1. 서 론
2. 재료 및 방법
2.1 퇴적물 채취 및 특성 분석
2.2 퇴적물 교란에 의한 수질 영향 및 금속 용출 평가
2.3 상관관계분석
3. 결과 및 토의
3.1 교란에 따른 퇴적물 금속의 용출 특성 변화
3.2 교란에 따른 상층수 및 공극수 환경인자 특성 변화
3.3 상관관계 분석 결과
4. 결론 및 제언
1. 서 론
하천 및 호소의 퇴적물은 금속 및 영양염류와 같은 오염물질을 장기간 축적하는 흡수원이자 재공급원으로써 기능하기 때문에, 이들 오염물질의 거동에 핵심적인 영향을 미친다(Burton et al., 2006; Chon et al., 2012; Castillo et al., 2013; Durán et al., 2012; Superville et al., 2014). 특히 금속은 퇴적물에 장기간 축적되며, 물리·화학적 조건 변화에 따라 재용출될 수 있는 대표적인 오염물질이다. 퇴적물 내 금속은 대부분 자유이온보다는 입자와 결합된 형태로 존재하며(Amin et al., 2009; Jones et al., 2008; Hou et al., 2013), 이러한 금속의 형태는 평상시 안정하게 유지될지라도 외부로부터 환경·수리적 교란이 발생할 경우 수상(공극수 및 상층수)으로의 용출이 진행될 개연성이 있다. 뿐만 아니라, 교란 시 퇴적물 내 금속의 거동은 수상으로의 용출에 국한된 것은 아니며, 교란에 의한 산화환원 반응, 가용성 황화물(acid volatile sulfide, AVS)의 산화, 유기물 변화, 입자 재부유 및 용존산소 소모 등 퇴적물 구성성분 간의 복합적인 반응에 의해 다양한 양상을 나타낸다(Wu et al., 2020). 예를 들어, 교란에 의해 유도된 산화 환경에서는 황화광물(e.g., CdS, PbS)의 용해로부터 금속이 용출될 수 있지만, 이러한 금속은 철/망간 산화물 표면에 재흡착되거나 공침(coprecipitation)되어 수상에서 배제될 수도 있다(Hwang et al., 2011). 따라서 교란에 따른 금속의 거동은 산화환원 조건 뿐만 아니라 철/망간 산화물 함량과 같은 다양한 환경요인의 복합적 반응에 의해 결정된다. 실제로 여러 선행연구에서도 교란 시 금속 용출 양상이 주변 환경인자에 따라 상이하게 나타나는 것으로 보고되었다. Kang et al. (2021)은 도심하천인 안양천 퇴적물을 대상으로 기계식 교반장치를 이용해 150 rpm에서 24시간 동안 재부유(resuspension) 실험을 수행하였으며, 하류 퇴적물에서 용존산소가 급격히 감소하고 퇴적물 산소요구량(sediment oxygen demand) 및 미생물활성이 증가함에 따라 Fe, Mn, Ni, Cu, Zn, Pb 등의 용출이 촉진됨을 보고하였다. 또한 Hwang et al. (2011)은 낙동강 하류의 남지와 구포 퇴적물을 대상으로 120 rpm에서 96시간 동안 재부유 실험을 수행한 결과, 구포 퇴적물에서는 AVS의 산화에 의해 교란 초기 금속이 급격히 용출되었으나 후속과정에서 형성된 산화물에 재흡착되는 양상을 나타낸 반면, 남지 퇴적물에서는 점진적인 금속 용출 증가 양상을 확인한 바 있다.
최근 기후변화와 도시개발로 인한 홍수, 수위 변동, 준설 및 하천 정비사업 등은 하상의 물리적 교란 빈도를 증가시키고 있다(Dang et al., 2020; Bao et al., 2023). 전술한 바와 같이, 이러한 교란은 평상시 안정적으로 퇴적되어 있던 금속을 다시 수중으로 재용출시켜, 2차 오염원으로 작용할 가능성을 높인다. 특히, 퇴적물 교란에 따른 금속 재용출은 하류 수질 악화뿐 아니라 식물플랑크톤, 저서생물, 어류 등 수생태계 전반의 생물축적과 먹이망 전이에 직접적인 영향을 미친다(De Jonge et al., 2012). 따라서 퇴적물 교란이 수계 내 금속 거동에 미치는 영향을 이해하는 것은 수질 관리 및 저감 전략 수립에 필수적이다.
본 연구에서는 퇴적물 시료에 대한 교란 실험(i.e., 기계적 교반)을 수행하여, (1) 교란 전후 금속 용출 농도 변화를 확인하고, (2) 다양한 환경인자의 변화 특성을 분석하며, (3) 금속과 환경인자 간의 상관관계를 통해 용출 메커니즘을 해석하고자 했다. 기존 연구들은 주로 특정 금속의 농도 변화 또는 개별 환경인자(pH, 용존산소 등)에 대한 단편적 분석에 초점을 두었으며, 다양한 물리화학적 변수 간 상호작용을 통합적으로 고려한 연구는 제한적이었다(Hwang et al., 2011; Kang et al., 2021). 본 연구는 퇴적물 교란 시 금속의 용출 특성과 이를 매개하는 주요 환경인자 간의 상호작용을 규명함으로써, 향후 교란 민감도 기반의 수질 예측 및 관리 지표 개발에 기초자료를 제공한다. 특히, 용존산소, 용존유기탄소, 철, 황산염 등 산화환원 민감 인자의 변화를 통합적으로 분석함으로써, 토성 별 교란 반응성을 진단하고 금속 이동성 평가에 적용 가능한 정량적 근거를 제시한다. 이러한 접근은 단순한 실험실 수준의 반응 평가를 넘어, 하천 및 호소의 실규모 교란 상황에서 금속 재용출 위험을 예측하고 관리하는 데 실질적 기여를 할 수 있다.
2. 재료 및 방법
2.1 퇴적물 채취 및 특성 분석
본 연구에 사용된 퇴적물 및 물 시료는 안동 지역의 호소와 봉화 지역의 하천에서 채취하였다. 채취한 퇴적물은 금속 8종(As, Cd, Cr, Cu, Hg, Ni, Pb, Zn)을 대상으로 Costello et al. (2015)의 방법을 참고하여 인공적으로 오염시켰다. 퇴적물 20 kg에 금속 용액을 1 L 첨가하여 혼합한 후, 수분함량을 유지한 상태로 실온 암조건에서 약 30일간 반응시켜 금속이 균질하게 흡착·결합되도록 하였다. 인공오염 농도는 국립환경과학원이 제시한 하천·호소 퇴적물 오염평가 기준 2등급에서 3등급에 해당하는 수준으로 설정하였다. 이후 인공오염시킨 퇴적물에 대해 토성(soil texture), 유기물 함량(organic matter, OM), 양이온 치환용량(cation exchange capacity, CEC), Fe/ Mn/Al 산화물 농도 및 금속 총 농도를 분석하였다. 퇴적물의 물리화학적 특성 및 금속 농도를 Table 1에 제시했다.
Table 1.
Physicochemical properties and metal concentrations of sediments used in this study
2.2 퇴적물 교란에 의한 수질 영향 및 금속 용출 평가
퇴적물 교란 현상이 금속 용출 특성과 주요 수 환경인자에 미치는 영향을 평가했다. 실험에 사용된 반응조는 지름 20 cm의 원형 아크릴 재질로 제작하였으며, 물리적 교란은 프로펠러 교반기를 이용하여 구현하였다. 반응조에는 인공오염 퇴적물 7 kg을 투입하고, 퇴적물 표면으로부터 상층수(각 현장에서 채취한 하천수 및 호소수)를 10 cm 높이까지 채워 실험 조건을 구성하였다. 자연적인 원인에 의한 재부유 현상은 주로 퇴적물의 표층(약 0~2 cm 이내)에 영향을 미치므로(Dang et al., 2020), 2 cm 깊이의 퇴적물이 부유될 수 있는 교반 속도인 120 rpm을 적용했다. 프로펠러는 퇴적물 표면 상부 5 cm 높이에 위치시켰으며, 교반을 적용하지 않은 대조군과 120 rpm 교반을 적용한 실험군으로 구분하여 비교 실험을 진행했다. 금속 용출 농도와 수 환경인자의 변화를 측정하기 위해 대조군과 실험군의 상층수 및 공극수에서 0, 0.5, 1, 2, 4, 6, 12, 24시간마다 시료를 채취했다. 공극수는 실험 전 퇴적물 중앙부 깊이에 공극수 샘플러(porewater sampler, outer diameter: 4.5 mm; pore size: 0.25 µm; Rhizosphere Research Products, Netherlands)를 설치하여 채취하였으며, 채취한 시료는 즉시 분석하거나 분석 전까지 4°C에서 보관하였다. 수질 분석 항목은 상층수에서 pH, 용존산소(dissolved oxygen, DO), 용존유기탄소(dissolved organic carbon, DOC), 황산염(sulfate), 2가 철(ferrous iron, Fe2+), 3가 철(ferric iron, Fe3+), 부유물질(suspended solids, SS) 및 전기전도도(electrical conductivity, EC)이고, 공극수에서 pH, DO, DOC, sulfate, Fe2+, Fe3+ 및 산화환원전위(oxidation reduction potential, ORP)이다.
2.3 상관관계분석
퇴적물 교란 전후 상층수 및 공극수에서의 금속 거동과 환경인자 간의 상호작용을 규명하기 위해 피어슨 상관분석(Pearson’s correlation analysis)을 수행했다. 분석에는 채취시간에 따른 상층수 내 금속(As, Cd, Cr, Cu, Hg, Ni, Pb, Zn) 농도와 상층수 및 공극수의 환경인자(pH, DO, DOC, sulfate, Fe2+, Fe3+, SS, EC, ORP)를 포함했다. 피어슨 상관계수(r)는 퇴적물 종류(Loamy sand, Sand) 및 교란 여부에 따라 구분하여 비교했다.
3. 결과 및 토의
3.1 교란에 따른 퇴적물 금속의 용출 특성 변화
퇴적물 교란이 금속의 용출 특성에 미치는 영향을 평가하기 위해, 두 퇴적물(Loamy sand, Sand)의 상층수에서 교란 전후 금속 농도 변화를 비교했다(Fig. 1). Loamy sand의 경우, 교란 진행에 따라 상층수 내 Cd은 0.0021±0.001 mg/kg에서 0.0049±0.0004 mg/kg로 약 2.3배, Cu는 0.31±0.04 mg/kg에서 0.41±0.13 mg/kg로 1.3배, Ni는 1.10±0.13 mg/kg에서 1.44 ±0.25 mg/kg로 1.6배, Zn은 12.66±1.77 mg/kg에서 17.41± 1.12 mg/kg로 1.4배 증가하였다. As와 Cr은 전 구간에서 검출되지 않았으며, Pb와 Hg은 유의한 차이가 관찰되지 않았다. Sand의 경우, 상층수 내 금속 농도는 교란이 진행됨에 따라 Loamy sand에 비해 큰 폭으로 증가하는 양상을 나타냈다. 교란 후 As는 0.031±0.006 mg/kg에서 0.038±0.011 mg/kg로 1.2배, Cd은 0.15±0.02 mg/kg에서 0.60±0.13 mg/kg로 3.9배, Cr은 7.76±1.23 mg/kg에서 33.13±13.42 mg/kg로 4.3배, Cu는 0.96±0.18 mg/kg에서 6.75±2.50 mg/kg로 7배, Ni은 5.36±0.79 mg/kg에서 22.03±8.16 mg/kg로 4.1배, Pb은 0.0019±0.0002 mg/kg에서 0.0025±0.0010 mg/kg로 약 1.3배, Zn은 72.86±11.35 mg/kg에서 298.65±108.90 mg/kg로 4.1배 증가하였다. Hg은 Loamy sand에서와 마찬가지로 유의한 변화가 관찰되지 않았다. 두 퇴적물 중 Loamy sand는 Sand에 비해 유기물과 Fe/Mn/Al 산화물 함량이 높아(Table 1) 용출된 금속의 재흡착이 비교적 활발하게 일어난 것으로 판단된다(Buyang et al., 2019; Madadi et al., 2021).

Fig. 1.
Heavy metal concentrations in overlying water from two sediment samples (a: Loamy sand, b: Sand) with and without applying mechanical disturbance (LOC: Loamy sand-overlying water without disturbance, LOD: Loamy sand-overlying water with disturbance, SOC: Sand-overlying water without disturbance, SOD: Sand-overlying water with disturbance). Each box represents the distribution of metal concentrations measured from eight sampling points (0, 0.5, 1, 2, 4, 6, 12, and 24 h) collected during the experiment. The boxes represent the 25th-75th percentiles, the horizontal lines indicate medians, and error bars represent 10th-90th percentiles
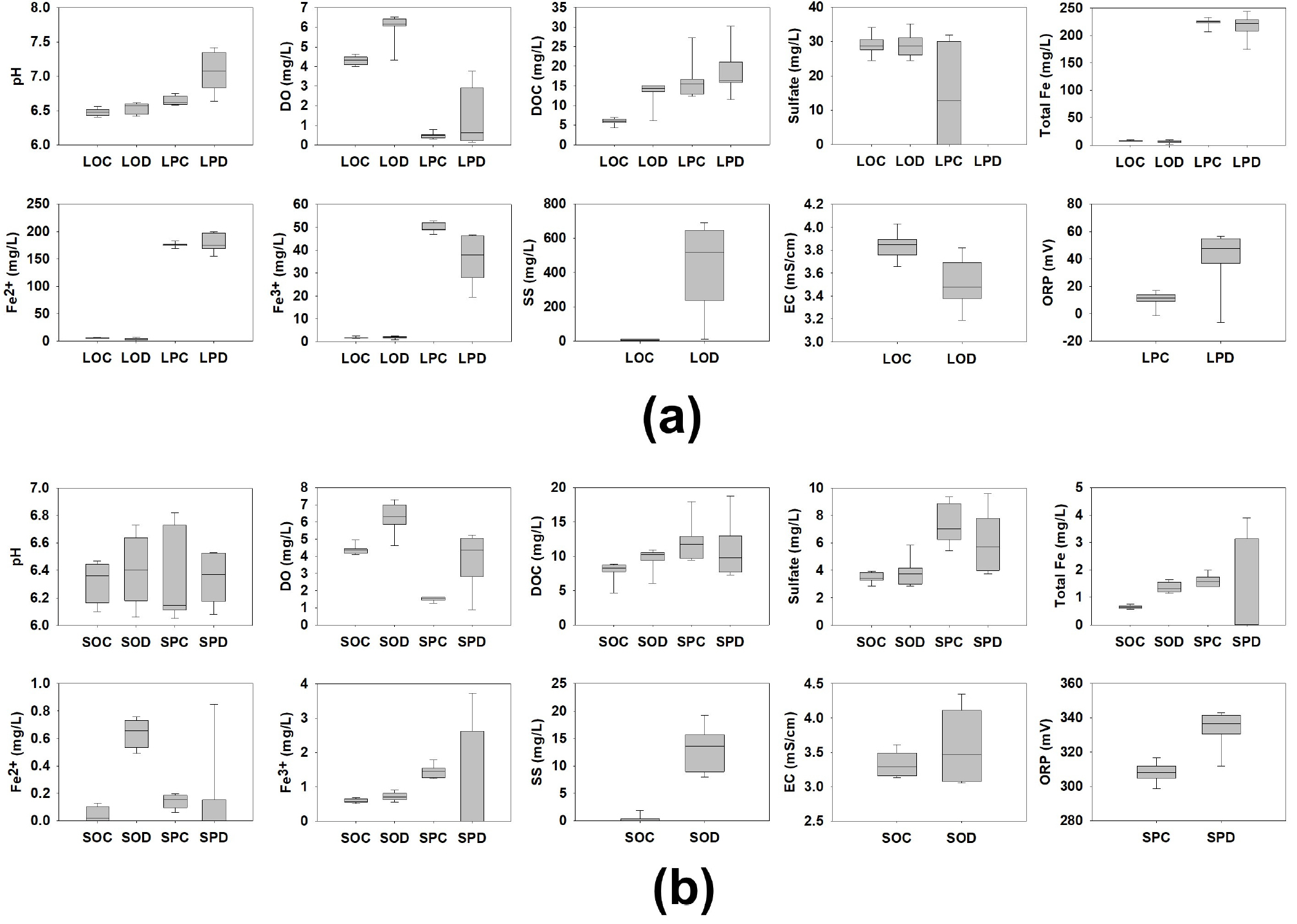
3.2 교란에 따른 상층수 및 공극수 환경인자 특성 변화
퇴적물 교란이 상층수 및 공극수의 물리·화학적 인자에 미치는 영향을 평가하기 위해, 교란 전후의 변화를 비교하고 차이에 대한 통계적 유의성 검정을 수행했다(Table 2; Fig. 2).
Table 2.
Statistical significance (p value of t-test) of environmental parameters in overlying and pore waters of Loamy sand and Sand sediments according to disturbance progression

Fig. 2.
Variations in water quality parameters of overlying and pore water from two sediment samples (a: Loamy sand, b: Sand) with and without applying mechanical disturbance (LOC: Loamy sand-overlying water without disturbance, LOD: Loamy sand-overlying water with disturbance, LPC: Loamy sand-porewater without disturbance, LPD: Loamy sand-porewater with disturbance, SOC: Sand-overlying water without disturbance, SOD: Sand-overlying water with disturbance, SPC: Sand-porewater without disturbance, SPD: Sand- porewater with disturbance). Each box represents the distribution of metal concentrations measured from eight sampling points (0, 0.5, 1, 2, 4, 6, 12, and 24 h) collected during the experiment. The boxes represent the 25th-75th percentiles, the horizontal lines indicate medians, and error bars represent 10th-90th percentiles
두 퇴적물 모두 상층수에서는 DO, DOC, Fe2+, SS에서 교란 전후 통계적으로 유의한 변화가 관찰됐으며(p<0.05), 공극수에서는 sulfate의 유의한 감소 및 ORP의 유의한 증가가 관찰됐다(p<0.05). 상층수 DO는 Loamy sand에서 4.31±0.22 mg/L에서 6.01±0.70 mg/L로 증가하였으며, Sand에서도 4.37±0.26 mg/L에서 6.28±0.83 mg/L로 증가하였다. 물리적 교반이 상층수의 DO를 상승시키는 현상은 Geng et al. (2021)에 의해 보고된 바 있으며, 이는 교반에 의해 수층 내 DO 확산이 가속되었기 때문으로 판단된다. 상층수 DOC는 Loamy sand에서 5.92±0.82 mg/L에서 13.25±3.19 mg/L로 증가하였고, Sand에서도 7.89±1.36 mg/L에서 9.70±1.56 mg/L로 증가하였다. 이는 교란에 의해 퇴적물 내 유기물이 수층으로 용출 또는 부유한 것으로 해석된다(Bao et al., 2023). Loamy sand에서는 상층수 Fe2+ 농도가 6.06±0.61 mg/L에서 4.43±2.09 mg/L로 감소했으며, 이는 상층수 DO 상승에 따른 산화환경 형성으로 인해 Fe2+가 Fe3+ 형태로 전환된 결과로 판단된다(Eggleston et al., 2012; Zhou et al., 2023). Sand에서는 Fe2+ 농도가 0.05± 0.05 mg/L에서 0.64±0.10 mg/L로 증가하였는데, 이는 교란에 따른 퇴적물로부터의 탈착 또는 용출이 산화반응보다 우세하기 때문으로 판단된다. 상층수 SS는 Loamy sand에서 7.85 ±4.48 mg/L에서 450.36±240.01 mg/L로 증가하였으며, Sand에서도 0.30±0.68 mg/L에서 13.19±3.88 mg/L로 증가하였다. 이는 두 퇴적물 모두에서 교란에 따라 입자상 물질의 부유가 발생했음을 나타낸다(Ding et al., 2018). 공극수에서는 sulfate가 Loamy sand에서 14.49±14.61 mg/L에서 0 mg/L로 감소하였으며, Sand에서도 7.29±1.42 mg/L에서 6.05±2.13 mg/L로 감소하였다. 공극수의 ORP는 Loamy sand에서 10.66±5.47 mV에서 41.45±20.61 mV로 증가하였고, Sand에서도 308.18 ±5.45 mV에서 334.24±10.00 mV로 증가하였다. ORP의 상승은 황화물의 산화를 유발하며 그로 인해 공극수 내 sulfate 농도가 상승할 것으로 예상되었으나, sulfate의 생성보다 상층수로의 확산이 더욱 우세했기 때문에 농도가 감소한 것으로 판단된다(Ebersbach et al., 2009).
이 외에도 Loamy sand에서는 상층수에서 EC가 3.84±0.11 mS/cm에서 3.51±0.20 mS/cm으로 소폭 감소하였다(p<0.001). Loamy sand 공극수에서는 pH가 6.65±0.07에서 7.07±0.28로 상승하였으며(p<0.01), Fe3+는 49.86±1.99 mg/L에서 36.56 ±10.16 mg/L로 감소하였다(p<0.01). 반면 Sand에서는 상층수 total Fe가 0.65±0.06 mg/L에서 1.35±0.18 mg/L로 증가하였다(p<0.001). 공극수 DO도 1.53±0.12 mg/L에서 3.89±1.50 mg/L로 증가하였다(p<0.01).
3.3 상관관계 분석 결과
퇴적물 교란에 따른 금속 용출 특성과 상층수 및 공극수의 환경인자 변화 간의 상호관계를 규명하기 위해 피어슨 상관분석을 수행했다(Fig. 3).

Fig. 3.
Pearson correlation matrices between heavy metals and environmental parameters in overlying and pore water from Loamy sand and Sand sediments before and after disturbance: (a) Loamy sand before disturbance, (b) Loamy sand after disturbance, (c) Sand before disturbance, and (d) Sand after disturbance
Loamy sand 퇴적물에서 교란 전 상층수 DO는 상층수 내 금속 용출 농도와 유의한 상관관계를 보이지 않았으나, 교란 후 Cu (r=0.86, p<0.05), Hg (r=0.92, p<0.01), Ni (r=0.95, p< 0.01), Pb (r=0.87, p<0.05)와는 강한 양의 상관관계를 나타냈다. 공극수 DO는 교란 전 Cd와 유의한 상관관계를 보이지 않았으나, 교란 후 Cd (r=0.87, p<0.05)와 유의한 양의 상관관계를 나타냈다. 이는 교란에 의해 산소가 퇴적물로 유입돼 금속의 용출(i.e., oxidative dissolution)이 촉진된 결과로 판단된다(Wang et al., 2022). Loamy sand 퇴적물에서 교란 전 상층수 DO와 공극수 ORP 간의 관계는 교란 전 음의 상관관계(r= -0.79, p<0.05)였으나, 교란 후 강한 양의 상관관계(r=0.98, p<0.001)로 전환됐다. 두 인자는 교란 후 모두 증가하는 추세를 보였으며, 이는 산소 유입에 따라 퇴적물 ORP가 상승한 결과로 해석된다(De Jonge et al., 2012). 상층수 SS는 교란 후 Cu (r=0.85, p<0.05), Hg (r=0.82, p<0.05), Ni (r=0.82, p< 0.05), Pb (r=0.90, p<0.01)와 양의 상관관계를 보였다. SS는 상층수 DO (r=0.80, p<0.05)와도 유의한 양의 상관관계를 나타냈다. 이러한 경향은 교란 시 산소 유입과 함께 퇴적물과 물 계면의 전단응력이 증가해 상층수 SS가 상승한 결과로 판단된다(Kim et al., 2008). Loamy sand 퇴적물에서 상층수 DOC는 교란 후 Cu (r=0.76, p<0.05), Hg (r=0.86, p<0.05), Ni (r= 0.95, p<0.01), Pb (r=0.83, p<0.05)와 양의 상관관계를 보인 반면, 공극수 DOC는 Hg (r=-0.90, p<0.01), Ni (r=-0.86, p< 0.05), Pb (r=-0.82, p<0.05)와 음의 상관관계로 전환됐다. 상층수 및 공극수 DOC는 교란 전 DO와 유의한 상관관계를 보이지 않았으나, 교란 후 각각 상층수 DOC-DO (r=0.97, p< 0.001), 공극수 DOC-DO (r=-0.85, p<0.05) 간 유의한 상관관계가 확인됐다. 교란 후 상층수 DOC는 증가했고, 공극수 DOC는 감소했다. 이는 교란에 의해 공극수 내 DOC가 상층수로 이동한 결과로 해석해 볼 수 있으며(Kang et al., 2020), 이 과정에서 DOC는 금속과 복합체(DOC-metal complexes)를 형성할 수 있다. Loamy sand 퇴적물에서 상층수 sulfate는 교란 전 금속과 유의한 상관관계를 보이지 않았으나, 교란 후 Cd (r=0.94, p<0.01) 및 Cu (r=0.85, p<0.05)와 강한 양의 상관관계를 보였다. 상층수 sulfate는 공극수 DO와도 교란 후 유의한 양의 상관관계(r=0.92, p<0.01)를 보였으며, 이는 황화물이 산화되어 황산염으로 전환된 결과로 추정된다(Maddock et al., 2007). 이러한 산화 과정에서 금속이 황화물 결합 상태에서 용해되어 sulfate 농도와 함께 금속 농도가 증가한 것으로 판단된다. Loamy sand 퇴적물에서 상층수 total Fe와 Fe2+는 교란 전 Hg와 각각 r=-0.79(p<0.05), r=-0.92(p<0.01)로 음의 상관관계를 보였고, 교란 후 상층수 total Fe는 Cd (r=-0.98, p<0.001), Cu (r=-0.90, p<0.01), Hg (r=-0.82, p<0.05)과 음의 상관관계를 나타냈다. 또한, 교란 후 상층수 Fe2+는 Cd (r=-0.98, p<0.001), Cu (r=-0.90, p<0.01), Hg (r=-0.83, p<0.05)과 음의 상관관계를 나타으며, 상층수 Fe3+도 Cd (r=-0.93, p<0.01), Cu (r=-0.82, p<0.05)와 음의 상관관계를 보였다. 상층수 Fe2+와 Fe3+는 total Fe와 강한 양의 상관을 보였다(r>0.95, p<0.001). 교란 전 상층수 total Fe는 공극수 DO 및 pH와 상관이 없었으나, 교란 후 DO (r=-0.77, p<0.05), pH (r=-0.83, p<0.05)와 음의 상관관계를 보였다. 이는 교란에 의해 산소가 유입되면서 상층수 내 Fe2+가 Fe3+로 산화돼 Fe(OH)3 형태로 침전되거나, 콜로이드성 수산화물의 응고·흡착에 의해 수중에서 제거된 결과로 판단된다(Maddock et al., 2007). 공극수에서는 산화층이 형성되며 Fe 산화물이 침전되고, 이에 따라 용존 Fe 농도가 감소한 것으로 보인다(Dale et al., 2015). 이러한 Fe의 변화는 Cd, Cu, Hg 등 금속의 공침·흡착 및 확산 억제를 유도해 교란 후 금속의 용존 농도 감소에 기여할 수 있다.
Sand 퇴적물에서는 교란 전 상층수 EC와 대부분의 금속이 유의한 양의 상관관계를 보였으며, 교란 후 상관관계가 강화됐다(As: r=0.92, p<0.01; Cd: r=0.87, p<0.01; Cr: r=0.87, p< 0.01; Cu: r=0.90, p<0.01; Hg: r=0.93, p<0.001; Ni: r=0.84, p<0.01; Zn: r=0.84, p<0.01). 이는 EC가 용존 이온 농도를 반영하며, 교란으로 금속 이온 용출이 증가했기 때문으로 판단된다. Sand 퇴적물에서는 공극수 DOC와 Hg는 교란 전 강한 양의 상관관계(r=0.95, p<0.001)를 보였으나, 교란 후 강한 음의 상관으로 전환됐다(r=-0.89, p<0.01). Loamy sand와 Sand 모두 교란 후 공극수 DOC가 감소하는 경향을 보였지만, 상관 방향은 서로 달랐다. Loamy sand에서는 DOC와 금속 간에 양의 상관관계가 유지된 반면, Sand에서는 음의 상관관계로 전환됐다. 이는 두 토성의 입도와 유기물 특성 차이 때문으로, Loamy sand에서는 DOC가 금속과 복합체를 형성해 이동성을 높인 반면, Sand에서는 DOC 농도 감소로 인해 금속과의 결합이 제한됐기 때문으로 추정된다.
Sand 퇴적물에서는 상층수 total Fe는 교란 전 Ni (r=0.73, p<0.05)만과 유의한 양의 상관관계를 보였고, 교란 후 대부분의 금속과 강한 양의 상관관계를 보였다(As: r=0.87, p<0.01; Cd: r=0.84, p<0.01; Cr: r=0.83, p<0.05; Cu: r=0.85, p<0.01; Hg: r=0.85, p<0.01; Ni: r=0.80, p<0.05; Zn: r=0.79, p<0.05). 공극수 total Fe는 교란 전 Hg (r=0.86, p<0.01)와 양의 상관을 보였으나, 교란 후 음의 상관으로 전환됐다(r=-0.78, p<0.05). 상층수 Fe2+는 교란 전 Cr (r=0.94, p<0.001), Cu (r=0.92, p< 0.01), Hg (r=0.79, p<0.05)와 유의한 양의 상관을 보였고, 교란 후에도 Cr (r=0.73, p<0.05), Cu (r=0.77, p<0.05), Hg (r= 0.77, p<0.05)와 유의한 양의 상관을 유지했다. 다만 교란 후 상관 정도는 다소 감소했다. 공극수 Fe3+는 교란 전 Hg (r=0.83, p<0.05)와 양의 상관을 보였으나, 교란 후 음의 상관으로 전환됐다(r=-0.76, p<0.05). 이러한 경향은 Sand 퇴적물이 Loamy sand보다 유기물 함량, 산화물 함량 및 CEC가 낮아 교란 시 금속과 Fe의 흡착능력 감소로 인해 용출이 촉진한 것으로 판단된다.
Loamy sand와 Sand 모두에서 교란 후 DO, DOC, Fe 등 주요 환경인자가 금속과 유의한 상관관계를 보였다는 점은 공통적이었으나, Loamy sand에서는 Fe 계열, 상층수, 공극수 간 DOC 변화가, Sand에서는 EC, pH, sulfate 및 Fe 용출이 주요한 영향을 미친 것으로 나타났다. 특히 교란 전후 변화가 유의하게 나타났던 DO, DOC, Fe2+, SS, ORP 등의 인자가 금속과의 상관관계에서도 뚜렷한 연계를 보였다는 점은, 이러한 환경인자가 금속의 용출 및 이동성에 직접적인 영향을 미쳤음을 시사한다.
4. 결론 및 제언
본 연구에서는 Loamy sand와 Sand 퇴적물을 대상으로 물리적 교란 실험을 수행하여 금속의 용출 특성과 이에 영향을 미치는 환경인자의 변화를 평가하였다. 교란 후 두 토성 모두에서 상층수 및 공극수 내 금속 농도가 증가하였으며, Loamy sand에서는 일부 금속에서만 제한적인 증가가 나타난 반면, Sand에서는 대부분의 금속에서 뚜렷한 증가가 확인됐다. 이는 Sand가 상대적으로 낮은 유기물 및 산화물 함량과 조립질 입도를 가져 금속의 흡착 용량이 낮고, 교란 시 탈착 및 용출이 용이했기 때문으로 판단된다. 반대로 Loamy sand는 유기물 및 Fe, Mn, Al 산화물 함량이 높아 금속의 표면 흡착 및 공침이 활발히 일어나며, 이에 따라 교란에 대한 완충효과가 상대적으로 크게 작용한 것으로 해석된다. 교란에 따라 상층수에서는 DO, DOC, Fe2+, SS가, 공극수에서는 sulfate와 ORP가 유의하게 변화하였으며, 이러한 환경인자 변동은 금속의 용출 특성과 밀접한 연계를 보였다. 특히 교란으로 인한 산소 유입은 퇴적물 내 산화·환원 환경을 급격히 변화시켜 Fe2+의 산화와 황화물의 산화, DOC의 탈착 및 확산을 촉진시켰다. Loamy sand에서는 상층수 DO 및 ORP의 상승과 함께 Fe2+가 Fe3+ 산화물로 전환되고, DOC가 공극수에서 상층수로 이동함으로써 금속의 용존화가 촉진된 것으로 보인다. 반면 Sand에서는 EC, pH, sulfate의 변동과 더불어 Fe와 금속의 동시 용출이 두드러졌으며, 이는 낮은 산화물·유기물 보유량에 따른 금속 흡착력 저하와 관련된 것으로 해석된다. 이러한 결과는 퇴적물의 물리·화학적 특성이 교란에 대한 반응성과 금속의 이동성에 직접적인 영향을 미친다는 점을 보여준다. 상관관계 분석 결과에서도 이러한 경향이 명확히 나타났다. 교란 전후의 DO, DOC, Fe2+, SS, ORP 등 주요 환경인자는 금속과의 유의한 상관성을 보였으며, 이는 교란으로 인한 환경변화가 금속의 용출 및 재분배를 지배하는 핵심 요인임을 시사한다. 특히 Loamy sand에서는 Fe의 산화 및 상층수 및 공극수 간 DOC 이동이, Sand에서는 EC, pH, sulfate, Fe, Fe2+ 및 Fe3+가 주요한 영향을 미쳤다. 따라서 퇴적물의 교란에 따른 금속 위해성 평가는 단순한 총 농도 변화뿐 아니라, 교란 과정에서 동반되는 환경인자 변동을 종합적으로 고려해야 한다. DO, ORP, DOC, Fe, sulfate 등은 교란 민감도를 진단할 수 있는 주요 지표로, 산화물 및 유기물 함량을 반영한 현장 맞춤형 평가 체계 구축이 필요하다. 본 연구는 퇴적물 교란으로 인한 금속의 재용출을 합리적으로 예측하고 교란 민감도 기반의 정량적 수질 관리 및 위해저감 전략을 수립하는데 기여할 수 있다.


