1. 서 론
2. 대상 유역 및 자료 구축
3. 증발산 산정 공식
3.1 Hargreaves
3.2 Penman-Monteith 공식
4. 평가지표
5. 결과 및 고찰
5.1 증발접시 비교결과
5.2 평가 결과
6. 결 론
1. 서 론
최근 지구온난화로 인한 기상 변화로 강수, 기온, 증발산 등 수문순환 요소들이 급변하고 있다. 또한, 자연재해 빈도가 급증하면서 기후변화에 대한 전 세계적인 관심이 높아지고 있다. 특히, 기후변화로 인한 가뭄의 발생은 한 계절 길게는 수년 동안 지속되는 시간 특성을 가지며 구체적인 발생 시기, 장소, 원인 등을 규명하기에 어려움이 있다(Kim et al., 2017). 이러한 기후변화에 따른 가뭄으로 인해 농업용수의 부족 현상이 발생하고 있으며, 농업용수의 안정적인 공급 및 관리에 어려움을 겪고 있다(Shin et al., 2020).
국내 용수 이용은 크게 공업용수, 농업용수, 생활용수로 구분되며 수자원 현황 중 농업용수는 전체 용수 이용량 중 62%를 차지하며 그 중요성이 매우 높다(MLTM, 2011). 농업용수를 최적으로 관리하기 위해서는 수리 시설을 활용하여 필요한 시점에 적절한 양의 용수를 효율적으로 분배하는 것이 필요하다. 현재 국내의 농업용수 관리는 경험에 기반한 관행적인 방식으로 진행되고 있다. 특히, 농업용수의 회귀율의 경우 35%로써 경험에 의존한 값을 이용하여 관리하고 있다(수자원장기종합계획, 국토해양부). 이에 따라 농업용수의 손실량으로 인해 농업용수의 균등한 분배의 어려움이 발생하고 있다(Shin et al., 2020).
균등한 농업용수 분배를 위해 농업용수 사용량을 파악함에 있어 증발산량은 중요한 인자 중 하나이며 증발산량은 농업용수의 회귀율 및 회귀량을 산정하기 위하여 이용한다. 작물의 물 사용량 및 논에서의 증발량을 산정하기 위하여 다양한 방법으로 증발산량을 산정한다. 이론적인 방법에 따른 증발산량 산정방법은 Blaney-Criddle, HG (Hargreaves), Jensen-Haise, PM FAO (Penman-Monteith FAO) 등 50가지 이상의 방법이 제시되어 있다(Lim et al., 2015).
HG 공식은 온도만으로 증발산량을 산정하여 여러 지역에서도 사용이 쉽다는 장점이 있어 다양한 모델에서 사용하는 공식이다. 그러나 HG공식은 작물계수를 고려하지 않아 작물별 증산을 고려하지 못하며, 계절별 특성 또한 고려하지 못해 잠재증발산만 확인할 수 있다. 따라서 HG공식은 다양한 증발산 특성을 고려하지 못하여 여러 매개변수를 활용하는 공식에 비해 정확도가 떨어지는 편이다. 또한, HG 공식의 기본 보정계수는 미국 지역에서 8년 동안의 기상자료를 기반으로 결정되어 있어 국내에 그대로 활용하기에는 부적합하다는 단점이 있다(Hwang et al., 2019). 증발산량 산정 시 이용할 수 있는 공식 중 PM FAO 공식은 물리이론(Physical Concept)을 기반으로 작성된 공식이다. 해당 공식은 작물계수를 반영할 수 있어 작물 특성에 따른 증발산량 산정이 가능하다. 최근 Penman-Monteith 공식을 개선하고자 하는 많은 노력이 있으나(Liu et al., 2023; Yang et al., 2019) PM FAO 공식은 현재 유엔 식량 농업 기구(FAO)에서 잠재증발량을 산정하기 위한 표준으로 제안한 공식으로 다양한 증발량 검증에 이용되고 있다(Lee et al., 2008; Kim et al., 2019).
따라서, 본 연구의 목적은 주로 단기 분석을 대상으로 농업용수 산정에 사용되는 HG 공식과 과 다양한 변수를 고려할 수 있는 PM FAO 공식을 비교하여 PM FAO 공식의 적용 가능성과 정확도를 평가하는 것이다. 또한 농업용수 산정 시 장기 분석을 고려할 경우 HG 공식의 한계점 및 PM FAO 공식의 이점을 확인할 것이다.
2. 대상 유역 및 자료 구축
본 연구에서는 일별 최고온도, 최저온도, 습도, 일사량, 풍속, 강우, 증발량에 대해 기상청 종관기상관측장비(Automated Synoptic Observing System, ASOS)의 종관기상관측자료를 활용하였다. 증발량 산정지역은 대유역 중 벼 재배 면적이 109,684 ha로 가장 많은 벼 재배 면적을 가진 유역인 낙동강 유역을 선정하였으며 해당 낙동강 유역의 ASOS관측소 총 20곳(Table 1) 중 8곳(Fig. 1)의 관측소 자료를 활용하여 연구를 진행하였다. 관측소 선정 기준은 PM FAO 공식과 HG 공식에 활용할 기상자료를 모두 관측하는 지점으로 하였다. 관측 기간은 관측소의 관측 기간과 결측을 고려하여 2017년부터 2020년까지의 일 자료로 선정하였다.
Table 1.
Nakdong River Basin ASOS weather observatory
증발량의 경우 관측소에서 증발접시를 이용하여 산정한 증발량을 활용하였다. 증발접시는 소형과 대형으로 구분하는데 소형은 지름 20 cm, 깊이 10 cm이며, 대형은 지름 120 cm, 깊이 25 cm이다. 소형증발접시는 조류의 접근을 막기 위하여 망을 설치해야 하며, 설치는 우량계의 수수기 높이와 같게, 증발접시에 물이 튀지 않도록 주변을 잔디가 있어야 하는 등 외부 환경에 많은 영향을 받을 수 있어 신뢰도가 다소 떨어진다는 단점이 있다. 따라서 세계적으로도 대형증발접시의 증발량을 이용하는 추세이다(Jeong and Kang, 2009). 우리나라의 대형증발접시의 증발량은 소형증발접시에 증발접시계수인 0.7을 곱하여 구할 수 있으며(KMA, 2016), 본 연구에서는 기상청에서 직접 제공하는 대형증발접시 자료를 활용하였다.
기상자료 수집 방법은 기상청에서 제공하는 OPEN API를 활용하여 수집하였다. 해당 OPEN API의 메시지 형식과 서비스키를 활용하여 원하는 지점, 기간의 기상자료를 얻을 수 있다. API 호출을 위하여 사용된 프로그래밍 언어는 Python이며 호출 이후 Pandas를 활용하여 필요한 7가지의 기상 데이터를 추출, 정렬을 진행하였다.
3. 증발산 산정 공식
본 연구에서는 잠재증발산량을 산정하기 위하여 일반적으로 많이 사용되는 Hargreaves 공식과 Penman-Monteith FAO 공식을 활용하였다. Penman-Monteith FAO 공식은 수문 모형을 구동하기 위하여 일 단위 증발량을 산정할 수 있는 공식이며 현재 세계 식량기구가 전 세계에 공통으로 적용할 수 있는 증발산량 모형으로 추천하는 공식이다(Allen et al., 1998).
3.1 Hargreaves
Hargreaves 공식(Hargreaves, 1975; Hargreaves and Samani, 1982, 1985)은 농업용수 운용 목적으로 만들어진 증발산량 산정 공식으로써 온도에 기초한 증발산량 산정 공식 중 정확도가 우수한 공식이다. 이 공식을 이용하여 일 증발산량(mm/day)을 계산한 후 월 또는 연평균 증발량 등으로 환산하여 사용하게 되며, 공식은 Eq. (1)과 같다.
여기서, 는 Hargreaves계수(Hargreaves에 의하여 0.0023으로 주어짐(Hargreaves, 1994)), (mm/day)는 Hargreaves 공식으로 산정된 기준 증발산량, (mm/day)는 대기권상층부(extraterrestrial) 태양에너지에 상응하는 물의 양으로 하루 동안의 대기권상층부 복사 에너지()와 수증기화 잠열(𝜆)의 비, (°C)는 일평균 온도, 그리고는 일 최고기온과 일 최저기온의 차이다.
다만 Hargreaves 공식의 경우 작물계수를 고려하지 않아 작물별 증산을 고려할 수 없으며, 일 최소 기온과 최대 기온 2개의 변수만을 적용하여 더 많은 변수를 활용하는 공식에 비하여 정확도가 떨어지는 편이다. 또한, 기본 보정계수인 는 미국 지역에서 8년 동안의 기상자료를 기반으로 결정되었으며, 이러한 값은 대한민국의 기상 조건과는 일치하지 않는다.
3.2 Penman-Monteith 공식
Penman-Monteith 공식은 1965년에 처음으로 제안된 방법으로 Penman 공식의 공기동역학 조건에 작물형에 따른 기공저항(stomatal resistnace)를 포함하여 수정한 방법이며(Allen et al., 1998) Eq. (2)와 같다.
여기서, 는 잠재증발산량(mm/day), 𝛥는 포화 수증기압곡선경사(kPa/℃), 𝛾는 건습계 상수 (kPa/℃), 은 순복사량(MJ/m2/d), 는 토양 열 유속밀도(MJ/m2/d), 는 2m 높이에서의 풍속(m/s), 는 포화수증기압(kPa), 는 실제증기압(kPa), 는 2 m높이에서의 일평균기온(°C), 과는 작물의 종류에 따른 계수(잔디의 경우, =900, =0.34)이다.
4. 평가지표
평가지표란 모형의 적합성을 평가하기 위한 지표 중 하나다. 또한, 모형의 결과와 관측값의 상관성을 비교분석하고 평가하는 방법이며, 다양한 우도를 사용하여 평가할 수 있다. 적합성평가를 위한 우도로는 Nash 함수인 NSE, 결정계수 R2 등 많은 우도가 다양한 연구에서 적합지표로 사용되고 있다. 여기서 결정계수 R2는 모형이 종속변수의 변동을 얼마나 잘 설명하는지를 나타내는 지표로 활용되고 있으며, Eq. (3)과 같다.
여기서, 는 통계모형의 예측값, 는 관측값의 평균이다.
NSE 범위는 -∞ ~ 1.0이며, NSE의 값이 1에 가까운 값일수록 최적의 값을 나타낸다. NSE식은 Eq. (4)와 같다.
여기서, 은 자료의 개수, 는 시간 에서의 관측증발량, 는 시간 에서의 예측증발량, 는 관측증발량의 평균값이다.
본 연구에서 Penman-Monteith FAO 공식 증발량과 Hargreaves 공식 증발량에 대한 정확도를 평가하기 위해 사용한 우도는 R2와 NSE를 사용하여 평가했다, 각각의 우도별 범위는 다음과 같이 해석된다. R2와 NSE 값이 0.5 미만인 경우, 모형의 예측 결과는 '적절하지 않음(unsatisfactory)'으로 판단되며, R2와 NSE의 범위가 0.5보다 크고 0.65 미만인 경우, 예측 결과는 '사용 가능(satisfactory)', R2와 NSE의 범위가 0.65보다 크고 0.75 미만인 경우, 모형의 예측 결과는 '좋음(good)'으로 평가된다. 마지막으로, R2와 NSE가 0.75를 초과할 경우, 모형의 예측 결과는 '매우 좋음(very good)'으로 판단된다(Table 2)(Moriasi et al., 2007; 2015).
5. 결과 및 고찰
실측 증발량과의 Penman-Monteith FAO (PM FAO) 공식 증발량, Hargreaves 공식 증발량을 비교 및 평가를 위하여 적용한 대상지점은 안동, 청송, 대구 등 낙동강 유역의 총 7개의 지점이며, 증발접시의 증발량은 2017년부터 2022년 자료를 활용하였다. 증발접시의 증발량은 HG-semi 검증 등 다양한 연구에서 증발량 산정 공식 비교에 이용하였으며(La Loggia et al., 1996; Cahoon et al., 1991) 본연구에서 관측 자료로 활용하고자 한다.
5.1 증발접시 비교결과
PM FAO 증발량과 Hagreaves 증발량의 정확도 평가를 위하여 관측값은 기상청의 대형 증발접시 실측값을 활용하였다. Fig. 2의 증발량 관측값인 대형 증발접시 그래프와 PM FAO의 그래프를 비교하여 보았을 때 모든 지역에서 경향이 매우 유사하게 그려졌다. 지역별로 안동 0.55 mm/day, 대구 1.63 mm/day, 진주 0.79 mm/day, 김해 1.48 mm/day, 양산 1.53 mm/day, 의령 1.37 mm/day, 함양 1.40 mm/day, 청송 1.36 mm/day의 차이를 보였다. 증발접시와 PM FAO의 잠재증발량은 낙동강 지역에 평균적으로 1.26 mm/day의 차이를 보였다. Hargreaves 증발량 그래프의 경우 관측값인 대형 증발접시 그래프와 비교하여 대부분 지역에서 여름철 증발량이 상이함을 확인할 수 있다. 지역별로 안동 0.97 mm/day, 대구 1.90 mm/day, 진주 0.55 mm/day, 김해 1.98 mm/day, 양산 2.00 mm/day, 의령 2.02 mm/day, 함양 2.05 mm/day, 청송 2.08 mm/day의 차이를 보였다. 증발접시와 Hargreaves의 잠재증발량은 낙동강 지역에 평균적으로 1.81 mm/day 차이를 보였다. 최종적으로 증발접시와 비교하여 Hargreaves 공식의 잠재증발량은 PM FAO 공식의 잠재증발량과 비교하여 평균적으로 0.55 mm/day 더 높은 오차를 보였다.
5.2 평가 결과
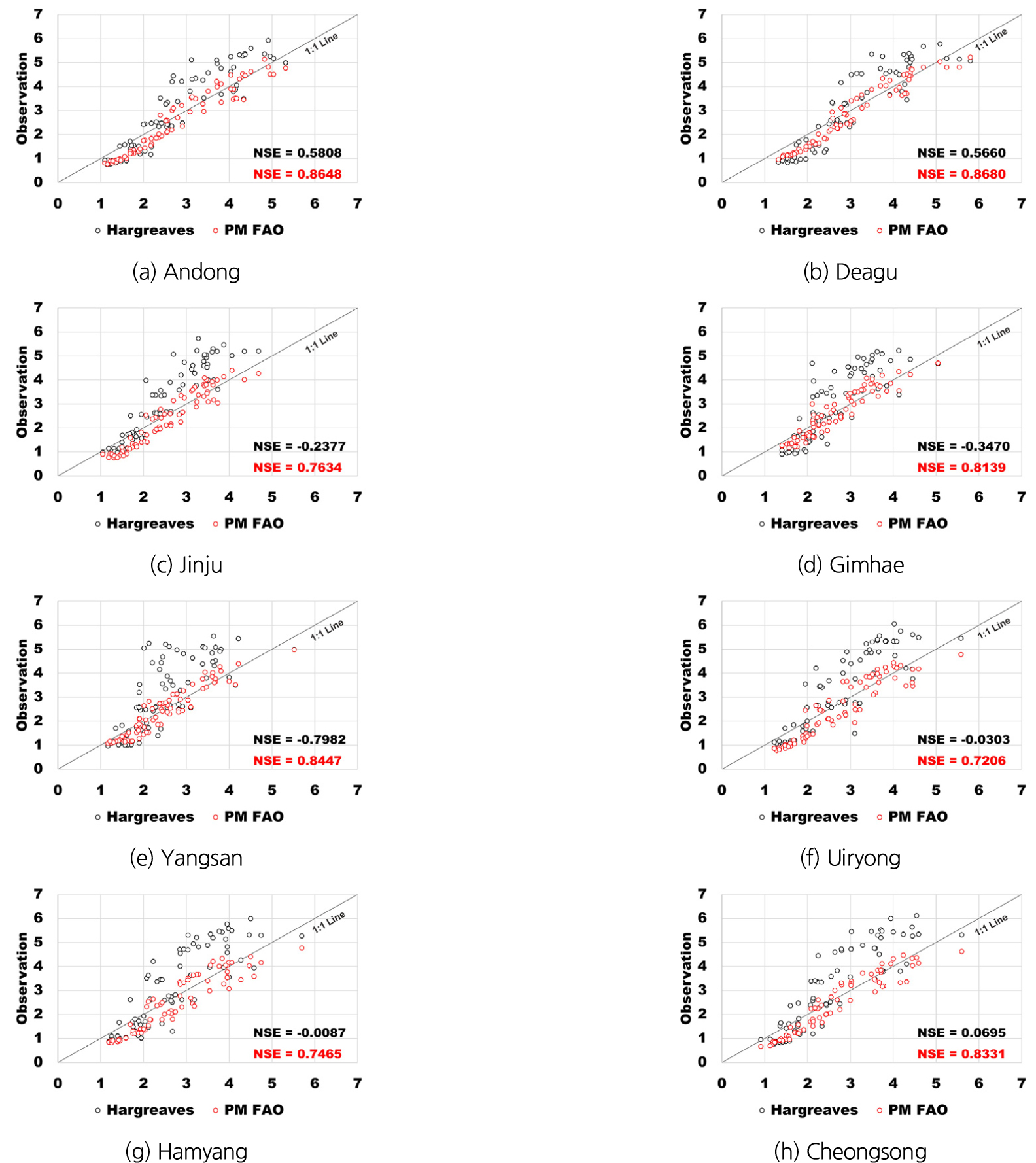
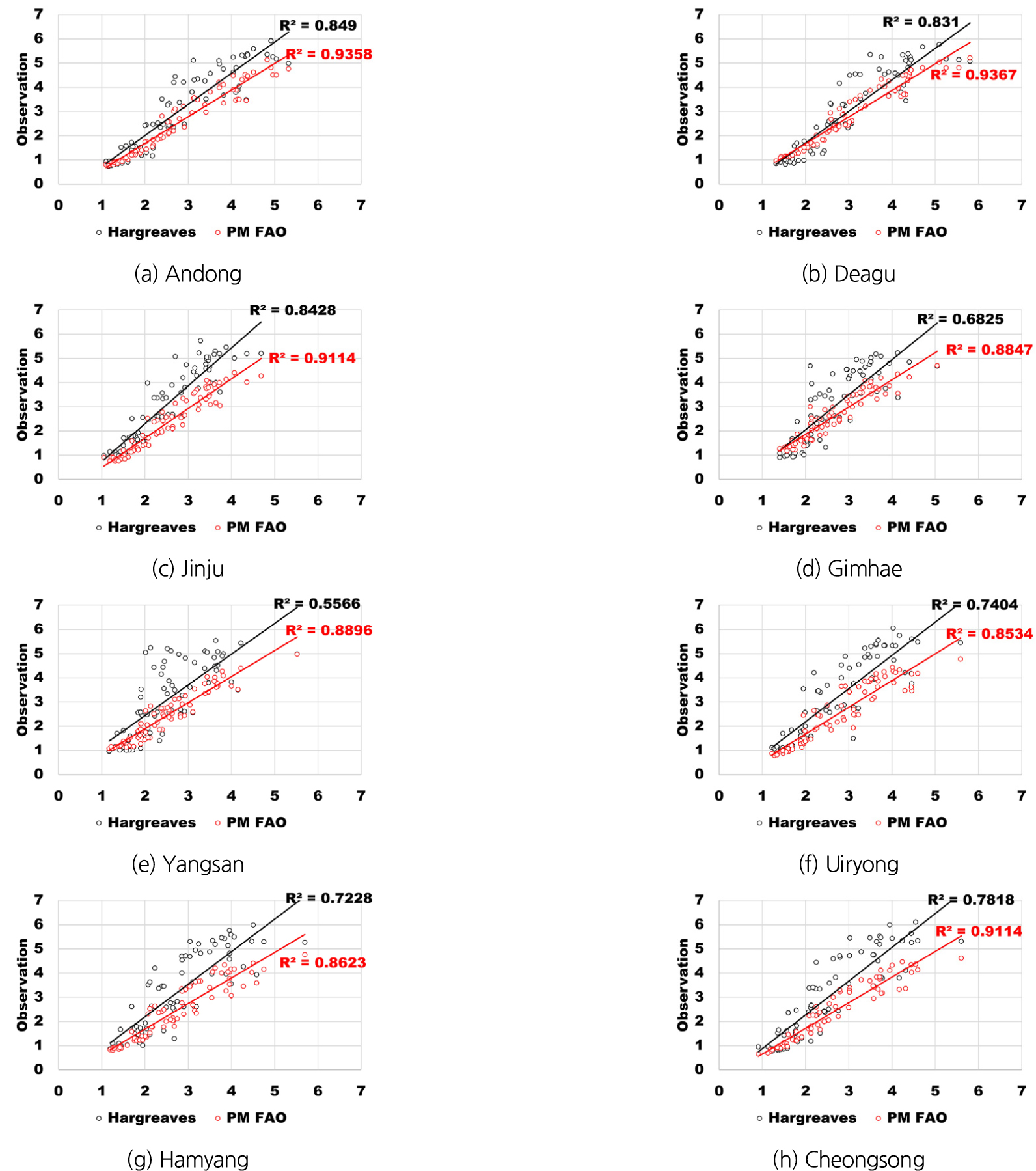
월평균 증발량은 모든 지점에서 Hargreaves 공식의 NSE는 -0.80~0.58, 평균 NSE는 -0.03이며 R2는 -0.25~0.60, 평균 R2는 0.19로 나타났다. PM FAO 공식의 NSE는 0.72~0.87, 평균 NSE는 0.81이며 R2는 0.74~0.87, 평균 R2는 0.81로 나타났다. 따라서 월평균으로 NSE, R2를 확인하여 보았을 경우 PM FAO 공식이 Hargreaves 공식에 비해 월평균 증발량과의 상관관계가 매우 높게 나타났으며 1:1 선형관계 또한 PM FAO 공식이 Hargreaves 공식에 비해 양호하게 나타났다.
일 평균 증발량도 마찬가지로 모든 지점에서 Hargreaves 공식의 NSE는 -0.01~0.81, 평균 NSE는 0.47이며 R2는 0.40~ 0.63, 평균 R2는 0.52로 나타났다. PM FAO 공식은 NSE 0.62~ 0.89, 평균 NSE는 0.75이며 R2는 0.56~0.84, 평균 R2는 0.71로 나타났다. 따라서 일 평균 NSE와 R2 비교결과 PM FAO 공식이 Hargreaves 공식에 비해 일평균 증발량과의 상관관계가 매우 높게 나타났으며 1:1 선형관계 또한 PM FAO 공식이 Hargreaves 공식에 비해 양호하게 나타났다(Table 3, Fig. 3, Table 4, Fig. 4).
Table 3.
NSE evaluation results by observation station
Table 4.
R2 Evaluation results by observation station
따라서 PM FAO 공식이 Hargreaves 공식에 비해 월평균 및 일 평균 증발량과의 상관관계에서 더 높은 성능을 보이는 것으로 나타났으며, 이는 PM FAO 공식이 다양한 지역에서 증발량을 예측하는 데 효과적인 것으로 해석된다. 일부 지역은 Hargreaves를 이용하여 증발량 구한결과 R2가 마이너스가 나와 해당 지역은 Hargreaves를 이용하여 증발량을 구하기에는 매우 부적절함을 확인할 수 있다.
6. 결 론
본 연구는 Hargreaves 공식과 PM FAO 공식을 비교한 증발산량 결과를 Table 2의 적합 지표를 통해 확인하였다. 비교 결과 Hargreaves 공식의 적합지표별 월평균 NSE 적합도 지역 수는 “Unsatisfactory”는 8개로 전 지역 모두 적합도가 떨어지는 모습을 보였다. PM FAO 공식의 적합지표별 월평균 NSE 적합도 지역 수는 “Satisfactory”은 2개, “Good”는 4개, “Very good”는 2개로 평균 “Good” 수준으로 나타났다. Hargreaves 공식의 적합지표별 월평균 R2 적합도 지역 수는 “Unsatisfactory”는 8개로 전 지역 모두 적합하지 않은 공식으로 판별되었다. PM FAO 공식의 적합지표별 월평균 R2 적합도 지역 수는 “Satisfactory”는 1개, “Good”는 5개, “Very good”는 2개로 평균 “Good” 수준으로 나타났다. 적합지표 확인결과 증발산량 산정 시 PM FAO 공식 활용 시 나은 결과를 볼 수 있었다. 계절별로 확인하여 보았을 때 Hargreaves 공식은 주로 여름에 잘 맞지 않는 결과를 보였으며, PM FAO 공식은 모든 계절에서 잘 맞는 모습을 보여 기온 외에 다양한 인자가 영향을 미치는 경우 Hargreaves 공식의 정확도가 떨어지는 모습을 볼 수 있었다. 따라서 PM FAO 공식은 기온 외에 다양한 인자를 사용함으로써 관측값과 상당히 유사한 값을 나타내는 것을 확인할 수 있다.
제한된 자원인 농업용수를 효율적으로 관리 및 이용하기 위하여 계획에 따라 적절한 농업용수를 공급하여야 한다. 낙동강 지역 Hargreaves 잠재증발량의 평균 절대 오차는 1.81 mm/day로 산정되었으며 주로 여름철에 과대산정으로 인한 오차를 보였다. 이를 활용하여 농업용수의 회귀량 산정 시 회귀량은 적게 산정될 것이며 이에 따라 농업용수 사용계획을 수립할 경우 농업용수를 과다 급수하게 될 것으로 예상된다. PM FAO 공식의 잠재증발량 평균 절대 오차는 1.26 mm/day로 Hargreaves 공식보다 적은 오차를 보였으며 NSE, R2 또한 낙동강 대부분 지역에서 ‘Good’의 평가지표를 확인했다. 장기적인 관점에서 농업용수를 관리하기 위하여 농업용수 유출량 산정 모델을 활용할 경우 PM FAO 공식과 Hargreaves 공식과의 차이가 명확할 것이며 낙동강 지역의 모든 벼 재배 면적 109,684 ha에 적용 하였을 경우 잠재증발량의 Hargreaves 공식의 과대산정으로 인한 차이가 더욱 커질것으로 보인다. PM FAO공식은 많은 데이터가 필요함에도 불구하고 더 나은 잠재 증발량을 산정할 수 있어 모델을 이용한 농업용수 유출량 산정 시 PM FAO를 활용할 경우 효율적인 농업용수 관리가 가능할 것으로 판단된다.






