1. 서 론
기후변화와 더불어 한반도 상륙하는 태풍의 강도는 과거부터 꾸준히 증가하고 있는 실정이며, 최근에는 그 경향이 뚜렷하게 나타나고 있다(Kim and Jain, 2011; Moon and Choi, 2011; Choi et al., 2013; Son et al., 2014). 기후변화에 관한 정부간 협의체(The Intergovernmental Panel on Climate Change, IPCC)에서는 지구온난화로 인한 기온상승과 태풍 진행 해역의 열용량 증가는 서북태평양지역의 태풍강도가 더욱 증가할 것으로 전망하고 있으며, 한반도 역시 태풍으로 인한 잠재적인 위험성에 노출되어 있는 실정이다(Kim et al., 2016; IPCC, 2014). 또한, 기후변화로 인한 해수면 온도의 진화패턴이 달리지고 있으며, 이로 인한 태풍발달특성변화와 다양한 강우패턴에 따른 물 순환 변화는 시․공간적 수문환경시스템의 변화를 일으킬 것으로 전망하고 있어 이에 대한 지역 맞춤형 적응대책수립이 시급히 요구되고 있다(Kim and Jain, 2011; Son et al., 2014; Kim et al., 2015). 이처럼 국내에서는 기후변화에 따른 물 관리 여건의 변화가 가시화 되고 있으나, 불확실한 수문변화와 댐건설 적지 감소로 인해 미래 수자원 확보에 대한 어려움을 겪고 있으며, 가뭄 및 홍수 대처능력 향상과 지역 발전을 위한 지역의 수자원 개발 및 확보 요구가 증대됨에 따라 한정된 수자원의 효율적이고 친환경적인 개발 및 관리 등에 대한 계획이 필요하다(MOLIT, 2012).
지구온난화로 인한 해수면 온도의 상승, 충분한 수증기량 및 대기 상․하부의 약해진 바람 세기의 차이 등 대기환경 조건이 태풍발달에 유리하게 형성되어 있다(Kim and Jain, 2011; Son et al., 2014; Kim et al., 2016). 또한 과거에 비하여 태풍이 발생하는 위도가 북상하고 있고, 육지 근처에서 태풍이 짧은 시간에 빠르게 세력이 커지는 경향을 보이고 있어 상대적으로 세력이 막강한 태풍의 한반도 내습 가능성에 대한 적극적인 대비가 필요하다고 요구되고 있다(Moon and Kwon, 2010; Choi et al., 2013). 그러나 태평양 연안국가에서 태풍은 홍수, 강풍, 연안침수 등 사회․경제적으로 막대한 피해를 입히기도 하지만, 지구 에너지의 균형을 유지하고 지구환경시스템에 물을 분배함으로써 수자원확보, 대기질 개선, 적조발생 억제 등 많은 순기능의 혜택을 제공하고 있다(Trenberth et al., 2007; Sriver and Huber, 2007; Delphine et al., 2013; Kim et al., 2016).
Richter et al. (1997)은 하천유량에 대해 정량적으로 분석하기 위해 극치사상의 규모(Magnitude), 빈도(Frequency), 지속시간(Duration), 발생 시기(Timing)를 제공하는 수문변화지표를 이용하여 하천 생태계 영향에 대한 필요성을 제시한 바 있으며, Kim et al. (2011)은 기후변화 영향을 고려한 한강유역(66개 기상관측지점)의 유황분석 위해 수문변화를 분석하였다. Kang et al. (2015)은 한반도 8개 다목적 댐을 대상으로 수문학적 변동 특성을 분석하기 위해 일유량 자료를 이용하여 경향성 분석과 유형화 분석을 시도하였다. 이처럼 국내․외에서는 하천유량 변화에 대한 연구가 많이 진행되고 있으나, 기후변화의 영향과 한반도 영향 태풍에 의한 수문변화에 대한 연구는 상대적으로 미흡한 실정이다. 기후변화에 따른 태풍의 발생 가능성이 지적되고 있으며, 이로 인한 댐 유입량의 변동 폭이 커질 것으로 전망됨에 따라 치수와 이수적인 측면뿐 아니라 환경적인 경향을 고려한 통합적 물 관리 체계 구축이 시급히 요구되고 있다. 따라서 본 연구에서는 섬진강 댐을 대상으로 한반도 태풍도메인을 적용하여 태풍의 경로를 유형화하고, 태풍 유형에 따라 섬진강 댐 유역의 수문변동에 대한 특성을 분석하였다. 이는 한반도 수생태계환경 시스템 변화에 대한 대응방안의 기초자료를 제공할 것으로 기대된다.
2. 대상 자료 및 분석방법
본연구의대상유역은우리나라최초의다목적댐인섬진강댐으로선정하였다(Fig. 1). Table 1은 섬진강 댐의 제원을 나타내고 있으며, 섬진강 댐 유역은 한반도 내륙지역에 위치하고 있어 다른 다목적 댐 유역보다 생태학적 스트레스가 큰 것으로 분석된 유역이다(Kang et al., 2015). 섬진강댐은 동진강 하류와 계화도 간척지에 농업용수를 공급하고 호남지방의 전력난 해소를 돕고 있으며, 댐은 제방 높이 64.0 m, 길이 344.2 m로 구성된 콘트리트중력식댐(C.G.D)이며, 유역면적 763.0 km2, 저수면적 26.5 km2, 총 저류용량 577.0백만 m3의 제원을 갖고 있다.
본 연구에서 사용된 태풍정보는 RSMC (Regional Specialized Meteorological Centre) 도쿄-태풍센터(http://www.jma.go. jp/en/typh/)에서 제공하는 자료이며, 1975년부터 2015년까지 41개년의 자료에 대해서 태풍발생 지점과 태풍경로 분석을 위해 사용하였다. 소양강 댐 유역의 수문변동 특성분석을 위해서는 국가수자원관리종합정보시스템(WAMIS)에서 제공하고 있는 면적평균강우량과 댐유입량자료(1975-2015년)를 이용하였다.
태풍에 의한 한반도 영향을 정량적으로 분석하기 위하여 1975년부터 2015년까지 북서태평양에서 발생한 852개 태풍의 이동경로를 홍수기(5월-10월) 동안 한반도 태풍영향도메인(32-40°N, 120-138°E)을 통과한 222개의 태풍을 대상으로 서해, 동해, 일본 방향으로 태풍의 이동경로를 분리하여 섬진강댐 유역에 미치는 영향과 태풍에 대한 체류시간과 유역의 유출반응을 고려한 탐색적 분석기법(Kim et al., 2012)을 적용하여 첨두유량 계열에 대한 유출변화지표(Magnitude, Timing, Frequency, Duration)를 추출하여 한반도에 영향을 미친 태풍이 섬진강 댐 유역의 유량변화에 미친 영향을 분석하였다. 게다가 태풍통계 자료에 대한 경향성 분석을 위하여 대표적인 비모수적 방법인 Mann-Kendall test를 적용하여 유의수준 95%에 대해서 양측 검증을 통한 통계적 유의성을 평가하였다. 또한, 피어슨 상관분석(Pearson Correlation Analysis)과 순위 분석(Rank Analysis)을 통하여 한반도 영향 태풍을 고려한 섬진강 댐 유역의 수문변동 특성을 분석하였다. 본 연구에서는 태풍이 한반도 태풍영향도메인에 진입한 시점부터 도메인 안에 위치하고 있는 동안 발생한 유출량을 태풍유출량으로 정의하였다.
3. 분석결과
3.1 한반도 영향 태풍 및 계절 유량 변화
한반도에 영향을 미치는 태풍의 경로를 추적하여 태풍의 영향을 정량화하고 태풍에 의한 유출의 특성변화를 분석하였다. Fig. 2는 북서태평양(WNP) 지역에서 발생한 태풍과 한반도 영향 태풍의 경로를 도시하였으며, 한반도 주변의 사각형 점선인 기상청 한반도 태풍영향도메인(32-40°N, 120-138°E)을 이용하여 섬진강 댐 유역의 1975-2015년까지의 태풍자료를 분석한 결과이다. 41개년(1975-2015년) 동안 발생한 북서태평양 태풍은 852개이며, Fig. 3에서 주황색으로 표시된 222개의 선은 한반도를 통과하여 한반도 주변지역과 한반도 유역에 상륙하여 직․간접적인 영향을 준 태풍의 이동경로를 나타내고 있다. 또한, 5월에는 6개의 태풍이 한반도에 영향을 미치는 것으로 분석되어 가장 적고, 8월에 72개의 태풍이 한반도 태풍영향 도메인을 통과하여 가장 많은 영향을 미친 것으로 분석되었다. Fig. 2에서 푸른색 점은 태풍의 발생지점을 나타내며, 북서태평양의 전체의 발생태풍의 평균발생지점(16.1°N, 139.8°E)과 한반도 영향 태풍의 평균 발생지점(15.8°N, 140.2°E)과는 큰 차이는 보이지 않는 것으로 분석되었다.
섬진강 댐 유역의 홍수기(5-10월) 태풍의 영향을 고려한 유출분석 결과는 Fig. 4에 도시하고 있으며, 1975년부터 2015년까지 유출자료를 분석한 결과, 홍수기 유출량의 15.18%가 태풍강우에 의해 발생한 것으로 타났다(평균: 15.18%, 표준편차: 42, 변동계수: 2.77). 섬진강 댐 유역의 홍수기 유출량과 태풍유출량은 장기적인 양의 증가패턴은 보이지만 통계적으로 유의하지는 않는 것으로 나타났다. 홍수기 유출량이 가장 많이 발생한 해는 2003년인 것으로 나타났으며 한반도 남부 지역을 강타한 “Super Typhoon Maemi”의 영향이 큰 것으로 분석되었으나, 태풍에 의한 유출은 상대적으로 크지 않는 것으로 분석되었다. 여름철 유출량 중 태풍의 영향이 가장 민감하게 발생한 해는 1985년, 1999년, 그리고 2004년으로 나타났다. 태풍에 의한 유출량이 상대적으로 크게 발생한 1985년은 라니냐에서 엘리뇨, 1999년은 엘니뇨에서 라니냐 전환되는 해이며, 2004년의 경우에는 엘니뇨가 지속되는 시기인 것으로 분석되었다.
Fig. 5는 홍수기 섬진강 댐 유역의 1975-2015년 동안의 일평균강우량과 일평균유출량을 분석한 결과이며, 일최대유출량(86.51 m3/s)은 7월 12일에 발생하는 것으로 나타났다. 섬진강댐 유역의 유입량의 약 70%는 홍수기(5월-10월)에 홍수조절을 위해 운영되고, 유입량의 약 30%는 비홍수기에 주로 용수를 공급하고 수력발전을 위해 운영되고 있다. 섬진강 댐 유역에 대하여 태풍으로 유입된 강우에 의한 발생된 유출량과 태풍의 영향을 받지 않은 유출량에 대하여 의존성 분석을 위해 상관성 분석을 수행하였으며
,
로 분석되었다.
1985년 홍수기에 북서태평양 지역에서 발생한 태풍은 19개이며, 이중 10개의 태풍에 의해 섬진강 댐 유역의 유출량이 영향을 받은 것으로 분석되었다(홍수기 유출량의 27.3%가 발생). 1999년에는 중국 동북부 지역과 일본의 동남쪽 해상에 걸쳐서 양의 지오포텐셜 고도패턴이 발생하였으며 중국부터 한반도 남부와 일본 오사카지역까지 넓은 지역에서 음의 지오포텐셜 고도 패턴이 발생하여 양쯔강 유역과 필리핀 해역부터 한반도 중남부지역까지 광범위하게 수분이 유입되었다. 2004년은 섬진강 댐의 여름철 유출량의 절대량이 많지는 않았지만 여름철 유출량 중 태풍의 의한 발생한 유출이 38.8%를 차지했던 것으로 나타났다.
3.2 태풍경로에 따른 수문학적 영향 분석
Fig. 6은 한반도 영향 태풍도메인을 통과하는 태풍의 진행방향을 나타내며, 서해, 동해, 일본 방향으로 태풍 도메인을 빠져 나가는 경로를 도시하고 있다. 태풍의 이동경로가 일본방향으로 진행되는 경우보다 서해(39개)와 동해(63개) 방향으로 진행될 때, 태풍에 의한 첨두유출량이 발생하는 경우가 많은 것으로 나타났다. 그러나 태풍의 이동경로가 일본(120개) 동부해역으로 진행되는 경우가 가장 많은 것으로 분석되었다. 태풍의 이동경로가 태풍도메인을 지나갈 때 서해나 동해로 진행될 경우에는 한반도가 태풍의 중심으로부터 동쪽에 위치하기 때문에 한반도에 큰 영향을 미치는 것으로 분석되었다. 그러나 태풍의 이동경로가 일본해협으로 진행되면 한반도의 위치가 태풍의 중심을 기준으로 서쪽에 위치하여 태풍에 의한 영향을 상대적으로 적게 받게 되어 첨두유출량에 미치는 영향도 줄어드는 것으로 판단된다.
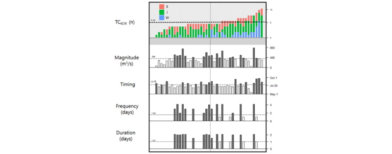
본 연구에서는 섬진강 댐 유역을 대상으로 태풍 영향에 따른 유출에 대한 주요 성분에 대한 특성변화를 살펴보기 위해 순위(Rank) 분석을 실시하였다. 한반도 영향 태풍(n)과 북서태평양에서 발생한 태풍(N)의 발생빈도에 대한 통계적으로 유의한 변화는 발생하지 않았지만, 한반도 영향 태풍의 발생비율(n/N)에서는 유의수준 95%를 충족하는 동시에 증가경향이 나타났다. 41개년 동안 발생한 평균 태풍발생비율(n/N)은 0.268이며, 변동계수는 0.385로 크지 않는 것으로 분석되었다. 그러나 태풍에 의한 대상 댐 유역의 유출특성은 상당한 변화가 있는 것으로 나타났다. Fig. 7에서 모든 특성 자료들은 1975년부터 2015년까지 홍수기(5-10월) 동안 발생한 한반도 영향 태풍(n)에 따라 재구성된 결과이며, 태풍의 영향과 주요 유출지표 사이의 상호 관계를 보여주고 있다. 태풍과 관련된 통계자료로 사용된 한반도 영향 태풍과 하천 생태계의 변화에 중요한 역할을 할 수 있는 고유량(high flow) 지표의 상대적 변화를 도시하고 있다. 섬진강 댐 유역의 홍수기 유출성분에 대한 경향성 분석결과, 첨두유량(tau = 0.207, p-value = 0.058), 첨두유량의 발생시기(tau = 0.095, p-value = 0.393), 첨두유량을 초과하는 유출의 발생빈도(tau = 0.216, p-value = 0.073)와 지속기간(tau = 0.223, p-value = 0.065) 모두 양의 증가 형태를 보이고 있지만 통계적으로 유의하지 않은 것으로 분석되었다.
한반도 영향 태풍(n)에 따른 변화를 살펴보기 위해서 Rank분석을 통하여 상위 50% (20개년), 하위 50% (21개년)로 분할하여 분석한 결과는 Fig. 7과 같다. 단순히 한반도 태풍영향도메인을 통과한 빈도가 많을 때 보다 태풍의 이동경로가 일본(J)방향이 아닌 동해(E)와 서해(W) 방향으로 진행될 경우 태풍유출률(상위 20개년 중 8개 사상 발생)의 변화가 상당한 것으로 나타났다. 한반도 태풍영향 도메인을 통과한 태풍사상의 발생빈도(41개년 중 10개 사상 발생)도 한반도 영향 태풍의 발생빈도와 밀접한 관계가 있는 것으로 나타났다. 그러나 한반도 영향 태풍(n)은 첨두유량의 규모와 발생시기의 변화에는 많은 영향을 미치는 것으로 나타났다. 그러나 첨두유량의 발생빈도와 지속시간은 한반도 영향 태풍(n)과 상대적으로 관계가 적은 것으로 분석되었다. 이러한 변화는 상관성 분석결과에서도 확인할 수 있었다. 첨두유량의 발생규모(correlation coefficient = 0.41)와 첨두발생시간(correlation coefficient = 0.83)은 한반도 영향 태풍(n)과 양의 상관관계가 나타났다.
4. 요약 및 결론
본 연구에서는 한반도의 대표적인 다목적 댐 유역인 섬진강 댐을 대상으로 한반도에 영향을 미치는 태풍과 태풍의 발생에 따른 유출특성변화를 분석하였다. 태풍영향 도메인을 적용하여 태풍유량을 정량화하였으며, 태풍통계 자료와 지역 수문변화지표의 변화와 상관분석을 통하여 기후변화의 적응과 대책수립에 유용한 정보를 제공하고자 하였다. 주요 결과를 정리하면 다음과 같다.
1)섬진강 댐 유역의 유출량 자료(1975-2015년, 41개년)를 이용하여 북서태평양 지역에서 발생한 태풍과 한반도 태풍영향 도메인을 통과한 태풍을 분석한 결과, 홍수기(5월- 10월) 동안 북서태평양 지역에서는 852개의 태풍이 발생되었으며 그 중 222개의 태풍이 한반도에 영향을 미치는 것으로 나타났으며, 태풍의 평균발생지점은 필리핀 동쪽해상 부근(16.1°N, 139.8°E)인 것으로 분석되었다. 태풍발생빈도에 대한 통계적 유의성은 나타나지 않았으나 한반도 도메인을 통과하는 태풍에 의해 한강유역의 여름철 유출량의 변화가 민감하게 변화하는 것으로 나타났다. 섬진강 댐 유역의 여름철 유출량의 15.18%가 태풍에 의해 발생되고 있으며, 태풍 영향이 가장 큰 시기는 1986년, 1999년, 2000년인 것으로 나타났다. 1986년은 라니냐에서 엘리뇨로 전환되는 해이며, 1999년-2000년의 경우 엘니뇨에서 라니냐로 전환되는 시기인 것으로 분석되었다.
2)태풍경로에 따른 영향을 분석하기 위하여 한반도에 영향을 미친 222개 태풍 사상을 이동경로에 따라 서해, 동해, 일본 방향으로 분리하였다. 일본 열도를 통과하는 태풍사상의 발생빈도가 서해와 동해를 통과하는 태풍 사상보다 많은 것으로 분석되었지만, 연최대유출량에 영향을 미치는 경우는 발생하지 않았다. 서해와 동해를 통과하는 태풍사상에 의해 연최대 유출량의 발생 가능성(상위 20개 사상 중 8개 발생)이 높은 것으로 분석되었다.
3)한반도에 영향을 미치는 태풍발생빈도(n)는 통계적으로 유의한 증가경향은 보이지 않았으나 태풍에 의한 섬진강 댐 유역의 유출특성은 상당한 영향을 받고 있는 것으로 분석되었다. 여름철 태풍유출량의 경우 41개년 중 상위 8개 사상이 태풍발생빈도를 기준으로 상위 50%에서 발생하는 것으로 나타났고, 태풍발생빈도와 태풍유출량과는 양의 상관관계(ρ= 0.39, p-value = 0.001)가 뚜렷한 것으로 분석되었다. 태풍 발생에 따른 유출량의 첨두유량은 크게 변하지 않았으나, 첨두발생시간은 평년치보다 지연되는 경향을 보이는 것으로 분석되었으며, 첨두발생시간과 한반도 영향 태풍발생빈도(n)와는 양의 상관관계(ρ= 0.209)가 발생하는 것으로 나타났다. 태풍발생빈도(n)에 따른 첨두유량의 변화는 뚜렷하게 나타났으나 저유량의 변화는 크지 않는 것으로 분석되었다.
지구온난화로 인해 해수면 온도의 상승과 엘니뇨 및 라니냐 등의 발생과 진화패턴의 변화로 인하여 북태평양 지역의 태풍 발생 패턴이 변화하고 있으며, 특히 태풍의 발생지점과 태풍경로, 그리고 태풍강도 등이 변화하고 있어 한반도를 포함한 동아시아 지역의 생태-수문학적 변화에 민감하게 작용할 수 있으며 이에 대한 대비책 마련이 시급한 실정이다. 따라서 태풍의 발생빈도가 섬진강 댐 유역의 첨두유량 변화와 첨두유량의 발생시기에 영향을 미치고 있음을 확인하였다. 향후 섬진강 댐 유역처럼 수자원의 변동성과 불확실성이 큰 유역에서 가뭄 및 홍수 등의 자연재해를 포함한 수자원의 안정적인 공급을 위해서는 기상인자에 대한 이해와 수문병량간의 상관관계규명에 대한 연구가 필요할 것으로 판단되며, 댐 운영 등을 고려한 기후 및 환경 변화에 따른 합리적인 수자원 운영 시스템 구축이 요구된다.










