1. 서 론
2. 재료 및 방법
2.1 대상유역 및 지형 입력자료
2.2 수생태 건강성 지수
2.3 SWAT 모델
2.4 기후변화 시나리오
2.5 Random forest
3. 결과 및 고찰
3.1 수질과 수생태계 건강성 상관분석
3.2 랜덤 포레스트를 이용한 등급 분류
3.3 기후변화에 따른 수문 및 수질 전망
3.4 기후변화에 따른 미래 수생태계 평가
4. 요약 및 결론
1. 서 론
안정적인 용수 공급은 물론 쾌적한 생활환경으로서 수질에 대한 인식이 높아지며 자연과 상생하는 건강한 물순환과 더불어 수생태계 연구에 대한 필요성이 부각되고 있다. 수생태계란 공공수역과 이에 영향을 주는 수변지역의 식물, 동물 및 미생물 등의 생물군집과 무생물 환경이 서로 에너지와 영양물질을 교환하며 상호작용하는 유기적인 복합체를 의미하며, 건강한 수생태계란 구성요소들이 훼손되지 않고 온전한 기능을 발휘하여 그 안에 살고 있는 생물들이 균형을 이루며 서식하고 있는 상태를 나타낸다(Water Environment Information System, 2018).
기존 우리나라에서는 유기물오염지표인 용존산소량(DO), 생물화학적 산소요구량(BOD5), 화학적 산소요구량(CODmn) 및 부영양화 지표인 총인(Total Phosphorus, T-P), 총질소(Total Nitrogen, T-N)과 같은 일반 수질항목들을 사용하여 하천 수환경을 평가해왔으나(An et al., 2005), 최근 환경부에서는 기존의 이화학적 평가뿐만 아니라 생물학적인 평가기준을 확립하여 수생태계의 총체적인 평가기준을 마련하였다. 이에 따라 국립환경과학원(National Institute of Environmental Research)에서는 2008년부터 1년에 2차례 봄과 가을에 걸쳐 생물측정망 조사 및 평가지침을 기반으로 부착돌말류 지수, 저서성 대형무척추동물 지수, 어류 지수와 같은 수생생물지수와 수변식생 지수, 서식 및 수변환경 지수와 같은 하천환경지수를 산정하여 하천의 수생태계 건강성을 평가하고 있다.
수생생물을 고려한 국외 연구로는 규조류돌말을 이용한 영양물질의 농도 모니터링 및 평가 가능성을 확인한 T-N, T-P 추론 모델(Ponader et al., 2007), 수질과 수중생물, 물리적 서식지와 같은 수생태계 관련 인자들을 고려한 Liao 강의 건강성 통합 평가 연구(Wei et al., 2009) 등이 있다. 뿐만 아니라 독일과 프랑스 등 유럽에서는 생물지수를 목표치로 설정하여 하천 생태계를 총체적으로 관리하고 있으며, 미국에서 EPA 가이드라인을 기반으로 수체의 자연성과 손상정도를 평가하고 있다. 국내에서도 이화학적 수질 항목별 어류의 서식범위 및 분포를 이용한 하천의 건강성 평가(Seo et al., 2006), 갈수기 한강하류에서 부착돌말류의 유기오탁지수를 이용한 수질 평가(Jung et al., 2008), 부착규조류를 이용한 섬강 및 달천의 생물학적 수질평가 및 다양한 통계적 분석을 이용한 이화학적 수질 출현 지표종 및 우점종의 관계에 관한 연구(Kim and Lee, 2009), 그리고 광주천에서 저서성 대형무척추동물 분포 특성을 이용한 수생태 건강성 평가(Yoon et al., 2015) 등의 수생태계를 고려한 수질 평가 연구가 수행된 바 있다. 특히, An et al. (2005)은 유등천에서 생태학적 건강도 평가를 위해 어류 분포 조사 및 BOD5, CODmn, Conductivity, 총부유물(TSS), 총질소(T-N), 총인(T-P)과 같은 이화학적 수질 특성을 분석하였으며, 이화학적 수질악화는 생물건강도 악화 및 생태 민감종, 지표종 감소에 영향을 미치는 것으로 평가하였다.
이러한 수생태계는 다른 환경 시스템과 마찬가지로 기후변화로 인한 수문, 수질 및 수리학적 특성 변화와 하천환경 변화에 큰 영향을 받으므로 기후변화는 물론 화학적 수질과 수생태계를 상호보완적으로 연구하는 통합적 수자원관리의 필요성이 강조되고 있다. 대부분의 연구에서 생물학적 지표들만을 이용하여 유역의 건강성을 평가하였으며, 기후변화의 영향을 반영하여 유역의 수생태계 건강성을 평가한 연구는 아직 미비한 실정이다. 따라서 본 연구에서는 기후변화로 인한 수문 및 수질의 변화를 고려하여 한강 유역의 미래 수생태계 영향을 평가하였다. 이를 위해 SWAT 모델을 이용하여 모의한 화학적 수질 인자 및 수온과 국립환경과학원에서 관측한 수생태계 건강성 지수 두 변수를 사이의 상관성을 확인하고, 머신러닝 기법 중 하나인 random forest 모델을 이용하여 수질 및 수온에 따른 수생태 건강성 등급 분류의 적용성을 확인하였다. 또한 이 결과를 바탕으로 미래 기후변화 시나리오를 SWAT 모델에 적용하여 변화한 미래 수질, 수온 결과로부터 기후변화에 따른 한강유역의 미래 수생태계 건강성 지수 등급을 예측하여 유역의 건강성을 평가하였다.
2. 재료 및 방법
2.1 대상유역 및 지형 입력자료
본 연구에서는 5대 권역 중 하나인 한강유역을 대상유역으로 선정하였다. 한강 유역의 면적은 34,148 km2이며, 북위 36.03~38.55, 동경 126.24~129.02의 범위에 위치하고 있다. 유역의 30년(1985~2014) 평균 강우량은 1,395 mm이며, 평균 기온은 11.5°C 이다. SWAT 모델의 기상입력 자료(강우량, 기온, 상대습도, 풍속 그리고 일사량)는 한강유역 내 총 19개 기상관측소의 31년간(1984~2014년)의 일 자료를 이용하였다. 또한 GIS 공간자료로 DEM (Digital Elevation Model)은 국가수자원관리종합정보시스템(WAter management Information System, WAMIS)의 30 m × 30 m DEM, 토지이용도는 환경부의 2008년 중분류 자료를 이용하였으며, 토지이용은 활엽수림, 침엽수림, 혼효림, 주거지, 논, 밭, 초지, 나지, 수역 9개 항목으로 분류하였다(Fig. 1).
2.2 수생태 건강성 지수
국립환경과학원에서는 2008년부터 매년 봄철(4~6월), 가을철(8~10월)에 전국 800여개 지점에서 생물측정망 조사 및 평가지침을 기반으로 어류 지수(FAI), 부착돌말류 지수(TDI), 저서성 대형무척추동물 지수(BMI)와 같은 수생생물지수와 수변식생 지수, 서식 및 수변환경 지수와 같은 하천환경지수를 산정을 위한 하천환경 및 영양물질, 생물종의 종류 등을 직접 관측하여 하천의 수생태계 건강성을 평가하고 있다(Ministry of Environment, 2015). 본 연구에서는 수생생물 지수인 FAI, TDI, BMI 3가지를 사용하였으며 여름철 강수의 영향을 많이 받지 않는 봄철 관측 자료만을 고려하였다. 또한 관측 값과 모의 값의 비교를 위해 Fig. 1(a)에서 표시한바와 같이 각 소유역(subbasin) 출구 지점에서 가까우며, 수생태 관측 지점과 수질 관측지점을 일대일로 대응시킬 수 있는 86개의 관측지점만 고려하였다.
2.2.1 어류 지수(Fish Assessment Index, FAI)
어류는 다양한 영양단계의 잡식성, 초식성, 충식성, 육식성을 대표하는 수체 내 먹이사슬의 최상위단계에 있는 생물을 말하며, 어류평가지수는 우리나라 하천차수, 규모에 따라 달라지는 4개의 메트릭과 그 외의 4개의 메트릭에 대한 점수를 이용하여 Eq. (1)과 같이 계산된다.
(1)
M1는 국내종의 총 종수, M2는 여울성 저서종수, M3는 민감종수, M4는 내성종의 개체수 비율, M5는 잡식종(Omnivores)의 개체수 비율, M6는 국내종의 충식종(Insectivores)의 개체수 비율, M7는 체집된 국내종의 총 개체수, 그리고 M8는 비정상종(Anormalities)의 개체수 비율을 나타내며, 각 메트릭에 대한 점수는 계급구간에 따라 0, 6.25, 12.5점으로 구분하여 산정된다.
2.2.2 부착돌말지수(Trophic Diatom Index, TDI)
부착돌말류는 하천생태계 먹이사슬의 1차 생산자로서 생태계 내 에너지 전달의 기초를 담당하는 조류 중에서 하상의 자갈이나 호박돌 등의 돌 또는 기질에 부착된 돌말류이며, 부착돌말지수는 Eq. (2)로 계산되며, ai는 표본 내 종의 상대 풍부도(%), si는 종의 오염 민감도(1~5), 그리고 vi는 종의 지표 값(1~3)을 나타낸다.
(2)
2.2.3 저서동물지수(Benthic Macroinvertebrate Index, BMI)
저서형 대형무척추동물은 하천생태계의 1~2차 소비자로서 지역적 특성을 반영하는 생물학적 지표이며, 수서곤충이 출현종의 대부분을 차지하는 생물군이다. 저서동물지수는 Eq. (3)과 같으며, i는 지정된 지표생물종의 일련번호, Si는 i지표생물종의 단위오탁지수, hi는 i지표생물종의 출현도, 그리고 gi는 i지표생물종의 지표가중치를 나타낸다.
(3)
각 생물 등급은 지수 점수에 따라 5개의 등급 매우좋음, 좋음, 보통, 나쁨, 매우나쁨으로 평가되며 평가 기준을 Table 1에 정리하였다.
Table 1. Aquatic ecology health indices assessment criteria
| Index | A (very good) | B (good) | C (fair) | D (poor) | E (very poor) |
| FAI | ≥80 | ≥60 | ≥40 | ≥20 | <20 |
| TDI | ≥90 | ≥70 | ≥50 | ≥30 | <30 |
| BMI | ≥80 | ≥65 | ≥50 | ≥35 | <35 |
2.3 SWAT 모델
수문·수질 모의를 위해 SWAT 모델을 사용하였으며, SWAT 모델은 미국 농무성(United States Department of Agriculture, USDA) 농업연구소(Agricultural Research Service, ARS)에서 개발된 물리적 기반의 준분포형 연속 수문모델로서 다양한 종류의 토양, 토지이용 그리고 토지관리 상태에 따른 유출량과 질소, 인 등 영양물질의 이동을 고려할 수 있는 모델이다. SWAT 모델은 전체 유역을 수문반응단위(Hydrologic Response Unit, HRU)로 세분화하여, 각 HRU에서 물수지 방정식을 기반으로 강수, 증발산, 지표유출, 기저유출, 지하수 등에 대한 모의를 할 수 있다. 또한 수정범용토양침식공식(Modified Universal Soil Loss Equation, MUSLE)를 이용하여 토양침식과 질소, 인과 같은 유기성 화학물의 이동을 모의할 수 있다. SWAT 모형의 이론은 Arnold et al. (1996)와 Neitsch et al. (2001)에 자세히 언급되어 있다.
본 연구에서는 한강유역에 위치한 3개의 다목적댐으로 충주댐(CJD), 횡성댐(HSD), 소양댐(SYD)과 1개의 발전용댐인 팔당댐(PDD) 그리고 3개의 다기능보인 이포보(IPW), 강천보(KCW), 여주보(YJW) 지점에 대하여 SWAT 모델 검정(2005~2009), 보정(2010~2014)을 수행한 선행 연구 결과를 활용하였다. 선행 연구에서 Nash and Sutcliffe (1970) model efficiency (NSE), determination coefficient (R2), root-mean square rror (RMSE), 그리고 percent bias (PBIAS)를 사용하여 검보정 결과에 따른 모형의 적용성 평가를 수행하였다. 유출량 검보정 결과는 R2는 0.59~0.93, NSE 0.57~0.95, PBIAS는 4.5~21.4%으로 나타났다. 또한 모든 검보정 지점에서 SS, T-N, T-P의 R2는 0.54, 0.42, 0.47 이상으로 SWAT calibration guidelines (NSE≥0.5, PBIAS≤28%, R2≥0.6; Moriasi et al., 2007; Santhi et al., 2001)을 만족하는 것으로 분석되었다. 본 연구에서 사용한 한강유역의 자세한 검보정 결과는 Ahn and Kim (2017)에 제시되어 있다.
2.4 기후변화 시나리오
IPCC의 제5차 기후변화 평가보고서(AR5)에서는 최근 온실가스 농도 변화 경향을 반영하여 표준 온실가스 시나리오를 대표농도경로(Representative Concentration Pathways, RCP)로 선정하였다. RCP는 인위적 온실가스(GHG) 배출을 발생시키는 대기 오염물질, 토지 이용변화 등과 같은 요인들을 바탕으로 2100년까지의 대기 중 온실가스 농도 전개 양상을 나타내는 경로이다. RCP 시나리오는 4가지 대표 온실가스 농도를 이용하여 2.6, 4.5, 6.0, 그리고 8.5의 시나리오를 제시하고 있으나, 본 연구에서는 기상청에서 제공하는 HadGEM3-RA RCP 4.5와 RCP 8.5 시나리오 한반도 전망자료인 12.5 km 공간해상도 자료를 이용하였다. 대상유역에서 사용된 기상관측소 별로 강수량, 최저·최고기온, 풍속, 상대습도 5개의 미래 기상요소에 대한 일 자료 값을 2020s (2010~2039년), 2050s (2040~2069년) 그리고 2080s (2070~2099년)로 구분하여 분석을 수행하였다.
Fig. 2는 지상 관측자료(Baseline), RCP 시나리오의 과거자료(Historical), 그리고 2020s, 2050s, 2080s의 월별 강수량 및 기온을 비교한 것이다. 두 시나리오에서 봄, 가을, 겨울 강수량과 기온은 증가하는 반면 여름철 강수량은 감소하고 기온이 증가하는 경향이 있다. 전반적으로 RCP 4.5 시나리오에서 미래 강수량은 기간에 따라 기준년도와 비교하였을 때 65.1 mm, 115.6 mm, 190.3 mm 증가하였고, RCP 8.5 시나리오에서는 17.9 mm, 181.5 mm, 160.3 mm 증가하였다(Lee et al., 2017).
2.5 Random forest
머신러닝은 컴퓨터가 여러 데이터로부터 지식을 획득하는 과정을 자동화하는 방법에 관한 연구이며(Langley and Simon, 1995), 학습 방식에 따라 지도 학습(supervised learning), 비지도 학습(unsupervised learning), 강화 학습(reinforcement learning)으로 분류된다. 본 연구에서는 미리 구축된 수질 및 수생태계 건강성 지수 데이터를 학습용 데이터로 활용하여 모델을 훈련시키는 지도 학습 방법 중 하나인 랜덤 포레스트(random forest)기법을 활용하여 분석을 수행하였다. 랜덤 포레스트는 Breiman (2001)이 제안한 방법으로 부트스트랩 표본을 다수 생성하고 의사결정나무 모형을 적용하여 그 결과를 종합하는 앙상블 방법이다.
의사결정나무는 기계학습에서 사용하는 예측 및 분류 모델 방법 중 하나로 노드(node)로 구성된 결정트리를 사용한다. 상위 노드로부터 하위노드로 나무가 성장하는 단계마다 노드 내에서는 동질성이 커지도록, 노드 간에는 이질성이 커지도록 입력변수를 선택하여 노드를 분류한다. 의사결정나무의 목적변수의 종류에 따라 노드의 분리기준이 다르게 적용되며 연속형 목적변수의 경우 회귀나무(regression tree)로 의사결정나무를 구성하고, 이산형 목적변수의 경우 분류나무(classification tree)로 구성된다. 본 연구에서는 수생태 건강성 지수의 등급을 목적변수로 하는 분류나무를 생성하였으며, 노드 분리기준으로는 Gini index를 이용하였다. Gini index는 데이터의 불순도에 대한 계산량으로 Eq. (4)로 계산되며, 여기서 r은 목적변수의 범주의 수, P(i)는 자료에서 i범주로 분류될 확률을 의미한다. 이와 같은 방법으로 계산된 Gini index가 작을수록 노드 내의 이질성이 작음을 의미하며, 가장 데이터의 불순도가 낮은(Gini index가 작은) 후보 값을 입력변수의 분기 기준 값으로 선정하여 데이터를 분할한다(Pal, 2005).
(4)
의사결정나무는 구조가 단순하며 해석이 용이하지만, 학습 데이터(training data)에 과적합(over-fitting)되어 학습되지 않은 새로운 데이터에 대한 예측력이 높지 않은 단점이 있다.
랜덤 포레스트는 학습 데이터에서 중복을 허용하여 임의로 데이터를 추출하여 기존 데이터와 같은 크기의 데이터셋을 만드는 과정인 부트스트랩을 이용한다. 부트스트랩 방법을 통해 다수의 데이터셋을 구성하고 이를 기반으로 각각의 데이터셋에 대한 의사결정 나무를 구축한 후 각각의 의사결정나무 모형을 통해 예측 값을 다수결 방식으로 결합하여 최종적인 예측 값을 도출한다. 앙상블 기법이 적용된 랜덤 포레스트는 데이터의 변수를 제거하지 않고, 수십 개의 독립 변수를 모두 활용할 수 있어, 대형자료에서 주요 변수를 찾고 추산 모델을 구성하는데 용이하며(Kim, 2014), 의사결정나무의 단점인 학습 데이터에 과적합되는 현상을 최소화시키는 장점이 있다.
본 연구에서는 입력변수로는 4, 5, 6월의 수질 농도 및 수온을, 목적변수로는 수생태계 건강성 지수 등급을 사용하였으며 트리개수를 5~100개까지 설정하여 가장 정확도가 높도록 최적화한 트리개수를 사용하였다.
3. 결과 및 고찰
3.1 수질과 수생태계 건강성 상관분석
수생태계 건강성에 영향을 미치는 변수를 선정하기 위해 수질 관측소에서 측정한 각 수질 농도(T-N, T-P, NH4, NO3, PO4) 및 수온과 수생태계 건강성 지수(FAI, TDI, BMI)의 점수에 대한 산포도를 그려 두 변수 사이의 관계를 확인하였다. Fig. 3에서 x축은 수질 농도(mg/L) 또는 수온(°C), y축은 수생태 건강성 점수를 나타내며, 관측년도에 따라 포인트 색을 다르게 표시하였다.
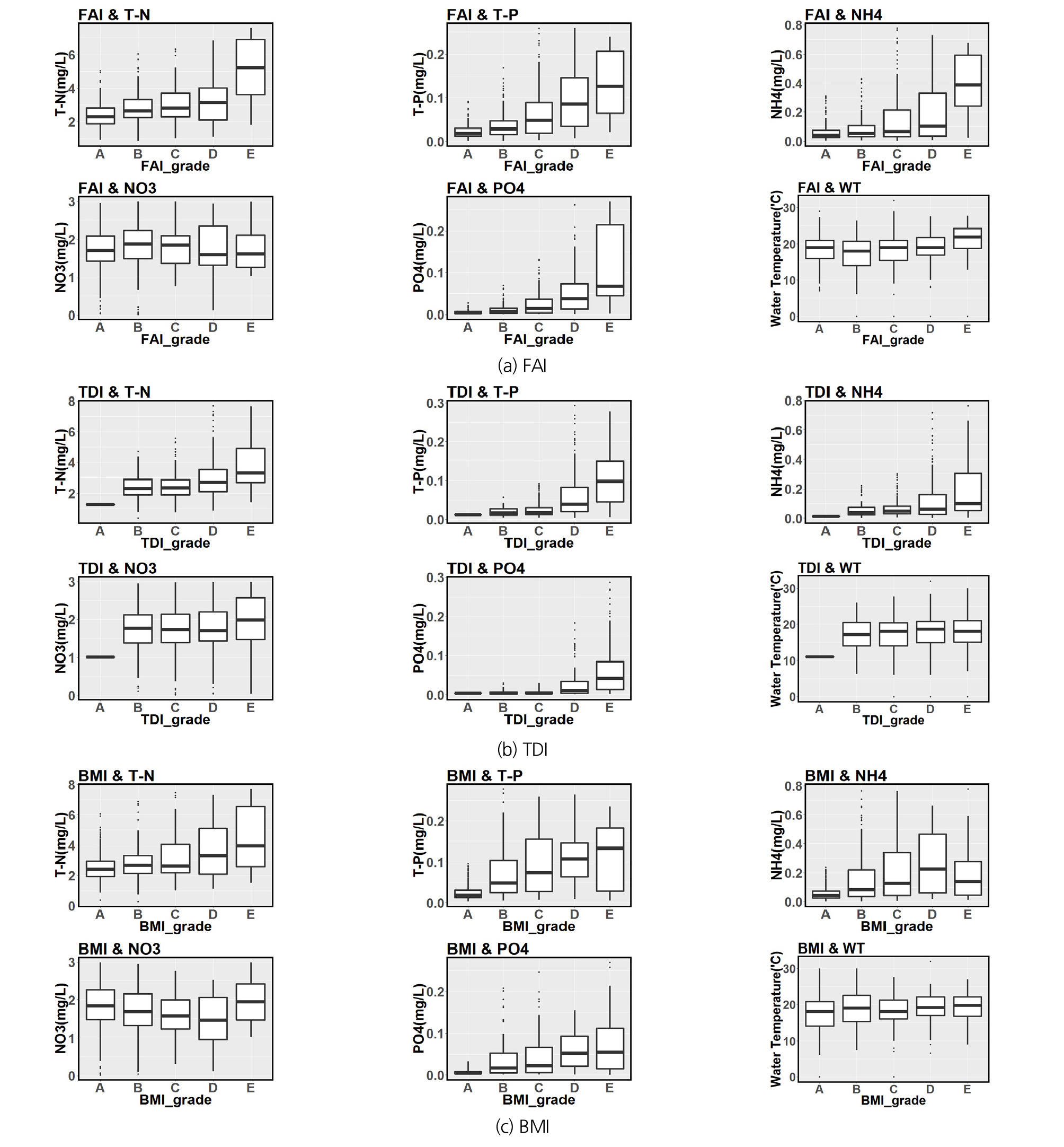
각 수생태 건강성 지수의 등급(A~E)에 관한 상자도표(Fig. 4)를 그려 관측 데이터의 이상치(outlier)를 제거하였으며, 두 변수간의 경향성과 각 지수의 등급 별 수질 농도 및 수온의 범위를 확인하였다. Fig. 4에서도 수질과 수생태 건강성 두 변수간의 역상관관계가 보이며 Fig. 3과 마찬가지로 NO3, 수온의 경우 경향성이 거의 없는 것을 확인하였다. 이는 대부분의 수생태 건강성 지수가 수질항목에 대하여 유의한 상관성을 나타내며, 1차 데이터의 경우 질소(T-N, NO3)보다 인(T-P, PO4)에 대하여 높은 상관성을 나타낸다는 Won et al. (2010)의 이전 연구결과와 상응하였다. 또한 대부분의 경우에서 D, E등급의 경우 A, B등급보다 수질 농도의 분포범위가 더 넓게 나타났다. 전반적으로 수질 오염도가 낮은 경우에는 수생태계 건강성 지수 점수가 광범위하게 분포되어 명확한 상관관계를 나타내고 있지 않고 반면에 수질 오염도가 커질수록 수생태계 건강성 점수가 낮아지는 역상관 관계가 나타나는 것을 확인할 수 있다. 따라서 수질 오염도에 따른 수생태 건강성 지수에 관한 명확한 선형 회귀식을 도출하는 것이 적절하지 않다고 판단하였다.
전반적으로 수질 오염도가 낮은 경우에는 수생태계 건강성 지수 점수가 광범위하게 분포되어 명확한 상관관계를 나타내고 있지 않고 반면에 수질 오염도가 커질수록 수생태계 건강성 점수가 낮아지는 역상관 관계가 나타나는 것을 확인할 수 있다. 따라서 수질 오염도에 따른 수생태 건강성 지수에 관한 명확한 선형 회귀식을 도출하는 것이 적절하지 않다고 판단하였다.
3.2 랜덤 포레스트를 이용한 등급 분류
수생태계는 다양한 수질 인자에 영향을 받기 때문에, 하나의 수질인자와의 이변량 상관분석을 통한 선형 회귀식 도출 후 미래 수생태계 건강성 평가를 하게 되면 불확실성이 커질 것으로 사료되었다. 따라서 이러한 점을 보완하기 위해 데이터에서 직접 정보를 학습하는 머신러닝의 지도 학습 중 하나인 랜덤 포레스트 기법을 활용하여 수생태계 건강성 지수 별 등급 분류를 수행하였다.
본 연구에서 FAI는 4월의 NO3 농도를 기준으로 데이터 분할을 시작하여 4월과 6월의 PO4 농도를 변수로 선택하여 다시 트리가 분기되며 이러한 과정을 반복하여 더 이상 분기되지 않는 마디인 최종노드에서 등급이 결정된다. 유사하게 TDI는 5월 NO3 농도, BMI 4월 PO4 농도를 기준으로 데이터 분할이 시작되며 Gini index가 작아지는 방향으로 변수 선택 및 분기를 반복하여 최적의 트리개수를 만들어 최종적인 등급이 결정된다. 이와 같은 방법으로 결정되는 각 수생태 건강성 지수의 등급 분류 결과를 Table 2에 정리하였다.
Table 2. Result of classification using random forest
여기서 정밀도(precision)는 클래스에 속한다고 출력한 데이터 중 실제로 클래스에 속하는 데이터 수의 비율, 재현율(recall)은 실제 클래스에 속한 데이터 중에서 클래스에 속한다고 출력한 데이터 수의 비율, F1-score는 정밀도와 재현율의 조화평균, 그리고 support는 각 클래스의 데이터 개수를 의미한다(Goutte and Gaussier, 2005).
FAI의 경우 정밀도는 0.81~0.92, 재현율은 0.84~0.92, f1-score는 0.83~0.92 범위 내에 있는 것으로 나타났다. 가장 예측의 정확도가 높은 등급은 A등급으로, 이는 관측 데이터의 수가 많아 예측의 정확도가 높은 것으로 사료된다. TDI는 정밀도, 재현율, f1-score 결과 값 모두 0.89 이상으로 나타났다. 특히 A등급의 예측의 정확도가 1로 매우 높게 나타났는데, 이는 실측 자료가 1개 밖에 존재하지 않기 때문인 것으로 사료된다. BMI도 관측 데이터가 가장 많은 A등급에서 정밀도 0.92, 재현율 0.98, f1-score 0.95로 예측의 정확도가 가장 높게 나타났다. 세 개의 수생태 건강성 지수의 정밀도, 재현율, f1-score 모두 0.81 이상으로, 랜덤 포레스트 기법을 이용한 예측의 정확도가 높은 것을 검증하였다.
3.3 기후변화에 따른 수문 및 수질 전망
기상청에서 제공하는 HadGEM3-RA RCP 4.5, RCP 8.5 시나리오를 Historical (1980~2005), 2020s (2010~2039), 2050s (2040~2069), 2080s (2070~2099) 기간으로 구분하여 미래 지표 유출과 수질을 모의하였다. Table 3은 각 시나리오 기간에 대한 SWAT 모델의 결과(지표유출, T-N, T-P, NH4, NO3, PO4, 수온)를 유역평균으로 정리한 것이다.
Table 3. Summary of future predicted annual streamflow, water quality and water temperature for RCP 4.5 and 8.5 scenarios
지표 유출(SURQ)은 기준년도 218.25 mm에 비해 감소하는 것으로 나타났으며 최대 49.36% 감소하여 110.53 mm 유출되는 것으로 분석되었다. 두 시나리오에서 모두 2050s에 가장 많은 유출이 발생하며, RCP 8.5 시나리오에서만 0.03% 증가하는 것으로 분석되었다.
질소 계열의 수질(T-N, NH4, NO3)의 경우 모든 시나리오 및 평가기간에서 기준년도보다 증가하였고, 그 중 NO3 인자의 증가 폭이 가장 크게 나타났으며 RCP 4.5시나리오의 2080s에서 43.28%로 가장 크게 증가한 것으로 분석되었다. T-N은 1.49~6.83%, NH4는 0.81~8.14% 범위 내에서 증가하였다. 반면 인 계열의 수질(T-P, PO4)은 기준년도보다 감소하는 경향을 나타냈으며, RCP 4.5 보다 RCP 8.5 시나리오를 적용하였을 때 더 많이 감소하는 것으로 나타났고, T-P가 RCP 8.5의 2050s에서 최대 18.99% 감소하는 것으로 분석되었다. 이러한 영양물질은 유출의 증감과 관련이 있으며 질소는 기저유출의 증가, 인은 지표 유출의 감소의 영향을 받은 것으로 판단된다. 또한 수온의 경우 RCP 4.5의 2020s 이외의 기간에서는 모두 증가하였으며, RCP 8.5 시나리오에서 수온이 더 많이 증가하여 최대 1.98°C 증가하는 것으로 나타났다.
3.4 기후변화에 따른 미래 수생태계 평가
3.3장에서 언급한 바와 같이 SWAT 모델을 통해 도출한 미래 수질 결과를 랜덤 포레스트 모델에 적용하여 기후변화가 한강유역의 미래 수생태계에 미치는 영향을 평가하였다. 86개의 수생태계 평가 지점에 대하여 해당 기간 동안 가장 많이 도출되는 등급을 대표 등급으로 산정하였다. Table 4는 FAI, TDI, 그리고 BMI에 대하여 시나리오와 평가기간에 따라 각 등급으로 산정된 지점의 수를 정리한 것이고, Figs. 5~7은 각 지점에서의 등급을 시각화한 것이다.
Table 4. Number of points according to each grade of aquatic ecology health indices
FAI의 경우 RCP 4.5 시나리오에서는 2050s 기간 까지는 회복하는 양상을 보이다가 2080s 기간에 A, B등급은 감소하고 C등급이 32개 지점으로 증가하며 수생태계 건강성이 Historical보다 안 좋아지는 것으로 나타났으나, RCP 8.5 시나리오에서는 C등급은 15개 지점으로 감소하고, A, B등급이 33개, 32개 지점으로 증가하며 수생태계 건강성이 회복되는 것으로 분석되었다. 또한 전반적으로 인북천, 소양강, 충주댐, 남한강 상류와 같은 한강 상류 유역에서는 FAI가 A~B등급으로 건강성이 계속 좋을 것으로 분석되지만, 한강 하류 유역에서는 C~E등급으로 건강성이 악화된 상태가 계속 유지될 것으로 분석되었다.
TDI 경우 A등급으로 추정되는 지점이 없었으며, 두 시나리오 모두에서 B등급을 나타내는 지점 역시 줄어들며 수생태계가 악화될 것으로 나타났다. 이는 실제로 한강유역에서 부착돌말류에 관한 수생태 건강성이 안 좋기도 하지만, 관측년도에 A등급 자료가 부족하였기 때문에 기존 데이터를 통해 학습하는 랜덤 포레스트 기법으로 A등급을 추정하는 것이 불확실할 것으로 사료된다. TDI는 달천, 충주댐하류, 남한강하류, 경안천을 포함하여 한강 하류 유역에서는 모든 평가기간동안 E등급을 나타내는 지점이 많았으며, 건강성이 안 좋을 것으로 분석되었다.
BMI는 두 시나리오 모든 평가기간에서 A등급으로 추정되는 지점이 63개 이상이었고 RCP 8.5 시나리오 2080s 기간에는 모든 지점이 A, B등급으로 나타나며, 전반적으로 한강유역의 수생태계 건강성이 좋아지는 것으로 분석되었다. 다른 건강성 지표와 유사하게 여러 하천이 합류하는 한강의 하류 유역에서 상대적으로 수생태계 건강성이 안 좋으나, 그 외의 유역에서는 계속 양호한 수생태계를 유지하는 것으로 나타났다.
4. 요약 및 결론
본 연구에서는 한강유역에 대하여 수생태 건강성에 영향을 미치는 변수를 선택하기 위해 다양한 수생태계 건강성 지수(FAI, TDI, BMI)와 화학적 수질 인자(T-N, T-P, NH4, NO3, PO4) 및 수온간의 상관성을 확인하고, RCP 4.5 및 RCP 8.5 기후변화 시나리오와 랜덤 포레스트 기법을 이용하여 기후변화에 따른 한강유역의 미래 수생태 영향을 평가하였으며 본 연구의 결과를 정리하면 다음과 같다.
전반적으로 수질 농도가 높아질수록 수생태계 건강성은 악화되는 경향성을 확인하였으나, 수질 농도가 낮은 경우에도 수생태계 건강성이 악화되었다. 이를 통해 하나의 수질인자만 고려하여 수생태계 건강성에 대한 회귀식을 산출하는 것이 적절하지 않다고 판단하였다. 그리고 NO3의 경우 각 등급에 대한 범위가 다른 수질 인자와 상이하게 나타났으며, 수온은 일반적인 경향성이 없는 것으로 나타났다. 이러한 단점을 보완하기 위해 구축된 수질 및 수생태계 건강성 지수 데이터를 학습 데이터로 활용하여 모델을 훈련시키는 머신러닝의 랜덤 포레스트 기법을 이용하여 수질 및 수온에 따른 수생태계 건강성 지수의 등급 분류를 수행하였다. 그 결과 각 지수의 정밀도, 재현율, 그리고 두 값의 조화평균인 f1-score 모두 0.81이상으로 우수한 예측 정확도를 나타냈으며, 미래 기후변화 시나리오를 적용하여 수생태계 건강성 평가 모델로서 사용 가능성을 확인하였다.
RCP 4.5, RCP 8.5 시나리오를 SWAT 모델에 적용하여 2020s (2010~2039), 2050s (2040~2069), 2080s (2070~2099) 기간의 수질 및 수온을 추정하고, 봄철 수생태 건강성 관측 시기인 4, 5, 6월 수질 및 수온을 랜덤 포레스트 입력변수로 사용하여 한강유역의 수생태계를 평가하였다. FAI의 경우 기후변화에 따른 큰 변화는 나타나지 않고 기준년도와 유사하게 수생태계가 유지될 것으로 보이지만, TDI는 건강성이 점차 악화되는 경향이 있었고, 그 반대로 BMI는 건강성을 점차 회복하는 경향을 나타냈다. 이는 TDI가 질소 계열 수질에 민감하고 FAI, BMI는 인 계열 수질에 더 민감하기 때문인 것으로 사료된다. 전반적으로 상류 유역에서는 수생태계 건강성이 우수하지만 한강 하류유역에서는 상대적으로 건강성이 악화될 것으로 나타났다.
이러한 연구 결과는 수생태 건강성에 대한 지속적인 관리가 필요한 유역 선정 및 화학적 수질관리를 통한 건강성 개선 방향, 개선 범위 설정과 같은 기후변화에 따른 수자원 유역 통합 관리의 기초 자료로 활용할 수 있을 것으로 판단된다. 또한 수생태계는 수질, 수온뿐만 아니라 다양한 인자들에 영향을 받으므로 수심, 수폭 등과 같은 수변환경과 유속, 유출량 등의 다양한 요인들에 대한 추가적인 고려가 필요할 것으로 생각된다.









