1. 서 론
2. 연구방법
2.1 ADCP 자료를 이용한 부유사량 산정 기법
3. 분석 방법
3.1 연구지역
3.2 ADCP 자료 취득 과정
3.3 결과 검증을 위한 유사 실측 샘플링
4. 연구 결과
4.1 자료 선정 및 자료 전처리
4.2 단면 부유사 공간분포
5. 결론 및 향후 연구
1. 서 론
하천에서 부유사는 침식 및 퇴적과 같은 지형 변화는 물론, 오염물질의 이송과 확산에도 관여하는 주요한 요소로서(Mosley, 1976; Kenworthy and Rhoads, 1995; Parker et al., 1996), 이를 정량적으로 파악하기 위한 노력은 오래전부터 지속되어 왔다. 우리나라는 국가 차원에서 전국 146개소 중 매년 25개소의 유사량 측정망을 운영하며, 부유사 농도 및 유사량을 측정하고 있다. 그러나 현재 사용 중인 부유사 채집기 기반의 전통적인 측정 방식은 단일 지점 혹은 수심 적분 방식(D-74 등)에 의존하고 있어, 실제 하천 단면 전체를 대표하기에는 한계가 존재한다(Gitto et al., 2017; Groten et al., 2023). 특히 수체가 만나는 합류부와 같은 복잡한 수리 환경(Best and Rhoads, 2008)에서는 공간적인 유속 및 부유사 농도 분포를 파악하는 것이 중요한데, 재래식 방식은 이러한 공간적 특성을 반영하기 어렵다.
이러한 기술적 제약을 보완하기 위해, 해외에서는 초음파 도플러 유속계(Acoustic Doppler Current Profiler, ADCP)를 활용한 부유사 농도 추정 연구가 활발히 진행되고 있다(Latosinski et al., 2014; Thorne and Hurther, 2014; Guerrero et al., 2016, 2017; Venditti et al., 2016; Landers et al., 2016; Mullison, 2017; Szupiany et al., 2019; Ruben et al., 2020). ADCP는 본래 도플러 효과를 이용하여 유속을 계측하는 장비이나, Urick (1983)이 제시한 소나 방정식(sonar equation)을 기반으로 초음파 산란 강도(backscatter)를 분석함으로써 부유사 농도를 추정하는 방법으로도 활용된다. ADCP는 설치 방식에 따라 고정식 횡단형(Horizontal ADCP)과 이동식 하향형(Down-looking ADCP)으로 구분된다. H-ADCP는 일정 수심에서 시간적 연속성을 확보할 수 있는 장점이 있으나(Noh et al., 2024), 수직 농도 분포 계측이 불가능하다는 근본적 한계를 지닌다. 반면, 이동식 ADCP는 하천 단면을 횡단하며 자료를 수집하므로, 부유사 농도의 공간 분포를 파악하는 데 유리하다.
이러한 장점을 바탕으로 다양한 ADCP 기반 부유사 추정 알고리즘들이 제안되어 왔으나, 대부분의 연구는 세립질 부유사(Fine Suspended Sediment)와 조립질 부유사(Coarse Suspended Sediment)를 구분하여 고려하지 않고 전체 부유사를 단일 농도로 산정하는 접근을 취하고 있다. 그러나 실제로 홍수 초기에는 전체 부유사 중 세립질 부유사가 최대 70%까지 차지하며, 조립질 부유사보다 먼저 하류로 이동하는 경향을 보인다(Woo et al., 2015). 세립질 부유사는 입자 크기가 작고 표면적이 커서 오염물질을 쉽게 흡착하는 특성을 가지며, 이는 녹조 발생과 같은 환경 문제를 유발하는 주요 원인 중 하나가 된다(Pérez-Calpe et al., 2021). 이러한 특성으로 인해 하천 내 부유사 거동을 정밀하게 분석하고자 할 경우, 입경에 따라 부유사를 세립질과 조립질로 구분하여 각각의 농도를 정량화하는 과정이 반드시 수반되어야 한다. 이러한 요구에 대응하여 Szupiany et al. (2019)은 세립질과 조립질을 구분하여 각각의 감쇠 특성을 반영한 새로운 보정계수 기반 알고리즘을 개발하였다.
본 연구에서는 Teledyne RD Instruments사의 이동식 ADCP 자료에 Szupiany et al. (2019) 최신 알고리즘을 적용하여 셀별 부유사 농도를 산정하고, ADCP가 동시 취득한 셀별 유속과 결합해 셀별 부유사 flux를 직접 계산한 뒤 단면 적분을 통해 하천 단면 부유사량(Suspended Sediment Load)을 산정하였다. 특히 초음파 산란도에 대한 보정 기법을 적용하여, ADCP의 국내 적용 가능성과 정밀도에 대한 타당성을 분석하였다. 나아가, 기존 전통적 방식과의 비교를 통해 ADCP 기반 측정기법의 실질적 대체 가능성을 평가하였으며, 본 연구가 초기 단계임을 감안하여 기술적 한계점과 향후 연구 방향을 함께 제시하였다.
2. 연구방법
2.1 ADCP 자료를 이용한 부유사량 산정 기법
2.1.1 ADCP 계측 원리
ADCP는 도플러 효과(Doppler shift)를 이용해 수중 유속을 계측하는 장비로, 보트에 탑재된 상태에서 하천을 횡단하며 수직 방향으로 음파를 발사하고, 수중 입자에서 반사되어 돌아오는 신호를 통해 유속을 산정한다. 장비는 다중 음향 빔을 통해 수층을 셀(cell) 단위로 나누어 각 셀의 유속을 추출하며, 이동 중 연속적으로 데이터를 수집함으로써 단면 전체에 대한 고해상도 유속 분포를 제공한다. Fig. 1은 이러한 계측 과정을 도식화한 그림으로, ADCP가 하천을 횡단하며 수직 및 수평 방향의 셀 구조를 구성하고, 각 셀에서 유속 및 반사 신호를 수집하는 원리를 보여준다(Mueller et al., 2013).
이러한 ADCP는 유속 계측과 동시에 각 셀의 음향 반사 강도(Echo Intensity, EI)를 기록하며, 이는 수중 부유 입자의 농도, 입경, 밀도, 수온, 거리, 주파수 등 다양한 물리적 변수에 따라 영향을 받는다(Deines, 1999). ADCP가 기록하는 EI는 Count 단위 또는 dB 단위의 SNR (Signal-to-Noise Ratio)로 저장되며, 이를 기반으로 후처리 알고리즘을 통해 음향 감쇠 보정 및 역산 과정을 거쳐 부유사 농도로 환산할 수 있다. 이처럼 ADCP는 유속과 초음파 산란도 정보를 동시에 획득하여, 부유사 농도와 유사량을 시공간적으로 고해상도로 산정할 수 있는 복합 계측 도구로 기능한다.
2.1.2 부유사농도 산정 알고리즘
초음파 산란도 기반 추정은 수신 신호에 대한 거리 감쇠, 수중 흡수, 입자 감쇠 등 다단계 보정 과정을 통해 부유사 농도로 환산하는 절차로 구성되며, 이론적 기반은 여러 선행연구들에서 발전되어 왔다.
이러한 음향 반전 기법은 Szupiany et al. (2019)에 의해 구조적으로 정식화되었으며, ADCP 기반 부유사 농도 추정을 위한 주요 음향 변수의 정의, 이론적 적용 한계, 현장 보정을 위한 샘플링 전략 등이 함께 제시되었다.
해당 알고리즘은 송신 강도, 수신 강도, 산란 강도 및 감쇠 항 사이의 관계를 기반으로 하며, 부유사 산정의 핵심이 되는 기본 음향 방정식은 다음 식과 같이 정리된다.
여기서, EL (Emitted Level, in dB)은 방출된 신호수준; RL (Reveived Level, in dB)은 수신된 신호수준; Sv (in dB)은 부피 후방산란강도; Sc (in dB)은 부피 후방산란 보정이다.
방출된 신호 수준 EL은 기기의 출력 특성과 관련된 보정 상수를 포함하며, 해당 식은
로 표현할 수 있다. 자세히 살펴보면, 송신 전력 Pt, 송신 거리 L, 그리고 트랜스듀서의 형상 및 효율을 반영하는 계수 C를 이용해 정의된다. 이 구성은 Deines (1999), Mullison (2017)에서 제시한 바와 같이, 실제 음향 방출 강도를 반영하기 위한 장비 보정 요소로서 작용한다.
그 다음 수신된 신호 강도 RL은 ADCP가 기록한 에코 강도 E에서 배경 노이즈 수준 Er을 차감한 후, 변환 계수 kc를 적용해
의 형태로 계산된다. 여기서 E (count 단위)는 수신된 전체 음향 신호의 세기를 나타내며, 실제 산란 신호뿐 아니라 배경 노이즈까지 포함한 값이다. Er는 비신호 성분에 해당하는 배경 잡음의 강도를 의미하며, 불필요한 에너지를 제거하기 위한 기준값으로 사용된다. 일반적으로 kc=0.43 dB/count가 적용되며, 이는 Teledyne RD Instruments (2008) 및 Szupiany et al. (2019)에서 제시한 값이다. 다만, Szupiany et al. (2019)은 저농도 조건, 특히 조립질 부유사가 매우 희박한 경우에는 신호강도인 E가 소음정도인 Er에 근접할 수 있으며, 이 경우 Deines (1999)에서 제안한 단순화된 변환 방식은 적용되지 않을 수 있다고 지적한 바 있다. 따라서 저농도 환경에서는 수신 신호의 신뢰도 확보를 위한 별도의 필터링 또는 보정이 필요할 수 있다.
부피 후방 산란 강도 Sv는 단위 체적 내에 존재하는 입자나 물질에 대한 산란도를 의미하고,
로 표현된다. 여기서 Ksi는 음파가 산란체에 의해 반사되는 강도를 나타내는 산란 계수(scattering coefficient)이며, 시간 t 및 빔의 중심 축을 따라 측정된 거리 R의 함수로 설정된다. Msi는 부유사의 질량 농도(mg/L)로, 입자 크기별로 구분된 농도 값을 의미한다.
부유사는 입경 기준에 따라 두 종류로 분류된다. 입경이 62μm 이하일 경우 실트(silt)와 점토(clay)로 구성된 세립질 부유사로 간주되며, 62 μm 초과 시에는 주로 모래(sand)로 구성된 조립질 부유물(Coarse Suspended Sediment)로 분류된다. 산란 계수와 농도는 입자 크기에 따라 다른 산란 특성을 가지므로, 계산 시 세립질 부유사와 조립질 부유사를 분리하여 고려해야 한다. 이에 따라 본 연구에서는 세립질 부유사는 아래첨자 1, 조립질 부유사는 아래첨자 2로 각각 구분하여 나타낸다.
마지막으로 부유사에 반사되어 수신되는 후방 산란 신호는 수중 매질과 입자에 의한 감쇠, 수온 조건, 그리고 음향 빔의 확산(beam spreading) 등 다양한 요인에 의해 손실된다. 이러한 신호 손실은 부피 후방산란보정계수 Sc를 통해 보정되며,
의 형태로 구성된다. Sc는 물리적 감쇠와 장비 보정 요소를 모두 포함하며, 다음과 같은 항목들로 구성된다. 먼저, αw (in dB/m)는 수온, 주파수 등 물리적 특성에 따라 달라지는 물에 의한 흡수 계수로 Schulkin and Marsh (1962)에 의해 정의되었고, αs는 입자 밀도, 입경, 농도에 따라 변화하는 유사 감쇠 계수로 Urick (1948), Thorne and Hanes (2002) 등이 제시한 모델을 따른다. 또한, 10log10 (TtR2ψ2)항은 빔의 확산, 거리 감쇠, 수온을 반영하는 장비 기반 보정 요소로, ψ는 Downing et al. (1995)에 의해 제안된 빔 확산 보정 계수를 의미한다. 이들 보정 항은 ADCP 음향 신호의 실제 감쇠 현상을 수학적으로 반영하기 위해 도입되며, 측정 환경 및 장비 설정에 따라 계수 값이 달라질 수 있다(Szupiany et al., 2019).
부유사 농도 추정에서 중요한 점은 물과 유사에 의한 감쇄 보정을 해주는 것이다. 물에 의한 흡수 보정계수는 Schulkin and Marsh (1962)에서, 유사 감쇄 계수를 계산하는 식은 Ruben et al. (2020) 기록되어 있고 다음과 같다.
Eq. (6)은 Schulkin and Marsh (1962)가 제안한 수중 음파 감쇠 계수 αw의 산정식으로, 음파 주파수 f (kHz)와 수온 T (°C)의 함수로 정의된다. 이 경험식은 담수에서 초음파가 전파될 때 물 분자의 점성 및 이완 현상에 의한 에너지 손실을 반영하며, 단위는 dB/m이다. 식의 분자 항은 주파수에 비례한 감쇠 효과를 나타내고, 분모 항은 수온에 따라 변화하는 음속 의존 계수를 포함하고 있어, 온도가 높을수록 감쇠가 작아지는 경향을 모사한다.
Eq. (7)는 유사 감쇠 계수 αs를 산정하기 위한 방정식으로, 입자의 점성 감쇠와 산란 감쇠 효과를 함께 고려한 식이다.
Eq. (7)에 사용된 각 변수는 다음과 같이 정의된다. 상대 밀도 S는 입자 밀도 ρs를 유체 밀도 ρ로 나눈 값으로,
의 형태를 갖는다. 무차원 입자 반경 계수 si는 입자 중앙 직경 Di에 따라 결정되며,
의 형태로 주어진다. 여기서 γ는 점성 경계층 특성을 고려한 계수로,
이며, f는 초음파의 주파수 [Hz], ν는 유체의 운동 점성 계수 (kinematic viscosity, m2/s)를 의미한다. 감쇠항 내에 포함된 보정 인자 τ는 다음과 같이 정의되며,
입자 경계면에서의 점성 손실을 고려한 무차원 수치이다. 이러한 변수들은 입자의 물리적 특성과 유체 조건을 기반으로 정해지며, 각 항의 감쇠 영향력을 정량적으로 반영한다.
해당 식은 산란에 의한 감쇄와 점성 흡수에 의한 감쇄를 구분하여 계산할 수 있다. 미세 분획과 거친 분획을 구분해 감쇄 계수를 계산하면, 입자 크기별 감쇄 효과를 정확히 반영할 수 있어 부유사 농도 추정의 정밀성과 신뢰성이 높아진다.
따라서, Eq. (1)을 기반으로 부유사 농도를 추정하기 위해선 다음과 같은 최종식이 도출된다.
이 수식은 음향 반사 강도로부터 부유사 농도를 정량화하기 위한 핵심 모델로, 좌변은 세립질 Ms1과 조립질 Ms2의 질량 농도에 산란 계수를 곱한 값을 로그 변환한 구조이며, 우변은 수신된 Echo Intensity와 다양한 감쇠·보정 항으로 구성된다.
해당 알고리즘은 후방산란 강도와 감쇠 계수를 바탕으로 반복 계산을 수행하여 셀 단위의 부유사 농도를 산정한다. 그러나 세립질 부유사는 감쇠에 큰 영향을 주기 때문에, 전체를 단일 농도로 처리할 경우 보정이 불완전해 실제보다 낮은 농도가 산정될 수 있다. 따라서 본 연구에서는 입경 0.062 mm를 기준으로 세립질과 조립질을 분리하여 각 분획의 특성을 반영한 농도 산정을 수행하였다.
2.1.3 부유사량 산정 방법
Eq. (12)으로 계산된 각 셀별 부유사 농도는 각 셀마다 계산된 유량과 곱해주어 부유사량을 계산한다. 다시 말해 부유사량은 셀 단위로 계산된 농도, 유속, 그리고 셀의 단면적을 곱하여 산정되며, 단면 전체에 대해 이를 합산함으로써 총 부유사량을 구하게 된다.
특히 세립질 부유사의 경우 전 단면에 대해 농도가 일정하다고 가정되므로, 단일 농도값 Ms1에 측정 유량을 곱하여 세립질 부유사량을 간편하게 산정할 수 있다. 반면, 조립질 부유사는 각 셀에서의 반사 강도와 유속이 상이하게 나타나므로, 모든 셀에 대해 개별적으로 농도를 계산하고, 셀별 유속 및 면적과 곱하여 총 부유사량을 누적 방식으로 산정해야 한다. 이에 따라 세립질과 조립질 각각의 부유사량 산정 방식은 다음 식을 통해 정의된다.
여기서 Q는 단면 총 유량을 Ms1은 세립질 부유사 농도이고, 이를 곱하여 나온 Qs 는 세립질 부유사량이다. Ms2ij, Vij, Acell은 각각 격자 (i,j)에서의 조립질 부유사 농도, 유속, 면적을 의미하며, Qss는 조립질 부유사량이다. 아래첨자 i와 j는 각각 수심 방향 격자(cell depth)와 앙상블 번호(ensemble number)를 나타낸다. 이와 같은 방식은 단면 내 수리·유사 구조의 이질성을 고려한 정량적 부유사 해석을 가능하게 하며, 특히 조립질 유사의 공간 분포와 수송 특성을 보다 정밀하게 반영할 수 있다는 장점을 가진다.
2.1.4 미계측 영역 보정
ADCP 관측 시 일반적으로 측정이 불가능한 세 가지 미계측 영역이 존재한다. 첫째, 상단부(Near Surface Zone)는 트랜스듀서의 설치 위치로 인해 초음파가 상향으로 발사되지 못해 자료 확보가 불가능하다. 둘째, 하단부(Near Bottom Zone)는 음파가 바닥에 반사되어 신호 간섭이 발생함에 따라 유효한 후방산란 신호 획득이 제한된다. 마지막으로 하안부(Near Edge Zone)는 하천 가장자리 구간은 ADCP 횡단 측정의 시작과 끝에 해당하며, 사선 빔이 충분히 교차하지 못하거나 반사 신호가 불안정하여 유효한 측정 셀이 형성되지 않는다. 이에 따라 해당 구간의 데이터는 장비 내부에서 자동으로 제외되거나 생략된다. 이 세 영역에서는 유속 및 반사강도(backscatter intensity) 자료가 확보되지 않기 때문에, 결과적으로 부유사 농도 및 부유사량 산정에서 누락 구간이 발생한다. 이러한 미계측 영역을 보정하지 않으면, 하천 단면 전체의 유사 수송량 평가에서 정량적 왜곡이 발생할 수 있다.
Ruben et al. (2020)에선 ADCP 미계측 영역에 대한 유속 및 부유사 농도의 외삽 방법을 소개했고, 각 외삽법은 수리학적 근거에 기반한 알고리즘 구조를 갖는다. 유속 외삽의 경우, 수면 및 하상 인근의 셀에 대해 Garcia (2008)가 제안한 Law of the Wall (LW) 기법이 적용되었고 식은 다음과 같다.
이 방법은 유속이 수심 방향으로 로그 분포를 따른다는 전제하에, 계측된 유속–수심 데이터에 대해 로그 선형 회귀를 수행하고 이를 바탕으로 미계측 영역의 유속을 보정한다. 조립질 부유사 농도 외삽에는 Vanoni (1975)의 Rouse profile이 적용되며 식은 다음과 같다.
여기서, NR은 라우스 수이며 다음과 같이 정의된다.
여기서 ωs는 입자 직경에 의존하는 침강속도(van Rijn, 1984), k는 폰 카르만 상수(k=0.4), u*는 전단유속, H는 수심이며, Cref는 기준 농도로서, 이는 소류사와 부유사 사이의 경계면인 z = zref (0.05 H from Vanoni, 1975)에서의 농도이다. 이때, ADCP 유속 측정값에 log 속도분포식을 적용시켜 마찰속도(u*)를 추정하고, 침강속도(ωs)는 평균입경(D50) 정보를 기반으로 구형을 가정하고 범용적인 입자 침강속도식을 적용시켰다. 두 방법 모두 로그 스케일로의 변환 및 회귀 계수 추정 절차를 포함하며, 세부 수식은 Ruben et al. (2020)에 자세히 제시되어 있다. 만약 LW 또는 Rouse 외삽에서 회귀 결정계수(R2)가 0.7 이하이거나 유효 셀 수가 3개 미만일 경우 자동으로 대체 외삽 기법이 적용된다. 수직 방향 외삽은 상하단 유효 셀의 평균 경향을 활용한 Linear 외삽 또는 인접 3개 셀 기반의 3-Point 회귀 외삽으로 수행된다. ADCP가 계측하지 못하는 강변부와 수로 경계 영역은 인접 셀 평균값을 활용한 ratio interpolation 방식으로 보완된다. 이러한 외삽 절차는 하천 단면의 연속성과 일관성을 확보하고 부유사량 산정의 정밀도를 높이는 데 기여하며, 본 연구에서는 Ruben et al. (2020)이 제시한 방법을 기반으로 적용하였다.
2.1.5 부유사량 산정 체계
Fig. 2는 ADCP를 활용한 부유사량 산정의 전 과정을 도식화한 것으로, ADCP 측정, 원시 데이터의 변환과 음향 보정, 알고리즘 수행, 결과 산출까지의 흐름을 단계별로 나타낸다. 먼저, ADCP의 PD0 형식 바이너리 파일은 WinRiver II를 통해 ASCII 형식으로 변환되어 알고리즘 적용을 위한 입력 조건을 충족시킨다. 이후, 동일 시공간 조건에서 채취된 부유사 시료를 활용하여 초음파 산란도에 대한 실측 기반 보정이 수행되며, 보정된 자료는 Suspended Sediment Transport Module에 입력된다. 알고리즘 수행 과정에서는 각 셀별로 세립질과 조립질 부유사 농도를 독립적으로 계산하며, 외삽법을 포함한 반복 계산을 통해 보다 정밀한 공간 분포를 추정한다. 이때, 세립질 부유사는 단면 전체에서 균일한 농도를 갖는다는 가정을 적용할 수 있으므로, 단면 평균 농도와 측정된 총 유량을 곱하여 부유사량을 산정한다. 반면, 조립질 부유사는 공간적으로 불균일한 분포를 보이기 때문에, 각 셀별로 산정된 농도와 해당 셀의 유속 및 단면적을 결합하여 부유사량을 산정한다. 이처럼 분리된 접근법을 통해 세립질 및 조립질 부유사량이 각각 계산되며, 이를 통합하여 셀 단위 및 전체 단면의 총 부유사량이 도출된다. 최종적으로 이러한 결과는 2차원 공간 분포 형태로 시각화되며, 이는 공간적으로 불균등한 유사 수송 특성을 정량적으로 해석하는 데 활용된다.
3. 분석 방법
3.1 연구지역
본 연구의 대상 지역은 낙동강 본류에 위치한 칠곡군 호국의다리 구간으로, 경상북도 칠곡군 왜관읍 석전리 일원에 해당하며, Fig. 3에 나타내었다. 본 지점은 상류 약 1.7 km 지점에 칠곡보가 위치해 있으며, 보의 수문 운영에 따라 하천의 수위와 유속이 민감하게 변동하는 특성을 가진다. 이러한 하천 제어 구조물 인근 구간은 유동 조건이 부등류로 나타나기 쉬우며, 이에 따라 부유사의 농도 및 이동 양상이 일반적인 자연 하천 구간과는 다른 형태를 보일 가능성이 높아 하상 변화 및 부유사 수송 특성에 대한 정밀한 관측이 필요한 실정이다. 따라서 본 연구에서는 ADCP를 활용하여 칠곡군 호국의다리 구간에서 유속 및 수심과 함께 부유사 농도를 동시에 측정하여 부유사의 공간적 분포 특성을 분석하고자 하였다.
3.2 ADCP 자료 취득 과정
Fig. 4는 본 연구에 활용한 ADCP를 보여주며, 본 연구에서는 부유사 농도 분석을 위해 RD Instruments사의 RiverPro 1200 kHz 및 RiverRay 600 kHz ADCP를 사용하였다. 두 장비는 Fig. 1과 같이 고무보트에 탑재하여 이동식 측정을 수행하였으며, 동일 단면에서 총 4회의 횡단 계측을 실시하였다. 해당 ADCP 장비는 수심 약 0.2 m에서 최대 25 m에 이르는 다양한 하천 환경에서 적용 가능하며, 1초 간격으로 고해상도의 유속 및 수심 데이터를 연속적으로 수집할 수 있다.
3.3 결과 검증을 위한 유사 실측 샘플링
본 연구는 ADCP를 활용한 부유사 농도 및 부유사량 산정의 적용 가능성을 평가하기 위해, 전통적인 D-74 채집기를 이용한 실측 시료와 ADCP 결과를 정량적으로 비교하였다. 실측 부유사 채취는 ISO 기준에 따라 수면을 등간격으로 7개 측선으로 나누고, 각 중앙에서 채취하였으며(Fig. 5), 고유량 조건에서도 안전성과 일관성 확보를 위해 제2왜관교 교량 위에서 수행되었다. 채취 시료는 레이저 회절 방식 입도분석기(Mastersizer 3000)를 통해 부피 기준 분포로 분석되었고, 입경 0.062 mm를 경계로 세립질과 조립질로 구분한 뒤 Traykovski et al. (1999)의 방법에 따라 비중 2.00(fine), 2.65(coarse)를 적용해 질량 기준 분포로 변환하였다. 이 질량 기반 입경정보는 fine/coarse 성분별 농도 및 부유사량 산정에 활용되었으며, 최종적으로 ADCP 기반 부유사 산정 결과가 실측값과 얼마나 일치하는지를 비교·분석하여, ADCP 기법의 실용성과 기존 채취 방식의 대체 가능성을 평가하였다.
4. 연구 결과
4.1 자료 선정 및 자료 전처리
Table 1과 Fig. 6은 2019년과 2020년에 수행된 부유사 샘플링 자료(KIHS. 2019; 2020) 중, ADCP를 이용한 횡단면 유속 계측이 동일 시점에 수행된 사례를 선별하여 제시한 것이다. 총 4개의 시점을 대표 사례로 선정하였으며, Fig. 6(e)는 두 해에 걸친 유량 시계열 자료와 함께 전체 샘플링 시점을 표시하고, 이 중 본 분석에 활용된 사례를 노란색 점으로 구분하여 나타낸다. 이를 통해 다수의 샘플링 시점 중 ADCP 계측과 병행되어 알고리즘 적용이 가능했던 대표 사례들을 시계열 흐름 속에서 확인할 수 있다. Figs. 6(a) and 6(b)는 Riverray 600 kHz, Figs. 6(c) and 6(d)는 Riverpro 1200 kHz에 대한 결과이다. 각 관측 시점에서 측정된 초음파 산란도의 공간 분포를 나타낸 것으로, 알고리즘을 적용하기 위한 핵심 입력 자료에 해당한다. 해당 자료는 수심 및 단면 위치에 따른 반사 강도의 변화를 시각적으로 확인할 수 있으며, 이후 부유사 농도 분포 산정을 위한 기초 데이터로 활용된다.
Table 1.
Hydraulic flow and suspended sediment sampling data (KIHS, 2019; 2020)
Fig. 7과 Table 2은 부유사 농도 추정을 위해 수행된 입도 분석 결과를 종합적으로 제시한 것이다. Fig. 7(a)는 각 조사 시점에서 채취된 부유사 시료의 누적 입도분포 곡선을 나타낸 것이다. 본 연구에서는 알고리즘의 기준값인 0.062 mm를 경계로 하여 세립질과 조립질 입도 구간으로 분리하였으며, 각 구간별 입도분포는 0~100%로 정규화하여 누적 분포 형태로 재구성하였다. Figs. 7(b) and 7(c)는 세립질 및 조립질 입자에 대해 정규화된 누적 입도분포를 각각 시각화한 결과이며, 각 분포곡선으로부터 중앙 입경(D50)을 산정하였다.
Table 2.
Fine and coarse sediment fraction and D50 values by sampling date
4.2 단면 부유사 공간분포
4.2.1 조립질 부유사 농도 분포
앞선 4.1절에서는 ADCP 및 부유사 채수에 기반한 원시 계측자료를 제시하고, 이를 알고리즘 적용 형식에 적합하도록 전처리하였다. 본 절에서는 전처리된 데이터를 실제 알고리즘에 적용하여 각 조사 시점별 조립질 부유사 농도의 2차원 공간 분포를 산정했다. Fig. 8은 조립질 부유사 농도의 단면 분포를 나타낸 것으로, 네 시기 모두 Rouse 외삽법을 이용하여 관측 결과를 시각화한 것이다. 대부분의 시점에서 조립질 입자는 하상 부분에 농도가 집중되는 경향을 보였으며, 이는 Rouse 외삽법에 의해 침강속도가 큰 조립질 입자가 수심 하부에 더 높은 농도로 분포할 것이라는 물리적 가정을 바탕으로 하층 구간의 농도가 보정·추정되었기 때문으로 해석된다. 특히 Figs. 8(c) and 8(d)를 비교해 보면, Fig. 8(c)의 유량이 285 m3/s인 반면, Fig. 8(d)는 1,241 m3/s로 약 4배 이상 높은 유량 조건에서 측정되었으며, 이에 따라 하상 부근의 조립질 부유사 농도가 훨씬 더 뚜렷하게 나타난다. 이러한 차이는 고유량 조건에서 하상에 침전된 조립질 입자가 재부유되며 농도가 증가한 결과로 해석된다. ADCP는 유량 조건에 따른 하상 인접 농도 변화 및 재부유 현상과 같은 국지적 특성도 정량적으로 식별할 수 있는 장점을 갖는다.
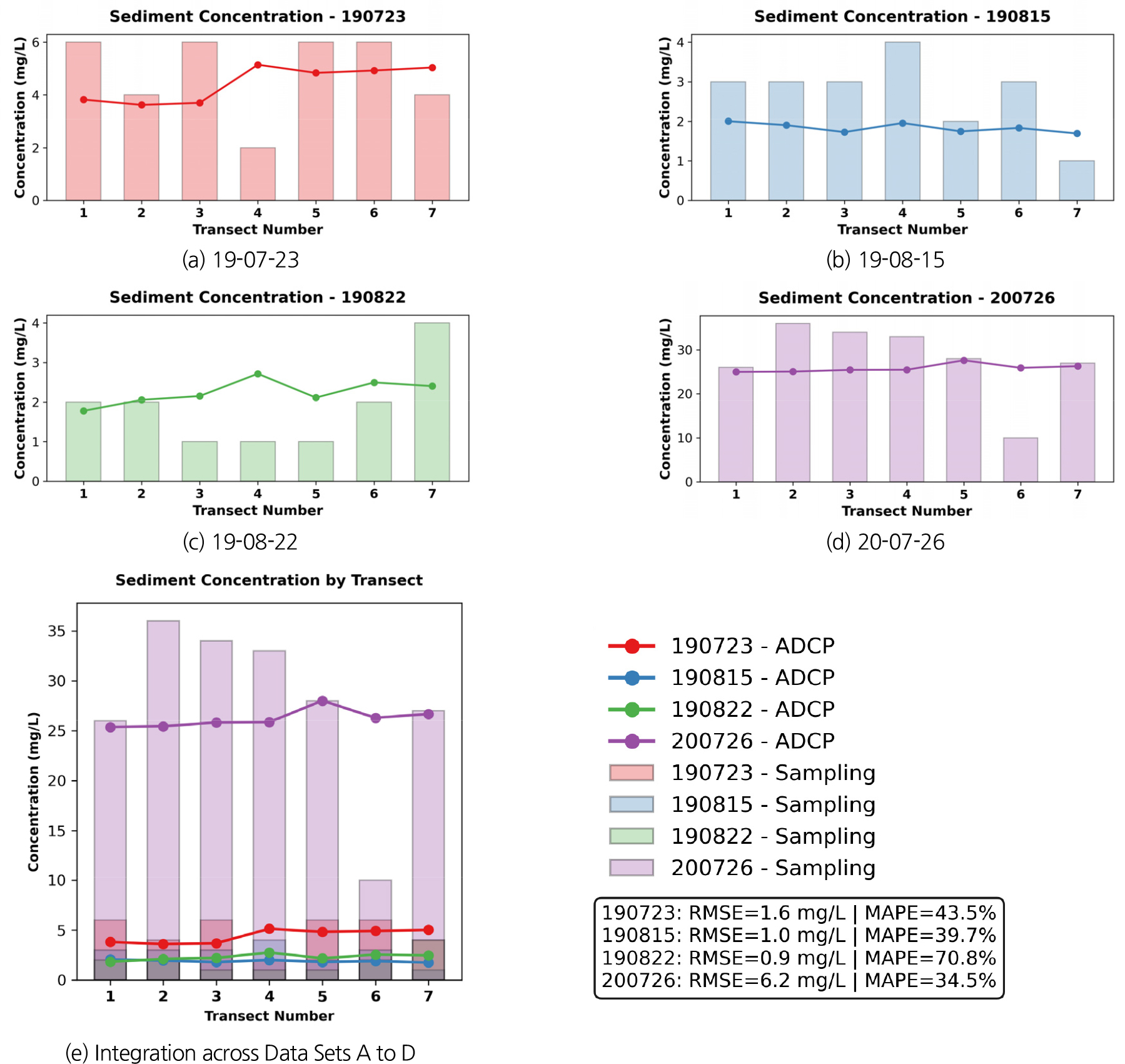
ADCP 기반으로 산정된 조립질 부유사 농도는 동일 시점에 수행된 실측 샘플링 결과와 비교함으로써 정성적 검토가 가능하다. Figs. 9(a) and 9(d)는 각각 네 시점에 대해 ADCP 수심평균 농도(꺾은선)와 샘플링 결과(막대)를 측선별로 비교한 것이다. 각 시점은 7개의 동일한 측선을 기준으로 하며, 샘플링 결과는 조립질에 세립질 농도를 더해 ADCP와 정합성을 비교하였다. 분석 결과, ADCP 농도는 전반적으로 공간적으로 완만하고 일관된 분포를 보였고, 특정 측선에서는 실측값과 유사한 경향도 나타났다. 반면 샘플링은 일부 측선에서 급격한 농도 변동이 나타나며 공간적 편차가 두드러졌고, 이는 단일 채수 기반의 실측 방식이 유속 및 흐름 구조의 영향을 더 크게 받을 수 있음을 시사한다.
Fig. 9(e)는 이러한 네 시점의 결과를 통합하여 ADCP와 샘플링의 공간적 분포 및 유량에 따른 농도 반응을 비교한 것이다. 전체적으로 유량이 높은 시점일수록 ADCP와 샘플링 모두에서 농도 수준이 높게 나타났으며, ADCP는 이러한 유량 변화에 따라 농도를 정량적으로 잘 반영하는 경향을 보였다. 특히 2020년 7월 26일과 같은 고유량 조건에서는 ADCP가 모든 측선에서 23~27 mg/L 수준의 일정한 농도를 유지한 반면, 샘플링은 특정 지점에서 급감하는 양상이 나타났다. 이는 ADCP가 다중 앙상블 평균 기반의 고해상도 데이터를 바탕으로 이상치를 배제하고 공간적 일관성을 확보함으로써, 실제 부유사 분포를 안정적으로 재현할 수 있는 가능성을 보여준다. 결과적으로 ADCP는 유량 변화와 공간 분포에 모두 반응 가능한 구조적 우위를 가지며, 부유사 농도 해석에서 실측보다 높은 적용성과 정량성을 제공할 수 있다. ADCP 결과와 채집 결과를 비교한 결과, case (a)의 경우 (평균농도 약 2~3 mg/L)에서는 실제 농도가 매우 낮아 개별 입자의 산란 기여가 제한적이므로 농도 변화에 따른 상대적 오차가 크게 나타났으며 이에 따라 RMSE=0.9 mg/L, MAPE=70.8%로 비교적 높은 오차를 보였다. 반면, case (d)의 경우 (평균농도 약 25~30 mg/L)에서는 두 결과 간 일치도가 뚜렷하게 개선되었고, RMSE=6.2 mg/L임에도 불구하고 MAPE=34.5% 수준으로 낮아졌다. 이러한 특성은 농도 범위에 따라 정확도의 차이가 존재함을 보여주지만, 전반적으로 ADCP 기반 산정 결과가 채집 결과를 정량적으로 대체할 수 있는 충분한 가능성을 시사한다.
4.2.2 부유사량 분포
조립질 부유사 농도를 단면별로 산정한 이후, 각 셀에 대응되는 유속값과 곱하여 단면 내 부유사량의 분포를 계산할 수 있다. Fig. 10는 ADCP 기반의 유속 자료를 바탕으로 유속장을 시각화한 결과이며, 계측 불가능한 하층 근접 영역에 대해서는 유속 외삽을 적용하였다. 유속 외삽에는 LW 기법을 사용하였으며, 2019년 8월 22일을 제외한 모든 조사 시점에 동일하게 적용되었다. 8월 22일의 경우 조립질 부유사 농도가 실측 대비 과대 산정되었고, 이와 같은 상태에서 유속 외삽을 병행할 경우 실제보다 훨씬 큰 부유사량이 산정되기 때문에 외삽을 진행하지 않았다. Fig. 10을 보면 2020년 7월 26일 관측 결과(d)에서는 약 1,200 m3/s의 유량 조건 하에서 단면 전반에 걸쳐 빠르고 균일한 유속이 형성된 모습이 확인된다. 반면, 2019년 관측 시기들(a~c)은 상대적으로 유량이 낮았으며, 국지적으로 높은 유속이 발생하는 구간을 확인할 수 있다. 이는 2차원 단면 유속장을 확인할 수 있는 ADCP의 큰 장점이며, 실제 유동 구조를 반영한 부유사 분포 해석 및 유사량 산정의 공간적 정확도를 크게 향상시킬 수 있다.
Fig. 11은 Eq. (13)와 Eq. (14)를 통해 계산된 결과를 합산한 것으로 산정된 부유사 농도와 유속 자료를 기반으로 상단부부터 외삽이 적용된 하안부 까지 각 셀에서의 부유사 플럭스를 산출하고 전체 수심에 대해 적분한 뒤 이를 공간적으로 통합하여 단면 내 부유사량의 분포를 도출한 결과를 나타낸다. 모든 시점에서 하층에 고농도 부유사층이 형성되는 양상이 공통적으로 나타났으며, 세립질 부유사 비율이 높을수록 상층까지 농도가 혼합되는 경향이 확인되었다. 실제로 2019년 7월 23일과 8월 15일은 조립질 부유사 비중이 높아 하층 중심의 농도 분포를 보였고, 8월 22일과 2020년 7월 26일은 세립질 부유사 비율이 80% 이상으로 균질한 수직 분포를 형성하였다. 이는 입자의 침강과 난류 확산의 상호작용 결과로, ADCP 기반 부유사량 산정은 전단유속·난류 구조 등 수리학적 조건과 입자 특성(침강속도)이 결합된 거동을 간접적으로 반영한다.
이러한 분포 양상은 단순한 부유사량 산정에 그치지 않고, 부유사의 입경 특성에 따라 세립질과 조립질을 효과적으로 구분할 수 있는 알고리즘의 필요성을 시사한다. 특히 ADCP 기반 반향 신호 분석은 입자 크기에 따라 달라지는 음향 산란 특성을 활용하여, 수리학적 조건과 입자 특성이 결합된 거동을 간접적으로 반영하는 정량적 부유사 해석을 가능하게 한다. 이는 ADCP 기반 부유사 산정 기법이 유속·농도 계측을 넘어 입경 분포와 농도 수직 구조의 변화 양상을 간접적으로 포착할 수 있음을 뜻하며, 향후 하천 내 부유사 거동 분석의 정밀도를 높이기 위한 유효한 도구로 활용될 수 있음을 시사한다.
Fig. 11(d)에서는 부유사량이 급격히 낮아지는 띠 형태가 확인되는데, 이는 수리학적 현상이 아니라 ADCP의 블랭크 거리(blanking distance) 등 장비 특성으로 인해 신호가 미획득된 구간이 반영된 결과이다. 이러한 불확실성을 줄이기 위해서는 ADCP 운용 시 충분한 커버리지 확보와 보정 절차의 병행이 필요하다. 그럼에도 불구하고 Table 3의 결과처럼 대부분의 시점에서 실측값과 10% 이내의 오차율을 보였으며, 이는 다양한 유량·입경 조건에서도 제안된 알고리즘이 신뢰성 있는 정량 분석 도구로 활용될 수 있음을 시사한다.
Table 3.
Comparison of total suspended sediment load from sampling and algorithm estimation
| Date | Case | Suspended Sediment Load (kg/s) (Fine + Coarse) | Difference (%) | |
| Sampler | ADCP | |||
| 19-07-23 | a | 1.49 | 1.34 | 10.07 |
| 19-08-15 | b | 0.39 | 0.37 | 5.13 |
| 19-08-22 | c | 0.57 | 0.53 | 7.02 |
| 20-07-26 | d | 33.61 | 31.78 | 5.45 |
또한, 부유사량 산정 시 Rouse 외삽을 적용하지 않을 경우 약 13%의 차이가 발생하여 외삽의 필요성이 확인되었다. 다만, Rouse 외삽은 여러 이상적 가정에 기반하기 때문에 실제 하천의 유동 및 입도 특성을 충분히 반영하지 못할 수 있으며, 적용 방식에 따라 결과에 불확도가 발생할 수 있다. 따라서 외삽은 필수적이지만, 하천 조건에 적합한 기법의 선택과 정량적 검토가 병행되어야 할 필요가 있다.
4.2.3 ADCP Backscatter, 농도, flux 간 분포 차이의 원인 분석 및 한계점
ADCP를 활용한 부유사 해석에서 후방산란 강도–부유사 농도–부유사 flux 분포는 서로 다른 물리량이므로 동일 시점이라도 공간 분포가 다를 수 있다. 이는 단순 오차가 아니라 입도 구성, 유속 구조, 외삽 알고리즘등이 복합 작용한 결과다. WinRiver II에서 제공되는 후방산란 강도는 물 감쇠(αw)만을 보정한 WCB (water-corrected backscatter)이고, 본 연구의 부유사 농도 산정 알고리즘은 동일한 WCB에 유사 감쇠 계수(αs)와 각종 기기 보정 상수까지 포함해 농도를 추정하므로, 두 결과는 물리적으로 다른 양을 나타내며 분포가 달라질 수 있다. 예를 들면, Fig. 6(d)는 수면 근처 고강도 반사를, Fig. 8(d)는 하층 조립질 농도 집중을 보인다. 한편 Fig. 11(d)의 부유사 분포가 단면 전반에 비교적 균일한 것은, 당시 세립질 비율(≈90%, Table 2)과 낮은 침강속도로 난류 확산에 의해 수심 전역으로 퍼졌고 고유량 조건에서 균질화되었기 때문이다.
한편, Rouse 외삽은 정상(steady)·등류(uniform)조건을 기본 전제로 한다. 자연하천에서는 이러한 전제가 자주 성립하지 않아 수직 농도 외삽에 체계적 오차가 발생할 수 있다. 또한 세립질 부유사 환경에서 점착성으로 인한 flocculation이 발생하면 Rouse 외삽의 불확실성이 증가할 수 있다. 이에 따라 향후 연구에서는 Thorne and Hurther (2014)를 참고하여 ADCP 기반 floc 거동 지표를 도출·적용하고, 이를 외삽 절차에 적용한 뒤 현장 채수/입도 분석과의 교차 검정을 통해 불확실성을 감소시킬 필요가 있다. 아울러 정상·등류 가정은 유량 변동, 성층·식생 유무, 폭방향 전단 등 현장 지표를 바탕으로 구간별 적용 가능성을 검토하고, 필요한 경우 보수적 해석 절차의 타당성도 함께 검토해야 할 것이다
5. 결론 및 향후 연구
본 연구는 ADCP 기반의 부유사 농도 산정 알고리즘을 실제 하천에 적용하고, 그 정밀도를 검토하며 재래식 방식을 대체할 수 있는지 평가하는 데에 목적이 있다. 국내 자연하천을 대상으로 ADCP 계측 자료에 초음파 산란도 보정과 Rouse 외삽법을 적용하여 조립질 부유사 농도와 부유사량을 정량화했으며, 이를 전통적인 채수 방식과 비교하였다. 네 시점의 조사 결과 모두에서 ADCP 기반 산정값은 실측값과 10% 이내의 차이를 보여, 알고리즘이 실제 환경에서도 안정적으로 작동할 수 있음을 확인할 수 있었다. 특히 부유사 수직 분포 해석을 통해 세립질 부우사 비율이 높은 시점에서는 상층까지 농도가 확산되는 경향이 뚜렷하게 나타났으며, 이는 침강 속도 차이와 난류 확산 효과를 고려한 알고리즘의 해석력에 기인한 것으로 보인다. 또한 coarse/fine 입경 특성에 따른 부유사 거동을 구분·반영할 수 있는 알고리즘의 필요성과, ADCP 신호 기반 접근의 정량적 가능성을 함께 제시했다는 점에서 본 연구의 의의가 있다.
이러한 결과는 ADCP가 기존 재래식 방식에 비해 실질적인 대안이 될 수 있음을 보여준다. 무엇보다 ADCP는 단면 전체를 고해상도로 연속 계측할 수 있다는 점에서 기존 방식보다 분명한 장점을 갖는다. 공간적으로 수집된 자료는 단면 내부의 국지적 농도 변화나 하층 고농도층 같은 특이 지점을 파악하는 데 유리하며, 다중 앙상블 평균을 통해 자료의 신뢰도도 높일 수 있다. 다만 일부 시점에서는 신호 미획득 등의 원인으로 특정 구간에서 부유사량이 과소 산정되는 한계가 확인되었다. 이러한 문제를 보완하기 위해 향후에는 공간평균이나 필터링 기법을 적용하여 해당 영역을 처리하는 방안을 고려할 필요가 있다. 그럼에도 불구하고 대부분의 시점에서 실측값과 10% 이내의 오차율을 보였으며, 이는 다양한 유량 및 입경 조건에서도 본 알고리즘이 신뢰성 있는 정량 분석 도구로 활용될 수 있음을 시사한다. 단순한 농도 추정 이상의 정보를 제공할 수 있다는 점에서, ADCP는 향후 유사 수송이나 하상 변화 분석에도 충분히 활용 가능성이 있다. 이러한 기반 위에서, 앞으로는 다음과 같은 방향으로 연구가 이어질 필요가 있다.
(1) 본 연구는 상대적으로 유량이 낮고 세립질 비중이 높은 조건에서 수행되었다. 특히 고유량 시기에도 세립질이 우세하여, 조립질 농도의 반영이 제한적이었다. 향후에는 조립질 비중이 큰 하천이나 홍수기와 같은 극한 수리 조건에서 알고리즘이 어느 정도까지 대응할 수 있는지를 점검해야 한다.
(2) 부유사 채수 방식은 현장에서의 실시간이나 반복 계측에 제약이 있다. LISST와 같은 실시간 입경 분석 장비를 함께 활용하면, ADCP와 상호 보완적인 방식으로 농도와 입도 정보를 동시에 확보할 수 있어 데이터 신뢰도를 높일 수 있다. 또한 부피농도를 질량농도로 환산하는 과정에서 적용되는 세립질, 조립질 부유사 밀도 값은 채집된 시료를 대상으로 한 실내 실험을 통해 정량적으로 분석하여 적용할 것이다.
(3) 다중 주파수 기반 분석 기법은 입자 크기에 따른 산란 성특 차이를 활용하여 세립질과 조립질을 효과적으로 구분할 수 있는 대안으로 주목된다. 주파수별 반향 신호는 특정 입경 범위에 더 민감하게 반응하기 때문에, 이를 활용하면 단일 주파수 기반 산정의 한계를 보완하고, 입자 크기별 농도 산정의 정확도를 향상시킬 수 있다.
(4) 현재 국내에서는 Sontek사의 ADCP M9 장비가 유량 측정을 위해 널리 활용되고 있지만, M9을 기반으로 한 부유사 알고리즘 연구는 아직 부족한 상황이다. M9 특유의 데이터 구조나 음향 특성을 반영한 알고리즘을 따로 개발하고 검증한다면, 실무 현장에서도 보다 정밀한 부유사 해석이 가능할 것이다.
(5) 본 연구의 알고리즘이 실측된 입도 정보에 의존하는 구조이기 때문에, 장기 운영되는 무인 관측소에서는 일반화에 한계가 발생할 수 있다. 실제 대상 수역에서도 입도 분포의 시계열적 변동이 확인되어 예측값에 불확도를 유발할 가능성이 나타났다. 이를 보완하기 위해 향후 연구에서는 확률 기반 보정 기법, 외부 인자를 활용한 입도 예측 모듈, 기계학습 기반 시계열 모델 등의 도입이 필요하며, 이를 통해 ADCP 단독 운용 환경에서도 신뢰도 높은 부유사 농도 추정이 가능할 것으로 기대된다.
결론적으로, 본 연구는 ADCP를 활용한 부유사 농도 및 부유사량 산정이 실질적으로 가능함을 입증하였으며, 이를 통해 기존의 전통적인 채집기 기반 측정 방식을 대체할 수 있는 유효한 기술적 대안이 될 수 있음을 확인하였다.













