MPS: the Most Probable Drought Step; PR: Probability | |||||||||||||
다음으로 가뭄전망 결과에 대해 정량적으로 정확성 평가를 수행하였다. 월단위 가뭄전망의 정확성 평가를 위해 구간별 확률전망을 평가할 수 있는 지표인 AHS (Average Hit Score)와 HBS (Half Brier Score)를 이용하였다. AHS는 실제가뭄이 발생한 구간에 대해 앙상블 가뭄전망의 발생확률을 점수로 하는 방법으로 초보전망(naive forecast)의 AHS보다 높으면 가뭄전망으로서 유효하다고 할 수 있다. HBS는 앙상블 가뭄전망이 실제가뭄을 맞는 경우 높은 점수를 얻을 수 있으나 틀린 구간에 대해서도 벌점(penalty)를 주는 방법으로서 평균제곱오차(mean square error) 개념이며, 초보전망의 HBS보다 작을수록 가뭄전망이 정확하다고 할 수 있다. AHS와 HBS의 식은 다음과 같다.
AHS=
(3)
HBS=
(4)
여기서, f o는 실제 가뭄이 발생한 단계의 가뭄 전망확률, i는 전망순서, j는 전망에서의 구간, fi,j는 i예측의 j범주에 해당하는 전망확률을 나타낸다. oi,j는 j구간의 실제 가뭄을 나타내며, 실제 가뭄이 발생한 단계는 1의 값을 가지고 나머지 단계의 값은 0이 된다.
Table 6. Accuracy of the previous and improved MSWSI results | |||||||||||||
(a) Average hit score | |||||||||||||
| |||||||||||||
(a) Half brier score | |||||||||||||
|
확률론적 가뭄전망 정확성을 살펴보면, Table 6(a)와 같이 기존 MSWSI를 이용한 가뭄전망에서 2006년과 2014년의 AHS는 각각 0.201과 0.200으로 초보전망(AHS=0.174)보다 높게 나타났다. 특히 개선된 MSWSI를 이용한 가뭄전망은 2006년과 2014년의 AHS가 각각 0.249와 0.325로서 기존 MSWSI를 이용한 가뭄전망보다 정확성이 더 향상되었다. 계절별로 살펴보면, 전체적으로 홍수기(7~9월)보다 갈수기(12~이듬해 2월, 3~5월)에 가뭄전망 정확성이 더 우수한 것으로 나타났으며, 개선된 MSWSI를 사용함으로써 갈수기 가뭄전망 정확성이 평균 0.219에서 0.397로 향상된 것으로 나타났다. 또한 가뭄지수 산정에서 댐수위, 댐방류량, 지하수위, 하천수위지점 등 수문기상인자의 활용성을 높인 소유역(3001, 3002, 3004, 3008, 3009, 3011)에 대해 살펴보면, 평균 AHS가 0.201에서 0.216으로 소폭 증가한 것으로 나타났다. Table 6(b)의 HBS 결과를 살펴보면, 기존 MSWSI를 이용한 가뭄전망 정확성은 2006년과 2014년의 HBS는 각각 0.848와 0.865로서 2006년은 초보전망(HBS=0.857)보다 작아 가뭄전망으로서 정확성이 효용성이 있으나 2014년은 정확성이 낮게 나타났다. 개선된 MSWSI를 이용한 가뭄전망의 정확성은 2006년(HBS=0.824)과 2014년(HBS=0.795) 모두 기존보다 정확성이 향상되었으며 초보전망보다 작아 가뭄전망으로서 유효함을 확인하였다. 계절별로 살펴보면, 갈수기에 기존보다 개선된 MSWSI를 이용한 가뭄전망의 정확성이 더 향상된 것으로 나타났다.
| |
Fig. 8. Comparison of the drought forecasts ranges for each month at sub-basin 3001, 3007, and 3014 in 2014 | |
다음으로 기존 MSWSI와 개선된 MSWSI를 이용한 실제 발생한 가뭄과 가뭄전망 범위를 비교하였다. Fig. 8(a)와 (b)는 소유역 3001에 대해 2014년 1월부터 12월까지 실제 가뭄발생(검은 점)과 앙상블 기반 가뭄전망의 범위(box-plot의 1사분위와 3사분위 사이)를 나타낸 것이다. 실제 가뭄이 가뭄전망 범위에 위치한다는 것은 가뭄전망이 실제 가뭄이 발생한 범위를 어느 정도 전망함을 의미하여, 실제 가뭄발생 위치를 포함하는 가뭄전망 범위가 좁을수록 가뭄전망의 정확성(높은 가뭄발생 확률)은 높아진다고 할 수 있다. Fig. 8(a)의 기존 MSWSI를 이용한 가뭄전망에서 실제 가뭄이 대부분 가뭄전망 범위에 위치하고 있으므로 가뭄전망이 어느 정도 정확성이 있음을 보여주고 있으나, Fig. 8(b)에서 개선된 MSWSI를 이용한 가뭄전망은 실제 가뭄이 가뭄전망 범위를 벗어나 정확성이 낮게 나타났다. 소유역 3007의 Fig. 8(c)와 (d)를 살펴보면, Fig. 8(c)는 실제 가뭄과 가뭄단계(점선박스)이 가뭄전망과 중첩되고 있어 기존 MSWSI를 이용한 가뭄전망이 어느 정도 효용성이 있는 것으로 나타났다. Fig. 8(d)에서도 실제 가뭄과 가뭄단계(점선박스 A)가 가뭄전망과 대부분 일치하는 것으로 나타났다. 특히 가뭄전망에서 box-plot이 매우 작게 나타나는 것은 MSWSI 앙상블값들이 가뭄단계 7에 매우 집중되어 있다는 것을 의미하며, 실제 가뭄 또한 가뭄단계 7에 발생하였으므로 가뭄전망의 정확성이 매우 높음을 알 수 있다. 소유역 3014의 Fig. 8(e)와 (f)에서도 소유역 3007과 비슷한 경향을 나타내어, Fig. 8(f)에서 실제 가뭄발생이 가뭄단계 7 (점선박스 B)에 집중되어 있으며, 가뭄전망의 box-plot 또한 가뭄단계 7에 집중되어 있는 것으로 나타나 개선된 MSWSI를 이용한 가뭄전망의 정확성이 매우 높음을 확인하였다.
4. 결론 및 향후연구
본 연구에서는 국내에 기적용된 MSWSI의 산정과정에 발생한 몇가지 한계점을 개선하였으며, 개선된 MSWSI를 이용하여 앙상블기반 확률론적 가뭄전망을 수행하였다. 본 연구에서 수행한 세부 연구를 살펴보면, 첫 번째로 금강유역내 존재하는 모든 수문기상인자를 9가지로 분류하고 조사하여 각 유역별로 적합한 인자를 추가 선정하였다. 기존 MSWSI에서 적용한 하천유량, 지하수, 강수, 댐유입량의 4개 인자뿐만 아니라 댐저수위와 댐방류량 자료를 포함하였으며, 강수는 42개 관측소(면적평균강수, 금강유역 대상), 하천은 28개 관측소, 지하수는 4개 관측소로 확장하여 적용하였다. 또한 각 유역에 대하여 인자별 가중치 산정을 바탕으로 해당 유역에 가장 큰 영향을 미치는 수문기상인자를 분석하여 댐상류, 댐하류, 하천, 지하수, 강수, 상수도 유역으로 분류하였다. 댐상류나 댐하류에 인접한 유역은 댐의 영향이 가장 컸으며, 이외 유역에서는 하천과 강수의 영향이 가장 큼을 확인하였다. 특히, 홍수기에는 유역에 대해 강수의 영향이 더 크며, 갈수기에는 하천이 더 큰 영향을 주는 것으로 나타났다.
두 번째로 기존 MSWSI에 적용되는 수문기상인자의 비초과확률을 산정하기 위해 정규분포만을 적용하는 문제점을 개선하기 위해 각 수문기상인자들에 적합한 확률분포를 추정하였다. 강수와 하천은 대부분 Gumbel 분포, 댐유입량, 방류량, 저수위는 2 매개변수 대수정규분포, 지하수는 3 매개변수 대수정규분포에 적합한 것으로 나타났다. 이렇게 개선된 MSWSI를 과거 실측강수, 하천유량 등을 이용하여 검증한 결과 기존 MSWSI보다 개선된 MSWSI가 과거 발생한 가뭄현상을 더 잘 나타내어 개선된 MSWSI가 효용성이 있음을 확인하였다.
세 번째로 개선된 MSWSI를 이용하여 앙상블기반 확률론적 가뭄전망을 극심한 가뭄이 발생한 2006년과 2014년을 대상으로 수행하고 검증하였다. 기존 MSWSI과 개선된 MSWSI를 이용한 가뭄전망 모두 초보전망보다 정확성이 높게 나타났으며, 2006년과 2014년에서 개선된 MSWSI의 AHS가 각각 0.249와 0.325로서 기존 MSWSI를 이용한 가뭄전망보다 높게 나타나 개선된 MSWSI를 이용한 가뭄전망의 정확성이 향상되는 것으로 나타났다. 또한 HBS에서도 개선된 MSWSI를 이용한 가뭄전망이 2006년과 2014년에서 0.824와 0.795로 기존보다 가뭄전망 정확성이 향상되었음을 확인하였다. 또한 댐수위, 댐방류량, 지하수위, 하천수위지점 등 수문기상인자의 활용성을 높인 소유역(3001, 3002, 3004, 3008, 3009, 3011)에 대해 살펴보면, 개선된 MSWSI를 이용한 가뭄전망이 기존보다 정확성이 향상되었다. 이에 따라 개선된 MSWSI를 이용한 가뭄전망의 평균 AHS가 0.201에서 0.216으로 소폭 증가한 것으로 나타났다. 다음으로 기존 MSWSI와 개선된 MSWSI를 이용한 실제 발생한 가뭄과 가뭄전망 범위를 비교하였다. 개선된 MSWSI를 이용한 가뭄전망에서 대부분의 소유역에서 실제 가뭄이 발생한 위치가 가뭄전망 범위에 속하여 가뭄전망 정확성이 높았다.
따라서 본 연구에서 개선된 MSWSI을 활용한다면 보다 정확한 가뭄모니터링 수행이 가능하며, 가뭄전망의 정확성을 높일 것으로 사료된다. 이와 더불어 다음과 같은 향후 연구가 필요하다. 먼저 정확한 가뭄모니터링을 위해서는 공간적으로 세분화된 유역 분할뿐만 아니라 행정구역상의 시군구 단위로 분석할 필요성이 있다. 이는 광역상수도나 댐 수혜구역을 구분하는 데 매우 중요하기 때문이며, 이러한 지역은 댐 물공급 능력지수 등을 이용하여 개별적으로 가뭄을 평가해야 할 것이다. 두 번째로 가뭄전망에 있어서 기상전망 자료를 활용함으로써 가뭄전망의 정확성을 더 향상시킬 수 있는 연구가 진행되어야 할 것으로 판단된다.


















