1. 서 론
하천의 수질관리는 오염물질의 과부하를 방지하고 하천의 자체 자정작용을 최대화하며 일정 수질을 유지할 수 있는 충분한 유량을 확보하는 것이 중요하다(Anzecc and Armcanz, 2000). 4대강 사업은 국가하천의 수량확보와 홍수예방을 목적으로 기획되고 2년 간의 공사를 통해 완공되었으나(Jun and Kim, 2011), 최근 잦은 조류의 대 번성으로 상당히 심각한 사회 환경 문제가 되고 있다. 조류 대번성의 여부는 일반적으로 클로로필a (Chl-a)의 농도로 평가된다. 조류의 대번성은 무척추동물과 같은 특정 생물종의 감소와 더불어 탁도의 증가로 물고기의 서식처를 감소하게 하는 결과를 가져와서 생태계에 상당한 교란을 가져온다. 높은 농도의 Chl-a가 존재하는 원수를 먹는 물로 활용할 시 불쾌한 맛과 냄새를 유발하고, 수처리 과정에서 필터가 막히는 문제를 발생시킨다. 이들 중 cyanobacteria와 같은 종은 Cyanotoxins와 같은 독성물질을 생성하여 생태계와 사람의 건강에 상당한 위해 요소가 되기도 한다(WHO, 2003).
수질관리를 위해서 Chl-a와 같은 조류의 농도는 수학적인 모형 등을 활용하여 모의될 수 있지만(USEPA, 2002, 2015; Wu and Xu, 2011), 조류의 생성과 사멸에 대한 기작이 복잡하여 생태 혹은 수질 모형에 의한 예측성과 실효성은 상당히 제한적인 실정이다(USEPA, 2015). 이에 대안적인 방법으로 Chl-a의 농도는 통계적인 모형 혹은 인공신경망과 같은 Black Box모형이 상당히 활용되어 왔다(Cha et al., 2014; Lee et al., 2003; Malek et al., 2011). 이와 같은 모형이 잠재성을 보여주긴 하였으나 이들 접근법의 필요조건으로 예측에 필요한 적절한 환경변수를 결정하는 문제는 모형의 구조를 결정하는데 상당히 중요한 부분이다.
한편 조류의 발달에 대한 환경변수의 규명에 대한 상관성 연구는 여러 연구자에 의해 상당수 수행되었다(Kim et al., 2002; Park and Cha, 2013). 그러나 이들 국내 적용연구의 대부분은 환경인자와 조류 농도 사이에 교차상관함수를 계산하는 방식이다. 이러한 방식의 접근법은 대상 자료가 외부적인 추계구조에 의해 영향을 받았거나 이에 따른 자체적인 상관함수 구조를 가지고 있을 때 교차상관이 필요 이상으로 높게 계산된다는 문제점이 있다. 이와 같은 문제는 대상 시계열의 추계학적인 구조를 제거하는 과정을 통해서 해결될 수 있는데 독일의 Elbe강이나 호주의 Murry강의 경우 수질자료에 적용하여 성공적인 실제 상관성을 규명한 사례도 있다(Lehmann and Rode, 2001; Maier and Dandy, 1997). 국내의 경우 수질환경 인자에 대해서 이와 같은 과정을 통한 실제적인 상관성을 규명하는 사례는 없다.
따라서 이 연구의 목적은 단순한 교차상관함수를 계산하는 방식이 아닌 대상 시계열의 추계학적인 구조를 제거하고 상관함수를 계산하는 선백색화 기법(Pre-whitening method)를 도입하고 이를 국내의 4대강 주요하천의 환경변수와 Chl-a의 시계열에 적용하여 실제 상관성의 구조를 규명하는 것 이다. 이 과정에서 기존의 방법과 계산결과를 비교하여 수행한 방법의 적절성을 나타내는 것이 이 논문의 주요내용이다.
2. 대상지역과 연구자료
이 연구의 진행을 위해서 한강, 금강, 낙동강, 영산강으로 구성된 4대강의 보가 설치된 16개 지점을 선택하였다(Fig. 1). 이들 보는 본류의 수량확보를 위해 상당한 재정 투자를 통해 완공되었으나 하천의 흐름을 정체시키는 원인으로 지목되고 있으며 몇몇 지점에서는 이와 관련한 조류의 대번성도 영향을 주는 것으로 보고되기도 하였다(Park, 2012). 환경부에서는 이와 같은 문제에 대처하기 위해서 16개보의 주요지점에서 7일에 한차례씩 BOD, COD, TN, TP, SS와 같은 수질 환경인자와 Chl-a의 농도를 측정하고 있다. 강우량, 일사량과 같은 기상자료는 기상청의 기상자료개방포털이 제공하는 보와 가장 근접한 기상대에서 측정한 자료를 이용하였다. 일사량의 경우 세종보와 근접한 기상대에서만 측정되었으므로 세종보와의 관련성에 대해서만 분석을 진행하였다. 이 연구에서는 16개 보 중 데이터의 결측값이 적은 세종보, 승촌보, 이포보, 함안보의 2012년과 2013년에 확보된 자료를 사용하여 수행하였다.
3. 연구방법
3.1 시계열 분석의 절차
만약 대상 자료가 높은 왜곡도를 가지거나 상당한 경향성 혹은 주기성이 존재하는 경우에는 시계열 분석에 앞서서, 적절한 선 처리가 필요하다. 시계열 자료의 적절한 전화처리는 시계열의 정규성을 개선하고, 경향성이나 계절성문제를 완화시킨다. Box-Cox전환은 이와 같은 문제를 해결하는데 널리 쓰이는 방법으로 다음과 같이 나타난다(Box and Cox, 1964).
(1)
(2)
여기서,
는 대상 시계열이고
와
는 상수들이다.
일반적인 교차 상관계수는 x와 y 시계열사이의 선형적인 관계를 나타내는 것은 다음과 같은 방식으로 계산된다.
(3)
여기서,
는 두 시계열사이의 교차 공분산이고
와
는 x, y 시계열의 분산을 의미한다.
두 시계열의 추계학적인 특성에 따라서, 교차상관함수의 분산특성을 상이하게 나타나는데, 이들 연구에서는 교차상관성의 여부를 판별하는 교차상관함수의 신뢰구간의 설정이 시계열에 내재되어 있는 추계학적 구조가 없다는 가정하에 진행하였다. 선 처리된 모든 환경인자들에 대한 시계열의 추계학적인 신호를 제거하기 위해서, 적절한 단변량 모형이 도입되어야 한다. 시계열의 자기상관함수와 편 자기상관함수는 적절한 모형의 구조를 파악하기 위해서 사용될 수 있다(Box and Jenkins, 1976). 선백색화 처리(Pre-Whitening Process)를 위해서 다음과 같은 시계열 모형이 쓰여질 수 있다.
(4)
여기서,
는 후향 연산자인데
와 같이 나타나고,
는 양의 지체시간을 의미한다. 따라서, 
, 그리고 , 
와 같이 나타난다.
일단, 모형의 구조가 결정되면, 동일한 모형이 다른 시계열의 추계학적인 구조를 제거하는데 사용될 수 있으며 이 논문에서는 Chl-a가 되고 이는 다음과 같이 나타난다.
(5)
여기서, Eq. (4)와 (5)의 처리된 시계열
와
는 잔차의 시계열로서 확보 될 수 있다.
이들 처리된 잔차 시계열의 독립성은 두 가지 방법으로 평가 될 수 있는데, 첫째는 잔차 시계열의 자기 상관함수와 편자기 상관함수를 계산하여 이들이 신뢰구간 안에 존재하는지를 판별하는 방법이고, 둘째는 군집으로서의 독립성을 판별하는 방법으로 Portemanteau시험법이다.
번째까지의 잔차에 대한 자기상관함수를
라 할때
통계치는 다음과 같이 나타난다.
(6)
여기서,
는 지체시간이고,
은 관측횟수이며,
은 지체된 자기상관함수의 총수이다. Eq. (6)에 의해 계산된
통계치는
의 자유도(degree of freedom)을 가진, 여기서
는 추정된 매개변수의 수,
분포를 따른다(Salas et al., 1988). 만약
통계치가 지정된
보다 작을 경우 모형화에 의한 잔차 군집의 독립성이 만족하다고 평가된다.
이와 같이 추출된 두 개의 잔차 시계열의 배타적인 상관성은 다음과 같은 수식으로 평가될수 있다.
(7)
여기서,
와
는 u, v 시계열의 분산을 의미한다. 잔차 시계열의 상호 공분산
는 다음과 같이 계산될 수 있다.
(8)
(9)
Fig. 2는 이와 같은 과정을 순서도로 묘사한 것으로 배타적 상관성 분석을 위한 일련의 과정이 나타나 있다. Fig. 2를 구체적으로 설명하면, 먼저 수질인자 시계열들을 선택하고 이들의 통계분석을 수행하여 정상성을 판별한 후, 필요하면 Eq. (1) 혹은 Eq. (2)와 같은 변환을 수행한다. 변환된 수질인자 시계열에 대해서 Chl-a와 교차상관함수를 계산한 후, 결과를 검토하여 선백색화 처리 기법을 적용한다. 이때 Eq. (4)와 Eq. (5)의 활용을 통해서 수질인자가 갖고 있는 단변량 모형을 구성하고 대상 시계열의 잔차시계열을 계산한다. Eq. (7), Eq. (8), Eq. (9)를 이용하여 선백색 신호의 상관성을 규명하고, 유의한 인자들을 구분하여 배타적 상관성을 도출한다.
4. 결과 및 토의
4.1 배타적 상관분석과정
이 논문에 소개된 방법론을 적용하는 과정을 보여주기 위해서 금강의 세종보에서 관측된 강수량과 Chl-a의 농도와 영산강의 승촌보에서 관측된
농도에서
농도를 뺀
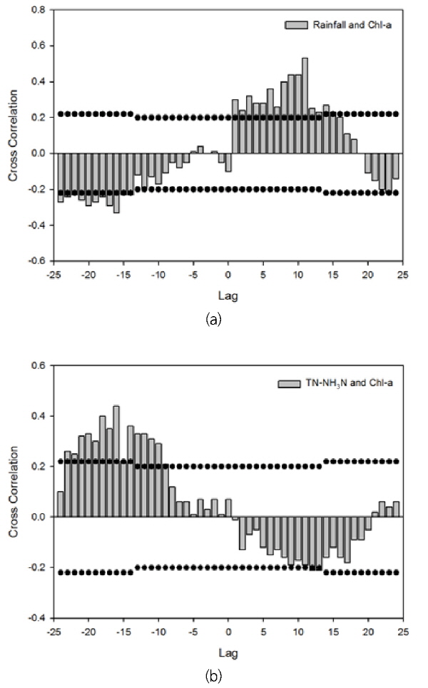
농도의 동일 지점에서 관측된 Chl-a의 농도사이의 상관분석과정은 다음과 같다. Figs. 3(a)와 (b)는 두 경우에 대한 기존의 교차상관함수를 각각 도시한 것이다. 두 경우 모두 지체시간(lag) 0에서는 상관성이 무시할 정도로 낮게 산출되었지만 Fig. 3(a)의 경우 +1에서 +13주까지의 양의 지체시간들에 대해서 의미심장한 상관계수값이 계산되었고 Fig. 3(b)의 경우도 -24에서 -10주의 지체시간들에 대해서 무시할 수 없는 상관계수값들이 산정되었다. 이와 같은 결과는 물리적으로는 발생할 수 없는 경우로 각각의 시계열들이 가지고 있는 주기성 등의 자체 상관성에 기인한 것으로 통상적인 상관성 분석이 적절하지 못한 결과를 산출한다는 의미이다.
|
Fig. 3. (a) CCF of rainfall and Chl-a in sejong weir, (b) CCF of |
따라서, 세종보의 강수량과 승촌보의
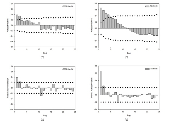
농도의 시계열의 추계학적인 구조를 조사하였다. 이를 위해서 각각의 시계열에 대한 자기상관함수와 편자기상관함수를 계산하였고, 이 결과는 Fig. 4에 도시되어 있다.
|
Fig. 4. (a), (b) ACF of Rainfall in Sejong weir and |
Fig. 4는 이들이 각각 자기상관함수에서는 정현파의 감소형태를 편자기 상관함수는 지체시간 1이후의 절단 양상을 보이고 있다. 이는 두 경우 모두 ARMA(1,1)형태의 모형이 적합하다는 것을 의미한다(Salas et al., 1988). ARMA(1,1)는 데이터의 추계학적 구조가 AR(1), MA(1)를 따르는 것이며 이는 -1의 lag에서 자기 상관성이 존재하는 것을 의미한다. 따라서 Eq. (4)와 같은 ARMA(1,1)형태로 모형을 구성하고, 조건우보법과 최대우도법을 적용하여 매개변수를 추정한 결과 세종보의 강수량의 경우 매개변수
과
이 각각 0.79, 0.49로 추정되었고 T통계치는 6.7, 2.9로 계산되었다. 승촌보의
경우는
과
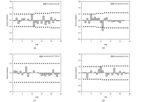
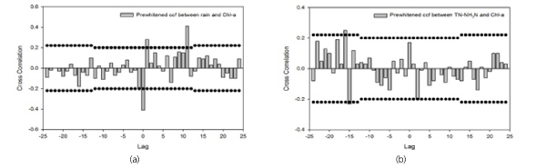
이 각각 0.90, 0.55로 추정되었고 T통계치는 14.7, 4.8로 계산되었다. 각각의 모형을 Eq. (5)와 같은 방식으로 적용하여 각각의 경우에 대한 잔차 시계열을 추출하였고, 이들에 대한 독립성 검증을 위해서 자기상관함수와 편자기 상관함수가 계산되었다. Fig. 5는 해당되는 시계열들의 자기상관함수와 ±5%의 유의값의 지정선을 보여주고 있는데 모든 경우에 대해서 추계학적인 구조가 적절히 제거되었음을 보여주고 있다. 이들에 대한 편자기상관함수도 유사한 결과를 보이고, 잔차들의 군집 독립의 지표인 Portemanteau 시험법도 잔차들의 독립성을 보여주었다. 따라서, 잔차시계열들을 이용한 상관계수가 Eq. (7), (8), (9)를 사용하여 수행되었다. Fig. 6(a)는 세종보에서 관측된 강수량과 Chl-a의 농도사이의 배타적 상관성을 Fig. 6(b)는 영산강의 승촌보에서 관측된
농도에서
농도를 뺀
농도의 동일 지점에서 관측된 Chl-a의 농도사이의 배타적 상관성을 보여주고 있다. 세종보의 경우 Fig. 3와는 달리 지체시간 0에서 음의 상관성과 지체시간 1에서 약한 양의 상관성을 보여서 강우후 Chl-a농도가 감소하고 일주일후 이로 인한 효과로 약간 증가하는 수문 수질적으로 설명이 가능한 결과가 도출되었고 승촌보의 경우는 사실상 전체적으로 상관성이 없는 결과가 도출되었다. 이와 같은 결과는 Fig. 3의 단순한 교차상관성분석이 내재하고 있는 문제를 상당히 완화한 결과로 설명될 수 있다.
4대강 대상 지점 중 이포보의 상관성 분석결과 중 지체시간이 0인 결과들을 정리하여 나타낸 것은 Table 1에 나타나있다. Chl-a과 환경인자들간의 관계는 0-lag에서 유의한 상관성이 나타나고 인과관계(Causality)를 나타낼 수 있는 음의 지체시간(Negative lag)에서는 유의 구간이상의 상관성이 특별하게 나타나지 않았다. 이는 측정 주기가 1주일 간격이기 때문에 Chla와 환경인자들 사이의 영향성을 판단하기에는 너무 짧은 시간이므로 인과관계에 대한 설명이 힘들다. Table 1의 좌측은 원시계열의 상관성 분석 결과이고 우측은 선 백색화 처리후의 상호상관성 분석 결과이다. Table 1의 상관 값중 진하게 표시된 부분은 신뢰구간을 초과하는 값들로 의미 있는 상관성을 나타낸다. 좌측의 원시계열의 상관성은 일반적으로 선백색 처리시계열의 상관성 보다 높게 나타나는 경향이 있으나 일부의 경우(강수량-TN)는 반대로 나타나는 경우도 있다. 질소나 인 등은 조류의 발현에 관련된 인자이나 인과 음의 상관성을 보이는 것은 인산염의 소비가 증가하는 인과관계를 의미한다. 그러나, 실제로 4대강 유역의 질소와 인의 농도는 높아서 이들이 조류에 성장에 지배요소가 되지 못한다는 연구결과나 보고가 있다(Kim et al., 2007; OECD, 2013). 상관성 분석 결과를 종합하면 좌측의 원시계열의 상관성 중 양의 값의 합은 1.48로 초과 및 중복 산정된 것을 보여주며, 우측의 선백색 처리시계열의 경우 양의 값의 합은 0.97으로 합이 1근처로 나타났다.
Table 2는 세종보의 상관성 분석결과 중 지체시간이 0인 결과들을 정리하여 나타낸 것이다. 이 또한, 좌측의 원시계열의 상관성은 일반적으로 선백색 처리시계열의 상관성 보다 높게 나타나는 경향이 있다. 일반적으로 일사량과 조류의 거동에는 상당한 인과성이 있다고 알려져 있다. 이포보의 경우 일사량 자료(Solar-Radiation)가 기상청의 관측자료로부터 확보되어 이에 대한 상관성조사를 추가하였다. 두 상관성 분석 결과를 종합하면 좌측의 원시계열의 상관성의 합은 일사량을 제외하면 1.54 일사량을 포함하면 2.2로 초과 및 중복 산정된 것을 보여주며, 우측의 선백색 처리시계열의 경우 일사량을 제외하면 1.32 그리고 일사량을 포함하면 1.76으로 개선된 결과를 보여준다. 세종보의 경우 조류의 농도를 제어하는 요소가 상류의 방류량 조절 등의 인공적인 요소가 많아서 일반적인 환경변수의 변동으로 인한 영향이 제한적이라고 알려져 있다.
승촌보의 상관성 분석결과 중 지체시간이 0인 결과들을 정리하여 나타낸 것은 Table 3에 나타나있다. 두 상관성 분석 결과를 종합하면 좌측의 원시계열의 양의 상관성의 합은 1.9 로 초과 및 중복 산정된 것을 보여주며, 우측의 선백색 처리시계열의 경우 양의 상관성 합은 1.3으로 나타났다.
Table 4는 함안보의 상관성 분석결과 중 지체시간이 0인 결과들을 정리하여 나타낸 것이다. BOD의 경우는 선백색 처리 시계열이 더 높은 상관성을 보이는 경우도 있다. 두 상관성 분석 결과를 종합하면 좌측의 원시계열의 양의 상관성의 합은 1,6으로 초과 및 중복 산정된 것을 보여주며, 우측의 선백색 처리시계열의 경우 1로 나타났다.
위의 분석들을 종합하면 클로로필 농도와 강우량간의 관계는 4개의 보 모두에서 음의 상관성을 나타내고 있으며, 이는 강수량이 적은 갈수기에 강과 호소에서의 조류의 대번성이 가속화되는 발생하는 특성과 동일함을 알 수 있다(Jeong et al., 2011). 함안보를 제외한 3개의 보에서 상관계수가 상승하는 것을 확인할 수 있으며, 강우량이 가지는 뚜렷한 주기성에 의한 것임을 확인할 수 있다. 인산염(PO4P)과 클로로필의 상관관계는 4개의 보 모두에서 강한 음의 상관성을 띄고 선백색화 과정을 통해 이포보를 제외한 모든 보에서 음의 상관성이 더 뚜렷해진 것을 확인할 수 있다. 조류가 증식함에 따라 인산염의 소비가 증가하는 인과관계를 내포하고 있다. 4개 보 모두에서 인산염과 클로로필a 간의 높은 상관관계를 가지며 총 질소와의 관계를 비교해볼 때 인이 4개보의 조류 발생의 주 제한 영양염류로서 작용하는 것을 확인할 수 있다. 육지의 영향을 받기 쉬운 강의 경우 인이 제한 영양 염으로 작용하고 해수의 영향을 많이 받는 바다의 경우 질소가 제한 영양염으로 작용하는 경우가 많은데 4개의 보 모두 육지의 영향을 많이 받는 곳이므로 인의 영향이 더 큰 것을 확인할 수 있다(Fisher et al., 1992). 수온의 경우는 함안보를 제외한 모든 보에서 높은 양의 상관성을 띄며, 이는 높은 수온에서 생물 활성도가 높아지는 조류의 특성을 나타내고 있으며, 선백색화 이후에 줄어드는 상관성을 통해 수온의 높은 주기성을 함께 확인할 수 있다. BOD의 경향성은 조류의 호흡(Respiration)에 의한 산소소비로 DO의 감소가 일어나고 조류의 양이 증가할수록 BOD 또한 증가하는 것을 상관관계를 통해 알 수 있다. 또한, TOC의 경우는 수층에서 결합된 탄소의 양을 뜻하는 지표로서, 하절기에 발생하는 조류의 번성으로 인한 용존 유기물질의 부하와 비례하여 증가하는 조류의 탄소 생물량이 큰 영향을 끼친 것을 확인할 수 있다(Lee at al., 2014). BOD와 TOC의 관계는 일반적으로 1.0~1.6배의 관계를 갖고 있으며 실제 상관계수에도 이러한 관계가 나타났다. Chl-a 농도와 수질 요인과의 상관성은 수질 요인이 보로 들어오는 유입수의 상태에 영향을 많이 받으므로 수계에 따라 각각 상이한 결과를 도출하였다. 강수량과 같은 기후 요인의 경우 각 음의 상관관계로 공통적인 관계를 나타냈으므로 강우량은 수계에 대한 영향이 없이 Chl-a 농도에 영향을 주는 인자로서 생각할 수 있었다. 이를 통해 Chl-a와 환경인자들간에 상관성을 파악하기 위해서는 기후 인자와 같은 수계 특징에 영향을 받지 않는 환경인자들의 측정이 필요하다.
5. 결 론
4대강 수계에 설치된 보 중 세종보, 승촌보, 이포보, 함안보의 수질 환경인자와 Chl-a 시계열 데이터를 통해 통계적 특성을 확인하고, 시계열 데이터의 추계학적인 구조를 제거하는 선백색화 기법을 이용하여 Chl-a와 인자 사이의 상관성 구조를 규명하였다. 원시계열 데이터간의 교차상관함수 분석을 시행한 결과 물리적으로 발생할 수 없는 지체시간에서 높은 상관계수 값이 나오는 결과를 확인할 수 있었다. 이를 통해 각 시계열 데이터가 가지는 주기성 등의 자체 상관성을 확인하고 통상적인 상관 분석의 적절하지 못한 결과 산출을 하는 점을 파악할 수 있었다. 자기상관함수와 편자기상관함수를 도출하여 모형에 적합한 모형을 구성하고 조건우도법과최대우도법을 통해 매개변수를 추정하였다. 추출된 잔차시계열을 통해 독립성을 검증한 결과, 자기상관함수와 편자기 상관함수가 ±5%의 유의값 아래에 값을 형성하는 것을 확인할 수 있었다. 추계학적 처리가 완료된 시계열 데이터를 통해 배타적 상관성을 분석한 결과, 수문학적으로 발생할 수 있는 지체시간 내에서의 상관성을 보이거나 통상적인 상관분석에 비해 상관관계의 변화를 확인할 수 있었다. 대부분의 배타적 상관분석 결과가 지체시간 0 근처에서 상관성을 보이고 10주 이상의 지체시간에서 상관성이 거의 없는 것으로 나타나 신뢰성 있는 결과로 판단된다. 각 보에 따라 지체시간 0에서 의미 있는 값을 갖는 수질 환경인자는 다르게 나타났다. 공통적으로 PO4P와 BOD가 선백색화 처리 후 Chl-a 농도와 의미 있는 값을 가진 것으로 나타났다. 4개의 보 공통적으로 TOC와 일사량의 경우 선백색화 처리 후 상관성이 줄어들었다. 상관관계가 줄어드는 것은 환경인자가 주기성을 갖고 있는 것을 확인할 수 있다. 일반적으로 주기성을 갖고 있다고 볼 수 있는 강수량, DO 또한 3개의 보에서 선백색화 처리 후 상관관계가 감소한 것을 확인할 수 있다.
관련인자와 Chl-a 농도 간의 유효 상관계수 합계를 비교해본 결과, 4개의 보에서 선백색화 처리 후 시계열 상호상관분석의 유효 상관계수 합계가 상대적으로 낮게 나오는 것으로 나타났다. 원 시계열 데이터의 주기성을 추계학적 구조를 통해 없앰으로써 Chl-a농도와 수질 환경 인자 의 관련성은 주기성의 영향이 아닌 인자가 가지는 특징에만 영향을 받게 되었다. 위 결과를 통해 기존의 상관분석이 주기성에 영향을 받는 것을 알 수 있었고 선백색화 처리를 통한 배타적 분석이 인자 간 상호 상관성을 확인하는데 더 유효하다는 것으로 판단된다.





and Chl-a in seunchon weir, Dotted line is ±5% confidence level
in Seungchon weir (c), (d) PACF of Rainfall in Sejong weir and
in Seungchon weir, Dotted line is ±5% confidence level
in Seungchonweir (d) Chl-a in Seungchon weir
and Chl-a in seunchon weir, Dotted line is ±5% confidence level