1. 서 론
최근 기후변화에 따른 증발량(증발산량) 증가는 지역적 가뭄을 초래하고 있다. 따라서 지역적으로 증발량(증발산량)을 더욱 정확하게 파악하고 산정하는 것은 수문순환과정을 이해하고, 또한 효율적으로 수자원을 관리하기 위해 매우 중요하다. 증발현상은 여러 기상요소와 밀접한 상관이 있으며 주로 기온, 풍속, 상대습도, 일사량 등에 영향을 받는다. 따라서 과거 많은 연구자들은 이들 기상 요소를 이용해서 증발량(증발산량)을 산정하는 방법을 제안한 바 있다. 과거 제안된 증발량(증발산량) 산정식들은 기상요소가 수표면에서 증발에 영향을 미치는 물리적인 요인을 파악하고 분석한 결과를 이용해서 유도되었다. 과거 기상자료를 이용하여 증발량(증발산량)을 산정하는 대표적인 방법은 크게 공기동력학적 이론에 기초한 방법, 기온자료를 이용한 방법, 태양복사 에너지를 이용한 방법 그리고 에너지수지와 공기동력학적 이론을 조합한 방법으로 구분된다(Meyer, 1915; Rohwer, 1931; Harbeck, 1958; Penman, 1948; Monteith, 1965; Makkink, 1957; Priestley and Taylor, 1972; Hargreaves and Samani, 1985; Allen et al., 1998).
한편 기상자료가 없는 지역에서 증발접시 증발량 자료를 이용하여 기준증발산량을 산정하고자 하는 연구가 과거 많은 연구자들에 의해서 수행된 바 있다. 증발접시계수는 기준 증발량과 증발접시 증발량과의 상대적인 비로 표현되며, 증발접시계수를 이용하여 기준증발산량을 아는 경우 수표면으로부터의 증발량을 산정하거나 혹은 수표면으로부터의 증발량을 이용해서 기준증발산량을 산정할 수 있다(Irmak et al., 2002; Fu et al., 2004; Alvarez et al., 2007). Doorenbos and Pruitt (1977)는 잔디가 심어져 있는 lysimeter로부터의 증발산량을 기준증발산량으로 정의한 바 있으며, 이를 증발접시 증발량과 비교한 결과 둘 사이에는 매우 높은 상관이 있음을 입증한 바 있다. 이러한 연구결과를 바탕으로 풍역대 거리(fetch distance), 풍속, 상대습도 자료를 이용하여 증발접시계수를 산정하는 식인 24PAN (FAO 24 pan evaporation)을 제안하였다. 하지만 Doorenbos and Pruitt (1977)가 제시한 방법은 증발접시계수 산정을 위해서는 도표를 적용하는 불편함이 있다. 따라서 이후 다른 연구자들은 이러한 도표를 사용하는 불편함을 개선하기 위해서 종속변수를 증발접시계수로 하고, 독립변수로서 풍역대 거리, 풍속 그리고 상대습도를 적용하는 식을 유도하였다(Cuenca, 1989; Snyder, 1992; Pereira et al., 1995; Allen et al., 1998; Orang, 1998; Raghuwanshi and Wallender, 1998).
국내에서는 증발접시 증발량 자료를 이용하여 증발량 산정식을 유도하고자 하는 연구가 수행된 바 있다(Cho, 1973; Kim, 2010; Seo and Kim, 2018). 하지만 증발접시계수와 기상요소와의 상관성을 이용하여 증발량(증발산량)을 산정하고자 하는 모형개발은 활발하게 이루어지지 않았다. 또한 기상청에서는 2016년 7월 이후로 우리나라 전국 기상관측소에서 증발접시증발량 산정을 중단하였고, Allen et al. (1998)에 의해서 제안된 증발접시계수 산정모형을 적용하여 증발접시증발량을 산정하고 있는 실정이다. 따라서 이에 대한 검증과 검증결과에 따라서 개선된 증발접시계수 산정모형이 필요하다. Rim (2020)은 Doorenbos and Pruitt (1977)에 의해서 제안된 증발접시계수 산정 방법에 기초하여 제안된 연구자들(Cuenca, 1989; Snyder, 1992; Pereira et al., 1995; Allen et al., 1998; Orang, 1998; Raghuwanshi and Wallender, 1998)의 증발접시계수 산정식을 우리나라 서울 기상관측지점에 적용하여 비교 검토한 바 있다. 분석결과에 의하면 Snyder (1992)에 의해서 제안된 모형이 기존에 제시된 증발접시계수 산정모형 중에서 가장 관측값과 유사한 증발접시계수를 모의한다고 발표하였으며, 서울 기상관측지점에 대해서 Snyder (1992) 모형의 매개변수 보정을 통해서 개선된 증발접시계수 산정모형을 제시하였다. 하지만 Rim (2020)에 의해서 제시된 모형은 서울지역에 한정하여 유도되었고, 또한, Snyder (1992) 모형을 포함하여 기존에 연구자들에 의해서 제시된 Doorenbos and Pruitt (1977)의 모형에 기초한 모형들은 정량화하기 어려운 풍역대 거리(fetch distance)가 입력자료로 요구된다. 따라서 우리나라 전역에 대해서 일반화하여 적용하기에는 한계가 있다.
본 연구에서는 Rim (2020)에 의해서 제안된 증발접시계수 산정 방법의 지역 한계성을 극복하기 위해서 우리나라 전국에서 장기적인 일사량 자료를 보유한 기상관측지점을 연구 대상지역으로 선정하였다. 또한 입력값을 추정하는 데 어려움이 있는 풍역대 거리 대신에 기상관측지점에서 일반적으로 관측되고 있는 기상요소 자료만을 입력자료(독립변수)로 하는 다변량 선형회귀모형에 근거하여 증발접시계수(종속변수)를 산정하는 방법을 검토하였다. 모형개발을 위해서 적용된 증발접시계수는 소형증발접시 증발량 자료와 FAO Penman-Monteith (FAO P-M) 기준증발산식(Allen et al., 1998) 증발산량을 이용하여 산정하였다. 기준증발산량을 산정하는 FAO P-M식은 국제식량농업기구(Food and Agriculture Organization of the United States, FAO)에서 기준증발산량 산정을 위한 표준방법으로 제안된 바 있으며 많은 연구자들에 의해서 기준증발산량 산정을 위해서 적용된 바 있다(Droogers and Allen, 2002; Fontenot, 2004; Trajkovic, 2005). 개발된 다변량 선형회귀 모형의 적용성을 검토하기 위해 개발된 증발접시계수를 이용해서 증발량을 산정하고 산정된 증발량을 관측된 증발량과 비교하였다. 또한 Doorenbos and Pruitt (1977)의 모형에 기초하여 개발된 다른 연구자들의 증발접시계수 산정모형들과 비교하였다.
2. 연구 방법
증발접시계수 산정모형을 개발하기 위해서 다변량 선형회귀분석을 실시하였고 월평균 일 기상자료를 입력자료(독립변수)로 적용하였다. 여기서 증발량자료는 소형증발접시를 이용해서 관측된 자료를 이용하였고, 기준증발산량은 FAO Penman-Monteith (FAO P-M) 기준증발산식(Allen et al., 1998)을 적용하여 산정하였다. 또한 개발된 모형의 적합성을 검증하기 위해 다른 연구자들의 증발접시계수 산정모형들과 비교하였다.
본 연구에서는 분석을 위해서 장기적으로 기상자료 관측이 수행되고 있는 우리나라 11개 기상관측소(서울, 인천, 수원, 서산, 청주, 대전, 포항, 전주, 부산, 목포, 제주)의 월평균 기상자료(소형증발접시 증발량, 풍속, 상대습도, 기온, 일조시간, 일사량)를 이용하였다(Fig. 1). 소형증발접시 증발량 자료의 경우 2016년 7월 1일 이후로는 관측이 중단되었다. 따라서 소형증발접시 증발량 자료의 경우 2016년 6월까지의 자료를 사용하였으며, 증발량 관측이 수행되지 않은 기간은 분석에서 제외하였다. 각 기상관측소의 자료 적용기간(년)은 서울(1974~2016), 인천(1974~2016), 수원(1974~2016), 서산(1981~2016), 청주(1974~2016), 대전(1984~2016), 포항(1981~2016), 전주(1982~2016), 부산(1981~2016), 목포(1973~2016), 제주(1982~2016)이다.

Fig. 1.
The location map of 11 study stations
2.1 증발접시계수
증발량과 기준증발산량과의 비인 증발접시계수는 Eq. (1)과 같이 표현된다. 여기서 증발량자료는 소형증발접시 증발량자료를 적용하고, 기준증발산량은 FAO Penman-Monteith (FAO P-M) 기준증발산식(Allen et al., 1998)을 적용하였다. 과거 연구자들은 증발접시계수 산정을 위해, 입력자료로서 풍역대 거리, 풍속 그리고 상대습도를 적용하는 모형들을 유도한 바 있고(Cuenca, 1989; Snyder, 1992; Pereira et al., 1995; Allen et al., 1998; Orang, 1998; Raghuwanshi and Wallender, 1998), 따라서 증발접시계수는 Eq. (1)과 같이 풍역대 거리, 풍속 그리고 상대습도의 함수로서 나타낼 수 있다.
본 연구에서는 기존의 연구자들에 의해서 제안된 모형들을 본 연구에서 다변량 선형회귀분석을 이용해서 유도된 증발접시계수 산정모형들과 비교 검토하였다. 따라서, Eq. (1)의 관계로부터 증발접시계수 값과 기준증발산량을 아는 경우 수표면으로부터의 증발량을 산정하거나 혹은 증발접시계수 값과 수표면으로부터의 증발량을 아는 경우 기준증발산량을 산정할 수 있다(Irmak et al., 2002; Fu et al., 2004; Alvarez et al., 2007).
여기서, Cp=소형증발접시계수, E=소형증발접시증발량(mm/day), ETo=기준증발산량(mm/day), FET=풍역대 거리(m), u2=높이 2 m 풍속(km/day 혹은 m/s), 그리고 RH=상대습도(%)이다. Eq. (1)에서 기준증발산량(ETo)은 FAO Penman- Monteith(FAO P-M) 기준증발산식(Eq. (2))를 적용하였으며, FAO P-M식은 여러 연구자들(Allen et al., 1994; Droogers and Allen, 2002)에 의해서 증발산계(lysimeter)를 이용하여 검증된 바 있다. 또한 국제식량농업기구(Food and Agriculture Organization of the United States, FAO)에서 기준증발산량 산정을 위한 표준방법으로 제안된 바 있다.
여기서, ETo=기준증발산량(mm/day), Qn=순복사(MJ/m2/day), Qns=단파복사량(MJ/m2/day), Qnl=장파복사량(MJ/m2/day), RS=입사단파복사량(MJ/m2/day), RSO=지구상에 도달하는 태양복사량(MJ/m2/day), =잔디피복의 경우 albedo (=0.23), Ta=지상 2 m 높이에서의 대기온도(℃), =Stefan-Boltzmann 상수(=4.903×10‒9 MJ/m2/day), Tmax=최고기온(K), Tmin=최저기온(K), u2=지상 2 m 높이에서의 풍속(m/s), es=포화증기압(kPa), ea=실제증기압(kPa), (es―ea)=포화미흡량(kPa), =대기온도에서의 포화증기압 접선경사(kPa/℃), =습도계계수(kPa/℃)이다.
2.2 다변량 선형회귀분석을 이용한 증발접시계수 산정모형
본 연구에서는 기상관측지점에서 일반적으로 관측되고 있는 기상자료(기온, 풍속, 상대습도, 일조시간/가조시간 비, 일사량)를 독립변수로 하고, 증발접시계수를 종속변수로 하는 다변량 선형회귀모형에 근거한 증발접시계수를 산정하는 방법을 검토하고자 다변량 선형회귀분석을 실시하였다. 다변량 선형회귀모형은 Eq. (3)과 같이 나타낼 수 있다. 본 연구에서 종속변수 Y는 증발접시계수를 나타내고, 독립변수 X는 기상요소(풍속, 상대습도, 기온, 일조시간/가조시간 비, 일사량)을 나타낸다. 다변량 선형회귀모형의 독립변수들간의 상관성은 낮은 것으로 나타나서 다변량 선형회귀분석에 문제가 없는 것으로 나타났다.
여기서 계수 는 매개변수를 나타내고, 는 모든 다른 독립변수를 일정하다고 간주하는 경우 독립변수 X1과 종속변수 Y사이에 관계의 경사인 부분경사계수이다. 는 다변량 선형회귀모형의 다른 독립변수들이 일정한 경우 독립변수 X1이 한 단위 증가에 따른 Y의 변화를 나타낸다. 는 회귀식의 절편으로서 독립변수가 0인 경우 Y의 값을 나타낸다.
본 연구에서는 다변량 선형회귀모형을 개발하기 위해서 4가지 다른 독립변수 조건(Models G~J)을 적용하였다(Table 1). 첫 번째로 Model G에서는 11개 지역 전체의 기상자료(풍속, 상대습도, 기온, 일사량)의 평균값을 입력자료(독립변수)로 적용하였다. 두 번째로 Model H에서는 각 지역별로 풍속, 상대습도, 기온, 일사량을 입력자료(독립변수)로 적용하였다. 세 번째로 Model I에서는 각 지역별로 풍속, 상대습도, 기온, 일조시간과 가조시간의 비, 일사량을 입력자료(독립변수)로 적용하였다. 네 번째로 Model J에서는 각 지역별로 풍속, 상대습도, 기온, 일조시간과 가조시간의 비, 일사량을 입력자료(독립변수)로 다변량 선형회귀분석 방법 중에 하나인 단계입력방식(stepwise regression method)를 적용하여 분석하였다. 단계입력방식에서는 다른 독립변수들이 회귀식에 존재할 때 종속변수에 영향력이 있는 독립변수들만을 회귀식에 포함시키는 방식이다.
Table 1.
Models for estimating pan coefficients
|
Models
|
Suggested by
|
|
A
| | Cuenca (1989) |
|
B
| | Snyder (1992) |
|
C
| | Pereira et al. (1995) |
|
D
| | Allen et al. (1998) |
|
E
| | Orang (1998) |
|
F
| where,
| Raghuwanshi and Wallender (1998) |
|
G
|
where, a=intercept term; b1b2b3b4=slope coefficient for each of the independent variables; m=month
(the generalized model developed by applying the average values of 4 independent variables for 11 stations)
|
Present study
|
|
H
|
where, a=intercept term; b1b2b3b4=slope coefficient for each of the independent variables; m=month
(the model developed by applying 4 independent variables for each station)
|
Present study
|
|
I
|
where, a=intercept term; b1b2b3b4b5=slope coefficient for each of the independent variables; m=month
(the model developed by applying 5 independent variables for each station)
|
Present study
|
|
J
| Cpm=dependent variable (m=month); u2, RH, T, B, Sol=indenpndent variables
(the model developed by applying stepwise regression method for each station)
|
Present study
|
2.3 산정방법 비교 검증
다변량 선형회귀모형들의 적용성을 검토하기 위해 개발된 모형으로부터 산정된 증발량을 관측된 증발량과 비교하였다. 또한 Doorenbos and Pruitt (1977)의 모형에 기초하여 과거 연구자들(Cuenca, 1989; Snyder, 1992; Pereira et al., 1995; Allen et al., 1998; Orang, 1998; Raghuwanshi and Wallender, 1998)에 의해서 풍역대 거리, 풍속, 그리고 상대습도를 이용하여 증발접시계수를 산정하도록 개발된 증발접시계수 산정모형과 비교 검토하였다(Table 1).
Table 1에 제시된 증발접시계수 산정식을 적용하여 증발접시 계수를 산정하고, 산정된 증발접시계수를 이용하여 증발량 산정하였다. 또한 산정된 증발량을 관측된 증발접시증발량과 Nash-Sutcliffe Efficiency (NSE) 지수(Eq. (4))를 이용하여 비교 평가하였다. Nash-Sutcliffe Efficiency (NSE) 지수(Nash and Sutcliffe, 1970)는 -∞부터 1까지의 범위를 갖고, 지수 값 1은 관측 값과 산정 값이 완전하게 일치함을 의미한다.
여기서 Hi,obs는 관측된 i번째 월의 증발량을 나타내며, Hi,est는 산정된 i번째 월의 증발량을 나타내고, 는 전 기간 동안 관측 자료의 평균 증발량이고, n은 자료의 총 수이다.
또한 평가분석을 위해 적용된 결정계수(Eq. (5))는 회귀모형의 설명력을 표현하는 것으로 0에 가까울수록 설명력이 낮고, 1에 가까울수록 높다고 해석할 수 있다. F 검정통계량은 회귀모형의 유의성에 대한 총체적 검증을 위해 적용된다.
여기서, R2는 결정계수, 는 월별 증발량 측정값, 는 전체 기간의 증발량 평균값, 은 월별 증발량의 추정값, SSR은 회귀식에 의한 변동량, SSE는 오차에 의한 변동량, n는 자료수, p는 독립변수 수이다.
3. 분석결과
3.1 증발접시계수에 미치는 기상요소 중요도
우리나라 11개 기상관측소의 월평균 기상자료(소형증발접시 증발량, 기온, 상대습도, 풍속, 일사량)를 이용하여, 월별 기상요소가 증발접시계수에 미치는 영향을 분석하였다(Table 2). 분석결과에 의하면 우리나라 11개 기상관측지역에서 증발접시계수는 1, 2, 3, 7, 11, 12월은 기온에 가장 큰 영향을 받으며, 4, 5, 6, 8, 9, 10월은 일사량에 가장 큰 영향을 받는 것으로 나타났다. 전반적으로 모든 월에서 기온과 일사량은 풍속과 상대습도에 비해서 증발접시계수에 큰 영향을 미치는 것으로 나타났다.
Table 2.
Statistical significance of meteorological data on pan coefficient
|
Month
|
R
|
F
|
u2 |
RH
|
T
|
Sol
|
|
1
|
0.572
|
46.997
(0.000)
|
[0.136]
(0.007)
|
[-0.062]
(0.180)
| [0.454](0.000) |
[-0.073]
(0.112)
|
|
2
|
0.459
|
25.888
(0.000)
|
[0.117]
(0.015)
|
[-0.083]
(0.099)
| [0.395](0.000) |
[0.005]
(0.923)
|
|
3
|
0.512
|
34.301
(0.000)
|
[0.186]
(0.000)
|
[-0.186]
(0.000)
| [0.331](0.000) |
[0.150]
(0.002)
|
|
4
|
0.577
|
48.266
(0.000)
|
[0.213]
(0.000)
|
[-0.112]
(0.017)
|
[0.298]
(0.000)
| [0.380](0.000) |
|
5
|
0.518
|
35.539
(0.000)
|
[0.268]
(0.000)
|
[-0.030]
(0.572)
|
[0.132]
(0.015)
| [0.438](0.000) |
|
6
|
0.414
|
19.955
(0.000)
|
[0.293]
(0.000)
|
[-0.030]
(0.605)
|
[0.070]
(0.239)
| [0.323](0.000) |
|
7
|
0.389
|
16.717
(0.000)
|
[0.030]
(0.571)
|
[-0.166]
(0.003)
| [-0.376](0.000) |
[0.367]
(0.000)
|
|
8
|
0.457
|
24.842
(0.000)
|
[0.125]
(0.009)
|
[-0.075]
(0.136)
|
[-0.337]
(0.000)
| [0.476](0.000) |
|
9
|
0.452
|
24.165
(0.000)
|
[0.231]
(0.000)
|
[0.059]
(0.228)
|
[0.193]
(0.000)
| [0.271](0.000) |
|
10
|
0.564
|
43.795
(0.000)
|
[0.218]
(0.000)
|
[-0.141]
(0.002)
|
[0.168]
(0.001)
| [0.312](0.000) |
|
11
|
0.527
|
36.227
(0.000)
|
[0.160]
(0.002)
|
[-0.187]
(0.000)
| [0.369](0.000) |
[-0.020]
(0.689)
|
|
12
|
0.589
|
49.891
(0.000)
|
[0.215]
(0.000)
|
[-0.159]
(0.001)
| [0.377](0.000) |
[-0.086]
(0.071)
|
각각의 기상자료가 증발접시계수에 미치는 영향력을 분석하기 위해서 표준화된 회귀계수(standardized beta coefficient)를 적용하였다. 표준화된 회귀계수는 입력자료를 표준화시켜(평균=0, 표준편차=1) 분석한 것이며, 표준화 계수의 절대값이 클수록 종속변수에 대한 독립변수의 영향력이 크다고 판단할 수 있다. 1월의 경우 기온은 표준화 계수 0.454, 유의확률 0.000으로 증발접시계수 산정에 가장 큰 영향을 미치는 기상요소인 것으로 나타났으며, 반면에 상대습도는 표준화 계수 -0.062, 유의확률 0.180으로 가장 중요하지 않은 기상요소로서 나타났다. 2월의 경우 기온은 표준화 계수 0.395, 유의확률 0.000으로 가장 큰 영향을 미치는 기상요소인 것으로 나타났으며, 반면에 일사량은 가장 중요하지 않은 기상요소로서 나타났다. 3월의 경우 기온은 표준화 계수 0.331, 유의확률 0.000으로 가장 큰 영향을 미치는 기상요소인 것으로 나타났으며, 반면에 일사량은 가장 중요하지 않은 기상요소로서 나타났다. 4월의 경우 일사량은 표준화 계수 0.380, 유의확률 0.000으로 가장 큰 영향을 미치는 기상요소인 것으로 나타났으며, 반면에 상대습도는 가장 중요하지 않은 기상요소로서 나타났다. 5월의 경우 일사량은 표준화 계수 0.438, 유의확률 0.000으로 가장 큰 영향을 미치는 기상요소인 것으로 나타났으며, 반면에 상대습도는 가장 중요하지 않은 기상요소로서 나타났다. 6월의 경우 일사량은 표준화 계수 0.323, 유의확률 0.000으로 가장 큰 영향을 미치는 기상요소인 것으로 나타났으며, 반면에 상대습도는 가장 중요하지 않은 기상요소로서 나타났다. 7월의 경우 기온은 표준화 계수 -0.376, 유의확률 0.000으로 가장 큰 영향을 미치는 기상요소인 것으로 나타났으며, 반면에 풍속은 가장 중요하지 않은 기상요소로서 나타났다. 8월의 경우 일사량이 표준화 계수 0.476, 유의확률 0.000으로 가장 중요한 기상요소인 것으로 나타났으며, 반면에 상대습도는 가장 중요하지 않은 기상요소로서 나타났다. 9월의 경우 일사량이 표준화 계수 0.271, 유의확률 0.000으로 가장 중요한 기상요소인 것으로 나타났으며, 반면에 상대습도는 가장 중요하지 않은 기상요소로서 나타났다. 10월의 경우 일사량이 표준화 계수 0.312, 유의확률 0.000으로 가장 중요한 기상요소인 것으로 나타났으며, 반면에 상대습도는 가장 중요하지 않은 기상요소로서 나타났다. 11월의 경우 기온이 표준화 계수 0.369, 유의확률 0.000으로 가장 중요한 기상요소인 것으로 나타났으며, 반면에 일사량은 가장 중요하지 않은 기상요소로서 나타났다. 12월의 경우 기온이 표준화 계수 0.377, 유의확률 0.000으로 가장 중요한 기상요소인 것으로 나타났으며, 반면에 일사량은 가장 중요하지 않은 기상요소로서 나타났다.
풍속은 7월을 제외한 모든 월에서 유의수준 0.05에서 증발접시계수와 유의적인 선형관계가 있는 것으로 나타났다. 상대습도는 1월, 2월, 5월, 6월, 8월, 9월을 제외하고 나머지 월에서 유의수준 0.05에서 증발접시계수와 유의적인 선형관계가 있는 것으로 나타났다. 기온은 6월을 제외하고 나머지 모든 월에서 유의수준 0.05에서 증발접시계수와 유의적인 선형관계가 있는 것으로 나타났다. 일사량은 1월, 2월, 11월, 12월을 제외하고 나머지 월에서 유의수준 0.05에서 증발접시계수와 유의적인 선형관계가 있는 것으로 나타났다. 전반적으로 모든 월에서 기온과 일사량이 풍속이나 상대습도에 비해서 증발접시계수에 대하여 영향력이 큰 것으로 나타났다.
본 연구에서 증발접시계수는 Eq. (1)에서 표시된 바와 같이 FAO Penman-Monteith (FAO P-M) 기준증발산량과 증발접시증발량과의 상대적인 비로서 정의되고, 기준증발산량과 증발접시증발량 모두 기상요소에 직접적인 영향을 받는다. 분석결과에 의하면 기온이 높은 계절에 일사량이 증발접시계수에 상대적으로 큰 영향을 미치고, 기온이 낮은 계절에 기온이 증발접시계수에 상대적으로 큰 영향을 미치고 있다. 또한 풍속과 상대습도는 계절에 상관없이 영향이 작은 것으로 나타났다. 따라서 월별 기상요소가 증발접시계수에 미치는 민감도가 계절별로 차이가 있는 것으로 판단된다.
3.2 다변량 선형회귀모형
다변량 선형회귀모형은 3가지 다른 독립변수 조건(Models G~J)이 적용되었다(Table 1). Model H에서는 각 지역별로 풍속, 상대습도, 기온, 일사량을 입력자료(독립변수)로 적용하였다. Model I에서는 각 지역별로 풍속, 상대습도, 기온, 일조시간과 가조시간의 비, 일사량을 입력자료(독립변수)로 적용하였다. Model J에서는 각 지역별로 풍속, 상대습도, 기온, 일조시간과 가조시간의 비, 일사량을 입력자료(독립변수)로 다변량 선형회귀분석 방법 중에 하나인 단계입력방식(stepwise regression method)를 적용하여 분석하였다. Model G는 11개 전체 기상관측지역의 자료를 적용하여 유도된 모형으로서 11개 지역 전체의 기상자료(풍속, 상대습도, 기온, 일사량)의 평균값을 입력자료(독립변수)로 적용하였다. Table 1에서 보여주는 Model G의 매개변수를 포함한 월별 다변량 선형회귀모형은 아래 Eqs. (6)~(17)과 같다. 다변량 선형회귀모형에서 종속변수 Cp는 각 월별 증발접시계수를 나타내고, 독립변수인 u2는 풍속(km/day), RH는 상대습도(%), T는 기온(℃), Sol은 일사량(MJ/m2/day)를 나타낸다. 또한 기존에 다른 연구자들에 의해서 제안된 모형들과 적용성을 비교 검토하기 위해서 Table 1에서 보여주는 기존에 제안된 모형들(Models A~F)을 이용하여 증발접시계수를 산정하고 산정된 증발접시계수와 기준증발산량을 이용하여 증발량을 산정하였다.
3.3 증발접시계수 산정모형 비교
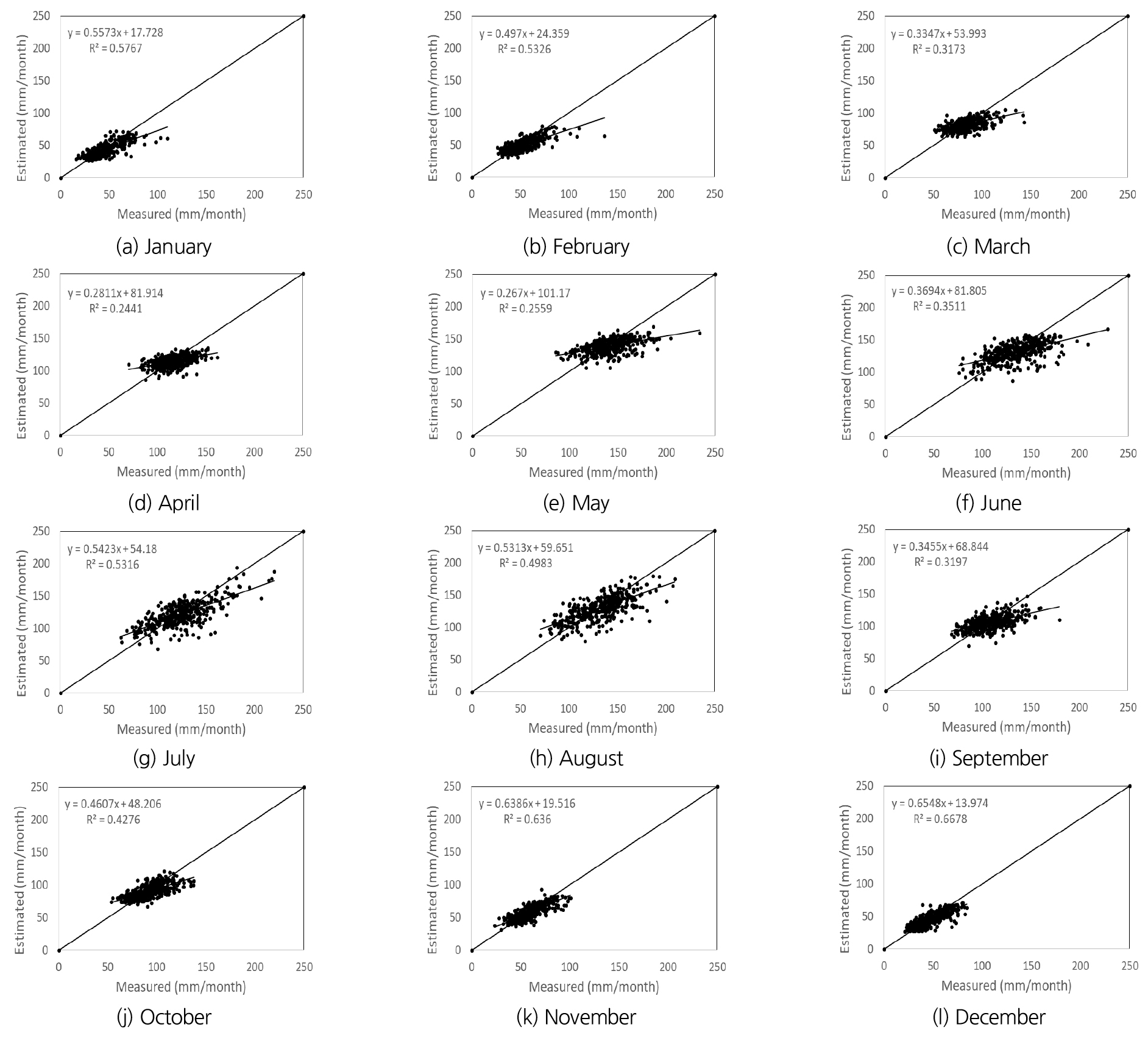
다변량 선형회귀모형의 적용성을 검토하기 위해 개발된 모형으로부터 산정된 증발량을 관측된 증발량과 비교하였다. 또한 과거 연구자들에 의해서 개발된 모형들과 비교 검토하였다. Tables 3~13은 11개 기상관측지점에서 증발접시계수 산정을 위해 유도된 4가지 다변량 선형회귀모형(Models G~J)과 기존에 다른 연구자들에 의해서 개발된 6가지 모형(Models A~F)을 적용하여 산정된 증발량이 관측된 증발량을 어느 정도 모의하는지를 보여주는 NSE 계수와 증발량 산정결과이다.
Table 3.
Monthly NSE coefficients at Seoul station
|
Model
|
A
|
B
|
C
|
D
|
E
|
F
|
G
|
H
|
I
|
J
|
pan E
|
|
Month
|
NSE
|
E
|
NSE
|
E
|
NSE
|
E
|
NSE
|
E
|
NSE
|
E
|
NSE
|
E
|
NSE
|
E
|
NSE
|
E
|
NSE
|
E
|
NSE
|
E
|
|
1
|
0.227
|
40.4
|
0.273
|
37.7
|
-0.808
|
46.1
|
0.297
|
38.7
|
0.224
|
40.5
|
0.165
|
39.2
| 0.316 |
41.0
|
0.418
|
38.3
|
0.421
|
38.3
|
0.411
|
38.3
|
38.9
|
|
2
|
-0.078
|
54.2
|
0.415
|
50.7
|
-1.975
|
61.2
|
0.313
|
51.8
|
-0.086
|
54.3
|
0.096
|
53.4
| 0.525 |
49.6
|
0.639
|
46.9
|
0.656
|
46.9
|
0.634
|
47.0
|
47.4
|
|
3
|
-0.683
|
94.6
|
0.034
|
88.6
|
-2.826
|
103.5
|
-0.026
|
90.4
|
-0.691
|
94.8
|
-0.448
|
93.7
| 0.398 |
83.2
|
0.478
|
83.0
|
0.477
|
83.0
|
-2.719
|
63.6
|
83.7
|
|
4
|
-1.459
|
138.1
|
-0.241
|
129.6
|
-2.498
|
143.3
|
-0.436
|
132.0
|
-1.503
|
138.4
|
-0.970
|
136.2
| 0.306 |
120.3
|
0.445
|
118.6
|
0.468
|
118.6
|
0.327
|
115.0
|
119.5
|
|
5
|
-1.619
|
168.1
|
-0.326
|
156.3
|
-1.482
|
167.9
|
-0.671
|
161.3
|
-1.691
|
168.7
|
-1.279
|
165.4
| 0.462 |
146.3
|
0.539
|
143.2
|
0.554
|
143.3
|
-
|
144.3
|
|
6
|
-0.112
|
159.6
|
0.513
|
146.4
|
0.036
|
157.4
|
0.249
|
154.0
|
-0.172
|
160.4
|
0.121
|
155.2
| 0.587 |
138.5
|
0.672
|
139.4
|
0.676
|
139.5
|
0.633
|
139.3
|
140.5
|
|
7
|
-0.669
|
127.3
|
0.278
|
114.4
|
-0.886
|
128.8
|
-0.323
|
124.2
|
-0.759
|
128.0
|
-0.210
|
122.4
| 0.347 |
115.3
|
0.564
|
109.1
|
0.617
|
109.3
|
0.542
|
109.0
|
110.2
|
|
8
|
0.182
|
136.0
|
0.506
|
123.0
|
0.196
|
135.1
|
0.350
|
132.3
|
0.137
|
136.7
|
0.391
|
131.0
| 0.537 |
126.8
|
0.619
|
122.4
|
0.651
|
122.4
|
-9.826
|
194.9
|
123.8
|
|
9
|
-0.201
|
118.7
|
0.121
|
108.5
|
-0.169
|
116.8
|
0.023
|
114.5
|
-0.237
|
119.1
|
0.073
|
113.7
| 0.378 |
109.9
|
0.585
|
108.6
|
0.606
|
108.6
|
0.546
|
108.4
|
109.7
|
|
10
|
-0.074
|
93.5
|
-0.103
|
86.2
|
-0.192
|
93.8
|
0.038
|
89.7
|
-0.093
|
93.7
|
0.083
|
90.3
| 0.317 |
89.8
|
0.422
|
89.8
|
0.462
|
89.8
|
0.340
|
89.7
|
90.6
|
|
11
|
-0.379
|
58.0
|
0.024
|
53.7
|
-1.405
|
61.8
|
-0.041
|
55.6
|
-0.409
|
58.1
|
-0.142
|
56.1
| 0.273 |
54.5
|
0.325
|
52.9
|
0.357
|
53.0
|
0.325
|
52.9
|
53.6
|
|
12
|
-0.423
|
40.8
|
-0.479
|
37.9
|
-1.675
|
45.6
|
-0.320
|
39.0
|
-0.422
|
40.9
|
-0.283
|
39.2
| -0.038 |
40.6
|
0.102
|
39.2
|
0.180
|
39.2
|
-7.890
|
24.7
|
39.8
|
Table 4.
Monthly NSE coefficients at Incheon station
|
Model
|
A
|
B
|
C
|
D
|
E
|
F
|
G
|
H
|
I
|
J
|
pan E
|
|
Month
|
NSE
|
E
|
NSE
|
E
|
NSE
|
E
|
NSE
|
E
|
NSE
|
E
|
NSE
|
E
|
NSE
|
E
|
NSE
|
E
|
NSE
|
E
|
NSE
|
E
|
|
1
|
0.102
|
44.1
|
-0.122
|
41.2
|
-0.662
|
55.5
|
0.008
|
42.6
| 0.113 |
44.5
|
0.062
|
44.0
|
0.009
|
42.4
|
0.201
|
45.3
|
0.311
|
45.6
|
0.275
|
45.7
|
46.9
|
|
2
| 0.282 |
54.7
|
0.256
|
51.2
|
-0.532
|
68.2
|
0.270
|
52.8
|
0.271
|
55.2
|
0.219
|
54.6
|
0.171
|
49.4
|
0.252
|
51.8
|
0.257
|
51.9
|
0.276
|
51.9
|
54.2
|
|
3
|
-0.467
|
88.3
|
-0.455
|
82.3
|
-2.532
|
106.8
|
-0.348
|
85.5
|
-0.495
|
89.3
|
-0.519
|
88.3
| -0.218 |
79.5
|
0.058
|
83.6
|
0.142
|
83.7
|
0.058
|
83.6
|
85.4
|
|
4
|
-1.122
|
122.7
|
-1.185
|
114.1
|
-2.537
|
139.2
|
-0.908
|
118.8
|
-1.154
|
124.0
|
-1.409
|
122.2
| -0.486 |
11.7
|
0.108
|
118.7
|
0.412
|
119.4
|
0.400
|
119.4
|
120.1
|
|
5
|
-0.437
|
146.1
|
-0.437
|
133.8
|
-0.654
|
156.7
|
-0.324
|
141.8
|
-0.454
|
147.3
|
-0.425
|
146.0
| -0.267 |
131.9
|
0.281
|
139.1
|
0.670
|
140.6
|
0.626
|
140.7
|
141.3
|
|
6
|
-0.157
|
142.1
|
-0.272
|
128.3
|
-0.113
|
147.7
|
-0.089
|
138.6
|
-0.172
|
143.0
| -0.027 |
139.2
|
-0.288
|
125.4
|
0.275
|
135.8
|
0.679
|
137.9
|
0.146
|
136.3
|
139.0
|
|
7
|
-0.084
|
125.9
|
-0.073
|
111.9
|
-0.166
|
131.9
|
-0.016
|
123.6
|
-0.099
|
126.4
| 0.072 |
125.8
|
-0.029
|
109.6
|
0.401
|
117.2
|
0.698
|
118.9
|
0.311
|
117.7
|
120.1
|
|
8
|
-0.084
|
135.0
|
-0.177
|
120.8
|
-0.047
|
138.3
|
-0.016
|
132.0
|
-0.100
|
135.6
| 0.096 |
133.6
|
0.032
|
120.4
|
0.375
|
128.8
|
0.733
|
130.2
|
0.692
|
130.2
|
131.2
|
|
9
|
0.216
|
116.3
|
-0.039
|
105.4
| 0.359 |
118.4
|
0.226
|
113.0
|
0.222
|
116.9
|
0.267
|
113.2
|
-0.091
|
105.6
|
0.488
|
114.5
|
0.690
|
115.2
|
0.702
|
115.2
|
115.9
|
|
10
|
0.287
|
93.0
|
-0.023
|
85.2
| 0.455 |
97.4
|
0.249
|
89.9
|
0.305
|
93.5
|
0.244
|
92.0
|
-0.033
|
89.4
|
0.555
|
93.9
|
0.607
|
94.1
|
0.484
|
93.9
|
95.2
|
|
11
|
-0.191
|
63.8
|
-0.092
|
59.1
|
-1.646
|
73.3
|
-0.033
|
61.7
|
-0.224
|
64.4
|
-0.309
|
64.1
| 0.063 |
58.0
|
0.440
|
59.4
|
0.565
|
59.8
|
0.474
|
59.8
|
60.4
|
|
12
|
-0.246
|
47.2
|
-0.322
|
43.9
|
-2.327
|
58.1
|
-0.216
|
45.6
|
-0.260
|
47.6
|
-0.349
|
47.3
| -0.116 |
43.8
|
0.069
|
45.4
|
0.105
|
45.4
|
-11.97
|
6 17.7
|
46.6
|
Table 5.
Monthly NSE coefficients at Suwon station
|
Model
|
A
|
B
|
C
|
D
|
E
|
F
|
G
|
H
|
I
|
J
|
pan E
|
|
Month
|
NSE
|
E
|
NSE
|
E
|
NSE
|
E
|
NSE
|
E
|
NSE
|
E
|
NSE
|
E
|
NSE
|
E
|
NSE
|
E
|
NSE
|
E
|
NSE
|
E
|
|
1
|
-2.073
|
28.5
|
-3.122
|
26.2
|
-1.420
|
30.2
|
-2.515
|
27.4
|
-2.057
|
28.5
|
-2.247
|
28.0
| -0.384 |
32.7
|
0.190
|
36.4
|
0.341
|
36.5
|
0.054
|
36.4
|
37.3
|
|
2
|
-0.642
|
40.7
|
-1.495
|
37.4
|
-0.276
|
43.3
|
-0.959
|
39.0
|
-0.621
|
40.7
|
-0.822
|
39.4
| -0.160 |
41.6
|
0.257
|
45.2
|
0.307
|
45.3
|
0.234
|
45.3
|
46.1
|
|
3
|
-0.417
|
74.2
|
-1.217
|
68.3
|
-0.173
|
78.0
|
-0.653
|
71.2
|
-0.390
|
74.3
|
-0.610
|
71.6
| 0.039 |
74.7
|
0.231
|
77.9
|
0.377
|
78.1
|
0.069
|
77.9
|
79.1
|
|
4
|
-1.021
|
110.4
|
-2.312
|
101.7
|
-0.789
|
111.8
|
-1.339
|
105.9
|
-0.981
|
110.6
|
-1.268
|
106.6
| -0.064 |
109.2
|
0.355
|
114.0
|
0.431
|
114.1
|
0.347
|
114.2
|
114.7
|
|
5
|
-1.359
|
140.0
|
-2.314
|
128.0
|
-1.186
|
138.1
|
-1.428
|
134.8
|
-1.334
|
140.4
|
-1.529
|
135.8
| -0.036 |
36.6
|
0.242
|
141.5
|
0.534
|
141.9
|
0.510
|
142.0
|
142.5
|
|
6
|
-0.115
|
140.5
|
-0.633
|
127.3
|
-0.112
|
137.7
|
-0.159
|
136.0
|
-0.116
|
141.0
|
-0.204
|
136.1
| 0.066 |
133.4
|
0.326
|
141.5
|
0.801
|
142.9
|
0.785
|
142.8
|
143.3
|
|
7
|
-0.067
|
122.4
|
-0.352
|
109.2
|
-0.065
|
121.8
|
-0.048
|
119.5
|
-0.075
|
122.7
|
-0.014
|
119.3
| 0.009 |
113.0
|
0.303
|
119.3
|
0.699
|
121.0
|
0.693
|
121.1
|
122.0
|
|
8
|
-0.036
|
127.6
|
-0.368
|
114.2
|
-0.064
|
125.6
|
-0.040
|
124.3
|
-0.043
|
127.9
|
0.006
|
124.2
| 0.150 |
121.6
|
0.418
|
126.5
|
0.790
|
127.8
|
0.790
|
127.9
|
128.7
|
|
9
|
-0.228
|
103.6
|
-0.946
|
93.4
|
-0.278
|
101.6
|
-0.310
|
100.4
|
-0.226
|
103.9
|
-0.194
|
100.6
| 0.116 |
101.6
|
0.457
|
106.5
|
0.606
|
107.1
|
0.581
|
107.0
|
107.8
|
|
10
|
-1.903
|
73.2
|
-4.187
|
66.3
|
-2.014
|
72.4
|
-2.553
|
70.7
|
-1.863
|
73.3
|
-2.516
|
71.2
| -0.302 |
78.7
|
0.302
|
84.8
|
0.370
|
84.9
|
0.303
|
84.9
|
85.7
|
|
11
|
-1.847
|
40.8
|
-3.335
|
37.1
|
-1.558
|
41.8
|
-2.337
|
39.3
|
-1.819
|
40.9
|
-2.255
|
39.6
| -0.590 |
44.1
|
0.124
|
48.9
|
0.178
|
49.0
|
0.105
|
49.0
|
49.8
|
|
12
|
-2.486
|
27.9
|
-3.628
|
25.5
|
-1.960
|
29.2
|
-2.919
|
26.8
|
-2.467
|
27.9
|
-2.728
|
27.3
| -0.695 |
32.1
|
0.127
|
36.3
|
0.149
|
36.4
|
0.117
|
36.3
|
37.3
|
Table 6.
Monthly NSE coefficients at Seosan station
|
Model
|
A
|
B
|
C
|
D
|
E
|
F
|
G
|
H
|
I
|
J
|
pan E
|
|
Month
|
NSE
|
E
|
NSE
|
E
|
NSE
|
E
|
NSE
|
E
|
NSE
|
E
|
NSE
|
E
|
NSE
|
E
|
NSE
|
E
|
NSE
|
E
|
NSE
|
E
|
|
1
|
-0.852
|
29.6
|
-1.480
|
26.9
|
-0.378
|
34.4
|
-1.015
|
28.7
|
-0.827
|
29.8
|
-1.092
|
28.5
| -0.168 |
33.3
|
-0.001
|
34.9
|
0.074
|
35.1
|
0.022
|
35.1
|
36.2
|
|
2
|
-0.126
|
42.2
|
-0.510
|
38.5
|
-0.177
|
48.6
|
-0.225
|
40.8
|
-0.114
|
42.4
|
-0.284
|
40.6
| 0.141 |
42.8
|
0.432
|
44.8
|
0.550
|
44.9
|
0.547
|
44.9
|
45.7
|
|
3
|
0.087
|
76.7
|
-0.737
|
70.2
|
-0.871
|
87.7
|
-0.084
|
74.2
|
0.100
|
77.2
|
-0.455
|
75.2
| 0.255 |
76.4
|
0.463
|
78.8
|
0.479
|
78.8
|
-6.262
|
54.7
|
79.4
|
|
4
|
0.335
|
113.1
|
0.238
|
103.7
|
-0.844
|
123.1
| 0.462 |
109.4
|
0.289
|
113.8
|
-0.074
|
112.4
|
0.402
|
108.8
|
0.609
|
108.7
|
0.619
|
108.6
|
0.037
|
100.0
|
109.2
|
|
5
|
0.119
|
144.9
|
0.148
|
131.7
|
-0.644
|
152.5
|
0.305
|
140.8
|
0.053
|
145.8
|
0.088
|
141.0
| 0.360 |
132.4
|
0.627
|
137.9
|
0.670
|
138.0
|
0.654
|
137.9
|
138.5
|
|
6
|
-0.122
|
143.4
|
0.045
|
128.9
|
-0.421
|
146.7
|
0.028
|
139.8
|
-0.165
|
144.1
|
0.068
|
138.1
| 0.314 |
130.5
|
0.443
|
133.1
|
0.890
|
134.2
|
0.873
|
134.1
|
134.6
|
|
7
|
-0.607
|
125.0
|
-0.068
|
110.6
|
-1.221
|
130.2
|
-0.438
|
122.8
|
-0.637
|
125.3
|
-0.614
|
124.1
| 0.108 |
111.7
|
0.438
|
111.6
|
0.754
|
112.2
|
0.740
|
112.2
|
113.0
|
|
8
|
0.103
|
132.3
|
0.192
|
117.4
|
-0.031
|
135.1
|
0.217
|
129.7
|
0.078
|
132.7
|
0.202
|
129.8
| 0.474 |
119.2
|
0.573
|
123.0
|
0.727
|
123.5
|
-12.481
|
195.8
|
124.3
|
|
9
|
0.344
|
106.3
|
0.286
|
95.1
|
0.203
|
108.6
|
0.378
|
103.8
|
0.335
|
106.7
|
0.372
|
103.5
| 0.430 |
100.7
|
0.647
|
100.9
|
0.804
|
101.5
|
0.751
|
101.0
|
102.4
|
|
10
|
-0.214
|
77.8
|
-1.702
|
70.0
|
-0.029
|
80.8
|
-0.477
|
75.6
|
-0.188
|
78.1
|
-0.609
|
74.7
| 0.243 |
81.4
|
0.388
|
82.6
|
0.582
|
82.8
|
0.591
|
82.8
|
83.3
|
|
11
|
0.272
|
44.2
|
-0.338
|
40.0
|
0.305
|
48.6
|
0.154
|
43.0
|
0.285
|
44.4
|
0.132
|
42.8
| 0.511 |
46.9
|
0.521
|
46.8
|
0.603
|
46.9
|
-
|
47.5
|
|
12
|
-0.165
|
30.2
|
-0.653
|
27.4
| 0.285 |
34.9
|
-0.282
|
29.4
|
-0.140
|
30.4
|
-0.341
|
29.0
|
0.187
|
34.0
|
0.561
|
35.1
|
0.606
|
35.1
|
-3.102
|
19.4
|
35.9
|
Table 7.
Monthly NSE coefficients at Cheongju station
|
Model
|
A
|
B
|
C
|
D
|
E
|
F
|
G
|
H
|
I
|
J
|
pan E
|
|
Month
|
NSE
|
E
|
NSE
|
E
|
NSE
|
E
|
NSE
|
E
|
NSE
|
E
|
NSE
|
E
|
NSE
|
E
|
NSE
|
E
|
NSE
|
E
|
NSE
|
E
|
|
1
|
-0.654
|
29.3
|
-1.110
|
26.8
|
-0.432
|
31.5
|
-0.761
|
28.2
|
-0.636
|
29.4
|
-0.830
|
28.5
| -0.108 |
32.8
|
0.140
|
31.1
|
0.276
|
31.3
|
0.135
|
31.1
|
32.3
|
|
2
|
-0.532
|
43.5
|
-0.687
|
40.1
|
-0.433
|
46.2
|
-0.426
|
41.6
|
-0.488
|
43.5
|
-0.385
|
41.8
| 0.041 |
42.8
|
0.293
|
42.5
|
0.631
|
42.8
|
0.635
|
42.9
|
43.2
|
|
3
|
-0.546
|
83.3
|
-0.423
|
77.3
|
-0.540
|
85.9
|
-0.188
|
79.5
|
-0.467
|
83.2
|
-0.158
|
79.3
| 0.308 |
77.9
|
0.408
|
78.6
|
0.611
|
79.0
|
0.622
|
79.1
|
80.0
|
|
4
|
-0.537
|
125.4
|
-0.291
|
116.8
|
-0.118
|
124.3
|
-0.140
|
119.5
|
-0.452
|
125.2
|
-0.054
|
119.4
| 0.315 |
114.7
|
0.522
|
118.5
|
0.748
|
119.0
|
0.738
|
119.0
|
119.3
|
|
5
|
-0.970
|
161.4
|
-0.320
|
149.4
|
-0.414
|
155.9
|
-0.397
|
154.3
|
-0.940
|
161.4
|
-0.507
|
155.6
| 0.334 |
145.1
|
0.508
|
148.0
|
0.703
|
148.3
|
0.683
|
148.2
|
148.8
|
|
6
|
-0.384
|
155.2
|
-0.060
|
142.0
|
-0.019
|
150.1
|
-0.063
|
149.5
|
-0.398
|
155.6
|
-0.312
|
150.7
| 0.327 |
139.1
|
0.474
|
144.0
|
0.796
|
144.9
|
0.774
|
144.7
|
145.4
|
|
7
|
-0.406
|
134.1
|
-0.169
|
120.5
|
-0.278
|
132.8
|
-0.201
|
130.5
|
-0.444
|
134.6
|
-0.174
|
129.7
| 0.209 |
121.0
|
0.364
|
123.9
|
0.647
|
124.9
|
0.641
|
124.9
|
125.8
|
|
8
|
0.025
|
134.7
|
-0.208
|
121.2
|
0.099
|
132.6
|
0.093
|
131.0
|
0.009
|
135.2
|
0.089
|
130.6
| 0.272 |
126.0
|
0.456
|
131.1
|
0.884
|
132.3
|
0.884
|
132.3
|
132.5
|
|
9
|
0.171
|
105.3
|
-0.102
|
95.1
|
0.169
|
104.1
|
0.182
|
102.1
|
0.161
|
105.6
|
0.172
|
101.8
| 0.423 |
102.1
|
0.514
|
103.5
|
0.692
|
104.2
|
0.669
|
104.0
|
104.6
|
|
10
|
0.324
|
76.0
|
-0.601
|
69.0
|
0.255
|
75.5
|
0.066
|
73.3
|
0.334
|
76.1
|
0.079
|
74.4
| 0.453 |
80.9
|
0.626
|
80.8
|
0.694
|
81.0
|
0.690
|
80.9
|
81.4
|
|
11
|
-0.530
|
42.3
|
-1.932
|
38.5
|
-0.301
|
43.7
|
-0.892
|
40.8
|
-0.505
|
42.4
|
-0.869
|
41.2
| 0.154 |
45.1
|
0.315
|
45.6
|
0.485
|
45.7
|
0.477
|
45.8
|
46.0
|
|
12
|
-0.754
|
28.1
|
-1.571
|
25.6
|
-0.375
|
29.7
|
-0.973
|
27.1
|
-0.736
|
28.1
|
-0.966
|
27.5
| 0.037 |
32.4
|
0.247
|
31.3
|
0.674
|
31.8
|
0.658
|
31.8
|
32.1
|
Table 8.
Monthly NSE coefficients at Daejeon station
|
Model
|
A
|
B
|
C
|
D
|
E
|
F
|
G
|
H
|
I
|
J
|
pan E
|
|
Month
|
NSE
|
E
|
NSE
|
E
|
NSE
|
E
|
NSE
|
E
|
NSE
|
E
|
NSE
|
E
|
NSE
|
E
|
NSE
|
E
|
NSE
|
E
|
NSE
|
E
|
|
1
|
-0.396
|
31.3
|
-0.572
|
28.7
|
-0.692
|
32.7
|
-0.450
|
30.0
|
-0.404
|
31.3
|
-0.348
|
30.9
| -0.229 |
34.0
|
0.141
|
30.9
|
0.334
|
31.2
|
0.368
|
31.2
|
32.2
|
|
2
|
-0.932
|
47.8
|
-0.438
|
44.2
|
-1.451
|
49.6
|
-0.548
|
45.7
|
-0.920
|
47.8
|
-0.571
|
46.3
| -0.246 |
45.9
|
0.236
|
41.1
|
0.591
|
41.8
|
0.176
|
41.2
|
42.3
|
|
3
|
-2.219
|
89.3
|
-0.748
|
83.0
|
-2.888
|
90.9
|
-1.041
|
85.1
|
-2.152
|
89.1
|
-0.973
|
85.3
| 0.027 |
81.1
|
0.476
|
75.2
|
0.672
|
75.5
|
0.577
|
75.5
|
75.8
|
|
4
|
-1.925
|
135.3
|
-0.615
|
126.0
|
-1.624
|
133.1
|
-0.845
|
128.8
|
-1.866
|
135.0
|
-0.667
|
127.9
| 0.187 |
117.6
|
0.359
|
113.7
|
0.703
|
113.1
|
0.697
|
114.4
|
114.9
|
|
5
|
-3.478
|
165.5
|
-1.237
|
152.7
|
-2.430
|
160.9
|
-2.022
|
158.6
|
-3.530
|
165.8
|
-2.452
|
161.1
| 0.102 |
145.7
|
0.261
|
140.2
|
0.563
|
140.8
|
0.549
|
140.7
|
141.3
|
|
6
|
-2.010
|
155.9
|
-0.412
|
141.9
|
-1.394
|
151.7
|
-1.228
|
150.5
|
-2.093
|
156.4
|
-1.555
|
152.3
| 0.079 |
140.2
|
0.457
|
129.7
|
0.899
|
130.7
|
0.895
|
130.6
|
131.0
|
|
7
|
-0.480
|
141.5
|
0.465
|
126.8
|
-0.414
|
140.6
|
-0.170
|
138.0
|
-0.529
|
142.0
|
-0.127
|
137.0
| 0.538 |
126.0
|
0.683
|
117.7
|
0.881
|
118.5
|
0.877
|
118.5
|
119.0
|
|
8
|
-0.762
|
143.8
|
0.206
|
129.0
|
-0.586
|
141.7
|
-0.416
|
140.0
|
-0.815
|
144.2
|
-0.344
|
139.2
| 0.350 |
130.4
|
0.580
|
120.0
|
0.863
|
121.0
|
-6.338
|
177.5
|
121.6
|
|
9
|
-1.268
|
110.4
|
-0.051
|
99.5
|
-1.143
|
109.2
|
-0.748
|
107.2
|
-1.337
|
110.8
|
-0.839
|
107.5
| -0.071 |
104.9
|
0.663
|
94.7
|
0.889
|
95.2
|
0.507
|
94.7
|
95.4
|
|
10
|
-0.177
|
79.9
|
-0.080
|
72.4
|
-0.187
|
79.0
|
-0.046
|
77.2
|
-0.195
|
80.1
| -0.029 |
77.8
|
-0.264
|
82.2
|
0.421
|
74.8
|
0.688
|
75.2
|
0.595
|
75.1
|
75.7
|
|
11
|
-0.609
|
44.0
|
-0.598
|
40.0
|
-0.675
|
44.7
|
-0.481
|
42.5
|
-0.615
|
44.1
|
-0.604
|
43.3
| -0.466 |
46.5
|
0.252
|
41.3
|
0.455
|
41.6
|
0.147
|
41.4
|
42.3
|
|
12
|
-1.136
|
29.1
|
-1.733
|
26.5
|
-1.186
|
30.2
|
-1.246
|
28.0
|
-1.129
|
29.2
|
-1.243
|
28.7
| -0.795 |
33.2
|
0.313
|
30.4
|
0.382
|
30.4
|
0.260
|
30.4
|
30.9
|
Table 9.
Monthly NSE coefficients at Pohang station
|
Model
|
A
|
B
|
C
|
D
|
E
|
F
|
G
|
H
|
I
|
J
|
pan E
|
|
Month
|
NSE
|
E
|
NSE
|
E
|
NSE
|
E
|
NSE
|
E
|
NSE
|
E
|
NSE
|
E
|
NSE
|
E
|
NSE
|
E
|
NSE
|
E
|
NSE
|
E
|
|
1
| 0.122 |
70.4
|
0.026
|
66.7
|
-0.265
|
76.9
|
0.015
|
66.7
|
0.111
|
70.0
|
-0.125
|
67.0
|
-1.093
|
56.6
|
0.342
|
69.8
|
0.426
|
70.0
|
0.383
|
69.8
|
71.0
|
|
2
|
0.496
|
75.9
|
0.538
|
71.8
|
0.073
|
81.7
| 0.544 |
72.0
|
0.504
|
75.5
|
0.416
|
73.2
|
-0.148
|
59.8
|
0.616
|
71.3
|
0.620
|
71.4
|
0.615
|
71.3
|
72.5
|
|
3
|
0.030
|
111.0
| 0.419 |
104.4
|
-0.92
|
118.3
|
0.387
|
105.8
|
0.023
|
111.0
|
0.159
|
107.4
|
0.150
|
88.6
|
0.732
|
97.5
|
0.805
|
97.8
|
0.809
|
97.7
|
98.3
|
|
4
|
-0.619
|
148.0
| 0.131 |
138.8
|
-1.258
|
152.5
|
0.056
|
141.6
|
-0.642
|
148.4
|
-0.302
|
145.4
|
0.013
|
121.1
|
0.738
|
131.7
|
0.801
|
132.0
|
0.264
|
123.5
|
132.4
|
|
5
|
0.374
|
170.0
| 0.522 |
157.3
|
0.182
|
173.1
|
0.489
|
163.8
|
0.336
|
171.0
|
0.203
|
172.2
|
-0.066
|
144.9
|
0.677
|
159.4
|
0.811
|
159.8
|
0.745
|
159.4
|
160.7
|
|
6
|
0.295
|
149.7
| 0.514 |
135.7
|
0.012
|
153.7
|
0.447
|
145.7
|
0.246
|
150.6
|
0.330
|
145.3
|
0.372
|
130.4
|
0.702
|
138.1
|
0.702
|
138.1
|
0.701
|
138.1
|
139.1
|
|
7
|
0.444
|
149.3
|
0.601
|
134.1
|
0.331
|
152.3
|
0.536
|
145.8
|
0.417
|
150.0
|
0.488
|
147.5
| 0.611 |
127.9
|
0.728
|
135.8
|
0.805
|
136.2
|
0.751
|
136.0
|
137.4
|
|
8
|
0.422
|
147.1
|
0.508
|
132.1
|
0.272
|
149.7
|
0.491
|
143.8
|
0.396
|
147.9
|
0.428
|
143.0
| 0.587 |
132.9
|
0.649
|
135.9
|
0.791
|
136.6
|
0.745
|
136.6
|
137.6
|
|
9
|
-0.740
|
113.7
|
0.084
|
102.7
|
-1.463
|
118.0
|
-0.396
|
110.9
|
0.848
|
114.4
|
-0.683
|
112.0
| 0.328 |
101.6
|
0.358
|
99.5
|
0.668
|
100.2
|
-18.878
|
163.2
|
100.8
|
|
10
|
0.283
|
106.7
| 0.437 |
98.4
|
0.060
|
109.0
|
0.410
|
102.8
|
0.252
|
107.2
|
0.182
|
105.6
|
0.262
|
96.6
|
0.555
|
98.7
|
0.796
|
99.4
|
0.799
|
99.3
|
99.9
|
|
11
|
0.288
|
79.9
| 0.445 |
74.8
|
-0.052
|
83.1
|
0.437
|
76.3
|
0.287
|
80.0
|
0.256
|
77.3
|
-0.097
|
65.4
|
0.591
|
74.0
|
0.668
|
74.2
|
-
|
74.9
|
|
12
|
-0.276
|
-0.273
|
-1.075
| -0.170 |
-0.217
|
-0.285
|
-2.185
|
56.3
|
0.317
|
67.2
|
0.436
|
67.3
|
-14.378
|
39.7
|
67.8
|
Table 10.
Monthly NSE coefficients at Jeonju station
|
Model
|
A
|
B
|
C
|
D
|
E
|
F
|
G
|
H
|
I
|
J
|
pan E
|
|
Month
|
NSE
|
E
|
NSE
|
E
|
NSE
|
E
|
NSE
|
E
|
NSE
|
E
|
NSE
|
E
|
NSE
|
E
|
NSE
|
E
|
NSE
|
E
|
NSE
|
E
|
|
1
|
-0.517
|
32.2
|
-0.694
|
29.4
|
-0.551
|
34.0
|
-0.547
|
30.9
|
-0.515
|
32.2
|
-0.562
|
31.7
| -0.268 |
34.1
|
-0.051
|
32.5
|
-0.037
|
32.6
|
-0.191
|
32.5
|
34.3
|
|
2
|
-0.243
|
45.8
|
-0.023
|
42.1
|
-0.651
|
47.9
|
-0.034
|
43.9
|
-0.244
|
45.9
|
-0.072
|
44.7
| 0.187 |
44.2
|
0.264
|
41.3
|
0.361
|
41.5
|
-3.260
|
27.4
|
42.3
|
|
3
|
-0.201
|
84.7
|
0.207
|
78.3
|
-0.598
|
87.1
|
0.130
|
81.1
|
-0.202
|
84.8
|
0.192
|
81.8
| 0.239 |
79.5
|
0.560
|
74.8
|
0.560
|
74.7
|
0.501
|
74.4
|
75.7
|
|
4
|
-2.552
|
127.6
|
-0.870
|
118.3
|
-2.241
|
125.8
|
-1.164
|
121.8
|
-2.507
|
127.5
|
-0.847
|
122.4
| 0.124 |
115.4
|
0.763
|
110.8
|
0.841
|
111.0
|
0.733
|
110.8
|
111.2
|
|
5
|
-1.282
|
160.7
|
0.064
|
147.8
|
-0.583
|
155.4
|
-0.353
|
154.1
|
-1.310
|
160.9
|
-0.571
|
156.6
| 0.400 |
144.8
|
0.797
|
140.5
|
0.846
|
140.7
|
0.824
|
140.8
|
140.9
|
|
6
|
-0.304
|
154.3
|
0.321
|
140.4
|
0.068
|
149.4
|
0.101
|
149.0
|
-0.351
|
154.8
|
-0.049
|
150.0
| 0.414 |
141.3
|
0.688
|
138.0
|
0.728
|
138.1
|
0.720
|
138.2
|
138.8
|
|
7
|
-1.060
|
139.5
|
0.079
|
125.1
|
-0.832
|
137.5
|
-0.616
|
135.8
|
-1.138
|
140.0
|
-0.362
|
134.5
| 0.164 |
127.8
|
0.693
|
119.4
|
0.733
|
119.5
|
0.674
|
119.2
|
120.1
|
|
8
|
0.193
|
143.7
|
0.436
|
129.2
|
0.313
|
140.3
|
0.355
|
139.7
|
0.165
|
144.2
| 0.461 |
138.4
|
0.406
|
135.8
|
0.754
|
130.7
|
0.818
|
131.1
|
0.774
|
131.1
|
131.6
|
|
9
|
0.246
|
113.3
|
0.360
|
102.3
|
0.341
|
110.4
|
0.390
|
109.7
|
0.225
|
113.6
|
0.357
|
109.5
| 0.501 |
106.6
|
0.696
|
105.8
|
0.830
|
106.1
|
0.783
|
106.1
|
106.5
|
|
10
|
-0.281
|
85.3
|
-0.856
|
77.6
|
-0.416
|
83.7
|
-0.343
|
82.2
|
-0.286
|
85.5
|
-0.254
|
83.4
| 0.016 |
85.4
|
0.502
|
85.6
|
0.613
|
85.6
|
0.584
|
85.6
|
86.0
|
|
11
|
-2.091
|
47.7
|
-1.901
|
43.5
|
-2.286
|
48.4
|
-1.758
|
45.9
|
-2.101
|
47.8
|
-2.016
|
46.9
| -1.048 |
48.1
|
0.209
|
44.4
|
0.207
|
44.4
|
0.052
|
44.3
|
45.1
|
|
12
|
-0.377
|
32.0
|
-0.478
|
29.1
|
-0.457
|
33.6
|
-0.348
|
30.8
|
-0.375
|
32.1
|
-0.435
|
31.0
| -0.342 |
34.8
|
0.134
|
30.9
|
0.129
|
30.9
|
-0.107
|
30.8
|
32.1
|
Table 11.
Monthly NSE coefficients at Busan station
|
Model
|
A
|
B
|
C
|
D
|
E
|
F
|
G
|
H
|
I
|
J
|
pan E
|
|
Month
|
NSE
|
E
|
NSE
|
E
|
NSE
|
E
|
NSE
|
E
|
NSE
|
E
|
NSE
|
E
|
NSE
|
E
|
NSE
|
E
|
NSE
|
E
|
NSE
|
E
|
|
1
|
-6.292
|
84.9
|
-4.443
|
81.2
|
-12.441
|
94.2
|
-4.051
|
80.6
|
-6.020
|
84.6
|
-3.840
|
80.5
| -0.023 |
63.5
|
0.104
|
62.7
|
0.406
|
63.1
|
0.381
|
63.1
|
63.8
|
|
2
|
-4.564
|
90.2
|
-2.900
|
85.8
|
-9.933
|
100.4
|
-2.857
|
85.9
|
-4.534
|
90.2
|
-3.151
|
86.8
| 0.585 |
67.0
|
0.639
|
66.4
|
0.710
|
66.5
|
0.612
|
66.6
|
67.0
|
|
3
|
-5.392
|
123.0
|
-3.163
|
116.3
|
-12.139
|
138.0
|
-3.658
|
118.1
|
-5.698
|
123.9
|
-4.391
|
120.3
| 0.425 |
99.9
|
0.632
|
90.3
|
0.753
|
90.7
|
0.717
|
90.7
|
91.1
|
|
4
|
0.208
|
148.5
|
0.525
|
139.0
|
-0.427
|
162.6
|
0.402
|
143.3
|
0.152
|
149.9
|
0.218
|
148.4
| 0.905 |
119.8
|
0.969
|
109.3
|
0.979
|
109.6
|
0.976
|
109.7
|
109.9
|
|
5
|
-5.432
|
164.5
|
-2.183
|
151.5
|
-9.154
|
175.7
|
-4.026
|
159.7
|
-5.906
|
166.1
|
-5.804
|
165.0
| -0.142 |
136.8
|
0.661
|
123.5
|
0.789
|
123.9
|
0.788
|
123.8
|
124.3
|
|
6
|
-3.711
|
143.9
|
-0.973
|
130.0
|
-5.970
|
152.4
|
-2.858
|
140.5
|
-3.985
|
144.9
|
-3.287
|
142.6
| 0.029 |
122.1
|
0.561
|
111.1
|
0.667
|
111.3
|
0.530
|
111.5
|
112.1
|
|
7
|
-1.236
|
144.8
|
0.150
|
129.0
|
-2.716
|
155.3
|
-0.941
|
142.4
|
-1.350
|
145.6
|
-1.261
|
145.3
| 0.682 |
119.6
|
0.726
|
114.9
|
0.773
|
115.3
|
0.765
|
115.3
|
116.2
|
|
8
|
-0.871
|
163.4
|
0.261
|
147.2
|
-1.533
|
170.1
|
-0.566
|
160.1
|
-0.995
|
164.7
|
-0.842
|
163.2
| 0.702 |
136.4
|
0.769
|
129.3
|
0.925
|
130.1
|
0.920
|
130.2
|
130.4
|
|
9
|
-6.632
|
137.5
|
-2.567
|
125.5
|
-9.132
|
143.2
|
-5.163
|
134.0
|
-7.171
|
138.8
|
-6.500
|
136.7
| 0.127 |
112.5
|
0.550
|
104.1
|
0.684
|
104.4
|
-0.807
|
90.2
|
104.8
|
|
10
|
-12.123
|
128.1
|
-6.139
|
119.0
|
-15.005
|
131.7
|
-8.524
|
123.4
|
-12.789
|
128.9
|
-12.592
|
128.6
| -0.661 |
106.7
|
0.234
|
98.5
|
0.419
|
98.6
|
0.295
|
98.7
|
99.0
|
|
11
|
-3.591
|
95.7
|
-1.695
|
89.9
|
-6.148
|
101.2
|
-2.121
|
91.5
|
-3.710
|
96.0
|
-2.923
|
93.7
| 0.577 |
73.7
|
0.642
|
73.9
|
0.685
|
73.9
|
0.656
|
73.9
|
74.4
|
|
12
|
-6.420
|
85.3
|
-4.025
|
81.2
|
-12.383
|
92.9
|
-3.879
|
81.1
|
-6.280
|
85.1
|
-4.130
|
81.6
| 0.120 |
64.2
|
0.276
|
65.7
|
0.474
|
66.0
|
0.278
|
66.0
|
66.4
|
Table 12.
Monthly NSE coefficients at Mokpo station
|
Model
|
A
|
B
|
C
|
D
|
E
|
F
|
G
|
H
|
I
|
J
|
pan E
|
|
Month
|
NSE
|
E
|
NSE
|
E
|
NSE
|
E
|
NSE
|
E
|
NSE
|
E
|
NSE
|
E
|
NSE
|
E
|
NSE
|
E
|
NSE
|
E
|
NSE
|
E
|
|
1
|
-2.300
|
53.0
|
-1.383
|
49.0
|
-12.464
|
69.9
|
-1.819
|
51.7
|
-2.567
|
53.7
|
-1.930
|
51.8
| -0.249 |
44.8
|
0.180
|
42.6
|
0.343
|
42.9
|
0.339
|
42.9
|
43.8
|
|
2
|
-3.148
|
60.5
|
-1.767
|
55.9
|
-18.121
|
79.6
|
-2.491
|
59.0
|
-3.576
|
61.3
|
-2.556
|
58.9
| -0.184 |
51.1
|
0.271
|
48.5
|
0.411
|
48.8
|
0.298
|
48.8
|
49.5
|
|
3
|
-2.907
|
95.4
|
-1.632
|
88.4
|
-13.631
|
118.6
|
-2.214
|
92.9
|
-3.288
|
96.7
|
-2.494
|
93.2
| -0.154 |
81.9
|
0.082
|
79.0
|
0.402
|
79.5
|
0.391
|
79.5
|
80.4
|
|
4
|
-3.873
|
127.2
|
-2.001
|
117.3
|
-11.825
|
146.1
|
-2.795
|
123.8
|
-4.342
|
128.7
|
-3.723
|
125.8
| -0.103 |
109.9
|
0.388
|
109.2
|
0.695
|
109.7
|
0.695
|
109.7
|
110.1
|
|
5
|
-2.258
|
154.0
|
-1.058
|
140.3
|
-4.789
|
168.1
|
-1.688
|
150.1
|
-2.487
|
155.4
|
-2.038
|
153.3
| -0.125 |
130.5
|
0.067
|
130.6
|
0.772
|
132.3
|
0.753
|
133.1
|
132.9
|
|
6
|
-1.585
|
143.2
|
-0.497
|
128.6
|
-2.821
|
152.2
|
-1.215
|
140.2
|
-1.722
|
144.1
|
-1.554
|
143.0
| 0.083 |
122.3
|
0.156
|
119.7
|
0.855
|
121.5
|
0.844
|
121.5
|
122.0
|
|
7
|
-0.474
|
144.7
|
0.274
|
128.6
|
-1.228
|
153.8
|
-0.287
|
142.3
|
-0.541
|
145.3
|
-0.578
|
146.0
| 0.638 |
124.0
|
0.682
|
119.8
|
0.839
|
120.6
|
0.838
|
120.4
|
121.4
|
|
8
|
-0.476
|
160.9
|
0.180
|
144.0
|
-0.886
|
166.7
|
-0.267
|
157.7
|
-0.558
|
161.8
|
-0.426
|
160.3
| 0.500 |
135.8
|
0.551
|
137.6
|
0.798
|
138.9
|
-3.496
|
87.3
|
139.6
|
|
9
|
-1.725
|
133.8
|
-0.552
|
121.1
|
-2.783
|
140.2
|
-1.231
|
130.6
|
-1.918
|
134.8
|
-1.585
|
132.2
| 0.118 |
109.9
|
0.343
|
112.9
|
0.688
|
114.5
|
0.657
|
113.6
|
114.5
|
|
10
|
-3.395
|
117.0
|
-1.586
|
107.5
|
-7.016
|
127.1
|
-2.414
|
113.8
|
-3.776
|
118.2
|
-3.641
|
116.6
| 0.130 |
99.9
|
0.347
|
99.2
|
0.587
|
99.4
|
0.313
|
99.2
|
100.0
|
|
11
|
-2.941
|
77.1
|
-1.645
|
71.3
|
-8.840
|
90.3
|
-2.225
|
75.0
|
-3.244
|
78.0
|
-2.610
|
76.1
| -0.027 |
65.4
|
0.360
|
62.6
|
0.545
|
62.8
|
0.546
|
62.8
|
63.4
|
|
12
|
-2.379
|
55.5
|
-1.506
|
51.2
|
-9.415
|
70.0
|
-1.876
|
54.0
|
-2.599
|
56.1
|
-2.224
|
54.7
| -0.284 |
47.7
|
0.163
|
44.8
|
0.322
|
45.0
|
0.299
|
44.9
|
46.0
|
Table 13.
Monthly NSE coefficients at Jeju station
|
Model
|
A
|
B
|
C
|
D
|
E
|
F
|
G
|
H
|
I
|
J
|
pan E
|
|
Month
|
NSE
|
E
|
NSE
|
E
|
NSE
|
E
|
NSE
|
E
|
NSE
|
E
|
NSE
|
E
|
NSE
|
E
|
NSE
|
E
|
NSE
|
E
|
NSE
|
E
|
|
1
|
-6.030
|
68.8
|
-3.734
|
64.2
|
-18.831
|
84.5
|
-4.803
|
66.7
|
-6.543
|
69.6
|
-5.929
|
68.6
| -0.030 |
49.4
|
0.502
|
49.1
|
0.526
|
49.1
|
0.497
|
49.0
|
49.7
|
|
2
|
-2.196
|
71.3
|
-0.881
|
66.4
|
-9.248
|
85.4
|
-1.437
|
69.0
|
-2.459
|
72.1
|
-2.135
|
71.1
| 0.370 |
54.9
|
0.526
|
55.8
|
0.559
|
55.9
|
-1.544
|
43.1
|
56.6
|
|
3
|
-2.322
|
103.4
|
-1.001
|
96.3
|
-7.056
|
117.9
|
-1.411
|
99.9
|
-2.532
|
104.4
|
-2.421
|
103.4
| 0.229 |
84.3
|
0.563
|
86.1
|
0.673
|
86.2
|
0.613
|
86.2
|
86.7
|
|
4
|
-2.598
|
132.2
|
-0.864
|
122.3
|
-5.573
|
143.2
|
-1.494
|
127.7
|
-2.827
|
133.2
|
-2.742
|
132.8
| 0.241 |
112.5
|
0.506
|
111.5
|
0.666
|
111.8
|
0.607
|
111.8
|
112.2
|
|
5
|
-0.939
|
157.3
|
0.057
|
144.0
|
-1.747
|
164.5
|
-0.349
|
152.5
|
-1.066
|
158.4
|
-1.097
|
157.5
| 0.318 |
135.6
|
0.582
|
136.7
|
0.778
|
137.4
|
0.777
|
137.3
|
137.8
|
|
6
|
-0.415
|
144.2
|
0.434
|
130.0
|
-1.086
|
150.6
|
-0.068
|
140.8
|
-0.517
|
145.1
|
-0.277
|
143.1
| 0.395 |
125.0
|
0.734
|
125.5
|
0.875
|
125.9
|
0.869
|
125.8
|
126.2
|
|
7
|
0.430
|
170.7
| 0.589 |
153.7
|
0.339
|
174.3
|
0.543
|
166.8
|
0.391
|
171.8
|
0.521
|
169.5
|
0.483
|
143.1
|
0.826
|
156.3
|
0.886
|
156.8
|
0.865
|
156.7
|
157.3
|
|
8
|
-0.066
|
168.0
|
0.480
|
151.7
|
-0.084
|
169.8
|
0.232
|
163.9
|
-0.153
|
169.0
|
-0.091
|
167.5
| 0.645 |
146.1
|
0.791
|
151.0
|
0.867
|
151.4
|
0.864
|
151.3
|
151.8
|
|
9
|
-0.305
|
133.5
| 0.366 |
121.3
|
-0.665
|
137.0
|
0.031
|
129.9
|
-0.415
|
134.4
|
-0.265
|
131.4
|
0.013
|
110.6
|
0.473
|
118.7
|
0.595
|
119.2
|
0.549
|
119.1
|
120.0
|
|
10
|
-1.058
|
119.2
| -0.187 |
109.9
|
-1.905
|
124.1
|
-0.360
|
115.3
|
-1.217
|
120.1
|
-1.536
|
120.7
|
-0.279
|
102.3
|
0.429
|
108.9
|
0.549
|
108.9
|
0.492
|
109.1
|
109.4
|
|
11
|
-2.964
|
85.6
|
-1.191
|
79.4
|
-7.237
|
94.3
|
-1.881
|
82.7
|
-3.246
|
86.3
|
-3.031
|
85.9
| 0.223 |
67.2
|
0.551
|
70.2
|
0.585
|
70.3
|
0.566
|
70.3
|
70.7
|
|
12
|
-8.993
|
73.7
|
-5.299
|
68.8
|
-26.809
|
88.2
|
-6.989
|
71.4
|
-9.817
|
74.6
|
-8.533
|
73.2
| 0.095 |
54.4
|
0.420
|
54.2
|
0.462
|
54.3
|
0.453
|
54.2
|
54.7
|
전반적으로 10개 모형 중에서 모든 기상관측지점에서 Model I가 가장 양호한 증발량 모의결과를 보였다. Model I는 본 연구에서 제시된 모형으로 독립변수로 각 기상관측소의 풍속, 상대습도, 기온, 일조시간과 가조시간의 비, 일사량을 입력자료로 적용한다. 다음으로 연구지역과 월에 따라서 Model H가 Model J보다 양호한 증발량 모의결과를 보이거나 혹은 Model J가 Model H보다 양호한 모의결과를 보였다. Model H에서는 독립변수로 각 기상관측소의 풍속, 상대습도, 기온, 일사량 자료를 입력자료로 적용하고, Model J에서는 각 지역별로 풍속, 상대습도, 기온, 일조시간과 가조시간의 비, 일사량을 입력자료(독립변수)로 적용하고, 중요도가 높은 변수만이 독립변수에 포함된다. 또한 본 연구에서 제시한 Model G 역시 기존에 다른 연구자들에 의해서 제시된 Model들(Models A~F)에 비해서 양호한 결과를 보였다. Model G에서는 다변량 선형회귀모형을 일반화하기 위해서 11개 지역 전체의 기상자료(풍속, 상대습도, 기온, 일사량)의 평균값을 독립변수로 적용하여 유도된 일반화된 모형이다.
본 연구에서 제시된 모형들(Models G~J)의 모의결과를 비교했을 때 각 기상관측소 자료를 이용해서 각 지점별로 유도된 다변량 선형회귀모형(Model I)가 가장 양호한 모의결과를 보였다. Model I로부터 산정된 증발량은 관측된 증발량과 가장 유사한 결과를 보였으며, NSE 지수 역시 가장 양호한 결과를 보였다. Model G의 경우 다른 Model H, Model I, Model J에 비해서 덜 양호한 증발량 산정결과를 보이고 있다. 하지만 11개 기상관측지점 전체의 자료를 이용하여 유도된 다변량 선형회귀모형으로서 일반화된 모형이라는 점을 고려할 때 타당한 결과라 할 수 있다.
본 연구에서 제시된 모형(Models G~J)을 지역별, 월별로 비교한 결과 서울지역의 경우 Model G, H, I는 6월(NSE= 0.587, 0.672, 0.676)에 가장 양호한 증발량 모의결과를 보였고, Model J는 2월(NSE=0.634)에 가장 양호한 증발량 모의결과를 보였다. 인천지역의 경우 Model G는 2월(NSE=0.171), Model H는 10월(NSE=0.555), Model I는 8월(NSE=0.733), Model J는 9월(NSE=0.702)에 가장 양호한 증발량 모의결과를 보였다. 수원지역의 경우 Model G는 8월(NSE=0.150), Model H는 9월(NSE=0.457), Model I는 6월(NSE=0.801), Model J는 8월(NSE=0.790)에 가장 양호한 증발량 모의결과를 보였다. 서산지역의 경우 Model G는 11월(NSE=0.511), Model H는 9월(NSE=0.647), Model I와 J는 6월(NSE=0.890, 0.873)에 가장 양호한 증발량 모의결과를 보였다. 청주지역의 경우 Model G와 H는 10월(NSE=0.453, 0.626), Model I와 J는 8월(NSE=0.884, 0.884)에 가장 양호한 증발량 모의결과를 보였다. 대전지역의 경우 Model G와 H는 7월(NSE=0.538, 0.683), Model I와 J는 6월(NSE=0.899, 0.895)에 가장 양호한 증발량 모의결과를 보였다. 포항지역의 경우 Model G는 7월(NSE=0.611), Model H는 4월(NSE=0.738), Model I는 5월(NSE=0.811), Model J는 10월(NSE=0.799)에 가장 양호한 증발량 모의결과를 보였다. 전주지역의 경우 Model G는 9월(NSE=0.501), Model H와 I는 5월(NSE=0.797, 0.846), Model J는 9월(NSE=0.783)에 가장 양호한 증발량 모의결과를 보였다. 부산지역의 경우 Model G는 8월(NSE=0.702), Model H, I, J는 4월(NSE=0.969, 0.979, 0.976)에 가장 양호한 증발량 모의결과를 보였다. 목포지역의 경우 Model G와 H는 7월(NSE= 0.638, 0.682), Model I와 J는 6월(NSE=0.855, 0.844)에 가장 양호한 증발량 모의결과를 보였다. 제주지역의 경우 Model G는 8월(NSE=0.645), Model H와 I는 7월(NSE=0.826, 0.886), Model J는 6월(NSE=0.869)에 가장 양호한 증발량 모의결과를 보였다. 따라서 4개의 모형 모두 11개 관측지점에서 겨울철(1, 2, 12월)이 다른 계절보다 양호하지 않은 증발량 모의결과를 보였으며, 여름철(6, 7, 8월)이 다른 계절보다 양호한 증발량 모의결과를 보였다. 특히 Model I의 경우 1, 2, 3, 9, 10, 11, 12월은 다른 월에 비해서 양호하지 않은 증발량 모의결과를 보인 반면에 5, 6, 7, 8월은 다른 월에 비해서 양호한 증발량 모의결과를 보였다.
Model I를 이용하여 산정된 증발량과 관측된 증발량을 비교한 바에 의하면 서울지역의 경우 1월 산정 증발량은 38.29 mm, 관측 증발량은 38.92 mm, 2월 산정 증발량은 46.93 mm, 관측 증발량은 47.42 mm, 3월 산정 증발량은 82.97 mm, 관측 증발량은 83.71 mm, 4월 산정 증발량은 118.60 mm, 관측 증발량은 119.53 mm, 5월 산정 증발량은 143.27 mm, 관측 증발량은 144.29 mm, 6월 산정 증발량은 139.47 mm, 관측 증발량은 140.54 mm, 7월 산정 증발량은 109.29 mm, 관측 증발량은 110.18 mm, 8월 산정 증발량은 122.44 mm, 관측 증발량은 123.84 mm, 9월 산정 증발량은 108.59 mm, 관측 증발량은 109.71 mm, 10월 산정 증발량은 89.75 mm, 관측 증발량은 90.55 mm, 11월 산정 증발량은 52.96 mm, 관측 증발량은 53.62 mm, 12월 산정 증발량은 39.24 mm, 관측 증발량은 39.77 mm였다. 비교 결과 모든 월에서 산정된 증발량과 관측된 증발량이 유사한 모의 결과를 보였다. 다른 기상관측 지점 역시 서울지역과 유사하게 Model I로 산정된 증발량이 관측된 증발량보다 작은 증발량 값을 보였으나 다른 모형과 비교하여 가장 양호한 증발량 모의결과를 보였다.
11개 지역 전체의 기상자료(풍속, 상대습도, 기온, 일사량)의 평균값을 독립변수로 적용하여 유도된 일반화된 모형인 Model G의 증발량 모의결과를 다른 연구자들에 의해서 제안된 모형들(Models A~F)의 증발량 모의결과와 비교하였다. 비교한 바에 의하면 전반적으로 인천과 포항을 제외한 모든 다른 연구지역에서 Model G가 더 양호한 증발량 모의결과를 보였다. 특히 서울, 수원, 청주, 부산, 목포지역의 경우 모든 월에서 기존에 제안된 모형들에 비해서 양호한 증발량 산정결과를 보였다. 반면에 일부지역과 월에서 기존 연구자들에 의해서 제안된 모형이 본 연구에서 제안된 모형들(Models G~H)보다 더 양호한 모의 결과를 보였다. 인천지역의 경우 1월은 Model E, 2월은 Model A, 6, 7, 8월은 Model F 그리고 9, 10월은 Model C가 가장 양호한 모의결과를 보였다. 서산지역의 경우 4월에 Model D, 12월에 Model C가 가장 양호한 모의결과를 보였다. 대전지역의 경우 10월에 Model F가 가장 양호한 모의결과를 보였다. 포항지역의 경우 1월은 Model A, 2월은 Model D, 3, 4, 5, 6월은 Model B, 10, 11월은 Model B, 12월은 Model D가 가장 양호한 모의결과를 보였다. 전주지역의 경우 7월에 Model F가 가장 양호한 모의결과를 보였다. 제주지역의 경우 7, 9, 10월에서 Model B가 가장 양호한 증발량 모의결과를 보였다. 따라서 기존에 다른 연구자들에 의해서 제시된 모형들(Models A~F)를 대체하여 일반화된 모형인 Model G를 적용할 수 있을 것으로 판단된다.
가장 양호한 증발량 모의 결과를 보여준 Model I에 대해서 추가로 기상자료를 전반기 자료와 후반기 자료로 구분하여 모의분석하였다. 전반기 자료를 이용하여 다변량 회귀분석을 실시하여 다변량회귀식을 도출하고, 후반기 자료를 이용하여 증발량 모의결과를 검증하였다. 기상자료를 전반기와 후반기로 구분하여 분석하는 경우 가용한 분석자료가 제한적이어서 상대적으로 자료기간이 긴 연구지역(서울, 인천, 수원, 목포)을 선정하였다. 분석결과에 의하면 전반기 자료를 이용하여 유도된 다변량 회귀식으로부터 산정된 증발량 산정값은 기존에 다른 연구자들에 의해서 제시된 모형들(Models A~F)에 비해서 4곳의 연구지역 모두와 모든 월에서 양호한 결과를 보였다.
반면에 후반기 자료를 이용하여 모의된 증발량을 검증하는 경우 서울지역은 2월(NSE=0.515), 3월(NSE=-0.145), 4월(NSE=-0.007), 5월(NSE=-1.260), 7월(NSE=0.443)에 기존 모형들(Models A~F)에 비해서 양호한 결과를 보였다. 인천지역은 3월(NSE=-0.056), 4월(NSE=-0.473), 5월(NSE=0.511), 6월(NSE=0.458), 7월(NSE=0.466), 8월(NSE=0.651), 9월(NSE=0.522), 12월(NSE=-0.300)에 기존 모형들(Models A~F)에 비해서 양호한 결과를 보였다. 수원지역은 1월(NSE=-1.414), 2월(NSE=0.111), 4월(NSE=0.193), 5월(NSE=0.340), 6월(NSE=0.724), 7월(NSE=0.766), 8월(NSE=0.797), 10월(NSE=0.141), 11월(NSE=0.057), 12월(NSE=-1.474)에 기존 모형들(Models A~F)에 비해서 양호한 결과를 보였다. 목포지역은 1월(NSE=-2.437), 2월(NSE=-0.080), 3월(NSE=0.236), 4월(NSE=0.718), 5월(NSE=0.775), 6월(NSE=0.568), 7월(NSE=0.542), 8월(NSE=0.614), 11월(NSE=0.338), 12월(NSE=-0.966)에 기존 모형들(Models A~F)에 비해서 양호한 결과를 보였다. 따라서 지역 및 월에 따라서 기존 모형들보다 양호하지 않은 증발량모의 결과를 보이는 것으로 나타나서, 다변량 선형회귀분석을 적용하여 증발접시계수를 산정하는 경우 일부 지역과 월에서 제한적으로 적용할 수 있을 것으로 판단된다.
Fig. 2는 11개 기상관측지점에서 관측된 월 증발량과 Table 1의 Model G를 이용하여 산정된 월 증발량을 1:1로 비교한 결과를 보여준다. 그림에서 보여주는 바와 같이 12월이 다른 월에 비해서 가장 양호한 증발량 모의결과를 보였다. 반면에 4월이 가장 양호하지 않은 모의결과를 보였다. 전반적으로 증발량이 작은 값에서는 증발량이 과대하게 산정되고, 증발량이 큰 값에서는 증발량이 과소 산정되고 있다. 이는 증발접시 증발계로부터 측정된 증발량과 기상자료를 이용하여 유도된 식으로부터 산정된 증발량과의 차이가 반영된 것으로 판단된다. 증발접시증발계의 증발량은 기상요소가 증발에 미치는 영향 이외에 증발접시증발계의 열저류 효과가 반영되어 있다.

Fig. 2.
A one-to-one relationship between measured and estimated evaporation (applying all stations)
4. 요약 및 결론
본 연구에서는 우리나라 11개 기상관측소의 월평균 기상자료(소형증발접시 증발량, 풍속, 상대습도, 기온, 일사량)를 이용하여, 월별 기상요소가 증발접시계수에 미치는 영향을 분석하였다. 또한 기상관측지점에서 일반적으로 관측되고 있는 기상자료를 독립변수로 하는 다변량 선형회귀분석에 근거한 증발접시계수를 산정하는 다변량 선형회귀모형의 적용성을 검토하였다. 이를 위해서 과거 연구자들에 의해서 개발된 6가지의 증발접시계수 산정모형들과 비교 검토하였다. 이를 위해 증발접시계수 산정모형들로부터 산정된 증발량과 관측된 증발량을 비교하여 증발접시계수 산정모형들의 적절성을 비교 검증하였다.
분석 결과에 의하면 우리나라 11개 기상관측지점에서 증발접시계수는 1, 2, 3, 7, 11, 12월은 기온에 가장 큰 영향을 받으며, 4, 5, 6, 8, 9, 10월은 일사량에 가장 큰 영향을 받는 것으로 나타났다. 또한 월별로 증발접시계수 산정에 미치는 기상요소(풍속, 상대습도, 기온, 일사량)의 중요도가 차이가 있는 것으로 나타났다. 1월의 경우 기온과 상대습도, 2월의 경우 기온과 일사량, 3월의 경우 기온과 일사량, 4월의 경우 일사량과 상대습도, 5월의 경우 일사량과 상대습도, 6월의 경우 일사량과 상대습도, 7월의 경우 기온과 풍속, 8월의 경우 일사량과 상대습도, 9월의 경우 일사량과 상대습도, 10월의 경우 일사량과 상대습도, 11월의 경우 기온과 일사량, 12월의 경우 기온과 일사량이 증발접시계수에 가장 크거나 적은 영향을 미쳤다. 모든 지역과 월에서 각 기상관측 지점별로 풍속, 상대습도, 기온, 일조시간과 가조시간의 비, 일사량을 독립변수로 적용하는 다변량 선형회귀모형이 가장 양호한 증발량 산정 결과를 보였으나, 모형 검증과정에서 지역 및 월에 따라서 기존 모형들보다 양호하지 않은 증발량모의 결과를 보이는 것으로 나타나서, 다변량 선형회귀분석을 적용하여 증발접시계수를 산정하는 경우 일부 지역과 월에서 제한적으로 적용할 수 있을 것으로 판단된다.