1. 서 론
2. 실험 방법
2.1 실험장치 및 조건
2.2 유속구조 실험
2.3 기포거동 실험
3. 실험결과 및 분석
3.1 측정 기법 검증
3.2 기체점유율 분석
3.3 평균 기체경계면 및 유효흐름단면 추정
4. 결론 및 고찰
1. 서 론
액체 흐름 내 기체가 공존하는 이상류(two-phase flow)는 액체 단상류와 비교하여 기체와 액체 간 상호작용으로 인한 다양한 수리학적 특성을 나타낸다. 이상류는 석유 및 가스 산업, 원자력, 에너지 공정 등 다양한 공학 시스템에서 빈번하게 발생하며 관로 내 흐름 안정성과 거동 특성에 큰 영향을 미친다. 홍수 배제를 목적으로 하는 대규모 지하 방수로나 대심도 터널에서는 집중호우 발생 시 대량의 우수가 공기와 함께 관로로 유입되며, 터널 내부에서 물과 공기가 함께 흐르는 이상류가 발생한다. 유체 간 상호작용으로 발생하는 복잡한 전달 현상과 경계면 변화는 관 내 유량 변동, 압력 변화 등을 유발하며 안정적인 배수 체계 작동에 지장을 초래할 수 있다. 특히 공기 혼입으로 인해 실제 통수능에 기여하는 유효단면적이 감소하면서 설계 유량을 원활히 배제하지 못하여 대심도 배수 체계의 안정적 운영을 저해하는 요인으로 작용한다. 따라서 배수관로의 효과적인 기능 및 유효흐름단면 해석을 위해서는 이상류의 주기적 특성에 따른 기체점유율(void fraction, 𝛼)의 흐름단면 내 분포와 그에 따른 유동 구조를 파악하는 것이 필요하다.
수평관 내 이상류는 액체와 기체의 유량 조건에 따라 기포 흐름(bubble flow), 층류 흐름(stratified flow), 파형 흐름(wavy flow), 플러그 흐름(plug flow), 슬러그 흐름(slug flow), 환상 흐름(annular flow)의 6가지 양상으로 구분된다(Fig. 1). 각 흐름은 유체의 물성, 상대 유속, 관의 형상 등 다양한 요인에 따라 관 단면 내 상(phase)의 분포가 달라지며 이에 따라 고유한 흐름 특성을 나타낸다.
이러한 흐름양상의 분류를 정량화하기 위해 다양한 연구자들이 흐름구분도(flow regime map)를 제시해왔다. Baker (1954)는 내경 25.4~101.6 mm 의 수평관에서 물-공기 실험을 수행하여 흐름구분도를 제시하였다(Fig. 2). 또한 Lockhart-Martinelli 상관식을 바탕으로 압력 강하 실험결과를 비교하였으며 이상류의 압력 손실 해석에 있어 유동 형태를 고려해야 함을 강조하였다. 이후 Mandhane et al. (1974)은 약 6,000개의 실험 자료를 바탕으로 보다 광범위한 유동 조건을 아우르는 흐름구분도를 제시하였으며 이는 수평관 이상류 연구에서 널리 활용되고 있다. 그러나 기포 흐름 영역의 실험 자료가 부족하여 해당 흐름 경계의 신뢰성에는 한계가 있다. Taitel and Dukler (1976)는 이론적 모형을 적용하여 관 직경, 유체 특성, 상대 유속 등을 고려한 흐름 전이 경계를 제시하였다. 층류 흐름에서 플러그, 슬러그 흐름으로 전이는 기체 유속 조건에 따라 달라지며 관 직경이 증가할수록 전이 조건은 변화한다고 제시하였다. Weisman et al. (1979)은 흐름 구분의 주관성을 줄이기 위해 압력 강하 변동 특성을 활용한 분류 방법을 제안하였다. 이후 Barnea et al. (1983)은 직경 4.0~12.5 mm의 소구경 수평관 실험결과를 이론식과 비교하였으며 관 직경이 감소할수록 표면장력이 흐름의 전이에 주요 인자로 작용함을 확인하였다. Hasan and Kabir (2002)는 수평 및 경사관에서 전도율계와 압력계를 이용하여 전이 경계를 분석하였다. 경사각이 증가할수록 액체 체류율(hold-up)과 기체 분리 효과가 커져 슬러그 흐름의 발생 구간이 확장됨을 확인하였다. Walter and Epple (2017)은 이상류 거동을 수치적으로 모사하기 위해 전산유체해석(CFD)을 수행하였다. 수치해석을 통해 실험 기반 흐름구분도의 해석을 보완하고 다양한 흐름 조건에 대한 예측 범위를 확장하였다. Kong (2018)은 관경 25.4, 50.8, 101.6 mm 수평관에서 실험을 수행하여 관경 변화에 따른 흐름 전이를 분석하였다. 관경이 증가할수록 슬러그 흐름의 발생 구간은 고유량 영역으로 이동하며 전이 경계가 완만해짐을 제시하였다.
이상류 흐름 중 플러그와 슬러그 흐름은 대표적인 간헐류(intermittent flow)로 널리 연구되어 왔다. 두 흐름은 관 단면을 가로지르는 길게 연장된 기포(elongated bubble)와, 기포와 관 벽 사이에 흐르는 액체 필름(liquid film), 기포 사이에 존재하는 액체 슬러그로 구성된다(Fig. 3). 연장된 기포와 액체 슬러그는 하나의 주기적 단위(unit cell)를 형성하며 흐름은 주기적 특성을 갖는다. 플러그 흐름은 비교적 짧은 길이의 기포와 액체 슬러그 구간이 교대로 나타난다. 이때 액체 슬러그 구간은 상대적으로 길며 내부 유동이 균일하여 안정적인 특징을 가진다. 슬러그 흐름은 긴 길이의 기포와 액체 슬러그로 구성된 발달된 구조를 가지며 기체가 관 단면을 지배적으로 점유한다. 여기서 발달된 구조란 기포가 연장된 기포 형태로 성장하여 선단부(nose)의 곡면 형상과 후류부의 난류 교란이 나타나는 것을 의미한다. 액체 슬러그 구간은 플러그 흐름에 비해 짧고 불안정하며 내부에 와류(vortex)가 발생하여 난류 교란이 크게 나타난다.
플러그와 슬러그 흐름의 구조 차이는 시간평균(time-averaged)된 기체경계면과 유효흐름단면적에 직접 영향을 미친다(Fig. 4). 여기서 시간평균된 기체경계면이란 연속적으로 발생하며 이동하는 다양한 크기의 연장된 기포들이 존재하는 영역의 순간 경계 포락선(envelope)을 의미하며, 이를 시간평균 이상류에서 기체와 액체의 영역 경계로 정의하고자 한다. 이때 시간평균 경계 아래 액체 영역을 액체 흐름에 기여하는 유효 흐름면적으로 정의한다. 플러그 흐름의 경우 상대적으로 짧은 기포와 긴 액체 슬러그가 형성되며 이에 따라 시간평균 기체경계면은 관 상부에 국한되고 실제 유효흐름단면은 비교적 크게 유지된다. 관로 내 액체 이송 또한 비교적 안정적으로 이루어진다. 반면 슬러그 흐름에서는 발달된 기포가 관 단면을 지배적으로 점유함으로써 액체 슬러그 구간이 짧고 불안정하게 나타나며, 기체경계면의 파형이 크게 진동하면서 하부로 확장되고 유효흐름단면은 감소한다. 이러한 차이로 인해 동일한 유량 조건에서도 흐름양상과 그에 따른 시간평균 경계의 위치에 따라 실제 유효흐름단면과 액체수송 효율은 크게 변화하게 되며 이는 관로시스템의 통수능력과 배수 안정성에 직접적인 영향을 미친다.
이러한 특성을 규명하기 위해 플러그 및 슬러그 흐름의 기체 분포 특성에 관한 다양한 연구가 수행되어 왔다. Bottin et al. (2014)은 광학 센서(optical probe), 열막 유속계(hot-film anemometer), 고속카메라를 이용한 실험 연구를 수행하였다. 관 단면의 국부 기포 점유율과 유속을 측정하였으며 고속영상을 통해 기체의 분포와 흐름양상을 관찰하였다. Kong (2018)은 전도율계를 이용하여 횡단면의 기체점유율과 계면 구조를 정량화하였다. 액체와 기체의 겉보기 속도가 증가할수록 슬러그의 평균 크기는 감소하며 작은 기포들이 균일하게 분포하는 경향을 확인하였다. Rossi et al. (2018)은 X선 감쇄법을 이용하여 플러그 및 슬러그 흐름의 직경 방향 기체점유율 분포를 측정하였으며 이에 따른 유속장 차이를 분석하였다. 그 결과 플러그 흐름에서는 기체가 액체보다 느리게 이동하는 반면, 슬러그 흐름에서는 기체가 상대적으로 빠르게 이동함을 확인하였다. Lina et al. (2020)은 다양한 유량 조건에서 수행된 기존 실험결과를 바탕으로 1차원 기체점유율 예측 상관식인 DFM (Drift-Flux Model)을 적용하여 비교 및 평가하였다. 그 결과 일부 조건에서는 특정 매개변수 값이 실험결과와 잘 부합하였으나 범용적 예측에는 한계가 있음을 확인하였다. Hadzovic et al. (2025)은 고속카메라 기반 유속측정기법인 BIV (Bubble Image Velocimetry)를 적용하여 기체점유율과 유속장을 함께 측정하였으며 이를 감마선 감쇄법 측정 결과와 비교하였다. 그 결과 높은 기체 유량 조건에서도 해당 기법의 신뢰성을 확인하였으며 슬러그 흐름 내 기포 거동 분석에 효과적으로 활용될 수 있음을 확인하였다. 이상의 연구들은 흐름구분도를 기반으로 플러그 및 슬러그 흐름의 실험 범위를 설정하였으며, 각 흐름 특성을 규명하기 위해 다양한 측정 방법을 활용한 실험을 수행하였다. 본 연구에서도 이러한 선행 연구를 참고하여 실험 조건을 설정하였으며 해당 범위를 Fig. 2에 제시하였다. 실험의 세부 조건과 구체적 내용은 2장에서 상세히 기술하였다.
이와 같이 플러그와 슬러그 흐름에 대해 많은 실험 및 수치 연구가 꾸준히 수행되어 왔다. 그러나 이러한 연구들은 주로 특정 시점이나 개별 기포 구간의 특성을 다룬 것으로, 시간에 따른 주기적 변화를 고려한 평균 흐름 구조와 기체점유율에 대해서는 명확히 제시되지 않았다. 따라서 본 연구에서는 수평관 내 물-공기 이상류 흐름 중 플러그와 슬러그 흐름을 대상으로, 주기적 특성을 고려한 유속구조와 기체점유율, 유효흐름단면을 분석하였다. 이를 위해 유속 측정과 기체점유율 산정을 위한 각각의 실험을 수행하였으며 기체점유율이 유속구조에 미치는 영향과 유효흐름단면을 고려한 기체의 평균 경계면 및 지배적 점유 영역을 제시하고자 하였다.
2. 실험 방법
2.1 실험장치 및 조건
실험은 길이 14 m, 내경 100 mm의 투명 아크릴 및 PVC로 제작된 수평관로 시스템에서 수행하였다. 전체 시스템은 유량 공급부, 공기 공급부, 가시화 구간, 회수부로 구성된다(Fig. 5). 가시화 구간은 충분히 발달된 흐름(fully developed flow) 조건에서 측정을 위해 공기 공급부로부터 40 떨어진 지점에 배치하였다(Laufer, 1954). 물과 공기의 유량은 각각 전자식 유량계(Kometer KTM-800)와 질량 유량계(LineTech M2100VA, MS2400VA)로 측정하였으며 조절장치와 우회관을 통해 제어하였다. 공기는 가압탱크를 통해 일정한 압력으로 공급되도록 구성하였다. 또한 DO 미터와 온도계를 설치하여 실험 조건을 일관되게 유지하였으며 모든 자료는 실시간으로 데이터 로깅 시스템에 저장하여 측정 신뢰성을 확보하였다(Song et al., 2025).
실험은 상온 1기압 조건에서 수행하였으며 실험 범위는 물과 공기의 체적 유량을 기준으로 설정하였다(Table 1). 물의 유량은 500-900 L/min, 공기의 유량은 50-250 L/min 범위로 설정하였으며 본 연구에서는 물과 공기의 체적 유량을 각각 유량()과 공기량()으로 정의한다. 체적 유량을 기준으로 환산된 각 조건의 겉보기 유속(, )을 함께 제시하였다. 해당 범위 내 다양한 물-공기 유량 비율 조건에 대해 실험을 수행하였다. 본 연구에서 수행된 각각의 실험 조건은 앞서 Fig. 2에서 제시한 흐름구분도 상에 점으로 도시하였으며 모든 조건은 플러그 및 슬러그 흐름 영역에 분포한다. 흐름이 안정적으로 형성되는 구간을 중심으로 유량 조건을 설정하여 각 흐름의 대표적인 거동을 관찰할 수 있도록 구성하였다.
Table 1.
Experimental conditions
| Case | Water | Case | Air | ||
(L/min) | (m/s) | (L/min) | (m/s) | ||
| W1 | 500 | 1.06 | A1 | 50 | 0.11 |
| W2 | 700 | 1.49 | A2 | 100 | 0.21 |
| W3 | 900 | 1.91 | A3 | 150 | 0.32 |
| - | A4 | 200 | 0.42 | ||
| - | A5 | 250 | 0.53 | ||
이와 같이 구성된 실험장치 및 조건을 바탕으로 두 가지 형식의 실험을 수행하였다. 우선 물-공기 이상류의 유속 분포를 측정하기 위해 PIV 기법을 이용한 유속구조 실험을 수행하였다. 이후 기체 거동과 점유율 변화를 측정하기 위해 영상분석기법을 이용한 기포거동 실험을 수행하였다. 두 가지 실험의 결과는 유속구조와 기체점유율 간의 관계를 규명하고 이를 통해 유효흐름단면의 변화를 분석하는데 활용하였다.
2.2 유속구조 실험
물-공기 흐름의 유속구조 측정은 PIV (Particle Image Velocimetry) 기법을 통해 수행하였다(Fig. 6(a)). PIV 측정을 위해 가시화 구간에 파장 532 nm, 출력 10 W의 연속형 레이저를 사용하여 레이저 시트를 형성하였다. 고속영상은 해상도 1024×768 pixel, 1,500 fps 조건으로 설정된 고속카메라(Chronos 2.1-HD)를 이용하여 약 20,000 frames을 촬영하였다. 입자 추적을 위해 입경 15 µm의 추적 입자(hollow glass seed)를 주입하였다. 촬영된 영상은 INSIGHT 4GTM를 이용하여 유속장을 분석하였다(Fig. 6(b)). Interrogation Area (IA)는 64 × 64 pixel로 설정하였으며 관 내경()을 기준으로 흐름 방향(축)에서는 = 0.05-0.50 범위의 10개 지점을, 단면 방향(축)에서는 = 0.05-1.00 범위의 19개 지점을 설정하여 지점별 유속을 측정하였다. 후처리 과정에서 교차상관(cross-correlation) 기법을 적용하고 이상치(outlier) 벡터를 제거하여 결과의 신뢰성을 확보하였다.
2.3 기포거동 실험
2.3.1 실험 개요
시간평균 기체점유율을 측정하기 위해 기포거동 실험을 수행하였다. 가시화 구간에는 기포 윤곽을 명확히 식별하기 위해 백라이트 패널을 설치하였으며 고속카메라를 이용해 섀도우그래프(shadowgraph) 영상을 촬영하였다(Fig. 7). 400 fps, 해상도 1024 × 768 pixel로 설정하였으며 약 30,000 frames을 촬영하였다. 촬영된 영상은 영상처리기법을 적용하여 기포 윤곽을 추출하였으며 시간에 따른 기체 점유 영역의 변화를 정량적으로 분석하였다.
본 실험에서는 수평관 내 이상류 기포거동을 분석하기 위하여 폭 방향 2차원 해석 가정을 적용하였다. 이는 본 연구의 목적이 계면 형상이 아닌 액체-기체 경계면의 넓이와 위치 변화를 통한 상호작용을 평가하는 데 있기 때문이다. 선행 연구들에서도 수평관 내 이상류 해석에 이러한 가정을 적용하고 있으며 두 유체 간 밀도차 및 중력의영향으로 계면이 폭 방향으로 평탄하다고 간주한다(Fagundes Netto et al., 1999; Matamoros et al., 2014). 또한 별도로 수행한 횡단면별 유속구조 분석 결과에서도 흐름의 자기상사성(self-similarity)을 확인하였다. 이에 따라 본 연구에서는 폭 방향 2차원 해석을 적용하였다.
2.3.2 영상분석기법 적용
기포거동 실험에서 취득한 고속영상을 분석하기 위해 영상분석기법을 적용하였다. 본 연구의 영상처리 과정은 Python 기반으로 구현되었으며 기체 윤곽 추출과 점유율 산정을 위해 단계적으로 수행되었다. 전체 절차는 Table 2에 제시된 바와 같이 다섯 단계로 구분된다.
Table 2.
Image processing steps for bubble contour and mask generation
| Step | Specific methods | Elongated bubble | ||
| Head | Body | Tail | ||
| 1 | Original image | ![]() | ![]() | ![]() |
| 2 | Background subtraction | ![]() | ![]() | ![]() |
| 3 | Contour extraction | ![]() | ![]() | ![]() |
| 4 | Contour refinement | ![]() | ![]() | ![]() |
| 5 | Bubble mask generation | ![]() | ![]() | ![]() |
촬영된 원본 영상에서 배경을 제거하여 기체 영역을 분리한 후 윤곽선을 추출하였다. 후처리 과정을 통해 잔여 노이즈를 제거하였으며 윤곽선 내부 채움 과정을 적용하여 기포 마스크를 생성하였다. 이러한 절차를 전체 프레임에 적용하여 기체 윤곽을 확보하고 점유 영역을 이진화하였다. 이때 조도 불균일 및 배경 제거 한계로 발생하는 기포 형상의 단절은 선형 보간으로 보정하였다.
보간된 이진화 영상은 기체점유율 시계열 자료로 변환하였다. 각 프레임에서 축 중심선상의 1 pixel 세로열(1 × )을 추출하고 이를 시간축 방향으로 배열하여 관 단면에 대한 시간압축 영상을 구성하였다. 추출된 1 × 영상에서 = 0.05-1.00 범위의 20개 지점을 설정하고 각 지점별 이진화 값을 추출하여 시계열 자료를 구성하였다. 구성된 시계열 자료를 바탕으로 지점별 기체점유율을 계산하였다. 이렇게 계산된 특정 지점의 기체점유율 값은 촬영된 전체 프레임에 대해 기체가 점유하는 프레임 비율로 정의되며, 이는 해당 지점에서 전체 촬영 시간 동안 기체가 점유하는 시간의 비에 해당한다.
3. 실험결과 및 분석
3.1 측정 기법 검증
본 연구에서 적용한 PIV 기법과 영상분석기법의 적합성을 평가하기 위하여 검증을 수행하였다. PIV 기법의 검증은 단상류 조건( = 0 m/s)에서 측정한 결과를 관수로 단상류 유속 분포 식인 지수 법칙(power-law) 및 멱 법칙(log-law)과의 비교를 통해 수행하였다(Lee et al., 2018). 측정된 단상류 유속 분포는 일부 구간에서 편차가 있으나 전반적으로 두 법칙과 일치하는 경향을 보였다(Fig. 8).
영상분석기법의 검증은 기존 연구 결과와의 비교를 통해 수행하였다. 본 연구에서는 시계열 자료를 바탕으로 지점별 기체점유율을 산정하였으나, 동일한 유량 조건에서 수평관 단면에 대한 지점별 기체점유율을 제시한 선행 연구 자료는 보고된 바 없었다. 이에 따라 지점별 결과를 단면 전체로 평균한 단면평균 기체점유율(area-averaged void fracion, )을 산정하고 이를 Dang et al. (2018)의 실험결과와 비교하였다(Table 3). 해당 연구에서의 기체점유율은 단면적 대비 기체가 점유한 면적비로 정의되며, 본 연구에서 산정한 단면평균 기체점유율과 동일한 개념에 해당한다. 다만 본 연구와 해당 연구의 실험 조건이 상이하여 직접적인 비교에는 한계가 있으므로 동일한 흐름양상 범위에 해당하는 값들을 선별 및 평균한 후 기체 단면점유율을 비교하였다. Dang et al. (2018)은 내경 101.6 mm 실험관에서 물-공기 이상류 실험을 수행하였으며 임피던스 보이드미터(impedance voidmeter)를 이용하여 단면평균 기체점유율을 측정하였다.
비교 결과 본 연구에서 산정된 단면평균 기체점유율은 흐름양상별로 선행 연구 대비 ±3% 이내 오차를 보였다(Table 3). 따라서 영상분석기법을 이용한 기체점유율 선정의 신뢰성이 확보된 것으로 판단하였다.
Table 3.
Void fraction comparison with Dang et al. (2018)
| Flow regime | Reference | (m/s) | (m/s) | Area-averaged void fraction () | Relative error (%) |
| Plug | Dang et al. (2018) | 1.548 | 0.207 - 0.619 | 0.132 | - |
| This Study | 1.485 | 0.106 - 0.318 | 0.134 | +1.515 | |
| Slug | Dang et al. (2018) | 1.548 | 0.826 - 1.549 | 0.233 | - |
| This Study | 1.485 | 0.424 - 0.531 | 0.238 | -2.146 |
3.2 기체점유율 분석
본 장에서는 유량비와 흐름양상에 따른 기체점유율 분포를 검토하였다. 먼저 유량비 변화에 따른 점유율 분포를 살펴본 후 흐름양상에 따른 특징을 분석하였다. 이후 기체점유율과 유효 벡터비를 연계하여 기체점유율이 유속구조에 미치는 영향을 살펴보았다. 이를 바탕으로 흐름양상별 시간평균 기체경계면을 산정하였으며 유효흐름단면을 제시하였다.
3.2.1 유량 조건별 기체점유율 분포
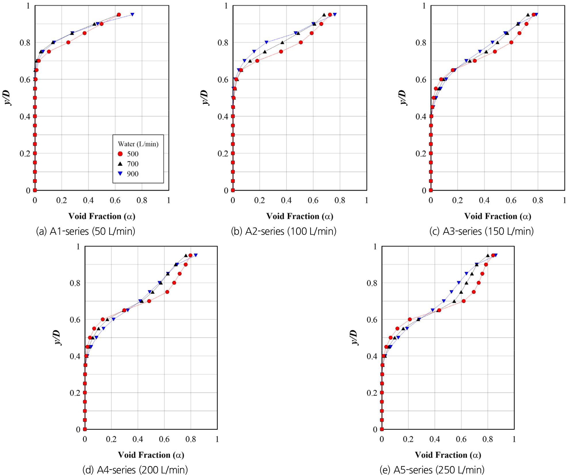
유량 조건에 따른 흐름단면 전체에 대한 기체점유율 분포는 Fig. 9에 도시된 바와 같다. 유량 500 L/min 및 700 L/min 조건에서는 공기량 증가에 따른 분포 형상이 전반적으로 유사하게 나타난다. 이는 공기량에 따라 기체점유율 크기는 달라지나 전체적인 분포 형태는 일정한 경향을 유지함을 의미한다. 반면 유량 900 L/min인 경우에서 공기량 증가에 따라 이전 조건과 구별되는 분포 특성이 관찰되었는데, 이는 액체와 기체 유속이 상대적으로 높은 조건에서는 난류 강도가 증가하여 기포 거동이 불안정해지기 때문이다(Kong, 2018). 이로 인해 연장된 기포(elongated bubble)가 작은 기포들이 나눠진 후 관 단면 전반으로 확산되면서 상부에 집중되었던 기체점유율이 보다 하부까지 넓게 분포된다. 그 결과 상부에 집중되었던 점유율 분포가 상대적으로 완만해지며 단면 전반으로 확산된 상대적으로 평탄한 분포 형태를 보인다.
공기량 조건별 비교 결과, 동일한 공기량에서는 액체 유량이 변화하더라도 점유율 분포 양상은 유사하게 나타난다(Fig. 10). 그러나 공기량이 증가함에 따라 분포 형태에서 차이를 보이며, 낮은 공기량 조건에서는 상대적으로 상부에 집중된 분포 곡선을 보인 반면 공기량이 증가하면서 완만한 분포 곡선으로 변화하는 것을 확인할 수 있다. 이러한 결과는 기체점유율 분포가 액체 유량보다는 공기량 변화에 따라 지배적으로 결정됨을 보여준다.
3.2.2 흐름양상별 기체점유율 분포
유량 조건별 비교를 통해 공기량이 기체점유율 분포를 결정하는 주요 요인으로 작용함을 확인하였다. 이는 기체점유율 분포가 유량 변화보다 공기량에 의해 지배되는 흐름양상의 특성에 따라 결정되는 것으로 판단된다. 이에 따라 실험 조건을 Table 4와 같이 흐름양상별로 구분하고 기체점유율 분포 특성을 검토하였다.
Table 4.
Experimental conditions classified by flow patterns
상대적으로 낮은 기체 유속을 갖는 플러그 흐름 조건에서 기체점유율 분포는 전반적으로 유사한 형태를 보인다(Fig. 11(a)). 기체점유율은 > 0.6 구간에서 급격히 증가하여 𝛼 ≈ 0.6~0.9 의 높은 값을 보이는 반면 그 이하 구간에서 𝛼 = 0에 수렴한다. 이는 짧은 길이의 기포와 긴 액체 슬러그 구간이 교대로 흐르는 플러그 흐름의 구조적 특성으로 인해 기포는 주로 관 상부를 따라 이동하며 기체점유율은 상부 구간에서 높은 값을 보이고 급격한 변화와 가파른 경사를 가지는 형성하기 때문이다. 이러한 결과는 액체 슬러그가 충분한 길이를 확보하여 내부 유동이 균일하고 안정적으로 유지되기 때문에 기포가 분산되지 않고 일정한 형상을 유지하는 플러그 흐름의 고유한 특성에 기인한 결과로 해석된다(Bottin et al., 2014).
슬러그 흐름에서도 유량 조건과 관계없이 전반적으로 유사한 기체점유율 분포가 관찰되었다(Fig. 11(b)). 기체점유율은 > 0.4 구간부터 증가하여 ≈ 0.6~0.9 구간에서 𝛼 ≈ 0.4~0.9 수준을 보이며, 플러그 흐름에 비해 완만한 구배가 형성된다. 슬러그 흐름의 경우 관 단면을 지배적으로 점유하는 연장된 기포(elongated bubble)가 형성되면서 후류부 난류 강도는 증가하며 기포의 후단부(tail)에서 분열과 재분산이 발생한다. 그 결과 기체가 점유하는 영역이 관 중심부 방향으로 확산되어 분포 곡선은 상대적으로 완만한 형태로 나타난다. 이러한 특성은 짧은 기포와 긴 액체 슬러그가 교대로 형성되는 플러그 흐름의 구조와 달리, 슬러그 흐름에서는 길이가 긴 기포가 단면을 지배하고 액체 슬러그가 상대적으로 짧아 내부 난류 교란이 크게 발생하기 때문이다(Kong, 2018). 본 연구에서도 이러한 구조적 특성이 점유율 분포 변화 양상으로 나타남을 확인하였다.
흐름양상에 따른 비교 결과, 기체점유율 분포는 흐름양상의 특성에 의해 지배적으로 결정됨을 확인하였다. 플러그 흐름에서는 기체점유율이 > 0.6 구간에 집중되어 𝛼 ≈ 0.6~0.9 수준의 급경사 분포를 보이는 반면 슬러그 흐름에서는 > 0.4 이후부터 𝛼 ≈ 0.4~0.9 범위로 완만하게 증가하며 보다 넓은 영역으로 확산된 분포 형태를 나타낸다. 즉, 플러그 흐름에서는 점유율이 상부에 국한되어 변화 폭이 제한적이나 슬러그 흐름에서는 관 중심부까지 확산되며 플러그 흐름과는 구분되는 곡선의 기울기와 분포 양상이 관찰된다. 이러한 결과는 기체점유율 분포가 단순히 유량 조건이 아닌 물과 공기의 상호작용에 의한 구조적 특성에 의해 좌우됨을 보여준다.
3.2.3 관계 특성
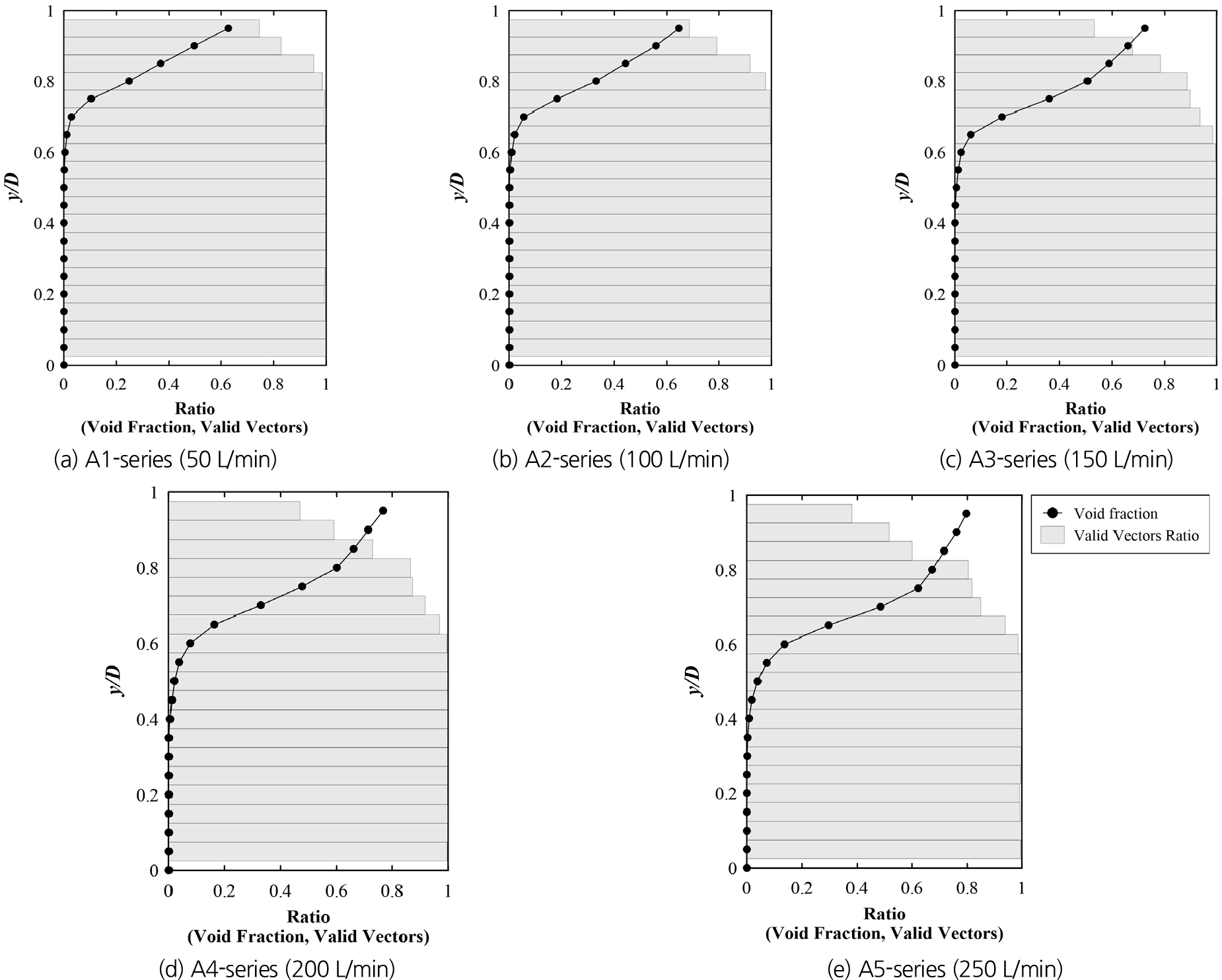
본 절에서는 기체점유율(𝛼)과 지점별 유효 벡터비(Valid Vectors Ratio, VVR) 간의 관계를 검토하였다. 기체점유율은 관 내 기포 거동을 정량적으로 나타내는 주요 지표로서 액체 유속과의 상호작용을 통해 흐름 구조 변화를 해석할 수 있다. VVR은 각 지점에서 측정된 전체 프레임 수 대비 실제 유효하게 활용된 프레임 수의 비율로 정의되며 PIV 측정의 신뢰도를 평가하는 지표로 활용된다. INSIGHT4GTM의 Correlation Height Check (CHC) 기준을 적용하여 지점별 상관 피크(peak)의 신뢰도가 확보된 프레임을 유효 프레임으로 판정하였다. 기체점유율이 증가하면 계면 교란과 추적자 소실로 인해 VVR은 감소하는 경향을 보인다. 따라서 이상류 조건에서 공기 혼입은 관 단면 위치별 유효하게 측정되는 벡터 수를 변화시키며, 벡터 비율의 감소 구간은 실제 기체 점유 영역을 추정하는 보조 지표로 활용될 수 있다. 기체점유율과 유효 벡터비 간의 관계를 비교함으로써 물-공기 이상류에서 기체가 액체 유속에 미치는 영향을 파악하고, 이를 바탕으로 흐름양상에 따른 평균 기체경계면과 유효흐름단면을 추정하고자 한다.
Fig. 12는 유량 500 L/min 조건에서 공기량 변화에 따른 분포를 보여준다. 공기량이 증가함에 따라 기포는 관 상부에 국한되지 않고 관 중심 방향으로 확산되며 기체점유율이 아래로 확대되었고, 이에 따라 각 지점에서 유효하게 측정된 벡터 비율도 점진적으로 감소하였다. 공기량 50 L/min의 경우 관 지름의 90%에 해당하는 상부 구간에서 VVR은 약 0.8 정도였으나 250 L/min으로 공기량이 증가하면서 동일 지점의 VVR은 약 0.3 이하로 감소한다. 이는 흐름이 슬러그 흐름으로 전환되고 공기량이 증가함에 따라 특정 지점의 기체점유율 상승과 그로 인한 추적자 소실 및 계면 영향으로 유속 측정의 유효성이 낮아지기 때문이다. 반면 관 중심 하부에서는 공기량과 관계없이 VVR이 대체로 1.0에 근사하는데, 이는 플러그 및 슬러그 흐름에서 기포가 부력의 영향으로 주로 관 상부에 분포하기 때문에 하부 구간에서는 기체의 간섭없이 유속이 안정적으로 측정됨을 의미한다. 이러한 결과는 공기량 변화가 기체점유율 분포뿐 아니라 PIV 유효 벡터비에도 직접적인 영향을 미치며 특히 상부 구간의 측정 신뢰성을 평가할 수 있는 보조 지표로 활용될 수 있음을 보여준다.
Fig. 13에 흐름양상별 관계를 제시하였다. 전체 실험 조건 중 각 흐름의 대표 조건으로 플러그 흐름은 A1( = 50 L/min), 슬러그 흐름은 A5( = 250 L/min)를 선정하여 W1, W2 조건과 조합하였다. 관 상부에 기포가 집중적으로 분포하는 플러그 흐름의 경우 > 0.8 구간에서 기체점유율은 약 0.48, 유효 벡터비는 0.82 수준으로 나타난다. 반면 슬러그 흐름에서는 동일 구간에서 기체점유율이 약 0.69로 증가하는 동시에 유효 벡터비는 0.73으로 저하되며 유속 측정 신뢰도가 크게 저하된다. 하부 구간( < 0.4)에서는 두 흐름양상 모두 기체점유율이 0.05 이하로 유지되어 기체의 영향을 거의 받지 않으며 유효 벡터비는 1.0에 근사하는 안정적인 값을 나타낸다(Table 5).
Table 5.
Local void fraction and valid vector ratio for plug flow ( = 700 L/min, = 50 L/min) and slug flow ( = 700 L/min, = 250 L/min)
플러그 흐름(W2A1)과 슬러그 흐름(W2A5)의 대표 지점별 기체점유율과 유효 벡터비를 Table 6에 제시하였다. 두 흐름양상 모두에서 𝛼가 약 0.3 수준일 때 VVR은 0.9 내외로 유지된다. 그러나 𝛼가 0.3을 초과하는 상부 구간에서는 기체점유율이 증가함에 따라 VVR이 급격히 낮아지며, 반대로 𝛼 < 0.3 인 하부 구간에서 VVR은 1에 근사하는 경향을 보인다. 이는 곧 𝛼 ≈ 0.3 부근을 경계로 순간 유속 벡터장이 갖는 불안정성이 크게 증가하여 시간평균 유속장과 순간 유속장의 차이가 발생하는 변곡점으로 판단된다.
Table 6.
Gas height() at 𝛼 = 0.3, gas area fraction(), and liquid area fraction ()
결과적으로 플러그와 슬러그 흐름의 점유율 차이는 주로 상부 구간에서 뚜렷하게 나타나며 특히 𝛼 ≈ 0.3 수준이 기체 점유 경계로 작용함을 확인할 수 있다. 즉, 𝛼 ≈ 0.3은 상(phase) 전환 지점으로 관찰되며 이를 기준으로 관 내 기체와 액체의 지배 영역을 구분할 수 있음을 의미한다. 따라서 본 연구에서 수행된 실험결과를 바탕으로 기체점유율 𝛼 = 0.3을 기체 점유 영역의 경계 기준으로 판단하였다.
3.3 평균 기체경계면 및 유효흐름단면 추정
앞서 설정한 기체점유율 기준 𝛼 = 0.3을 적용하여 전체 시간평균 기체경계면 높이를 산정하고 유효흐름단면을 도출하였다. 각 흐름양상별로 𝛼 = 0.3이 나타나는 단면 위치()를 계산하고 이를 기준으로 시간평균 기체경계면을 정의하였다(Fig. 14). 시간평균 기체경계면은 각 지점에서 전체 촬영 시간 동안 기체가 점유한 시간의 비를 기반으로 산정된 평균 높이로, 이상류 조건에서 기체가 시간평균적으로 차지하는 단면 내 위치를 의미한다. 해당 경계면을 기준으로 관 단면 내 액체와 기체 흐름 영역을 구분하고 액체가 점유하는 유효흐름단면적을 산정하였다. 이를 통해 내경 100 mm 수평관에서 이상류 조건에 따른 흐름양상별 액체 단면 점유 비율과 유효흐름단면적을 정량적으로 제시하고자 한다.
유량 조건별 𝛼 = 0.3에 해당하는 상대 위치를 기준으로 산정한 결과를 Table 6에 제시하였다. 관 하부에서 상부로 정의된 무차원 높이()를 기준으로 기체 점유 경계면을 나타내고 기체가 점유하는 높이 비율()을 산정하였다. 이때 기체점유율 기준이 측정 지점에서 나타나지 않는 경우, 인접 지점 간 선형보간을 통해 해당 위치를 산정하였다. 산정된 높이를 바탕으로 내경 = 100 mm 원형 단면에서 해당 높이에 대응하는 중심각 𝜃를 구하였으며 이는 Eq. (1)과 같다. 여기서 은 반지름이다.
계산된 𝜃를 통해 원형 단면 내 기체와 액체의 단면적을 각각 계산하였으며 액체 단면적()을 전체 단면적() 대비 액체가 차지하는 비율로 나타냈다. 액체 단면점유율()은 Eq. (2)와 같이 정의된다.
이와 같은 절차를 통해 산정된 각 유량 조건별 액체 단면점유율을 흐름양상별로 구분하여 유효 액체점유율을 도출하였다.
Table 6의 결과에 따르면 플러그 흐름에서는 이 약 85~90%, 슬러그 흐름에서는 65~75% 수준으로 나타나며 두 흐름양상 간 차이가 확인된다. 플러그 흐름은 전반적으로 일정한 경향을 보이나, W1A2( = 500 L/min, = 100 L/min) 조건에서는 상대적으로 낮은 액체점유율이 관찰된다. 이는 해당 조건에서 기체 겉보기 유속()이 액체 겉보기 유속()보다 상대적으로 높아 플러그 흐름임에도 불구하고 슬러그에 가까운 거동을 보이기 때문이다. 반대로 슬러그 흐름에서는 평균적으로 낮은 액체점유율을 보이나 W2A3( = 700 L/min, = 150 L/min), W3A3( = 900 L/min, = 150 L/min) 조건에서는 다른 조건과 비교하여 액체점유율이 상대적으로 높게 나타난다. 이는 기체 겉보기 유속의 영향이 감소되어 슬러그 흐름임에도 불구하고 상대적으로 안정적인 흐름을 가지기 때문이다. 이러한 일부 경향에도 불구하고 전반적으로 각 흐름양상별 액체점유율은 유사한 분포 구조를 보인다.
4. 결론 및 고찰
본 연구는 수평관 내 물-공기 이상류의 플러그와 슬러그 흐름을 대상으로 흐름의 주기적 특성을 고려한 기체점유율과 평균 기체경계면을 분석하여 흐름양상별 유효흐름단면을 제시하였다. 이를 위해 유속구조 실험과 기포거동 실험을 각각 수행하였으며 PIV 기법을 적용하여 시간평균 유속구조를 측정하고 영상분석기법을 통해 단면 내 기체점유율 분포를 분석하였다.
실험결과, 기체점유율 분포는 유량 조건보다 흐름양상의 구조적 특성에 의해 지배적으로 결정됨을 확인하였다. 플러그 흐름의 경우 짧은 기포와 긴 액체 슬러그가 교대로 나타나는 구조로 기체가 관 상부에 집중되어 급격한 경사의 분포 곡선을 보였다. 반면 슬러그 흐름에서는 긴 기포가 관 단면을 지배함에 따라 기체가 단면 전반으로 확산되면서 상대적으로 완만한 분포 형태를 나타냈다. 특히 기체점유율이 약 0.3을 초과하는 상부 구간에서 유효 벡터비는 급격히 감소하는 경향이 일관되게 나타났으며 이는 해당 지점이 유체 상을 구분하는 경계로 작용함을 보여준다. 따라서 본 연구에서는 기체점유율 𝛼 = 0.3을 기체 점유 영역의 경계 기준으로 정의하여 흐름양상별 유효흐름단면을 산정하였다. 그 결과 산정된 유효흐름단면은 흐름양상에 따라 뚜렷한 차이를 나타냈다. 플러그 흐름에서는 유효 액체 단면점유율이 약 85~90% 수준으로 산정된 반면, 슬러그 흐름에서는 65~75% 수준으로 더 낮게 나타났다. 일부 조건에서는 흐름 전이 구간의 특성으로 인해 평균과 차이를 보이는 경우가 있었으나 모든 조건에서 상대오차는 10% 이내로 분석되었다.
물-공기 이상류의 상 분포는 시간에 따라 불규칙하게 변동하지만 시간평균적으로는 기체와 액체의 지배적인 점유 영역이 형성된다. 본 연구의 내경 100 mm 대구경 수평관에서는 흐름양상에 따라 각 상의 유효흐름단면이 상이하게 나타났다. 플러그 흐름의 경우 기체가 단면의 약 10~15%를 점유하여 유효흐름단면은 85~90% 수준으로 감소하였으며 슬러그 흐름에서는 기체점유율이 25~35%까지 증가하며 유효흐름단면은 65~75% 수준까지 감소하였다. 이러한 결과는 대심도 터널과 같은 대구경 관로에서 흐름양상에 따라 실제 배수능력이 설계 유량을 안정적으로 처리하지 못할 수 있음을 시사한다.
본 연구 결과는 이상류가 발생하는 관로시스템의 설계 및 운영 단계에서 공기 혼입에 따른 유효흐름단면 감소를 정량적으로 반영하여 안정적인 배수 성능을 확보하는 데 활용될 수 있다. 또한 유속구조와 기체점유율 분포 간의 상관관계를 통해 이상류 거동을 정량적으로 해석하기 위한 기초 자료를 제공하며, 향후 대심도 터널 및 대구경 관로의 설계 시 공기 혼입을 고려한 통수능 산정과 배수 성능 평가에 활용될 수 있을 것으로 기대된다.































