1. 서 론
1950년대에 들어서부터 급격히 증가한 플라스틱 수요는 심각한 환경 오염 문제를 초래하였다. 일부 연구 보고에 따르면, 다량의 플라스틱 쓰레기가 현재 세계 곳곳에서 발견되고 있다(GESAMP, 2015; G20, 2017). 해안·해양 환경으로 유입되고 있는 플라스틱 쓰레기의 상당수는 육지로부터 기인한 것이며, 이는 연간 전 세계 플라스틱 생산량의 대략 3분의 1에 해당하는 양이다(GESAMP, 2015; Geyer et al., 2017). 그 유입량은 지속해서 증가하고 있고 이에 따른 해안·해양 환경 오염 또한 빠른 속도로 진행되고 있다.
해안·해양 플라스틱 오염 문제의 해결방안을 강구하기 위해서는 플라스틱의 물리적 거동에 대한 기초적인 이해가 요구된다. 육지에서 발생한 플라스틱 쓰레기 대부분은 하천 및 연안을 통해 해안·해양 환경으로 유입되고, 그 유입된 폐기물들은 다시 파도에 의해 인근 해안가로 이동하여 장기간 잔류하게 된다(Brennan et al., 2018; Turner et al., 2021; Willis et al., 2017a). 플라스틱은 해안 지역에서 머무는 동안 여러 자연적 요인들과의 상호작용을 통해 물리적·화학적 변화를 겪는다. 해안 지역은 플라스틱이 파랑, 바람, 유사, 자외선 등에 오랫동안 노출됨에 따라 파편화된 상태로 해양으로 유출될 수 있게 한다는 점에서 플라스틱 오염 문제 관리 및 해결을 위해 특별히 관심을 기울여야 하는 곳이다(Brennan et al., 2018). 해안 지역에서 미세화된 플라스틱 입자들은 수거 및 관리가 까다로우며, 해양 환경으로 유출된 이후에는 해양 생태계의 오염을 더욱 극심하게 만들 수 있다. 따라서, 해안 지역에서 플라스틱 입자가 겪게 되는 잔류 과정과 다른 환경으로의 유출·입 과정 중 유사와 플라스틱 간의 관계는 매우 중요하게 작용할 것이다. 해안·해양 환경에서의 퇴적물은 플라스틱의 주요 흡수원으로 알려져 있다. 쓰나미나 태풍과 같은 예외적인 자연현상이 발생하지 않는다면, 한 번 유사 내부에 깊숙이 퇴적된 플라스틱 입자는 다시 유사 외부로 방출되기 어렵고 장기간 퇴적되어 있을 수 밖에 없다(Bläsing and Amelung, 2018; van Cauwenberghe et al., 2015; Turner et al., 2021).
이처럼 유사와 플라스틱의 관계가 중요함에도 불구하고, 해안 유사에서의 플라스틱의 거동을 면밀히 조사한 연구의 수는 매우 적다. 대다수의 선행 연구들은 오염도 측정을 위한 해안·해양 퇴적물에서의 플라스틱 분포와, 오염원 분석(van Cauwenberghe et al., 2015; Taïbi et al., 2021; Cannas et al., 2017; Willis et al., 2017b), 플라스틱의 검출 방법의 제안 또는 평가(Prata et al., 2019; Hanvey et al., 2017; Imhof et al., 2012) 등의 측면에 초점을 두어 왔다. 유사와의 관계를 다루는 일부 연구들은 담수에서의 부유사와의 관계(Li et al., 2019), 수치 모델링을 통한 해안에서의 플라스틱의 이동 경로 및 집적지역 예측(Hinata et al., 2020; Brennan et al., 2018) 등의 주제를 다루고 있다. 하지만, 실험실 실험을 통하여 해안 유사 내에서의 플라스틱의 거동 및 영향 요인을 파악하고자 한 연구는 찾아보기 어렵다. 따라서, 본 연구는 유사 내부에 퇴적되어 있는 플라스틱 입자가 수체로 방출되는 현상을 관찰·분석함으로써, 장래의 해양 플라스틱 오염 문제 관리 및 해결에 필요한 정보를 제공하고자 한다. 이를 위하여, 본 연구는 왕복흐름발생장치(oscillating water tunnel, OWT)를 활용한 실험실 실험을 구성하였다. 여기서, ‘플라스틱의 방출’이라는 용어는 수체의 난류 흐름으로 인해 플라스틱 입자가 유사에서 수체로 탈출되어 나오는 현상만을 지칭하기 위해 사용되었다. 본 연구에서 사용된 해당 ‘방출’에 관한 조작적 정의를 도식화하여 Fig. 1과 같이 나타내었다.
2. 연구방법
2.1 실험 장비
본 연구는 실험실 실험을 위하여 왕복흐름발생장치를 구축 및 활용하였다. 왕복 흐름은 해안 및 연안 지역 또는 좁은 수조에서 쉽게 찾아볼 수 있는 흐름이다. 이는 유속 을 가지는 단일 주기파 형태로 Eq. (1)과 같이 나타낼 수 있다(Nielsen, 1992). 하상 근처에서의 왕복 흐름은 항력 방향으로 주기적인 자극을 생성함으로써 유사의 움직임을 유발하기에, 본 실험실 실험에서 이를 활용하였다.
여기서, 는 자유유선속력을 나타내며, 는 각주파수로 (2)와 같다. 이때, T는 흐름 주기를 나타낸다.
Fig. 2는 실제 해안에서의 왕복 흐름과 구축된 왕복흐름발생장치에서의 흐름 간의 차이를 보여준다. 해당 그림에서 나타낸 바와 같이 는 바닥 근처에서 z-방향으로만 변화하며, x-와 y-방향으로의 변화는 무시할 수 있다. 이러한 왕복 흐름은 해안공학 및 유체역학 등 연구에서 주로 조파수조(wave flumes or wave basins)와 왕복흐름발생장치를 활용하여 구현되고 있다. 본 연구에서는 다른 형태의 수조들과 비교하였을 때, 비교적 적은 공간적 제약에도 보다 큰 레이놀즈 수(Re)를 가진 흐름을 생성 가능하다는 장점이 있는 왕복흐름발생장치를 활용하여 왕복 흐름을 구현하였다. 고 레이놀즈 수 흐름을 구현한다는 것은 실제 해안에서 발생되는 흐름을 더욱 유사하게 재현할 수 있게 한다는 점에서 중요하다. 왕복흐름발생장치를 통해 구현되는 흐름의 레이놀즈 수(Re) 형태는 아래 Eq. (2)와 같다(Blondeaux et al., 2012; Riley, 2001). 더불어, 해당 장치는 x-수평 방향으로 균일한 흐름 성분을 갖는 반면, 연직 방향의 흐름 성분을 가지지 않으므로 Eq. (1)에서 나타낸 바와 같이 시간에 따른 변화만 존재하는 왕복 흐름을 구현할 수 있다.
여기서, A는 수체 입자의 왕복운동 진폭이고, 는 동점성계수()이다.
왕복흐름발생장치는 0.3 m 너비의 정사각형 단면을 가지는 U-자형 튜브 형태의 수조로 설계 및 제작되었다. 해당 장치의 중앙 하단부에는 1 m의 길이와 0.1 m의 깊이를 가지는 유사조(sediment basin)를 탈·부착할 수 있으며, 이와 같은 특징은 깊이가 있는 유사 실험을 가능하게 하였다. 최종적으로 구축된 왕복흐름발생장치의 모습은 Fig. 3와 같다. 양방향 피스톤이 장착된 서보모터(servo motor) 제어를 통해 장치 내 유체를 거동시켜 서로 다른 레이놀즈 수를 가지는 왕복 흐름을 구현하고, 유사조를 유사로 채운 후 유사 내부에 플라스틱을 배치함으로써 흐름의 변화로 인한 플라스틱 입자의 방출 양상을 관찰하고자 하였다. 더불어, 하상 변화와 입자의 방출이 발생하는 수조 중앙부에서의 흐름의 정확한 속력과 주기를 파악하기 위하여 입자영상유속계(particles image velocimetry, PIV)를 구축하여 사용하였다. MATLAB 기반 오픈 소스 프로그램인 PIVLAB (Thielicke and Stamhuis, 2014)을 사용하여 500~1000 Hz로 촬영된 동영상 데이터를 분석하였다. 구체적인 실험 조건 및 구성은 다음 장에서 설명한다.
2.2 실험 조건 및 방법
실험에서 사용된 모래의 입도 분석을 위하여 체(sieve) 분석을 반복적으로 시행하였다. 모래의 입도 분급 별 무게 측정 결과를 GRADISTAT Ver8.0 입도 분석 통계처리 소프트웨어를 사용하여 분석함으로써 실험에 사용된 모래의 입도 분포 특성을 도출하였다(Blott and Pye, 2001). Folk and Ward (1957)의 분석 방법을 적용한 결과, 해당 모래의 평균입경, 분급도, 편왜도는 각 0.198, 0.421 , 0.019 정도이다. 평균입경의 95% 신뢰구간 값의 절반은 약 0.099로, 해당 값을 전국 189개 해안사구를 분석한 Rhew and Kang (2020)의 연구 결과 중 전체 해변에서의 0.07, 동해안에서의 0.11, 서해안에서의 0.08, 남해안에서의 0.16 값과 비교해 보았을 때, 동해안에서의 값과 가장 유사함을 알 수 있다. 사용된 모래의 중간 입도, D50은 868.6 로 Udden-Wentworth 규격 중 조립사(coarse sand)에 해당한다. 또한, 강원도 동해 해변의 해저질을 분석한 Kim and Song (2012)의 연구 결과인 D50 = [355 , 1,290 ]의 입도 분포와 782.7 의 평균 크기에 비추어볼 때, 본 실험에서 사용된 모래의 평균 입도 크기는 우리나라 해안 유사 중에서도 동해의 해저질과 유사한 특성을 지녔다.
본 실험은 매끈한 구 형태로, 직경이 각 3 mm, 6mm, 8 mm인 세 종류의 플라스틱 입자를 사용하였다. 반복적으로 입자의 질량을 측정한 후, 1기압, 4℃의 물이라고 가정하였을 때 [0.795, 0.962]직경이 작은 순으로 비중은 평균적으로 각 0.99, 0.94, 0.79이다. 세 입자의 비중 계산 모두 2e-2 이하의 표준편찻값을 보였다. 세 종류의 입자 모두 물보다 밀도가 작으며 직경이 가장 큰 8 mm의 입자가 가장 작은 비중을 가졌다. 각 실험 조건마다 동일한 크기의 입자를 총 440개씩 사용하여 플라스틱 입자의 크기가 방출에 미치는 영향의 여부 및 크기를 확인하고자 하였다. 해당 플라스틱 입자들은 매 실험 전, 4개의 층으로 구분된 유사의 각 층에 규칙적으로 배치되었다. 네 개의 유사 층의 위치는 표면층(k=1, z=0 m), 두 번째 층(k=2, z=-0.02 m), 세 번째 층(k=3, z=-0.045 m), 네 번째 층(k=4, z=-0.075 m)으로, 각 층에서의 플라스틱 입자는 Fig. 4과 같은 배치를 갖는다. 유사 표면층을 제외하고 3개의 유사 내부층 중 다른 층들에 비해 가장 많은 입자의 방출이 발생할 것으로 예상된 (k=2) 유사층에 가장 많은 입자를 배치하였다. 각 실험이 종료된 후 방출된 입자의 수와 더불어 각 유사층에 위치한 잔여 플라스틱 입자들의 수를 함께 집계하여 입자가 퇴적된 유사 깊이에 따른 방출 차이도 함께 조사하고자 하였다.
구축한 왕복흐름발생장치를 활용하여 구현할 수 있는 왕복 흐름의 속력과 주기, 플라스틱 입자의 크기를 독립변수로 설정하였으며, 14개의 흐름 조건과 3개의 플라스틱 입자의 크기 조건을 조합하여 총 42개의 실험 조건을 구성하였다(Table 1). 또한, 1 m라는 제한된 유사조의 가로 길이(L) 안에서 실험 시간이 경과할수록 유사가 지속적으로 유사조 밖으로 유출되는 것을 여러 사전 모의실험을 통하여 확인하였다. 따라서, 실제 해안에서와 같은 큰 공간적 규모에서의 유사의 유출·입을 실험실 실험에서 구현하기 어렵다는 점을 반영하면서 모든 실험 조건에서 동일한 적정 실험 시간을 설정하는 것이 필요하였다. 이에 따라, 모든 실험 조건에서 실험 시간의 경과에 따른 하상의 변화를 Fig. 5와 같이 확인한 결과, 본 실험의 흐름 조건 내에서는 실험이 시작되고 15분 내로 사빈이 형성되는 것을 확인할 수 있었다. 형성된 사빈은 이후로 왕복흐름발생장치의 정중앙을 기준으로 대칭적으로 양쪽으로 점차 이동하여 최종적으로는 유사조 외부로 유출되었다. 이때, 유사조 밖으로의 사빈 유출이 발생하기까지 모든 실험 조건 하에서 동일하게 1시간이라는 시간이 소요되었다. 따라서, 과도한 양의 유사가 유사조 밖으로 흘러나오게 하여 플라스틱 입자의 방출을 극대화함으로써 실험 결과를 과대평가하는 일을 방지하기 위하여 사전 모의실험을 통해 도출된, 초기 형성된 사빈이 유사조 밖으로 유출되기 전까지의 시간인 한 시간 동안 각각의 실험이 진행되었다.
위에서 설정한 실험 조건 하에서 실험을 진행하였으며, 각 실험 조건들을 수행하기 위한 실험과정은 같다. 먼저, 각 실험 조건 별로 동일한 직경을 가진 플라스틱 입자를 유사 내부에 층별로 입자의 색을 다르게 하여 일정하게 배치하고 유사 표면을 평평하게 함으로써 실험 초기 조건을 구성하였다. 이후 모든 실험 조건에서 똑같은 양의 물을 사용하여 왕복흐름발생장치를 채워 유사가 완전히 잠긴 상태로 만든다. 장치의 서보모터를 구동하면 양방향 피스톤이 순간적인 높은 내부 기압을 형성하여 흐름을 구현하게 된다. 서보모터가 구동되는 시점으로부터 한 시간 동안 실험이 진행되며, 그 과정에서 흐름이 하상의 변화를 유발하고, 하상의 변화는 유사 내부의 플라스틱 입자의 방출을 유발하게 된다. 실험 전반의 과정은 유사조 정면과 측면에서 고해상도 카메라로 촬영되었다. 촬영된 자료는 이후의 분석 과정에서 방출된 플라스틱의 개수 집계와 시간에 따라 변화하는 하상을 2차원으로 나타내어 디지털화하는 데 활용된다. 한 시간의 실험이 종료된 이후, 장치 내 물을 완전히 빼고 각 유사층 내부 및 사빈 내에 잔여하고 있는 플라스틱 입자를 집계함으로써 실험이 완료된다. 이러한 과정을 모든 실험 조건에 대하여 반복적으로 이행하여 최종적으로 실험이 종료된 시점에서 각 실험 조건 별로 층별 플라스틱 입자의 방출 개수, 층별 잔여 입자 수를 알 수 있다. 차후 실험 조건 별 비교를 통하여 입자의 크기 조건 변화에 따른 방출 차이, 흐름 조건 변화에 따른 입자 방출 차이를 파악할 수 있으며, 촬영된 비디오 분석을 통하여 형성된 사빈의 특성까지 도출할 수 있다.
Table 1.
Conditions for experimental cases
3. 실험 결과
실험을 통해 가장 먼저 알 수 있는 사실로 유사 내부에 있는 플라스틱 입자가 수체로 방출되기 위해서 강한 흐름으로 인한 뚜렷한 하상의 변화가 선행되어야 한다는 점이 있다. 본 실험의 유사 크기 조건 하에서 Re가 대략 5.5×104 이하 흐름에서는 하상의 변화가 발생하지 않았다. 더불어, 플라스틱 입자의 방출 또한 발생하지 않았다. 해당 Re 이하 흐름 조건에서 하상 변화의 비발생으로 유사 내부의 공극이 증가하지 못하고, 이로 인하여 유사 내에 있는 플라스틱 입자가 거동할 수 있는 공간적 여유가 발생하지 않은 것이다. 따라서, 본 연구에서는 Re~5.5×104을 하상 변화의 발생 및 플라스틱 입자의 방출을 가능하게 하는 왕복 흐름의 임계값으로 정의하였다. 이는 Ribberink and Al-Salem (1994)와 van der Werf et al. (2007)이 각각 제시한 바 있는 하상 변화에 관한 흐름 임계값인 Re~4.3×104와 6.7×104의 범위 안에 위치한다.
이렇듯 하상의 변화가 플라스틱 입자의 방출에서 가장 중요하게 작용한다는 것을 알 수 있다. 하상 변화가 발생한 모든 실험 조건들에서 시간의 경과에 따라 변화하는 하상을 관찰한 결과, 초기의 평평한 바닥에서부터 안정적인 형태의 사빈이 형성되기까지 실험 시작 후 약 15~20분의 시간이 소요되었다. 실험 조건 및 방법에서 서술한 바와 같이, 이후 형성된 사빈들은 수조의 정가운데를 기준으로 양쪽으로 대칭하게 이동함에 따라 사빈의 길이()가 점차 길어지는 양상이 드러났다. 하상 변화가 발생한 모든 실험 조건들에서 Recr~5.5×104 공통적으로 드러난 특징 중 다른 하나는 초기 하상 높이(z=0 m)에서부터 형성된 사빈이 실험 종료 시점까지 z=-40 mm의 유사층 이하로 깊이 도달하지 못하여 유사가 더 이상 세굴되지 않았다는 점이 있다. 따라서, 본 실험 연구에서 활용된 흐름 및 유사 조건과 유사한 실제 해안환경 내 퇴적된 플라스틱 입자들의 방출이 가장 활발히 발생하는 유사 깊이 구간은 z=[-40 mm, 0 mm]라는 것을 알 수 있다. 본 실험을 통해 도출된, 입자 방출이 가능한 최소 유사층(z=-40 mm) 이하에 퇴적된 입자는 이후 다른 큰 흐름이 발생하지 않는 한 오랜 시간 유사 내부에 묻혀있게 될 것이다. 이 결과는 해안 플라스틱 수거 사업이나 유사 내 플라스틱 오염도 측정을 위한 시료 채취 등의 분야에서 주목할 필요가 있는 유사 깊이 구간을 제시한다. 더불어, 실험 시작 전 유사 내부에 층별로 동일한 직경, 다른 색상의 플라스틱 입자를 사용하여 배치하였는데, 이는 유사 내부에서의 입자의 층간 이동을 확인하기 위함이다. 실험 결과, 입자의 유사 층 간의 이동은 확인되지 않았으며, 본 실험 조건에서는 오로지 하상 변화에 따른 방출만이 발생하였다. 따라서, 조립사의 유사와 왕복 흐름이 존재하는 실제 해안 조건에서는 입자가 얼마나 유사 표면과 가까이에 퇴적되었는지가 중요하다.
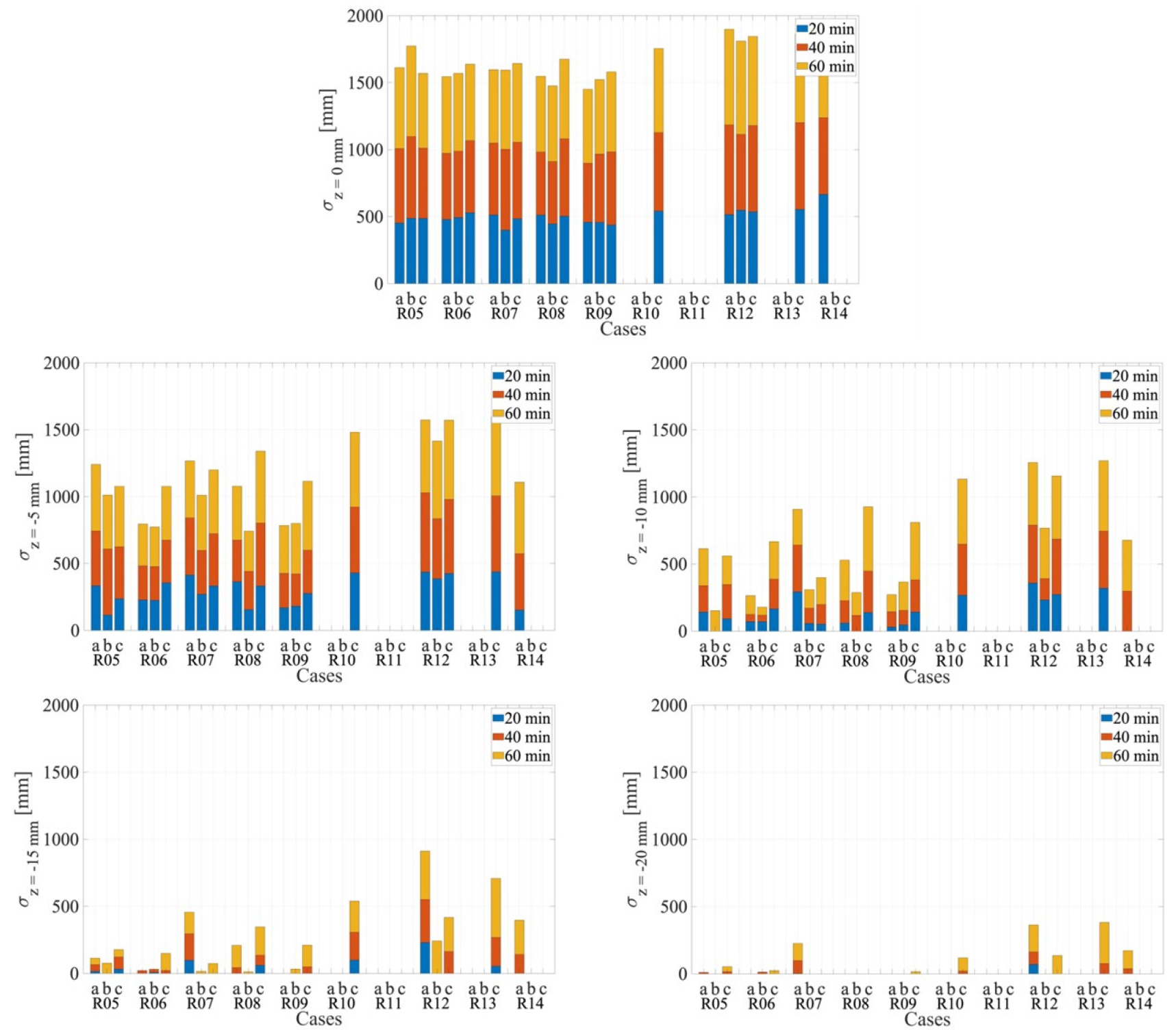
하상 변화의 정도와 형성된 사빈의 특성을 보다 자세히 분석하고자 진행되었던 각 실험은 수조 정면에서 촬영되었으며, 촬영된 비디오 자료를 시간의 경과에 따른 하상 자료로 디지털화하여 활용하였다. 해당 자료는 정면에서 촬영되었지만 보다 정확한 분석을 위하여 영상의 왜곡 계수(distortion coefficient)를 추출하여 왜곡 보정을 한 후 사용되었다. 시간에 따라 변화하는 하상의 표면을 2차원(x, z) 내 선으로 변환하였다. 이를 통하여, 수조에 장착된 유사조의 1 m 가로 길이 조건 내에 형성된 사빈의 개수(n), 길이(), 높이()와 같은 사빈의 특성들을 도출하였다. 더불어, 임의의 7개의 유사층을 정의하고, 각 유사층을 기준으로 사빈 간의 길이()와 각 유사층부터 바닥까지 세굴된 측면 2차원 면적()을 도출하여 하상 변화의 정도에 따른 플라스틱 입자의 방출 여부 및 차이를 살펴보고자 하였다. 정의한 유사층은 z=0 m, z=-0.005 m, z=-0.01 m, z=-0.015 m, z=-0.02 m, z=-0.045 m, z=-0.075 m이며, Fig. 6는 본 실험을 통해 도출하고자 한 사빈의 특성들을 도식화하여 보여주고 있다.
최종적으로 형성된 사빈의 개수(n)는 Fig. 7(a)와 같이 흐름의 변화에 따라 그래프로 나타내었다. 각 흐름 조건에서 2~4개의 사빈이 형성되었고 평균적으로 3개가 형성되었다. 하지만, Re가 큰 흐름일수록 그 수는 대체적으로 줄어드는 경향을 보였다. 이를 Fig. 7(b)에 나타낸 흐름의 Re 증가에 따른 의 변화와 함께 살펴보았을 때, 흐름의 Re가 증가함에 따라 n이 줄어들고 는 증가하는 것을 알 수 있다. 하상 변화의 진행 과정에 대해 전술한 바와 같이 유사조의 1 m 길이 구간 안에서 사빈들이 형성되고 난 후 양쪽으로 이동함으로 형성된 사빈의 개수가 적을수록 가 길어질 수밖에 없다.
사빈의 길이()와 높이()는 해안 유사 분야에서 중요하게 다뤄지는 사항으로 이에 대한 다양한 모델들이 제안됐는데 대표적으로 유사 이동수(sediment mobility number, )에 대한 함수로 나타낸 Nielsen (1981)의 와 모델이 있다. 이동수는 바닥의 모래 입자에 미치는 유체의 힘을 간단하게 수치화할 수 있는 무차원수 중 하나이다 (Nielsen, 1992). 형태는 Eq. (3)와 같으며, 흐름에 의해 모래 입자에 가해지는 힘을 유속의 제곱으로 대표하고, 이를 모래 입자의 수중 중량으로 나누어 두 힘의 비로 나타낸 것이다.
여기서, s는 퇴적물의 비중으로 2.65이고, 는 중력, 그리고 d는 퇴적물 입자의 크기를 가리키며 입도 분석을 통해 얻은 유사의 D50 값을 사용하였다. Nielsen이 제안한 의 현장 실험 모델은 Eq. (4)와 같고, 실험실 실험 모델은 Eq. (5)와 같다.
Nielsen의 에 관한 두 모델과 본 실험을 통해 얻은 를 비교해 보았을 때, 결과는 Fig. 8(a)와 같다. 현장과 실험실 모델 모두 ≤10 구간에서 일정한 를 보이지만, >10의 조건에서는 그 차이가 드러난다. 본 실험의 는 =[8, 10] 구간 내에 분포되어 있어 해당 실험 결과가 실제 해안과 실험실 실험에서 확인 가능한 와 크게 벗어나지 않는 것을 알 수 있다. 따라서, 두 모델에서의 와 본 실험을 통해 도출된 모두 =[1, 3]구간에 분포되어 있으므로 본 실험이 해안 유사를 다루는 연구로서 충분한 타당성을 갖춘다고 할 수 있다. 더불어, Eq. (5)를 통하여, 유사의 입도 크기(d)와 흐름의 주기(T)가 일정한 실험실 조건에서 흐름의 속력(U)과 는 정비례 관계에 있고, 유속이 일정한 조건에서는 주기와 가 정비례 관계에 있다는 것을 알 수 있다. 하지만, 유사의 입도 크기(d)와 는 반비례 관계에 있다는 것 또한 알 수 있다.
Nielsen (1981)은 에 관한 현장 및 실험실 모델 또한 제안한 바 있다. 현장 모델의 경우는 >10에 대한 조건 내에 유효하고 형태는 Eq. (6)와 같으며, 실험실 모델의 경우에는 Eq. (7)와 같은 형태를 가진다. 현장 모델 및 실험실 모델과 본 실험의 를 비교한 결과는 Fig. 8(b)에 나타내었다.

Fig. 8.
Comparison between models (lines) and experimental data (red bullets) for (a) ripple length () and (b) height () (Nielsen, 1981)
Nielsen의 현장 모델의 경우, 는 에 따라 감소한다. 반면, 실험실 모델의 경우에는 ≃0.26으로 일정한 추세를 보이지만 ≃10 이후부터 점진적으로 감소하고 ≃100부터는 급격하게 감소한다. 흐름이 강할수록 계속하여 가 지속적으로 감소하는 것이 아니라 어느 정도의 흐름까지는 일정하게 사빈의 높이가 유지됨을 말한다. 또한, 높은 유속 환경에서는 낮은 사빈이 형성되지만, 흐름의 T가 짧을수록 는 증가하는 경향을 보인다. 모래 입자의 크기(d)가 클수록 지수함수 형태로 는 증가하게 된다. 더불어, 본 실험을 통해 도출된 는 위 의 비교 결과와 마찬가지로 특정 이동수 구간에서 모델의 결과와 유사한 높이 결과를 보여주고 있음을 알 수 있다.
시간의 경과에 따라 변화하는 하상과 플라스틱 입자의 방출 간의 상관관계를 알아보기 위하여 Fig. 6에서 정의한 길이 와 넓이 를 분석하여 보았다. 해당 길이와 넓이는 실험 시작 후 20분, 40분, 60분 각 시간대에서 정의된 유사층 별로 살펴보았다. 와 모두 수조 정면에서 촬영된 2차원 이미지로부터 도출된 결과이기에 수조의 y-축 방향으로는 하상이 일정하다는 가정을 하였다.
실제로 해당 수조의 특성상 수조의 y-축 방향으로의 흐름의 변화가 없으므로 하상의 변화 또한 없다. 와 의 결과는 각 Fig. 9와 Fig. 10에 해당한다. 유사의 깊이가 깊어질수록 와 의 값 모두 작아지는 것을 알 수 있으며, 흐름의 Re가 커질수록 두 값 모두 증가하였다. 의 값이 크다는 것은 가 길다는 것과 동일한 의미이며, 넓이 가 크다는 것은 가 길어지고 더 깊이 있는 유사가 세굴되었다는 것을 말한다. 종합적으로 보면, 보다 큰 Re를 가지는 흐름일수록 시간이 지남에 따라 사빈의 길이()와 사빈 간의 길이()가 점차 길어지고, 형성되는 사빈이 더 깊은 유사층까지 도달할 수 있게 됨으로써 깊이 퇴적된 플라스틱 입자가 수체로 방출될 가능성이 크다는 것을 실험 결과를 통해 알 수 있다.
전술한 바와 같이 본 실험의 흐름과 유사 조건 내에서 하상 변화와 플라스틱 입자의 방출은 Recr~5.5×104부터 진행되었다. 하지만, Re의 정의에는 모래의 특성이 전혀 반영되지 않다는 점에 주목할 필요가 있다. 이동수(Eq. (3))와 입자 Froude 수(Fr)(Eq. (8))(Aguirre-Pe et al., 2003; Ali and Dey, 2017; García, 2008)는 사용된 흐름과 모래의 특성을 동시에 고려 가능하기에 이것들을 활용하여 입자의 방출에 관한 임계값을 다시 산정할 수 있다. 본 연구의 전체 실험 조건에 해당하는 는 [3.68, 9.69] 구간에, Fr는 [1.92, 3.12] 구간에 각각 분포하며, 이 구간들 내에서 플라스틱 입자의 방출 유·무에 따라 임계값을 도출할 수 있었다. 와 Fr의 변화에 따른 방출된 플라스틱 입자의 수는 Fig. 11(a) and 11(b)에 나타내었다. D50≃868.6 의 입도를 가지는 유사가 사용된 본 실험실 실험의 경우 뚜렷한 플라스틱 입자의 방출 유·무를 확인할 수 있다. 특정 과 Fr의 값 이하에서는 플라스틱 입자의 방출을 찾아볼 수 없는데, 이는 해당 값 이하 조건에서는 하상의 변화 또한 발생하지 않음을 의미한다. 따라서, 입자의 방출이 발생한 값과 발생하지 않은 값의 중앙값을 하상 변화 및 플라스틱 입자 방출의 임계값으로 산정하였을 때, ~ 7.25와 Frcr~2.69로 나타낼 수 있다.
더불어, 유사 이동 분야에서 와 동일한 의미를 지녔지만 흐름의 유속 대신 바닥 전단력으로 유사에 미치는 힘을 고려하는 Shields 수()가 보다 널리 쓰인다(Eq. (9))(Nielsen, 1992).
하지만, 이 무차원수를 산출하는 데 필요한 바닥 전단력을 구하기란 쉽지 않지 않다. Nielsen (1992), Abreu et al. (2013), Berni et al. (2013), Rodríguez-Abudo et al. (2013) 등과 같은 많은 선행 연구에서 전단력을 산정하는 방법을 제안해왔지만, 이들은 모두 아직 불확실한 경험식을 사용하거나 반복 계산을 통해 유사한 값을 도출하는 방법을 사용한다. 따라서, 본 연구에서는 결과의 모호함과 불확실성을 지양하기 위하여, 와 실질적으로 동일한 의미를 가지지만 실험을 통해 분명하게 얻을 수 있는 값들로만 구성된 와 Fr를 사용하였다. 다만, 바닥 마찰력이 U에 관한 함수란 점에 착안하여 U의 변화에 따른 플라스틱 입자의 방출 차이를 Fig. 12(a)에 나타내었으며, Re와 가 U2에 비례하기에 플라스틱 입자의 방출과 U2의 관계를 Fig. 12(b)에 나타내었다. 해당 그래프를 통해 U와 U2을 기반으로 하상 변화 및 입자 방출에 관한 임계값을 표현하면 각 Ucr~0.3 m/s와 ~0.1 m2/s2이다.
플라스틱 입자의 방출에 관여하는 또 다른 요소로 플라스틱 입자의 크기를 꼽을 수 있다. Fig. 11과 Fig. 12에서도 플라스틱 입자의 크기 별 방출된 입자의 수에 차이가 존재하는 것을 찾아볼 수 있다. 본 연구의 전체 실험 조건 내에서 방출된 플라스틱 입자의 수를 그 크기에 따라 분류해 보았을 때, 아래 Fig. 13(a)에 나타낸 바와 같이 입자 크기에 따른 뚜렷한 방출 차이가 있음을 알 수 있다. 플라스틱 입자의 크기가 클수록 방출되는 입자의 수는 줄어들었다. 특히, 미세플라스틱(micro-plastics)의 크기 범주에 속하는 직경 3 mm의 입자와 중형플라스틱(meso-plastics) 영역에 해당하는 6 mm 및 8 mm 크기의 입자 사이에 뚜렷한 차이가 존재하였다. 직경 3 mm와 6 mm 크기를 가지는 플라스틱 입자 사이에 평균적으로 방출된 입자 수의 차이는 대략 36.9%이며, 6 mm와 8 mm 입자 간의 차이는 10.3% 정도로 전자에 해당하는 미세플라스틱과 중형플라스틱 입자 간의 차이가 세 배 이상 크다고 할 수 있다. 미세플라스틱과 중형플라스틱에 관한 구체적인 정의는 미국 해양대기청(National Oceanic and Atmospheric Administration, NOAA)에서 규정한 플라스틱 폐기물의 입자 크기 별 정의를 따랐으며, 이는 Fig. 13(b)와 같다.

Fig. 13.
(a) Number of released particles with their sizes, and (b) Definition of plastic wastes by size (adapted from GESAMP, 2015)
4. 결 론
해마다 많은 양의 플라스틱 폐기물이 해안·해양 환경에 버려지고 있으며, 그러한 폐기물은 다양한 환경적 요인들과의 상호작용 속에서 물리적·화학적 변화를 겪게 된다. 특히, 자외선 등의 이유로 더욱 작은 크기로 파편화된 플라스틱 입자가 해안·해양 환경에 노출되는 현상은 여러 우려를 낳고 있다. 이 문제를 해결하기 위한 기초 연구로서, 본 연구는 해안 유사 내부에 퇴적된 플라스틱 입자가 다시 수체로 방출되는 과정과 영향요인들을 파악하고자 실험실 실험을 진행하였다. 실험을 위해 유사조가 탈부착 가능한 왕복흐름발생장치로 [3.70×104, 7.67×104]의 Re를 가지는 왕복 흐름을 구현하였으며, D50= 868.6 입경의 모래가 활용되었다. 또한, 구 형태를 가지며 각각 직경이 3 mm, 6 mm, 8 mm인 세 가지 크기의 플라스틱 입자를 사용하였다.
실험 결과, 먼저 하상의 변화로 사빈이 형성되는 과정에서 얼마나 깊은 곳에 있는 유사까지 세굴되는 지가 플라스틱 방출 여부를 결정짓는 주요한 요인 중 하나인 것을 알 수 있었다. 충분한 Re를 가지는 흐름이 발생하지 않은 조건에서는 사빈의 크기가 작아짐에 따라 유사 내부 깊숙이 위치한 플라스틱 입자는 수체로 방출될 수 없게 된다. 이는 해안·해양 유사로 유입된 플라스틱은 급격한 흐름 변화가 발생하지 않는다면 수년에서 수십 년 동안 사구에 갇혀 있게 된다는 점을 밝혀낸 Turner et al. (2021)의 연구와 일맥상통한다. 더불어, 플라스틱 입자의 방출 여부에 따라 방출 임계값이 산정되었는데, 이는 Recr~5.5×104, ~7.25, Frcr~2.69, Ucr~0.3 m/s, 또는 ~0.1 m2/s2으로 나타낼 수 있다. 해당 값들은 본 실험과 동일한 유사 조건이 주어진 경우, 하상이 변화하고 플라스틱 입자가 수체로 방출되기 위한 최소 조건을 말한다.
Table 2은 흐름의 Re, 입자의 크기, 유사 깊이층에 따라 플라스틱 입자가 방출된 정도를 확률의 형태로 나타낸 것이다. 해당 표에 따르면, 먼저, Recr~5.5×104 이하 흐름 조건에서는 하상의 변화가 거의 발생하지 않았으며 플라스틱의 방출 또한 발생하지 않음을 알 수 있다. 더불어, 본 실험에서 사용된 흐름의 Re와 유사의 크기 조건 내에서는 사빈이 약 z=-0.04 m의 유사 깊이층 이하에는 침투하지 못하였으며, 그 결과 해당 층 이하에 묻혀있는 플라스틱 입자들의 방출은 발생하지 않았다. 대조적으로, 동일한 조건 내에서 유사 표면에 더욱 인접하게 배치된 플라스틱 입자일수록 대부분 수체로 방출되었다. 이를 고려할 때, 유사 속 깊이 배치된 플라스틱 입자가 방출되기 위해서는 보다 큰 규모의 하상 변화와 이를 가능하게 하는 강한 세기의 흐름이 필요하다고 할 수 있다. 또한, 본 실험의 결과는 플라스틱 입자의 크기에 따라 뚜렷한 방출 양상의 차이가 존재한다는 것을 드러낸다. 다시 말해, 플라스틱 입자의 크기가 작을수록, 더 많은 입자가 수체에 방출될 수 있다. 실험 결과를 종합해보면, 플라스틱 입자의 방출은 그 표면의 절반 이상이 수체에 노출된 경우에 이루어지며, 입자의 크기가 작을수록 비교적 더 쉽고 빠르게 방출된다고 할 수 있다. 향후 연구에서는 보다 다양한 플라스틱 입자의 크기, 모양, 재질과 유사 입자의 크기를 고려함으로써 더욱 정교한 방식으로 플라스틱 입자 방출의 구조를 탐색할 수 있을 것이다.













