1. 서 론
2. 횡월류위어 기본이론
3. 실험조건 및 결과분석
3.1 수리실험 조건
3.2 횡월류위어의 흐름특성 분석
3.3 본류수로의 제방사면경사에 따른 횡월류위어 유량계수식
4. 결과분석 및 비교검토
5. 결 론
1. 서 론
최근 기후변화로 인한 집중호우발생, 도시화로 인한 유출량증가로 홍수피해잠재능이 지속적으로 증가하고 있다. 홍수량을 유역 내에 분담시키기 위해 강우 유출수를 일시 저류하여 유출량을 조절하는 Off-line방식의 저류지를 건설하는 방안이 제시되고 있다. Off-line 저류지의 유입부에 설치되는 횡월류위어는 본류수로의 흐름방향에 평행하게 설치되는 수공구조물로, 본류의 수심이 횡월류위어의 높이보다 높을 경우 위어를 통해 유량을 저류지로 배제하게 되며 에너지 소산, 수위의 안정, 일정유량의 취수 및 분배, 홍수소통 등의 목적으로 사용된다.
우리나라는 현재 off-line 저류지 유입량 산정 시에는 De Marchi (1934) 공식과 이를 근거로 한 실험식을 주로 사용하고 있으며, 특히 De Marchi 공식을 이용하여 횡월류량을 산정할 경우 유량계수를 0.623으로 고정하여 사용하도록 하고 있다. 또한 최근 우수저류시설 설치사업 타당성 조사 및 기본계획 작성 요령(국민안전처, 2015)에서는 혼합식을 사용하도록 되어 있으며, 이때 유량계수는 0.623으로 고정하여 사용하도록 되어있지만 개략적인 값이라 명시되어 신뢰할 만한 값은 되지 못하고 있다. 특히 택지 및 도시개발사업 등으로 인해 증가된 홍수량을 월류시킬 목적으로 이용되는 off-line 저류지에 적합한 신뢰할 만한 유량계수가 제시되어 있지 않으므로, 이에 대한 실험 및 검증이 요구되고 있다.
횡월류위어에 대한 연구 초기에는 사각형 단면의 예연횡월류위어의 유량계수 산출에 집중되었으며, 최근에는 실험실이 아닌 하천에서의 적용성을 위하여 사다리꼴 형태의 수로에 설치된 광정횡월류위어에서 유량계수식을 산정하는 연구가 이루어졌다.
횡월류위어에 대한 월류량 산정식과 유량계수 산정식은 De Marchhi (1934)가 처음 제시하였으며, 횡월류위어의 길이방향에 따라 위어의 유량계수가 일정하다고 가정하였다. Subramanya와 Awasthy (1972) 는
수가 유량계수의 주된 변수임을 밝히고, 상류와 사류에 대한 유량계수식을 제안하였다. Ranga et al. (1979)은 예연위어와 광정위어를 구분하여 유량계수식을 제안하였고, Hager (1987), Cheong (1991) 및 Jilili and Borghei (1996)는 횡월류 높이에 따른 유량계수식을 제안한 바 있다. 또한 Ali Uyumaz (1997)은 위어길이와 하도 폭 비를 고려하고 상류와 사류를 구분하여 유량계수식을 제안하였으며, Honar and Keshavarzi (2009)는 광정횡월류위어의 측벽의 형상을 원형으로 하여 월류부 측벽형상 변화에 따른 유량계수산정에 대하여 연구하였으나, 횡월류위어의 형상변화는 고려하지 않았다.
Park and Lee (2010)은 폭이 넓은 직사각형 수로에서 기존의 유량계수식이
수에 지배를 받는 한계를 구명하여, 위어의 제원을 반영하는 무차원 변수를 고려한 유량계수식을 제안한 바 있으나 위어 자체의 형상은 고려되지 않았다. Yoon and Cho (2011)는 실제하천 단면에 가까운 사다리꼴 단면의 수로에서 사다리꼴 광정횡월류위어에 대한 유량계수식을 상류와 사류로 구분하여 제시하였으며, 광정횡월류위어의 기하학적형상에 따라 본류 및 횡월류위어의 월류량이 큰 영향을 받을 것으로 예상한 바 있다.
기존의 연구에서는 하천본류의 단면을 직사각형 또는 사다리꼴 등으로 고정시킨 단일 수로에서 횡월류위어에 대한 검토가 이루어져 왔으나, 실제 하천에 적용하기 위해서는 다양한 본류의 단면 형상이나 제방사면의 경사 등이 고려되어야 한다. 즉, 위어가 설치된 후에도 횡월류위어에서 발생할 수 있는 수위변화, 유속변화 및 흐름방향 변화 등의 흐름양상이 본류조건에 따라 다르게 나타날 것으로 예측되지만, 이에 대한 연구는 진행된 바가 없다. 국내 하천설계기준에서는 하천 제방경사를 1:3이상으로 제안하고 있으나 실제 도심지의 하천의 경우 수직인 제방부터 다양하게 설계되어 있다. 본 연구에서는 횡월류위어가 설치되는 본류의 다양한 제방경사조건에 대해서 정확한 횡월류량을 산정할 수 있는 유량계수식을 제안하였다.
2. 횡월류위어 기본이론
횡월류위어 흐름에 대한 기본이론식은 Fig. 1에 나타낸 바와 같이 직사각형 횡월류위어에 대한 하상경사와 단면이 일정한 수로에 대한 유량공식인 식 (1)과 같다.
(1)
여기서,
는 횡월류량,
,
는 횡월류 전․후 본류유량,
은 유량계수,
는 횡월류위어에서 측정한 수심,
는 횡월류위어 높이,
은 위어 폭,
는 흐름방향거리,
는 본류하폭,
는 중력가속도이다.
Lee and Holley (2002)는 사다리꼴 수로에 설치된 사다리꼴 광정위어에 대한 월류량 산정식을 식 (2)와 같이 제안하였다.
(2)
여기서,
는 전유량계수이고,
는 잠수보정계수이다.
은 사다리꼴 횡월류위어의 저면폭이고,
는 위어의 측면경사이다.
는 횡월류위어의 하류부 본류하도의 중심수위이고, 횡월류위어 마루가 기준이다. Yoon and Cho (2011)는 실제하천에 적용성이 높은 사다리꼴 수로의 광정횡월류위어의 유량계수를 산정하기 위해 위어 흐름의 주요 변수들인 상류
수, 위어 높이 및 길이, 본류 수로 폭 및 경사 등을 고려하였고, Fig. 2와 같은 사다리꼴 횡월류위어에 대해 식 (1)과 식 (2)를 기초로 한 식 (3)과 식 (4)를 기본이론식으로 제안하였다.
(3)
(4)
여기서,
은 위어길이,
는 위어부 평균수심,
는 위어높이,
는 위어부 측면의 경사,
은 유량계수로서 횡월류위어의 길이방향에 따라 변하지 않고 일정하다. 본 연구에서는 식(3)과 식(4)를 기본이론식으로 하여 광정횡월류위어의 기하학적 형상을 고려한 유량계수를 산정하였다.
3. 실험조건 및 결과분석
3.1 수리실험 조건
기본적인 수리실험 장치는 Fig. 3과 같고, 길이 14.0 m, 폭 0.6 m, 높이 0.2 m, 가변경사의 개수로 실험장치를 이용하였으며, 이때 본류수로의 제방사면경사를 1:0.5, 1:1, 1:2로 변화시켜 실험을 진행하였다.
측점의 위치는 Fig. 4와 같이 수로에 총 35개의 횡단면을 설정하였고, 횡월류위어가 설치되는 수로 중심부 4.4 m 구간에서 본류 흐름변화를 세밀하게 관찰하기 위해 0.2 m의 조밀한 간격으로 구성하였다. 나머지 구간은 0.5 m 간격으로 구성하여 수로 중심에서 수심과 유속을 측정하였으며, 포인트게이지와 2차원 전자식유속계 VM 801-H를 이용하였다. 그리고 횡월류량은 유도수로를 통해 저수조로 유입시킨 후 예연위어 및 수조를 이용하여 측정하였으며, 광정횡월류의 폭(두께)은 2 cm이고 위어의 월류 흐름방향의 길이를 나타낸다.
Off-line 저수지의 설계기준과 치수효과에 관한 연구(2006, 대한주택공사)에서 off-line 저류지의 국내 재해영향평가서를 조사한 결과, 저류지가 설치된 하천에서 횡월류위어 특성은
가 0.3~16.25 (평균 4.04),
는 0.44~0.97 (평균 0.76),
는 0.37~58.27 (평균 7.79)로 설계되었고,
는 0.31~1.03의 조건을 가지고 있은 것으로 조사되었다. 이를 참고하여 본 연구의 수리실험 장치를 설계하였으며, 본류수로 제방사면경사
에 따른 횡월류위어의 흐름특성을 분석하기 위하여 제방사면경사를 1:0.5, 1:1, 1:2로 변화시켜 횡월류위어에 대한 실험을 하였다. 실험에 사용된 본류수로의 횡단면형상은 Fig. 5에 나타내었다.
제방사면경사에 따라 사용된 실험조건 및 방법은 Table 1과 같다. 즉, 본류의 유량 조건은 0.020 m3/sec, 0.025 m3/sec, 0.030 m3/sec이고, 프루드수
와 횡월류위어 높이(0.06 m)-상류수심비
를 고려하기 위해 하상경사를 0.1~0.7%까지 0.2% 간격으로 4가지 경우로 하였다. 또한 위어의 길이를 1.0 m, 0.6 m, 0.2 m로 하여 L/B가 5.0, 3.0, 1.0으로 변화시켰고 위어폭은 0.02 m로 고정하였다. 따라서 본 연구에서 실시한 총 실험횟수는 본류 수로의 각 제방사면경사별로 36case, 즉 모두 108case에 대해 실험하였다. 그리고 실험시 Reynolds수가 너무 작게 되면 층류흐름에서의 점성효과가 나타날 수 있다. 본 실험조건에서의 Reynolds수가 7.4×104 ~ 1.06×106로서 난류흐름을 나타내므로 점성효과는 고려하지 않았으며, 모든 흐름에서 적용성이 높을 것으로 판단된다.
3.2 횡월류위어의 흐름특성 분석
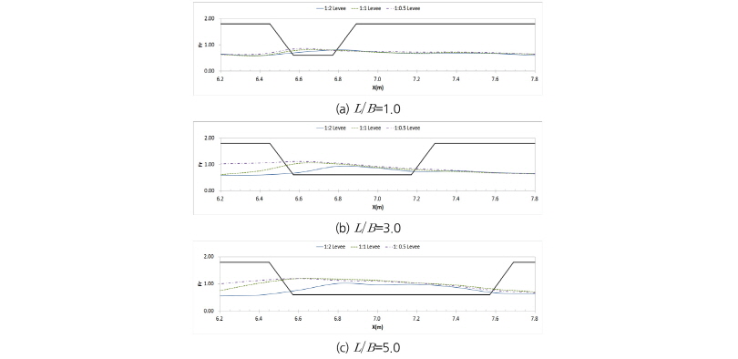
본류수로의 제방사면경사에 따라 횡월류위어부의 흐름특성은 횡월류위어의 폭과 본류수로의 흐름조건 변화에 따라 달라지므로, 횡월류위어의 폭과 본류수로의 유량변화에 따 른 횡월류위어부와 횡월류위어 상·하류부의
의 변화를 분석하였다. 이때 사용한 조건은 수로경사 0.1~0.7% (0.2% 간격), 유량 20~30
(5
간격)이며, 본류수로의 중심에서 측정된 자료를 이용하여 분석하였다. 본류수로의 제방사면경사에 따른 횡월류위어부
변화를 Fig. 6~9에 나타내었다. 수로경사가 0.1%일 경우, 본류의 제방사면경사가 급할수록 횡월류위어 상류부에서
가 증가하기 시작하여 위어폭의 약 2/3지점까지
가 증가하다가, 횡월류위어 하류부에서는
가 감소하는 경향을 보인다. 수로경사 0.3%의 경우는 본류의 제방사면경사가 급할수록 횡월류위어부에서 유량이 클 경우 계속해서
가 증가하는 경향을 보이며, 완만할 수록수로경사 0.1%와 비슷한 경향을 보이며 감소한다. 수로경사가 0.5% 및 0.7%로 커지는 경우에는 위어상류부에서
가 1.0 넘는 것으로 나타났고, 위어중심부에서 위어하류부까지는 계속해서
가 감소하는 경향을 보인다. 또한 수로경사 0.3%에서 부터 횡월류부에서
가 1이 넘는 지역이 조금씩 나타나는 것을 확인하였고, 수로경사가 0.5% 이상이 되면 횡월류위어의 전반부는
가 거의 대부분 1이 넘는 것으로 나타났다.
3.3 본류수로의 제방사면경사에 따른 횡월류위어 유량계수식
기존의 횡월류위어에 대한 연구는 위어자체의 형상이나 크기 및 높이 등에 따른 흐름현상 구명과 유량계수 산정에 집중되어 왔으나, 본 연구에서는 본류수로의 제방사면경사에 따라 광정횡월류위어의 월류량 변화를 추정하는데 주안점을 두었다.
본류수로의 형태와 광정횡월류위어의 높이, 길이, 사면경사, 위어 상류부에 보 설치 유무 등 다양한 조건은 광정횡월류위어의 월류량과 유량계수 등에 영향을 미치게 된다. 따라서 기존의 연구성과를 면밀히 분석하여, 본 연구의 주된 과제인 본류수로의 제방사면경사에 따른 월류량과 유량계수 등에 비교적 큰 영향을 미칠 것으로 판단되는 인자들을 선정하여 식(5)에 나타내었다.
(5)
여기서,
은 유량계수,
는 상류 프루드수,
은 횡월류위어 길이,
는 수로 폭,
는 상류수심,
는 횡월류위어 높이,
는 하상경사,
는 본류제방사면경사이다.
식 (5)에 나타낸 주요 인자들에 대한 차원해석을 통해, 식 (6)과 같은 무차원 매개변수의 조합으로 재구성하였다.
(6)
식 (6)의 각 인자들을 독립변수로 가정하면, 식 (7)과 같이 다중선형회귀식으로 나타낼 수 있다.
(7)
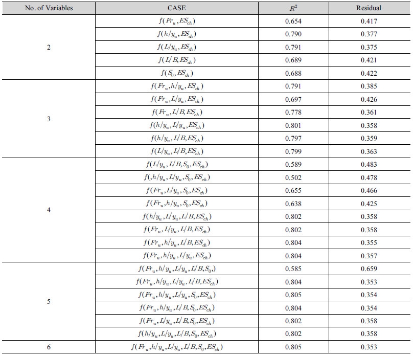
식 (7)에 나타낸 다중선형회귀식을 이용하여 매개변수에 대한 최적화로 유량계수식을 결정하였다. 기존의 성과들에 따르면, 유량계수 산정시 모든 매개변수가 포함된 것보다 중요도 및 기여도가 높은 3~4개의 변수를 활용하는 것이 효과적인 것으로 제안되어 있다. 본 연구에서도 각 매개변수의 중요도를 분석하여
,
,
,
등 4개 변수를 선정하였다.
식 (7)를 기본방정식으로 하여 각 매개변수의 중요도를 확인하기 위하여 각각의 매개변수들을 조합하여 다중회귀분석을 시행하였으며, 형상별로 일부 결과를 Table 2에 수록하였다(여기서,
는 변수의 개수,
은 결정계수). 분석한 결과,
>
>
>
의 순서로 중요도가 높은 것으로 나타났다.
따라서 본류수로의 제방사면경사를 고려한 유량계수식을 상·사류를 통합하여 적용할 수 있는 식 (8), (9)와 상류에 적용성이 더 높은 식 (10)으로 구분하여 제시하였다.
(8)
(9)
여기서,
,
, 
,
이다.
(10)
여기서,
,
, 
이다.
4. 결과분석 및 비교검토
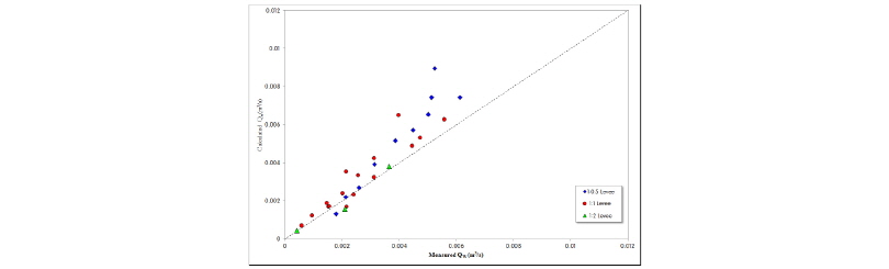
제시된 유량계수식의 적용성을 확인하기 위하여 실측된 자료와 계산된 자료를 비교하였다. Fig. 10은
,
,
의 3개의 변수로 제안된 유량계수식 (8)에 의해 계산된
과 실측된
의 비교이며, Fig. 11은 계산된
와 실측된
를 비교한 그래프이다. 실측된 유량과 계산된 유량이 9.7%의 절대평균오차를 보이고 있어 실측된 횡월류량과 비교적 잘 일치하는 것으로 나타났다.
Fig. 12는
,
,
,
의 4개 변수로 제안된 유량계수식 (9)에 의해 계산된
과 측정된
을 비교한 것이며, Fig. 13은
을 이용하여 계산된 월류량과 측정된 월류량을 비교한 결과이다. 실측된 월류량과 계산된 월류량이 7.46% 절대평균오차를 보이고 있어 계산된
값의 적용성이 높은 것으로 판단된다.
그리고, 상류조건에서 제안된 유량계수식 (10)의 적용성을 확인하기 위하여 실측된 자료와 계산된 자료를 비교하였다. Fig. 14는 계산된
과 측정된
을 비교한 결과이며, Fig. 17은 계산된 월류량과 측정된 월류량을 비교한 결과이다. 실측된 횡월류량과 계산된 횡월류량이 8.56%의 절대평균오차를 보이고 있어 본 연구에서 제안한
값의 적용성이 비교적 높은 것으로 판단된다. Fig. 16에서 계산치
과 측정치
의 상관성이 작은 것으로 나타나지만, 횡월류량
는 계산치와 측정치가 양호한 상관성을 나타내는 이유는 횡월류량을 지배하는 매개변수들에 기인한다. 본 연구에서는 식 (3)과 식 (4)에서 위어의 횡월류량
를 실측하여 유량계수
을 산정하게 된다. 식 (3)과 식 (4)의
에 대한 주요 변수는 유량계수
, 횡월류위어 길이(
), 위어 월류수심(
)이다. 그결과 Fig. 16에 나타낸 계산치
은 식 (10)을 사용한 값이며, 식 (10)은 횡월류위어 길이
을 포함하지 않으므로, 측정치
에 대해 상관성이 낮은 것으로 나타났다. 그런데 계산치 횡월류량에는 횡월류위어 길이
가 포함되므로 Fig. 15와 같이 계산치와 측정치의 상관관계가 높은 것으로 나타났다.
|
Fig. 16. Verification of present relations using the experimental data of Yoon, Yeong & Cho(2011) |
|
Fig. 17. Verification of present relations using the experimental data of Yoon, Yeong & Cho(2011) |
본 연구에서 진행된 실험을 통해 측정된 매개변수 및 횡월류량을 기존의 연구자들이 제시한 유량계수식을 이용하여 계산된 횡월류량과 비교를 통해, 본 연구성과의 적용성을 검토하였다. 기존의 연구성과 중 최근에 사다리꼴 광정횡월류위어의 유량계수를 산정한 Yoon and Cho (2011)와 Park and Lee (2010)의 실험조건과 결과가 유사하므로 이에 대해 비교분석하였다.
Yoon and Cho (2011)에서 제시된 유량계수식 중 상류조건에서 계산된 횡월류량과 측정된 횡월류량을 비교한 결과 절대평균오차가 23.9%였고, 그 결과를 Fig. 16~17에 나타내었다. Fig. 18 및 Fig. 19는 전체조건에 대한 비교 결과이며, 절대평균오차는 29.73%로 나타났다. 절대평균오차가 본 연구에서 제시된 식보다 높게 나타나, 제안된 유량계수식이 더 정확한 횡월류량을 산정할 수 있음을 의미한다.
5. 결 론
본 연구에서는 본류수로의 제방사면경사를 변화시켜 광정횡월류위어 설치 시 본류의 흐름조건의 변화에 따른 유량계수식을 산정하기 위한 수리실험을 실시하였다. 측정된 실험성과를 선행연구인 기존의 연구 성과와 비교분석하였으며, 본류수로 형상에 따른 흐름특성의 변화에 대한 중요성을 확인할 수 있었다. 본류수로의 제방사면경사를 고려하여 유량계수식을 산정하였으며, 연구결과를 요약하면 다음과 같다.
1)De Marchi 이론에서의 일정비에너지 가정은 사다리꼴 수로의 사다리꼴 광정위어에서도 타당한 것으로 분석되었고, 본류수로의 제방사면경사가 완만해 질수록 비에너지차가 감소하는 경향을 보여 안정적인 흐름을 유지할 수 있다는 것을 확인하였다.
2)본류수로의 제방사면경사가 급할수록 횡월류위어 설치 전·후에 대한 비에너지비는 커지는 것으로 나타났고, 수로 경사가 0.5% 이상일 때는 전체의 흐름이 상류에서 사류로 바뀌면서 비에너지비가 1보다 커지는 지역이 나타났다.
3)본류수로의 제방사면경사에 대한 변수
를 도입하여 새로운 광정횡월류위어의 유량계수 산정식을 제안하였다. 상류와 사류를 모두 포함하는 조건에서 본류수로의 제방사면경사가 변화될 때 유량계수식은
>
>
>
의 순서로 중요도가 높음을 확인하였고, 다중회귀분석을 통하여 유량계수식을 제안하였다. 새롭게 제안된 식을 이용하여 산정된
과 횡월류량
을 실측치 등과 비교하여 적용성을 확인하였다.
4)상류흐름에서 본류수로의 제방사면경사가 변화될 때, 광정횡월류위어의 유량계수식은
,
,
등 주요 3변수만으로 제시하였다. 유량계수식에서 각 인자의 중요도는
>
>
순으로 나타났으며,
수가 작을수록 유량계수식 내에서
의 상관성이 높은 것으로 확인되었다.
5)개수로 흐름에서 가장 중요한 인자는
이지만, 유량계수식에
를 포함하지 않는 수식을 병행해서 제안하였다. 이를 이용해서 산정한 유량계수식
과 윌류량을 실측치와 비교한 결과 그 적용성이 높은 것으로 나타났다.
6)상류조건에서 본류수로의 제방사면경사가 변화될 때 유량계수식은
>
>
의 순서로 중요도가 높게 나타났으며, 상류흐름에서
의 상관성이 높은 것으로 확인되었다.







)

at the slope of 0.1%
at the slope of 0.3%
at the slope of 0.5%
at the slope of 0.7%

























(Subcritical)
(Subcritical)
(All)
(All)