1. 서 론
2. 연구지역 및 방법
2.1 연구지역
2.2 독립 호우사상
2.3 이변량 빈도분석
2.4 강우-유출 모형
3. 연구결과
3.1 독립 호우사상 자료 구축
3.2 이변량 강우 빈도분석
3.3 설계 호우사상 산정
3.4 설계 홍수량 산정
3.5 설계 홍수량 결과 분석
4. 결 론
1. 서 론
홍수의 규모와 빈도에 대한 정보는 수공구조물 설계, 수자원 계획, 저수지 관리 및 홍수 위험 지도 작성에 매우 중요하다. 이러한 홍수 규모와 빈도에 관한 정보는 확률·통계학적 혹은 수문학적 빈도분석을 통해 산정할 수 있다. 수문학적 빈도분석을 수행하기 위해서는 홍수량 자료를 충분히 확보해야 하지만 대부분의 경우 실측 홍수량 자료가 부족하다. 따라서 수자원 실무에서는 강우와 유출에 대한 빈도는 동일하다는 가정을 바탕으로 설계 강우-유출 관계를 이용하여 설계 홍수량을 산정한다. 일반적으로 설계 강우량을 산정하기 위한 강우 빈도분석은 강우량을 유일한 변수로 취급하고 강우량과 지속시간을 연관시키기 위하여 미리 지정된 다양한 지속시간에 대해 연최대강우량 시계열을 구축하고, 여러 가지 확률분포형을 적용하여 설계 강우량을 산정하는 단변량 접근방법을 기반으로 하고 있다. 그러나 이러한 단변량 강우 빈도분석에서 강우 지속기간은 인위적으로 설정된 것으로 실제 호우사상의 지속기간을 반영하지 못하며, 강우강도 및 강우량과의 연관성을 설명할 수 없다. 따라서 강우의 수문·기상학적 특성을 반영할 수 있도록 강우량뿐만 아니라 호우사상의 지속기간을 동시에 고려해야 하며, 이를 위해서는 호우사상 기반의 이변량 빈도분석이 수행되어야 한다.
국내·외로 홍수 빈도분석에 대한 연구는 많이 수행되었다. Choi et al. (2015)은 강우-유출해석 후 연최대 첨두홍수량을 대상으로 단변량 홍수 빈도분석 방법을 제안하였으며, 기존 방법인 홍수량 빈도분석 방법과 설계강우법과 비교분석하였다. Yin et al. (2018)은 첨두 홍수량과 홍수용적을 대상으로 이변량 홍수 빈도분석을 수행하였으며, 짧은 기간의 표본 크기로 인해 유발할 수 있는 불확실성과 저수지 경로에 미치는 영향을 정량화하였다. 또한 Karahacane et al. (2020)은 알제리 북부지역을 대상으로 기존의 첨두 홍수량을 사용한 단변량 빈도분석이 아닌, 지속기간, 홍수용적 및 첨두 홍수량을 고려한 다변량 빈도분석을 통해 홍수 특성 및 수문학적 변동성을 분석하는 방법을 제시하였다. 하지만 관측 홍수량 자료의 수집은 시·공간적으로 제한이 있어 우리나라도 아직 상당수의 미계측 유역이 존재하며, 계측 유역의 경우에도 홍수량 자료의 부족으로 인해 홍수 빈도분석을 수행할 수 없기 때문에 대부분 강우-유출 관계를 이용하여 홍수량을 산정한다.
최근에는 이변량 강우 빈도분석에 관한 연구들이 활발히 수행되고 있다. Park et al. (2015)은 강우와 바람 사이의 상관성을 고려한 이변량 강우 빈도분석의 활용 가능성을 검토하고, 이변량 빈도분석을 이용하여 확률강우량을 산정하였다. Shin et al. (2018)은 다변량 빈도분석과 지역빈도분석의 장점을 동시에 가지는 다변량 지역빈도분석의 매개변수 추정, 최적 분포형 선정 등에 집중하여 연 최대 강우량과 지속기간에 대하여 이변량 지역빈도분석의 적용성을 평가하였다. Jun et al. (2017)은 무강우기간을 바탕으로 호우사상의 강우강도와 지속기간을 추출하고 이변량 빈도분석을 수행하였다. 이를 기반으로 도시 우수 관리를 위한 설계 기준을 추정하였다. Yoo and Cho (2019)는 지속시간, 강우량 및 평균 강우강도로 이루어진 호우사상의 특징 중 합리적인 이변량 빈도분석에 대한 두 변수의 선택에 대한 연구를 수행하였다.
그러나 최근까지 이루어진 연구들은 강우 빈도분석을 통한 설계 강우량 산정 및 평가를 중심으로 수행되었으며, 미계측 유역에서 이변량 강우 빈도분석을 적용한 홍수량 산정 연구는 거의 없는 실정이다. 선행연구의 이변량 강우 빈도분석 결과와 단변량 강우 빈도분석의 결과를 비교하면, 재현기간이 증가할수록 이변량 강우 빈도분석의 결과가 단변량 강우 빈도분석에 비해 더욱 작게 산정되는 것을 알 수 있다. 이러한 결과는 단변량 강우 빈도분석의 결과를 활용하여 산정한 설계 홍수량은 과대하게 산정되거나 홍수사상의 크기가 왜곡될 수 있음을 시사한다. 따라서 본 연구에서는 이변량 강우 빈도분석을 통해 설계 호우사상을 산정 후, 이를 강우-유출 모형에 적용하여 설계 홍수량을 산정하는 방안을 제시하고자 하였다.
연구 절차는 Fig. 1과 같다. 먼저, 무강우기간(Inter Event Time Definition, IETD)과 강우 임계값을 이용하여 시강우량 자료 계열을 독립 호우사상 계열로 변환하였다. 독립 호우사상의 강우량과 지속시간을 대상으로 연 최대 호우사상을 선정하고, 이변량 강우 빈도분석을 수행하였다. 빈도분석의 결과를 바탕으로 설계 호우사상을 결정하고 강우-유출 모형인 HEC-1에 적용하여 설계 홍수량을 산정하였다.
본 연구에서 제안한 이변량 강우 빈도분석을 통한 설계 홍수량(design flood based on bivariate rainfall frequency analysis, DF_BRFA)과 기존의 단변량 강우 빈도분석을 통한 설계 홍수량(design flood based on univariate rainfall frequency analysis, DF_URFA) 그리고 홍수량 자료을 대상으로 단변량 빈도분석을 통한 설계 홍수량(design flood based on flood frequency analysis, DF_FFA)을 비교분석하였다. DF_BRFA 및 DF_URFA는 관측 홍수량 자료가 없는 미계측 유역에서 설계 홍수량을 산정하기 위한 방법이다. 본 연구에서 제안하는 DF_BRFA의 적절성을 검토하기 위하여 홍수량이 충분한 계측 유역을 대상으로 DF_FFA를 산정하고 이를 기준으로 DF_BRFA와 DF_URFA를 비교분석하였다.
2. 연구지역 및 방법
2.1 연구지역
본 연구에서 제안하는 설계홍수량 산정 방법의 적용성을 평가하기 위하여, 계측지역이면서 동시에 상류지역인 남한강상류(1001) 및 평창강(1002) 중권역을 연구대상으로 선정하였다. 강우 분석을 위해 설치된 강우관측소 중 30년 이상의 관측 자료를 보유한 지점을 선정하여 2021년까지의 시강우 자료를 수집하였다. 예를 들어 평창강 유역 자료에 대한 개요는 Table 1과 같다.
Table 1.
Overview of rainfall stations in the Pyeongchang River watershed
홍수량 산정지점은 유역 상·하류의 홍수량 변화를 파악할 수 있을 정도의 구간 설정, 유역면적의 등면적 분할, 지류합류점 및 주요 구조물 지점 등을 고려하여 선정해야 한다. 본 연구에서는 한강유역종합치수계획(MLTM, 2008)을 참고하여 남한강상류(1001) 유역과 평창강(1002) 유역의 홍수량 산정지점은 각각 영월2(YW2) 및 영월1(YW1)로 선정하였다(Fig. 2).
2.2 독립 호우사상
이변량 강우 빈도분석을 수행하기 위해서는 관측된 강우 시계열로부터 통계적으로 독립적인 호우사상을 추출하여 호우사상의 확률적 특성을 분석해야 한다. 독립 호우사상은 무강우 기간(IETD)과 임계값을 이용하여 산정한다. 임계값 미만의 강우는 발생하지 않은 것으로 간주하고, 강우기록 사이의 무강우 시간이 IETD보다 길 경우 개별적인 호우사상으로 판단한다. IETD가 증가할수록 강우사상의 수는 감소하고 평균 지속시간은 증가하는 반면, IETD가 감소할수록 강우사상의 수는 증가하고 평균 지속시간은 감소하기 때문에 객관적이면서 동시에 적절한 IETD의 값을 결정해야한다(Yoo et al., 2016). 본 연구에서는 강우사상 간의 상관성 분석을 통해 상관계수가 0이 되는 지체시간을 IETD로 산정하였다. 상관계수가 정확히 0에 수렴하는 지체시간은 찾을 수 없으므로 95% 신뢰구간 내에 포함되는 값으로 결정하였다(Lee and Chung, 2017). 임계값의 경우 Jun and Yoo (2013)와 Yoo et al. (2016)을 참고하여 1.0 mm를 적용하였다. 위의 방식으로 IETD와 임계값을 활용하여 변환된 강우사상으로부터 강우사상의 횟수, 강우량 및 지속시간, 다음 강우사상까지의 기간 등의 강우의 특성을 알 수 있다.
2.3 이변량 빈도분석
이변량 빈도분석을 수행하는 방법에는 매개변수 및 비매개변수적 방법이 있다. 매개변수적 방법은 주변 확률분포함수의 형태가 정해져 있어야 하며, 비매개변수적 방법은 주변 확률분포함수가 같아야 한다. 최근에는 주변분포함수와 무관하게 확률변수 간의 종속 구조를 재현할 수 있는 코플라(copula) 함수를 많이 이용한다. 본 연구에서는 선행 연구결과를 참고하여(Yu et al., 2017; Kim et al., 2018; Park et al., 2019), 수문변수 간의 상관관계를 잘 반영하며 비교적 결합분포함수를 간단히 산정할 수 있는 Archimedean copula 함수 중 Clayton, Frank, Gumbel 등 세 가지의 함수를 고려하였으며(Table 2), 최우도법을 활용해 최적의 함수를 선정하였다.
이변량 빈도분석에는 비동시결합 재현기간을 고려하는 ‘Or’ 분석과 동시결합 재현기간을 고려하는 ‘And’ 분석이 대표적이다. ‘Or’ 분석의 경우 예상보다 훨씬 빈번하게 발생하는 경향이 있기 때문에 극한사상의 빈도가 과소추정될 가능성이 높으며, 강우량과 지속기간이 모두 특정한 크기 이상이 되는 것을 반영한 ‘And’ 분석을 적용하는 것이 타당하다(Park and Yoo, 2011). 이러한 ‘And’ 분석에 코플라 함수를 적용하여 도출된 결합확률분포를 통해 이변량 재현기간을 산정하는 방법은 Eqs. (1) and (2)와 같다.
여기서, FD (d)와 FP (p)는 각각 강우 지속시간(D)과 강우량(P)에 대한 누적분포함수를 의미하며 C는 코플라 함수를 나타낸다. TDP는 이고, 동시에 인 경우의 결합재현기간이며 E(L)은 평균 강우 발생간격을 나타낸다(Yu et al., 2017).
2.4 강우-유출 모형
미계측 유역의 유량과 설계 홍수량을 추정하기 위하여 강우로 인해서 발생하는 하천의 유출을 추정하는 것은 중요한 부분이며, 강우-유출 현상을 해석하기 위한 집중형 수문모형과 분포형 수문모형이 있다. 집중형 수문모형은 유역의 강우-유출 관계를 모의하기 위해 공간적으로 변화하지 않는 수문성분 과정을 대표하는 평균적인 모형 매개변수를 사용하는 반면, 분포형 모형에서는 공간적으로 변하는 물리변수를 사용하여 이를 격자기반으로 풀어서 유출을 산정하게 된다(Hwang et al., 2019). 단기간에 발생하는 호우로 인한 홍수유출을 짧은 시간 단위로 모의하기 위해서 집중형 단일사상 모형이 주로 사용되며, 그 중에서 실무에서 많이 사용되고 있는 HEC-1을 이용하여 홍수량을 산정하였다.
HEC-1은 미국 육군공병단의 수문공학연구소(Hydrologic Engineering Center, HEC)에서 개발한 강우-유출 모형으로, 강우에 의한 유역내 임의지점에 대한 유출을 모의하기 위해 수리 및 수문학적 요소를 적용하여 모의할 수 있도록 설계되었다. HEC-1의 산정 과정은 강우, 침투, 차단, 초과 강우의 유출변환, 기저유출의 합성과 홍수수문곡선 추적 등으로 구분되며, 모형에서 사용하는 매개변수를 이용하여 해당 유역을 표현한다.
본 연구에서는 MLTM (2008)을 바탕으로, 남한강상류 유역과 평창강 유역의 모든 강우 지점에 대하여 Huff 분포의 3분위법을 적용하였으며, 강우빈도곡선에 대한 회귀식은 6차식을 적용하였다. 두 유역의 단위도는 Clark 방법에 의해 합성하였으며 저류상수는 Sabol 공식을 적용하였다. 유역면적을 고려하여 소유역을 분할하였으며, HEC-1에서 제공되는 무차원 시간-면적곡선을 이용하여 누가면적비를 결정하였고 하도추적은 Muskingum 방법을 이용하였다.
3. 연구결과
3.1 독립 호우사상 자료 구축
강우 지점별 시강우량 자료를 자기상관분석을 이용하여 신뢰구간 95% 이내의 값을 찾아 IETD 값으로 산정하였으며, 산정된 IETD와 임계값을 바탕으로 강우 시계열에서 독립 호우사상으로 변환하였다. 예를 들어, 평창강 유역에 대한 지점별 IETD의 값과 독립 호우사상에 대한 기초 통계량(평균, 최대값, 분산, 왜곡도)의 결과는 Table 3과 같다.
시계열 자료에서 6시간 혹은 7시간으로 산정된 IETD를 이용하여 추출된 호우사상은 RP01에서 가장 많았으며(3,289개), 평균적으로 2,190개의 호우사상이 추출되었다. 이러한 호우사상은 지속시간은 평균적으로 5~9시간으로 나타났으며, 가장 긴 지속시간은 RP01에서의 108시간이었다. 호우사상의 강우량의 경우, 평균적으로 14~25 mm의 강우량이 발생하였고, RP08에서 532 mm로 가장 큰 강우량이 나타났다.
Table 3.
Basic statistics for annual maximum storm events
3.2 이변량 강우 빈도분석
이변량 강우 빈도분석을 적용하기 위해서는 연 최대 호우사상을 선정해야 한다. 본 연구에서는 다음과 같은 두 가지 방법을 적용하였다. 첫 번째 방법은 일년 중 모든 호우사상을 추출하고 이변량 빈도분석을 수행하여 가장 큰 재현기간을 가지는 호우사상을 해당 연도의 연 최대 호우사상으로 선정하는 방법이고, 두 번째 방법은 해당 연도 중 강우량의 값이 가장 큰 호우사상을 연 최대 호우사상으로 선정하는 방법이다(Park and Yoo, 2011). 이와 같이 재현기간과 강우량을 기준으로 연 최대 호우사상 계열에 코플라 함수를 적용하여 지속시간과 강우량에 대한 이변량 강우 빈도분석을 수행하였다.
호우사상에서 추출된 강우량과 지속시간의 확률분포함수를 산정하기 위해 최우도법으로 매개변수를 추정하고 KS 검정(Kolmogorov-Smirnov test)을 시행하였으며, 그 결과 여러 확률분포(Exponential, Gaussian, Gamma, Log-normal, Poisson, Weibull, Generalized extreme value, Generalized Pareto, Gumbel) 중 지속시간과 강우량 모두 Log-normal 분포를 가장 많이 따르는 것으로 나타났다(Table 4). 호우사상의 강우량과 지속시간으로 산정된 두 주변 확률분포를 결합한 최적의 코플라 함수를 선정하기 위해 최우도법을 활용하여 매개변수 추정 및 코플라 함수를 선정하였다. 그 결과 Gumbel 코플라가 가장 많이 적합한 것으로 나타났다(Table 4). 예를 들어, 평창강 유역의 제천 관측소(RP02)에 대한 이변량 빈도곡선의 결과는 Fig. 3과 같다.
Table 4.
Result of marginal probability distribution and copula function
3.3 설계 호우사상 산정
설계 호우사상을 산정하기 위해 Volpi and Fiori (2012)가 제안한 이변량 빈도곡선을 이루는 해당 재현기간 곡선 위의 무한한 수의 점(강우량과 지속시간의 조합)의 범위를 조율할 수 있는 방안을 활용하였다. 본 연구에서는 이변량 빈도곡선에서 95% 상한값과 하한값에 해당하는 이변량 빈도곡선의 집합을 식별하는 방법을 적용하여 설계 호우사상을 산정하였다. 추가로 중앙값과 원점을 지나는 직선과 각각의 이변량 빈도곡선이 해당 재현기간의 설계 호우사상으로 산정되었다. 이러한 95% 상한값 및 하한값과 중앙값을 이용하여 설계 호우사상을 산정하는 방안의 예시를 Fig. 3에 각각 파란색, 녹색, 빨간색으로 표현하였다. 또한, 평창강 유역의 강우 관측소에서 재현기간과 강우량을 기준으로 선정한 연 최대 호우사상 계열의 통계량을 Tables 5 and 6에 예시하였다.
재현기간과 강우량을 기준으로 이변량 강우 빈도분석을 통해 산정된 연 최대 호우사상의 특성을 살펴보면, 우선 95% 상한값의 강우강도가 가장 크게 산정되었으며 95% 하한값이 가장 작게 산정된 것을 알 수 있다.
Table 5.
The design storm events selected from the annual maximum storm events based on the return period
Table 6.
The design storm event selected from the annual maximum storm event based on the rainfall amount
3.4 설계 홍수량 산정
본 연구지역은 계측 유역으로 유량이 존재하므로 홍수빈도해석(Flood Frequency Analysis, FFA)이 가능하다. 영월1 유량지점은 1002 중권역의 설계 홍수량을 산정하는 지점으로, 1988년부터 현재까지 유량자료가 존재하지만, 1001 중권역의 설계 홍수량을 산정하는 영월2 유량지점은 1991년부터 2009년까지의 유량자료만 존재한다. Kim et al. (2019)는 계측유역에서의 강우빈도법에 의한 설계홍수량(Design Rainfall-Runoff Analysis, DRRA)과 FFA에 의한 홍수량 사이의 회귀분석을 통해 미계측 유역에서의 설계홍수량을 산정한 바 있으며, 본 연구에서는 Kim et al. (2019)에서 산정한 FFA 값을 DF_FFA로 활용하였다. 또한 전국하천유역 홍수량 산정 보고서(ME, 2020)와도 비교하여 단변량 강우 빈도분석 후 강우-유출 모형으로 얻은 설계 홍수량 값을 DF_BRFA로 간주하여 본 연구에서 산정한 설계 홍수량 값도 비교하였다.
산정된 설계 호우사상의 값을 HEC-1에 적용하여 설계 홍수량을 산정하기 위해서는 강우 지속기간을 동일하도록 조정할 필요가 있다. 지속시간을 균일하게 맞추기 위해 (1) 강우 시작 시점을 동일시 한 경우(Start), (2) 강우 지속시간의 중간을 동일시한 경우(Middle), (3) 강우 종료 시점을 동일시한 경우(End), (4) 각 강수량과 지속시간의 평균값을 모든 지역에 동일하게 입력한 경우(Mean) 등 총 4가지 경우에 대하여 분석하였다.
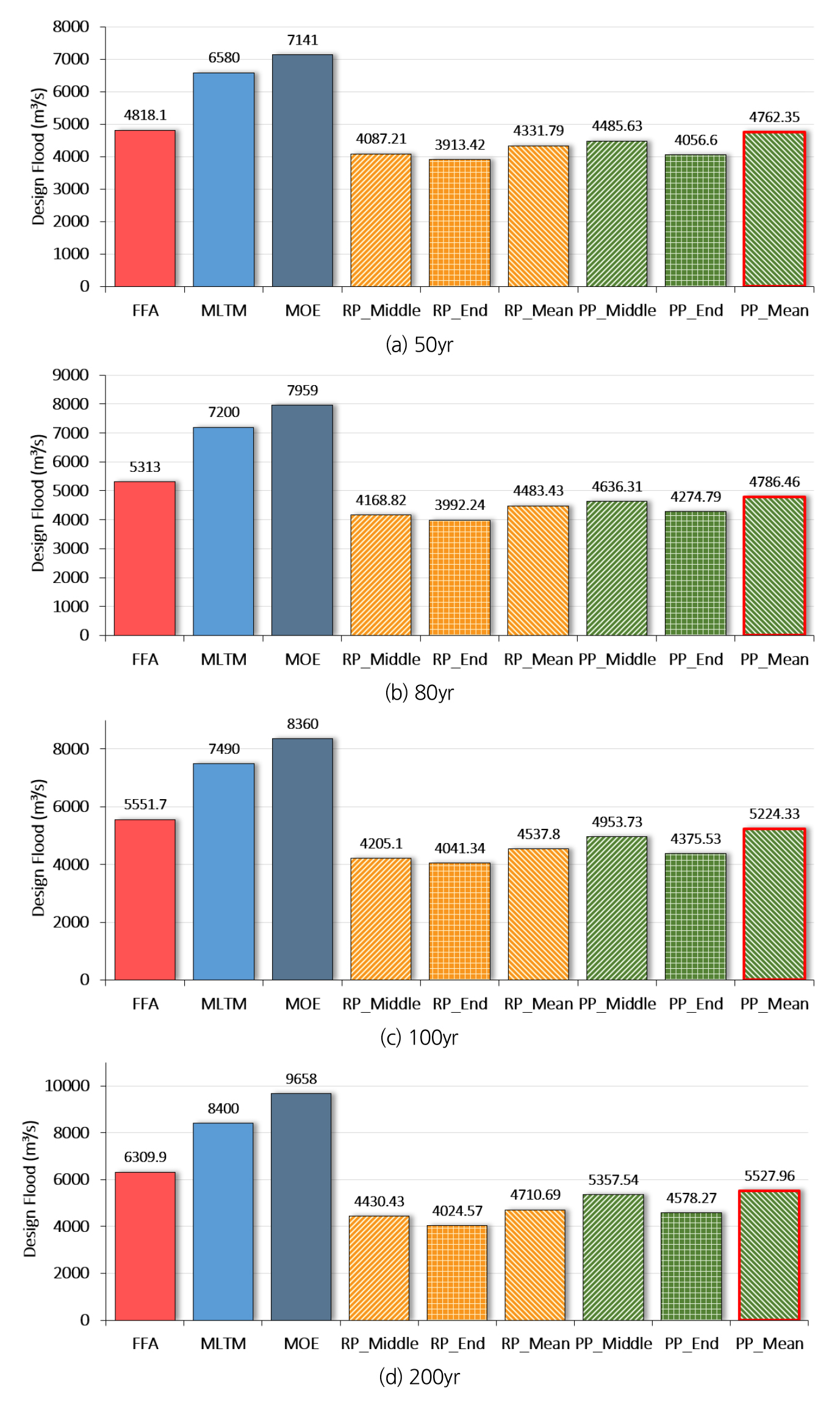
우선 평창강 유역에 대해 다양한 조건에 대한 적정 조합을 찾기 위해서, 중소하천에 가장 많이 적용되고 있는 설계빈도인 80년 빈도를 기준으로, 연 최대 호우사상 산정 방법 2가지(재현기간 기준 및 강우량 기준)와 설계 호우사상 선정 방법 3가지(95% 상한값, 95% 하한값, 중앙값), 지속시간 조정 방법인 4가지(Start, Middle, End, Mean)를 조합한 총 24가지 시나리오의 설계 호우사상에 대해, HEC-1을 통해 산정된 설계 홍수량을 산정하였고, 이를 평창강 유역의 80년 빈도의 FFA 값인 3485.1 m3/s와 비교하였다. Table 7은 평창강 유역에 대한 계산 결과를 예로 제시한 것이다.
계산 결과 연 최대 호우사상을 산정하는 방법과 무관하게 이변량 강우빈도곡선의 95% 상한값에 대한 DF_BRFA는 DF_FFA 값에 비해 대략 2배로 과대추정이 되었으며, 95% 하한값의 경우 약1/3 정도 과소추정되었다. 그와 달리 이변량 강우빈도곡선의 중앙값에 대한 설계 홍수량 산정 결과는 강우 시작 지점을 동일하게 맞춘 경우를 제외하고 10% 내외로 비슷하게 산정되었다. 따라서 설계 호우사상을 산정하는 방법은 중앙값을 사용하는 것이 바람직하며, 강우 분포의 경우 중앙, 끝 혹은 평균값을 이용하는 것이 적절한 것으로 나타났다.
이러한 결과를 바탕으로 연 최대 호우사상 산정 방법 2가지(재현기간(RP), 강우량(PP)), 설계 호우사상 산정 방법 1가지(중앙값), 지속시간 조정 방법 3가지(중앙(Middle), 끝(End), 평균(Mean)) 등 총 6가지의 방법으로 남한강상류 유역과 평창강 유역의 50년, 80년, 100년, 200년, 500년 총 5가지의 재현기간에 대한 설계 홍수량을 산정한 결과를 Figs. 4 and 5에 제시하였다.
Table 7.
Estimation of design flood for return period of 80 years in the Pyeongchang River watershed (unit: m3/s)
3.5 설계 홍수량 결과 분석
본 연구에서 이변량 강우 빈도분석으로 산정한 설계 홍수량(DF_BRFA)과 홍수 빈도분석을 이용하여 산정한 설계 홍수량(DF_FFA), 그리고 기존의 단변량 강우 빈도분석으로 산정한 설계 홍수량(DF_URFA)의 값을 비교 및 분석을 수행하였다. 관측 홍수량을 활용하여 단변량 빈도해석을 수행한 DF_FFA를 기준으로 DF_BRFA가 적절한지 여부를 검토하였다. 평창강 유역의 경우 재현기간 100년을 제외하고, 강우량을 기준으로 선정한 연 최대 호우사상을 대상으로 강우 분포의 중앙을 동일시한 방안이 설계 홍수량을 가장 적절하게 산정하였다. 50년, 80년, 100년, 200년 재현기간에 대한 설계 홍수량의 오차는 5% 이내로 매우 근접하게 나타났으며, 재현기간 500년의 경우 18.8%의 오차가 발생하였다(Fig. 4). 남한강상류 유역의 경우 모든 재현기간에 대하여 강우량을 기준으로 선정한 연 최대 호우사상을 기반으로 지속시간과 강우량의 평균값을 이용하여 산정한 설계 홍수량이 가장 근접하게 산정되었다. 평창강 유역과 마찬가지로 50년, 80년, 100년, 200년 재현기간에 대한 설계 홍수량은 10% 이내로 오차가 발생하였으며, 500년의 경우 19.6%의 오차가 나타났다(Fig. 5).
평창강 유역과 남한강 상류 유역 모두 재현기간을 기준으로 연 최대 호우사상을 선정한 방안에 비해 강우량을 기준으로 연 최대 호우사상을 기반으로 설계 홍수량을 산정한 것이 오차가 작게 나타났다. 또한 두 유역 모두 작은 재현기간에 해당하는 설계 홍수량은 적은 오차를 보이며 근접하게 산정되었지만, 재현기간이 증가할수록 DF_URFA는 모든 재현기간에 대하여, DF_BRFA와 DF_FFA에 비해 과대추정된 것으로 나타났다.
단변량 강우 빈도분석으로 설계홍수량을 산정한 한강유역종합치수계획(MLTM, 2008)과 전국하천유역 홍수량 산정 보고서(ME, 2020)인 DF_BRFA를 비교한 결과, 평창강 유역은 약 20% 증가하였으며 남한강 유역은 약 10% 증가하였다(Figs. 4 and 5). 이러한 결과를 통해 DF_FFA와 오차가 더 크게 발생한 것을 알 수 있으며, 기존의 설계홍수량 산정 방법이 적절하지 않다는 것을 알 수 있다.
4. 결 론
본 연구에서는 미계측 유역에 적용할 수 있는 적합한 설계 홍수량 산정을 위하여 이변량 강우 빈도분석을 바탕으로 HEC-1 모형을 통해 설계 홍수량을 산정하는 방안을 제안하였다. IETD를 기반으로 시강우량 자료를 호우사상으로 변환하였으며, 재현기간 혹은 강우량을 기준으로 연 최대 호우사상을 산정하였다. 호우사상을 대상으로 이변량 강우 빈도분석을 수행하였고, 이변량 빈도곡선을 이용하여 설계 호우사상을 선정하였다. 관측 자료의 95% 상한값과 하한값 그리고 중앙값을 기준으로 총 3가지 방법으로 설계 호우사상을 선정하였으며, 이를 바탕으로 HEC-1에 적용하였다. 설계 호우사상을 HEC-1에 입력자료로 사용하기 위해 강우 지속시간을 동일하게 해야 하며, 시작 지점, 중간 지점, 종료 지점을 동일하게 한 경우와 지점별 설계 호우사상을 평균으로 계산한 평균값 총 4가지 방법으로 설계 홍수량을 산정하였다. 그 결과 연 최대 호우사상을 산정할 때에는 강우량을 기준으로 선정하는 것이 적합하며, 평창강 유역에서는 강우 분포를 중앙에 배치하는 방법인 경우와 남한강상류 유역에서는 지속시간과 강우량의 평균값을 모든 강우 지점에 동일하게 입력한 방법일 때 오차가 가장 적게 발생하였다. DF_URFA는 과대추정된 반면에, DF_BRFA는 DF_FFA 값에 비해 과소추정 되었지만 DF_URFA에 비해 오차가 작게 나타났다.
본 연구에서는 이변량 빈도분석을 활용한 설계 홍수량 산정 방법을 제시하였으며, 특히 미계측 유역 설계 홍수량을 산정할 경우 설계 홍수량이 과대하게 산정되었던 기존의 방법을 보완하여 강우의 특성을 고려한 합리적이고 적합한 산정이 가능할 것으로 판단된다. 따라서 과대평가된 설계 홍수량으로 인한 과도한 수공구조물 설계 비용을 합리적으로 감소시킬 수 있을 것으로 예상된다.







