1. 서 론
2. 대상유역 및 자료
2.1 대상유역
2.2 주요 강우사상
2.3 강우사상별 유출성분분석
2.4 강우사상별 유출율 및 비첨두유량 분석
3. 물리기반 분포형 강우-유출모델링
3.1 지배방정식
3.2 모형 구축
4. 홍수량 모의결과
4.1 매개변수 보정 및 검정
4.2 경계조건별 유출모의
5. 결 론
1. 서 론
하천에서의 정확한 유량관측은 수공시설물의 설계 및 하천관리에 있어서 필수적이며, 유량은 수자원 관련 계획 수립이나 수량ㆍ수질ㆍ수생태계 관리 등의 기초자료로써 매우 중요한 요소이다. 그러나 하천 단면, 하상변동, 하상재료의 변화, 상ㆍ하류 하천변화, 수면경사 변화 등으로 인해 유량 측정 시 발생하는 오차와 불확실성 등으로 인하여 신뢰도 있는 유량계측이 쉽지 않은 실정이고, 특히 단면이 불규칙하고 수류의 에너지가 매우 큰 산지하천의 경우에는 더욱 큰 제약이 따르게 된다.
관측 유량의 신뢰도와 관련된 연구는 크게 원시계측인 수위값과 수위-유량 관계곡선식의 신뢰도가 최종 유량성과에 미치는 영향을 평가하는 분야와 유량성과가 유역의 강우-유출모형이나 하천수리모형의 신뢰도에 미치는 영향으로 진행되어 왔다. Noh et al. (2000)은 관측유량의 신뢰도를 평가하는 방법으로 하천유량을 직접 측정하여 기존 수위-유량 관계곡선식으로부터 구한 수문곡선에 중첩시켜 비교하는 방법, 유량과 유출률을 상호 비교하는 방법, 모델을 통한 모의값 비교 등의 방법을 언급하였다. Lee et al. (2007)은 수위-유량 관계곡선식의 신뢰도를 높이기 위해서는 계측장비의 개량과 유량관측 기준의 강화 등을 통한 유량 측정 자료의 품질개선이 필요하다고 언급하였으며, 저수위에서의 수위-유량 관계곡선식의 신뢰도를 높이기 위하여 영유량수위(Gauge Height of Zero Flow, GZF)의 산정 오류를 감소시키기 위한 평가 시스템을 구축하였다. Hwang et al. (2009)은 수위-유량 관계곡선식의 정확도를 분석하기 위하여 환산유량과 실측유량을 비교하여 수위-유량 관계곡선식의 신뢰도를 평가하였다. Lee and Kwon (2010)은 쌍치 수위관측소의 수위-유량 관계곡선의 변동 원인으로 지속적인 하상 변동, 식생에 의한 조도 변화, 상ㆍ하단 측선의 수위 미관측 등을 지적하였다. 또한 이러한 변동 원인들을 안정화하기 위하여 수면경사 안정화 방안을 제시한 바 있다. 또한 Lim et al. (2019)은 수위-유량 관계곡선식의 불확실성을 정량화하여 제시하였으며, 신뢰성 있는 유량 자료를 확보하기 위한 방안으로 Bootstrap과 Bayesian 회귀분석 방법을 활용하였다.
한편 계측유량의 신뢰도는 물리모형 구축에 직접적 영향을 미치게 되므로, 계측유량의 물리모형 신뢰도에 미치는 영향(Beven and Binley, 1992; Beven, 2006) 혹은 물리모형을 이용한 계측유량의 신뢰도 평가(McMillan et al., 2018; Kelleher et al., 2017)와 관련된 다양한 연구가 수행된 바 있다. 계측유량 평가방법론이 체계화된 것은 Beven and Binley (1992)가 댜양한 불확실성 요소들을 고려하여 관측데이터의 신뢰성을 모형화하고 평가하는 GLUE (Generalized Likelyhood Uncertainty Estimation)개념을 제시하면서 비롯되었다. 이후 Beven (2006)은 GLUE방법론의 이론적 기반인 “등종가성(Equifinality)” 개념을 설명하며, 수문모형에서 여러 다른 모델설정이나 매개변수 조합이 동일한 결과를 초래할 수 있는 현상을 개념화하게 된다. 등종가성 특성으로 인하여 다양한 매개변수 조합이 동일한 결과를 낼 수 있기 때문에, 어떤 설정이 실제 시스템을 가장 정확하게 반영하는지 확신하기 어려워지고 매개변수 보정과정에서 관측값을 잘 따라가는 매개변수 조합을 찾았다 하더라도 이것이 유역을 대표하는 정확한 조합이라고 단정할 수 없게 된다. 이는 결과적으로 수문모형의 해석을 복잡하게 만들고, 잘못된 매개변수 선택이 모델의 결과에 미치는 영향을 과소평가할 위험을 높이게 된다. 특히, 산지하천의 경우 불규칙한 단면과 급격한 경사로 인해 계측 유량에 불확실성이 크며, 이를 보정하기 위해서는 여러 매개변수 조합을 고려해야 하는데, 이 과정에서 등종가성 문제가 발생하며 어떤 매개변수가 최적의 결과를 낼지 판단하기 어렵기 때문에, 모델의 신뢰도를 낮출 수 있다.
하천의 수위, 유량 측정이 어렵거나 미계측 유역인 경우, 강우-유출 해석을 위한 수문모형을 활용하여 유출량을 추정할 수 있다. 강우-유출 모형은 물순환과정을 해석하기 위한 수식의 집합체로 특정 유역에서 발생하는 수문현상을 재현하거나 예측하기 위해서 사용되며, 공간적 변화 고려여부에 따라 집중형(Lumped)과 분포형(Distributed) 모형으로 구분할 수 있다. 1990년 이전에는 집중형 모형으로 STORM, ILLUDAS, HEC-1 등을 주로 사용하였으나, 그 이후에는 HEC-1을 보완한 HEC-HMS를 가장 많이 사용하고 있다(Hwang et al., 2019; Tassew et al., 2019). HEC-HMS는 국내외 다수의 연구사례를 통해 다양한 유역에서의 활용성이 검증되었으나(Yang et al., 2015; Kang et al., 2017; Mandal et al., 2016; Romali et al., 2018), 유역 특성을 반영한 매개변수를 활용하지만 유역의 공간적 변화를 충분히 고려하지 못한다는 한계가 존재한다. 이에 반해 분포형 모형은 집중형 모형에 비해 구조가 복잡하고 다수의 입력자료를 필요로 한다. 대표적인 분포형 모형으로는 Vflo가 있으며(Hwang et al., 2019; Hong, 2021), 국내에서는 한국수자원공사에서 개발한 K-DRUM 모형의 연구사례가 다수 존재한다(Park et al., 2009; Chung et al., 2010; Kim et al., 2013; Hwang et al., 2019; Hong, 2021). 특히 Hong et al. (2006)은 HEC-HMS와 Vflo모형을 통한 중랑천 유역의 홍수유출모의 결과를 비교하여, Vflo가 수문곡선의 첨두값과 도달시간에서 더 정확한 값을 모의한다고 언급하였다.
본 연구에서는 동일한 유역 내 위치한 관측소에서 다양한 형태의 호우 데이터를 수집하여, 유량이 상대적으로 많은 하류 지점의 관측값을 바탕으로 상류 지점의 유량 관측값의 신뢰성을 평가하고자 한다. 등종가성문제를 최소화하기 위하여 물리기반의 분포형모형을 통해 평가를 진행하였으며, 이를 위해 먼저 연구 지역의 지형 및 토양 자료를 수집하여, GIS 기반의 물리적 유역 특성을 반영한 분포형 모형인 Vflo를 구축하였다. 구축된 Vlfo 모형은 연구 유역 내의 강우-유출 과정을 보다 정확히 반영하기 위해 강우 강도, 지속 시간, 그리고 각 지점의 유출 반응을 고려하여 모형의 Event 별 보정과정을 통해 매개변수를 최적화하였다. 보정된 매개변수를 적용하여 물리적 기반의 분포형 모형이 유역 내에서 얼마나 정확하게 관측값을 모의하는지 검증하였다. 특히, 상류 지점의 관측값을 모형의 경계조건으로 설정한 후, 모의 결과와 실제 관측값 간의 오차와 다양한 평가지표인 첨두 유량 오차백분율, R2, NSE, RMSE, PBIAS 등을 비교함으로써 각 관측소의 신뢰도를 평가하였다. 이를 통해 분포형 모형의 신뢰성과 상류 지점에서의 유량 관측값의 불확실성을 줄여 궁극적으로 정확도 높은 유출량 예측을 수행하고자 한다.
2. 대상유역 및 자료
2.1 대상유역
본 연구는 남강댐 유역 내 산청 소유역을 중심으로 진행되었다. 산청 소유역(산청유역)은 산청관측소를 기준으로 한 상류유역을 의미하며, 남강댐 유역의 49.5%를 차지하는 지역으로서 전체 유역면적은 남강댐유역 2,285 km2중 1,130 km2에 달하고 있다. 대상유역 내에는 환경부 3개, 한국수자원공사 9개 등 총 12개의 강우관측소, 한국수자원공사에서 관리중인 수위관측소 5개가 운영되고 있다(Fig. 1, Table 1). 산청 유역은 전체적으로 면적이 1,130 km2에 달하며, 평균 해발고도는 543.19 m, 평균 경사는 16.23°를 보이고 있다. 이중 임천 유역의 면적은 465.77 km2로, 연구 지역에서 가장 넓은 유역이다. 평균 해발고도는 659.98 m이며, 평균 경사는 17.66°로 비교적 가파른 지형을 가지고 있으며, 산청지점과 가장 가까이 위치하고 있다. 함양 유역의 면적은 124.68 km2로, 임천 유역에 비해 상대적으로 작은 유역이다. 평균 해발고도는 518.74 m이며, 평균 경사는 16.59°로 나타나 있다. 안의 유역의 면적은 216.36 km2로, 중간 크기의 유역이다. 평균 해발고도는 663.51 m로 가장 높으며, 평균 경사는 17.59°로 임천 유역과 유사하게 가파른 지형을 보이고 있다. 산청 소유역은 산청지점과 상류 임천, 함양, 안의 지점 사이의 잔유역으로 323.24 km2의 면적을 가지며, 평균 해발고도는 303.79 m로 가장 낮다. 또한, 평균 경사는 13.12°로 가장 완만한 지형을 가지고 있다. 산청유역 내 운영 중인 한국수자원공사 관할 5개의 수위관측소에 대한 관측소별 수위-유량 관계곡선(Rating curve)은 다음 Table 2와 같으며 해당 수위-유량 관계곡선을 통하여 하천 내 유출량을 산정하여 제시하고 있다.
Table 1.
Subbasin characteristics of the testbed
Table 2.
Rating curves in water level gauging stations in Sancheong Basin
2.2 주요 강우사상
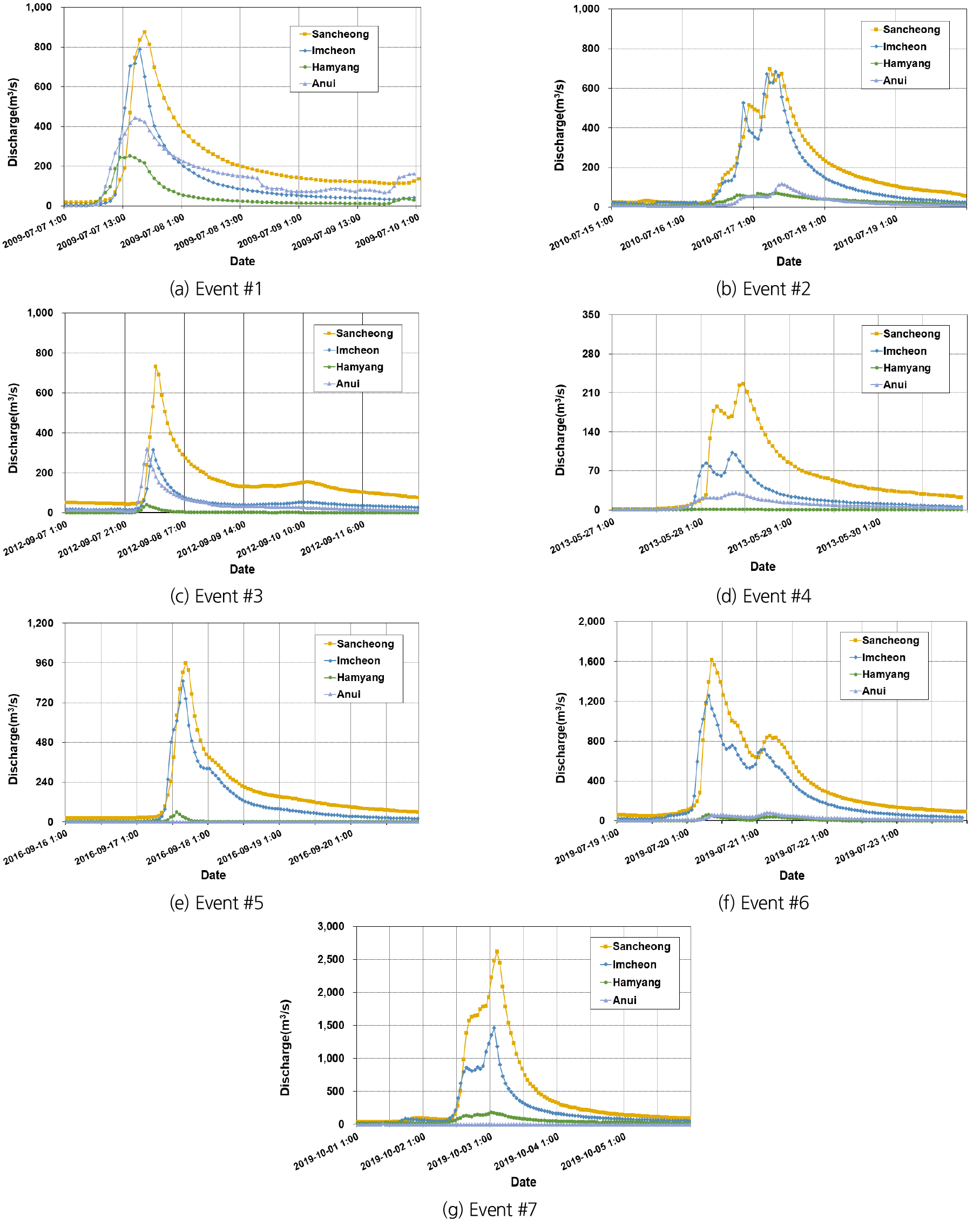
산청유역의 유출량에 대해 모의하기 위하여 10년(2009~2019)동안 일강우량 100 mm 이상의 규모를 보인 강우사상, 총 강우가 작지만 지속기간이 짧아 강우강도가 높은 규모를 보인 사상들을 조사하였다. 유역의 지형적 특성과 토양조건에 따라 강우량이 일정 수준을 넘어야 본격적인 유출이 발생하게 되는데, 100 mm이상의 강우는 일반적으로 홍수 발생 가능성이 높은 강우이다. 또한 유역에서 유의미한 유출이 발생하여 분포형 모형의 모의와 성능을 평가하기에 충분한 강우량 기준이 되기 때문에 100 mm 이상의 강우량을 기준으로 Event를 산정하였다(Table 3). 총 5개의 집중호우사상과 2개의 태풍호우사상으로 구성되었으며, 집중호우사상이 평균 32.2시간, 태풍호우사상이 55시간을 보이고 있다. Event #3의 경우 지속시간이 짧고 총 강우 측면에서는 규모가 가장 작았지만 강우강도가 높았던 사상이었기 때문에 지속시간과 강우강도를 함께 고려하여 분석에 포함하였다. Fig. 2는 각 강우사상별 상류지점별 수문곡선과 산청지점의 수문곡선을 비교한 그림이다. 모든 강우 사상에서 유출량은 강우 시작 후 급격하게 상승하며, 강우 종료 후 빠르게 감소하는 경향을 보이며 이는 유역의 반응 시간이 상대적으로 짧음을 시사하며, 지표표면 유출이 주된 유출 메커니즘임을 알 수 있다. 임천소유역의 면적이 가장 클 뿐만 아니라 임천지점이 산청지점과 가장 가까이 위치한 관계로 임천지점의 유출이 산청지점에 매우 직접적인 영향을 미치고 있음을 알 수 있다. 태풍 다나스와 미탁에서 발생한 유출량은 일반 집중호우 사상에 비해 첨두 유출 시간이 길고, 유출량이 더 크며, 유출 감소가 더 천천히 이루어진다. 함양과 안의 지점에서는 일부 사상에서 예상보다 낮은 유출량을 기록하거나 유출량의 변동성이 크게 나타난 경우가 있는데, 이는 지역적인 강우 분포의 불균등성 또는 지형적 요인에 기인할 수 있다고 보여진다.
Table 3.
Specification of the rainfall events
2.3 강우사상별 유출성분분석
본 연구에서는 7개 강우사상별 산청소유역내 4개 계측지점에 대한 평균강우, 강우체적, 첨두유량, 유출총량, 첨두비유량, 유출심을 비교정리하였다(Table 4). 이 중에 특히 동일한 강우 조건 하에서 각 유역의 유량을 비교하기 위해 비유량(유역 면적 대비 유량)을 산정하였다. 이는 각 유역의 면적 차이를 보정하여, 보다 객관적이고 일관된 기준으로 유량을 비교하고자 하는 목적이었다. 강우사상 분석 결과, 동일한 강우사상 하에서 각 지점의 비유량 값이 큰 차이를 보일 경우, 특히 특정 지점에서 다른 지점들에 비해 비유량이 현저히 낮거나 높다면, 이는 해당 지점의 계측 유량에 이상이 있을 가능성을 시사하는 신호로서 해석될 수 있다. 비유량 비교결과 상류 및 하류 구간에서 유출량이 과대 또는 과소 산정된 사례가 다수 확인되었다.
Table 4.
Hydrological characteristics of Event #1~7
Event #1에서 상류의 비첨두유량은 1.7 m3/s/km2로 나타났고, 하류인 산청의 비첨두유량은 0.7 m3/s/km2로 두 배 이상의 차이가 발생했다. 이러한 큰 차이는 상류 구간에서 유출량이 과대 추정되었을 가능성을 시사하며 이를 통해 관측된 유량이 실제 강우량에 비해 과대 평가되었음을 알 수 있다. 특히 안의 소유역의 경우, Event #1에서 총 유출량이 총 강우량을 초과(144.2%)하는 등 이상치를 나타냈으며, Event #3에서도 96.9%로 높은 값을 보여 유량이 과대 산정되었을 가능성이 높다. 반면 Event #5와 #7에서는 유출율이 0~0.1%로 매우 낮은 값을 보여 유량이 과소 추정된 것으로 사료된다. 이는 결측 자료나 관측 오류가 발생했을 가능성이 크며, 상류 구간의 신뢰도가 낮음을 나타낸다. Event #4에서 함양 소유역의 첨두유출량이 0.23 m3/s, 비유량이 0.002 m3/s/km2로 기록되어 다른 소유역에 비해 현저히 낮게 나타났기 때문이다. 이러한 결과는 단순한 관측값의 이상치인지, 아니면 해당 소유역의 특성에서 기인한 것인지를 판단하기 위해 통계적 분석이 필요하다.
함양 소유역은 평균강우량 대비 유출량이 일관되게 낮은 경향을 보였으며, 이는 소유역의 지형적 특성, 토양의 침투율 등 물리적 요인이 영향을 미친 것으로 보인다. 예를 들어, Event #2에서 함양의 유출고는 96 mm로, 임천(126 mm)과 산청(67 mm)보다 낮은 값을 나타냈으며, 이는 소유역의 물리적 특성이 반영된 결과일 가능성이 크다. 또한, Event #6에서 함양과 임천의 유출량이 총 강우량 대비 적은 값을 나타냈으며, 이는 비유량과 유출고 분석에서도 과소하게 산정된 것을 확인할 수 있다. 또한 임천 소유역의 총 유출량이 105 Mm3로, 총 강우량 98 Mm3를 초과하여 기록된 결과로 확인된다. 이는 유출량이 실제보다 과대 산정되었을 가능성을 시사하며, 관측값이 이상치로 판단된다.
임천 소유역의 비유량은 3.14 m3/s/km2로 나타났으며, 이는 다른 소유역에 비해 높은 값을 보였다. 따라서 임천의 물리적 특성인 경사도와 침투율 등이 반영되어 유출량이 과대 산정되었을 가능성도 배제할 수 없다. 전반적으로 상류 구간의 관측값 신뢰도가 낮아 유출량이 과대 또는 과소 산정되는 경우가 많았으며, 유출 성분 분석을 통해 이러한 이상치가 더욱 명확히 드러났고 상류 관측 지점에서의 자료를 보정할 필요성이 더욱 부각되었다.
비유량이라는 단일 지표만으로 계측 유량의 정확성을 단정할 수 없으며, 계측기의 기계적 결함이나 영점 조정 오류로 인한 일관된 오차일 경우에는 지속적으로 같은 패턴의 오류를 보일 가능성이 크다. 산지 하천의 특성상 유역의 지형적 변화나 불균등한 강우 분포, 강우 사상의 특성 등으로 인해, 계측 성과는 특정 사상에서 과다 혹은 과소하게 나타날 수 있다. 그럼에도 불구하고, 비유량 값이 다른 지점과 비교해 특이한 경우, 계측 유량의 이상을 의심할 수 있는 1차적인 근거로 판단해볼 수 있다.
산지 하천의 경우, 강우에 대한 유출 반응이 상대적으로 빠르고 급격하게 나타나며, 유량의 정확한 계측이 어려운것이 사실이다. 특히 불규칙한 단면 형상이나 수위-유량 곡선식의 불확실성으로 인해 특정 강우 사상에서 계측된 유량이 과소 혹은 과다하게 기록되는 경향이 자주 관찰된다. 따라서, 비유량은 계측 유량의 정확성을 평가하는 하나의 도구로 사용되며, 이는 특히 산지 하천과 같은 불안정한 유역에서 유의미한 결과를 도출할 수 있는 방법이다. 보통 물리 모형의 매개변수를 관측값을 근거로 검보정하는 것이 일반적이지만, 만일 검증된 물리 모형이 이미 존재한다면 역으로 이를 통하여 계측값의 신뢰도를 평가하거나 결측값을 보완하며, 유출량 예측의 정확도를 높힐 필요가 있다.
2.4 강우사상별 유출율 및 비첨두유량 분석
산청유역의 소유역 구분에 따른 강우사상별 유출율, 첨두유량, 비첨두유량을 산정한 결과는 다음과 같다(Table 5). 그결과 강우사상별 유출율이 이상치를 나타내는 소유역을 확인할 수 있었다. 특히 안의 소유역에서는 Event #1에서 144.2%, Event #3에서 96.9%의 높은 유출율을 보이는 반면, Event #5, #7에서는 유출율 0~0.1%로 매우 낮은 값을 나타낸다. 이는 해당 강우사상 기간 동안 안의 관측소에서 결측이 발생했기 때문으로 판단된다. 또한 Fig. 2(d)를 통해 안의 소유역은 강우에 따른 유출율의 경향성이 산청, 임천 소유역에 비해 떨어지는 것을 확인할 수 있었다. 함양 소유역의 경우 Event #3~6에서 다른 소유역에 비해 낮은 유출율과 비첨두유량을 보이는 것을 확인할 수 있다. 또한 Fig. 2(c)를 통해 강우에 따른 유출율의 경향성이 뚜렷하지 않음을 확인할 수 있다. 임천 소유역은 대체로 안정된 유출율을 보이지만 Event #6, #7에서 90%이상의 높은 유출율을 보이며 비첨두유량 값은 각각 2.69, 3.14m3/s/km2로 다소 큰 값을 나타냈지만 Fig. 2(b)를 통해 강우에 따른 유출율이 경향성을 가짐을 확인할 수 있었다. Event #4, #5의 경우 전체적인 유출율이 저조한 값으로, 선행강우가 5일 이상 존재하지 않아 토양이 건조한 상태로 유출율이 낮은 것으로 판단된다. 급한 경사도를 가질수록 유출율이 높은 것을 감안하더라도 상류 소유역의 높은 유출율과 앞서 관측된 수문자료 비교 결과를 통해 상류 관측값의 신뢰도가 낮다는 것을 보여주고 있다. 유출율 100%를 넘어가는 값과 대략 25%이하로 작은값을 심각수준으로 분류하고, 30~50%사이를 주의수준으로 분류한 결과, 7개 강우사상과 4개 관측지점에 대하여 결측값을 제외한 19개 값중 13개(68.4%) 값이 심각수준이였고, 4개(21.0%) 값이 주의수준으로 나타났다.
Table 5.
Runoff ratio (%) by storm events and subbasins
유출율과 더불어 첨두비유량을 산정해보면 계측신뢰도를 보다 명확히 평가할 수 있다. 먼저 유역내 강우사상별 총강우량 대비 첨두비유량 간 선형회귀분석을 수행한 후 95%신뢰구간을 벗어나는 점들을 확인해보았다 (Fig. 3). 강우사상별 계측지점별 신뢰도 매크릭스를 작성하게 되면 1차적으로 신뢰성이 의심되는 특정사상의 특정지점의 계측값들은 찾을 수 있다 (Table 6). 신뢰구간에서 벗어나 있지만 근접한 점들은 주의지점(W), 크게 벗어난 점들은 심각지점(S)으로 분류하였다. Event #1에서 함양과 안의 지점은 첨두비유량이 2.00과 2.06으로서 유역평균강우량에 비하여 신뢰구간을 크게 벗어나 있다. 출구의 산청지점은 0.77로 첨두비유량은 크게 줄었으나 유역평균강우량에 비하여 근소하게나마 신뢰구간을 벗어나 있어 주의지점으로 분류하였다. 이와같은 방식으로 분류한 결과 7개(36.8%) 값이 심각수준이었고, 5개(26.3%) 값이 주의수준으로 나타났다. 일부 구간은 유출율기준 지점과 중복된 지점은 심각지점이 6개값이었고, 주의지점이 3개값이었으며, 이는 유출율과 첨두비유량이 내포한 수문학적 속성이 다른데 기인한다. 따라서 두개 항목을 조합한 신뢰도 매트릭스를 산정한 결과 6개(31.6%) 심각수준, 9개(47.4%) 주의수준, 3개(15.8%) 관심수준으로 나타남을 확인하였다. 전체 19개 계측값의 79.0%가 주의수준이상의 신뢰도를 보인 것이다. 비록 남강댐 유역 최상류 유역의 7개 강우사상에 대한 표본을 대상으로한 평가라 하더라도 국내 산지하천의 유량계측에 대한 면밀한 평가가 필요함을 시사할 수 있는 결과라 보여진다.
3. 물리기반 분포형 강우-유출모델링
앞서 남강댐 상류소유역의 계측성과 신뢰도를 평가하였다. 본 연구는 이러한 불확실성을 포함하고 있는 계측자료가 강우-유출모델링에 어느 정도의 영향을 미치는지에 대한 평가를 시도하였다. 이를 위해 다양한 강우 사상을 대상으로 모의 실험을 재구성하고, 모형의 예측값과 관측값을 비교하여 산지 소하천 구간에서의 계측유량 신뢰도 평가를 수행하였다. 물리모형으로는 GIS 데이터를 기반으로 유역의 물리적 특성을 반영할 수 있는 분포형 수문 모형인 Vflo를 활용하여 유역의 강우-유출 과정을 모의하였다.
3.1 지배방정식
본 연구에서 적용하고자 하는 Vflo모형은 Vieux & Associates에서 개발한 격자기반 분포형 강우-유출 모형으로 게이지강우는 물론 레이더강수도 입력이 가능하다. 또한, GIS와 연동하여 각 격자에서의 물리적 특성을 고려하며, 레이더와 지상관측자료를 이용하여 초단시간 강우예측 모듈의 전처리시스템을 구축하고 있다. 하도추적과 지표면 유출을 모의하기 위하여 운동파 방정식을 사용한다. 수치해석 기법은 공간적으로는 유한요소법을 사용하며, 시간적으로는 유한차분 음해법을 사용한다. Vflo 모형은 지표면, 하도 흐름 추적을 위해 운동파 방정식을 이용하고 있다. 운동파 방정식은 운동량 보존 방정식의 형태를 단순화 하였으며 속도()와 수심()은 Eqs. (1), (2), (3)과 같은 관계가 있다(Vieux, 2004).
와 는 마찰경사와 하상경사이며 단순화된 운동량 방정식과 연속방정식은 지표와 수로에 적용되었고 초과강우에 의한 지표흐름은 Eq. (4)와 같은 1차원 연속방정식으로 표현한다.
여기서 은 강우강도, 는 침투율, 는 수심, 는 유속이며 하천에서 이를 등류로 가정한다면, Manning 공식을 이용하여 유속과 수심 사이의 관계를 표현할 수 있으며 Eq. (5)와 같이 적용할 수 있다.
여기서 은 조도계수이며, 유속과 수심은 조도계수에 의해 발생된 마찰과 하상경사의 영향을 받는다. 위의 식을 이용해 시간과 거리에 대한 수심의 변화는 다음 식으로 나타낼 수 있으며 수심을 단면적 로 치환하면 Eqs. (6) and (7)과 같다.
3.2 모형 구축
Vflo모형을 구동하기 위해 DEM, 토지이용도, 토양도 등의 격자자료를 210m의 격자로 가공하여 입력자료로 활용하였다. DEM을 이용하여 격자의 구분, 방향, 경사, 수로폭, 하상경사 등의 속성을 결정하고 토지이용도로부터 조도계수, 불투수율을 산정한다. 또한 토양도로부터 포화수투계수, 유효공극률, 습윤선단을 산정하며 유효토심도로부터 토양깊이를 산정하였고, 토지이용 및 토양정보로부터 침투능 지수를 유도하여 적용하였다.
대상 유역 상류의 유출량에 대한 평가를 위해 관측값을 경계조건으로 설정하여 유출을 모의하였다. Vflo모형은 상류지점의 관측값을 경계조건으로 설정하여 출구에서 유출량을 모의할 수 있으므로, 상류에 위치한 임천, 함양, 안의 관측소의 관측값을 경계조건으로 설정하여 강우사상별 산청에서 유출량을 산정하였다. 상류의 3개소에 대해 경계조건을 설정하는 방법으로는 미적용부터 1개소 적용, 2개소 적용, 3개소 적용까지 8가지의 Case로 구분할 수 있다(Table 7).
4. 홍수량 모의결과
본 연구에서는 신뢰도가 높은 하류의 산청유역 관측유량을 이용하여 매개변수 검ㆍ보정을 실시하였고, 7개의 강우사상 중 Event #1~5까지 보정사상, Event#6, 7사상을 검증사상으로 구분하였다. 집중호우사상(Events #1~5)은 상대적으로 짧은 지속 시간과 높은 강우 강도를 특징으로 하며, 이러한 조건은 유역의 신속한 반응을 유도하여 모형의 민감도를 평가하는 데 적합하다. 짧은 시간 내에 발생하는 집중호우는 소규모 유역에서의 유출 특성을 파악하고, 모형이 급격한 유출량 변동에 얼마나 정확히 반응하는지를 평가하는 데 중요한 역할을 한다. 특히, 첨두 유량 도달 시간과 모형의 반응 속도를 비교함으로써 모형이 고강도 강우에 대한 민감도를 평가할 수 있었다. 반면, 태풍호우사상(Events #6, 7)은 강우 지속 시간이 길고, 강우 총량이 매우 커 유역 전체의 포화 상태를 유도하며 장기적인 유출 패턴을 모사하는 데 유리하다. 이러한 강우 이벤트는 유출량이 서서히 증가하는 경향을 보이며, 이를 통해 모형의 장기적 안정성 및 지속적인 유출 예측 능력을 검증할 수 있다. 보정사상에서 최적의 매개변수를 도출하기 위해 각 사상별 매개변수 보정을 수행하였으며, 보정된 매개변수 범위 내 군을 만들어 보정사상에 적용하고 결정계수(R2)가 가장 높은 군을 채택하여 검증 매개변수로 활용하였다.
4.1 매개변수 보정 및 검정
Table 8과 Fig. 4는 산청 유역에서 수행된 강우-유출 모델의 매개변수 보정 결과를 주요 평가지표들인 결정계수(R2), Nash-Sutcliffe 효율계수(NSE), 그리고 평균제곱근오차(RMSE)를 중심으로 설명하고 있다. 먼저 Table 8는 각 강우 이벤트에 대해 보정 전후의 R2, NSE, RMSE 값을 제시하여 모델의 성능이 어떻게 개선되었는지를 보여준다. 먼저, 시뮬레이션된 유출량과 관측된 유출량 간의 상관성을 나타내는 결정계수(R2)는 모든 이벤트에서 0.84에서 0.90 사이로 나타나, 보정된 모델이 관측된 유출량 패턴을 효과적으로 재현할 수 있음을 보여준다. 모델의 예측 능력을 평가하는 지표인 Nash-Sutcliffe 효율계수(NSE) 역시 대부분 0.82에서 0.85로 나타나, 모델이 유출량을 잘 예측하고 있음을 나타낸다. 이는 Fig. 4의 수문곡선에서도 확인할 수 있다. 평균제곱근오차(RMSE)는 모의된 유출량과 관측된 유출량 간의 전체적인 차이를 나타내며, 값이 작을수록 모델의 예측 오차가 적음을 의미한다. Table 8의 RMSE 값은 이벤트에 따라 다르지만, 보정 후에 대부분 감소하는 경향을 보인다. Event #4의 경우 RMSE가 25.7로, 다른 이벤트에 비해 매우 낮아 모델의 예측 정확도가 높음을 알 수 있다. Fig. 4는 전체 강우사상중 집중호우 사상인 #1, 3, 4와 태풍사상인 #6에 대하여 매개변수 보정 전후의 수문곡선을 보여준다. 특히, 첨두 유출 시점과 크기의 일치 여부를 통해 모델의 성능을 직접적으로 평가할 수 있다. 예를 들어, Event #3에서는 NSE 값이 0.85로, 모의된 유출량이 관측된 유출량과 매우 유사하게 나타난다. 전체적인 RMSE가 80.1로, 비교적 낮은 수치임에도 불구하고, 첨두모의는 관측 결과를 잘 따라가고 있는 모습을 보인다.
종합적으로, Table 8과 Fig. 4는 매개변수 보정 후 모델의 성능이 R2, NSE, RMSE 지표들을 통해 전반적으로 개선되었음을 보여준다. 이러한 지표들은 모델의 예측성능이 강화되었음을 의미하며, 홍수 예측 및 수문학적 분석에 있어 중요한 판단근거가 된다.
Table 8.
Calibration results by events
4.2 경계조건별 유출모의
산청유역의 상류에 위치한 임천, 함양, 안의 소유역의 관측값을 평가하기 위해 상류의 3개소를 경계조건으로 설정하여 유출을 모의하였으며, 관측값과 모의값의 첨두유량오차, 총유출량오차, 결정계수(R2), 모형의 효율성 계수(NSE), 평균제곱근오차(RMSE)를 산정하여 경계조건에 따른 모의값의 정확도를 평가한 결과는 Table 9 및 Fig. 5와 같다. Fig. 5에서는 경계조건 설정에 따른 모의수문곡선의 변화를 집중형 강우사상 #1, 3, 4와 태풍호우사상 #6에 대하여 나타내고 있다.
Table 9.
Simulation Results by modeling with varying boundary condition cases and by events
| Event # | Case # | Peak Q (m3/s) | Total Volume (Mm3) | R2 | NSE | RMSE | PBIAS | ||||
| Obs | Sim | %Error | Obs | Sim | %Error | ||||||
| 1 | 1 | 875.38 | 873.32 | 0.24 | 56.13 | 54.40 | 3.08 | 0.93 | 0.90 | 62.56 | 16.43 |
| 2 | 1240.14 | 41.67 | 65.94 | 17.48 | 0.98 | 0.67 | 113.64 | 26.21 | |||
| 3 | 1022.19 | 16.77 | 60.65 | 8.05 | 0.94 | 0.78 | 92.46 | 23..37 | |||
| 4 | 1080.73 | 23.46 | 78.73 | 40.26 | 0.97 | 0.63 | 121.17 | 39.53 | |||
| 5 | 1391.06 | 58.91 | 72.39 | 28.97 | 0.97 | 0.35 | 161.75 | 35.43 | |||
| 6 | 1427.63 | 63.09 | 90.01 | 60.36 | 0.99 | 0.02 | 198.87 | 59.81 | |||
| 7 | 1227.06 | 40.17 | 85.14 | 51.68 | 0.98 | 0.33 | 163.78 | 50.77 | |||
| 8 | 1581.18 | 80.63 | 96.44 | 71.82 | 0.98 | -0.50 | 246.15 | 71.05 | |||
| 2 | 1 | 696.73 | 691.30 | 0.78 | 75.86 | 47.58 | 37.28 | 0.87 | 0.74 | 91.56 | 39.2 |
| 2 | 857.78 | 23.12 | 83.15 | 9.61 | 0.95 | 0.84 | 70.75 | 25.7 | |||
| 3 | 729.80 | 4.75 | 57.08 | 24.76 | 0.91 | 0.84 | 70.11 | 29.7 | |||
| 4 | 718.43 | 3.12 | 54.09 | 28.70 | 0.92 | 0.83 | 72.63 | 31.3 | |||
| 5 | 888.92 | 27.59 | 92.66 | 22.15 | 0.96 | 0.78 | 83.32 | 25.28 | |||
| 6 | 886.53 | 27.24 | 89.67 | 18.20 | 0.97 | 0.84 | 71.12 | 22.5 | |||
| 7 | 757.01 | 8.65 | 63.61 | 16.15 | 0.94 | 0.91 | 52.56 | 22.9 | |||
| 8 | 917.42 | 31.68 | 99.21 | 30.78 | 0.98 | 0.75 | 89.57 | 31.1 | |||
| 3 | 1 | 730.74 | 726.68 | 0.56 | 56.30 | 44.89 | 20.27 | 0.96 | 0.89 | 91.56 | 21.6 |
| 2 | 760.56 | 4.08 | 48.89 | 13.13 | 0.97 | 0.94 | 70.75 | 15.6 | |||
| 3 | 684.24 | 6.36 | 39.62 | 29.63 | 0.95 | 0.82 | 70.11 | 29.8 | |||
| 4 | 784.76 | 7.39 | 52.95 | 5.95 | 0.96 | 0.93 | 72.63 | 14.9 | |||
| 5 | 718.76 | 1.64 | 43.66 | 22.45 | 0.96 | 0.89 | 83.32 | 23.1 | |||
| 6 | 817.91 | 11.93 | 56.97 | 1.19 | 0.98 | 0.96 | 71.12 | 9.7 | |||
| 7 | 741.95 | 1.53 | 47.74 | 15.20 | 0.96 | 0.91 | 52.56 | 16.6 | |||
| 8 | 775.80 | 6.17 | 51.77 | 8.05 | 0.97 | 0.96 | 89.57 | 11.5 | |||
| 4 | 1 | 225.74 | 225.00 | 0.33 | 20.01 | 20.52 | 2.54 | 0.84 | 0.82 | 25.94 | 28.0 |
| 2 | 223.71 | 0.90 | 19.53 | 2.40 | 0.89 | 0.88 | 20.79 | 24.3 | |||
| 3 | 195.175 | 13.54 | 17.58 | 12.14 | 0.88 | 0.86 | 22.56 | 28.3 | |||
| 4 | 227.11 | 0.61 | 20.31 | 1.49 | 0.82 | 0.80 | 27.04 | 29.5 | |||
| 5 | 194.50 | 13.84 | 17.98 | 10.15 | 0.93 | 0.90 | 18.43 | 25.4 | |||
| 6 | 225.41 | 0.15 | 19.14 | 4.34 | 0.97 | 0.96 | 11.85 | 17.5 | |||
| 7 | 208.99 | 7.42 | 18.81 | 5.99 | 0.89 | 0.88 | 21.00 | 27.3 | |||
| 8 | 192.20 | 14.85 | 17.08 | 14.64 | 0.97 | 0.92 | 16.71 | 23.6 | |||
| 5 | 1 | 957.47 | 951.32 | 0.64 | 69.97 | 62.35 | 10.89 | 0.81 | 0.74 | 98.95 | 41.5 |
| 2 | 1340.55 | 40.01 | 82.82 | 18.37 | 0.87 | 0.56 | 129.04 | 36.5 | |||
| 3 | 860.05 | 10.17 | 54.36 | 22.31 | 0.79 | 0.72 | 103.06 | 47.0 | |||
| 4 | 748.01 | 21.88 | 52.42 | 25.08 | 0.78 | 0.74 | 99.28 | 45.2 | |||
| 5 | 1271.40 | 32.79 | 74.74 | 6.82 | 0.89 | 0.69 | 108.82 | 34.1 | |||
| 6 | 1146.62 | 19.76 | 72.82 | 4.12 | 0.91 | 0.83 | 80.53 | 26.7 | |||
| 7 | 659.62 | 31.11 | 44.38 | 36.57 | 0.82 | 0.72 | 103.00 | 49.1 | |||
| 8 | 1077.54 | 12.54 | 64.73 | 7.49 | 0.94 | 0.89 | 64.33 | 26.2 | |||
| 6 | 1 | 1616.62 | 1591.93 | 1.53 | 157.61 | 129.91 | 17.58 | 0.93 | 0.89 | 123.80 | 26.4 |
| 2 | 1858.99 | 14.99 | 183.52 | 16.44 | 0.91 | 0.81 | 165.90 | 22.6 | |||
| 3 | 1473.31 | 8.86 | 119.76 | 24.01 | 0.91 | 0.86 | 144.33 | 32.2 | |||
| 4 | 1498.89 | 7.28 | 125.92 | 20.11 | 0.89 | 0.85 | 149.66 | 29.3 | |||
| 5 | 1773.02 | 9.67 | 173.37 | 10.00 | 0.92 | 0.86 | 144.69 | 20.3 | |||
| 6 | 1752.96 | 8.43 | 179.54 | 13.91 | 0.94 | 0.89 | 126.90 | 15.9 | |||
| 7 | 1399.51 | 13.43 | 115.71 | 26.58 | 0.94 | 0.86 | 142.54 | 29.5 | |||
| 8 | 1652.78 | 2.24 | 169.35 | 9.45 | 0.95 | 0.92 | 108.17 | 13.8 | |||
| 7 | 1 | 2613.37 | 2586.43 | 1.03 | 191.84 | 140.26 | 26.89 | 0.91 | 0.86 | 228.70 | 33.9 |
| 2 | 2645.12 | 1.22 | 184.15 | 4.01 | 0.94 | 0.94 | 152.38 | 20.7 | |||
| 3 | 2496.41 | 4.48 | 134.93 | 29.67 | 0.93 | 0.87 | 221.24 | 32.2 | |||
| 4 | 2178.86 | 16.63 | 117.86 | 38.56 | 0.88 | 0.76 | 306.09 | 43.8 | |||
| 5 | 2554.99 | 2.23 | 178.76 | 6.82 | 0.96 | 0.95 | 135.62 | 17.3 | |||
| 6 | 2212.96 | 15.32 | 148.93 | 22.37 | 0.93 | 0.88 | 216.95 | 43.2 | |||
| 7 | 2088.28 | 20.09 | 112.57 | 41.32 | 0.90 | 0.76 | 306.16 | 43.2 | |||
| 8 | 2147.04 | 17.85 | 156.42 | 18.46 | 0.94 | 0.89 | 207.34 | 24.3 | |||
Event #1의 Case #1(경계 조건 없이 모의)은 R2 0.93, NSE 0.90, RMSE 62.56으로 안정적인 결과를 보여준 반면, 경계 조건을 적용한 Case #2~8에서는 R2와 NSE가 다소 감소하고 RMSE가 증가하는 경향을 보였다. 이는 상류 소유역의 높은 유출률, 유출고로 인해 경계 조건을 설정해 모의한 결과의 오차가 증가했음을 시사한다. Event #1을 제외한 이벤트에서는 부분적으로라도 경계조건을 사용하는 것이 보다 좋은 성능을 보여주었다.
Event #2에서는 Case #3과 #7이 가장 좋은 성능을 보였다. 이 사례들은 R2와 NSE가 모두 0.9 이상을 기록했으며, RMSE도 70~75 사이로 비교적 낮은 값을 보였다. 특히 Case #7의 경우 NSE가 0.91로, 다른 사례들보다 높은 값을 기록하여, 경계 조건을 적절히 설정하면 모델 성능이 향상될 수 있음을 보여주고 있었다. Event #2의 함양과 안의를 경계조건으로 적용한 Case #3, #4, #7은 Case #1에 비해 총 유출량오차는 9.6~24.8%로 감소하였고, 평가지수 3가지 항목 모두 개선된 결과를 나타냈다. 반면 임천을 경계조건으로 적용한 Case #2, #5, #6, #8은 Case #1의 총 유출량오차에 비해 개선된 결과를 나타냈으나, 첨두유량오차(23.1~31.7%)와 총 유출량오차(24.8~30.8%)는 높게 나타났다.
Event #3의 경우, 함양을 경계조건으로 적용한 Case #3과 #5의 첨두유량오차와 총 유출량오차가 Case #1에 비해 증가했다. 임천과 안의를 경계조건으로 설정한 Case #2, #4, #6은 첨두유량오차는 증가한 반면, 총 유출량오차는 1.2~13.1%로 나타났다. 또한 Case #6의 평가지수가 가장 양호한 결과를 보여주었다. Event #3 역시 경계 조건을 적절히 설정하면 모델 성능이 향상될 수 있음을 보여주고 있었다.
Event #4의 Case #3과 #5는 Case #1과 비교하였을 때 첨두유량오차와 총 유출량오차가 증가했다. 임천과 안의를 경계조건으로 설정한 Case #2, #4, #6은 첨두유량오차 0.15~0.90%, 총 유출량오차는 1.5~4.3%로 나타났고, Case #6의 평가지수가 가장 양호한 결과를 보여주었다. Event #4에서의 산청, 임천, 안의 소유역의 유출률 및 유출고는 큰 차이가 없는 반면, 함양 소유역은 타 유역에 비해 과소하게 나타났다. 이에 함양 소유역을 경계조건으로 설정하여 모의한 경우 첨두유량과 총 유출량이 감소하는 결과로 나타났다.
Event #5~7은 Case #8이 가장 우수한 결과를 나타내었다. Event #5의 경우 임천을 경계조건으로 설정한 Case #2, #5, #6, #8의 경우 첨두유량오차가 12.5~40.0%로 Case #1과 비교하여 첨두유출량이 크게 증가하였다. 함양과 안의를 경계조건으로 설정한 Case #3, #4, #7은 Case #1보다 유출량이 전체적으로 감소하였다. Event #5의 관측값이 결측 등 전반적으로 불안정한 영향이 유출모의에도 결과를 미친 것으로 보인다. 하지만 Case #8이 상대적으로 낮은 오차를 보였다. Event #6도 Event #5와 마찬가지로 Case #8이 가장 좋은 결과를 보였다. 첨두유량오차는 2.24%, 총 유출량오차는 9.45%로 다른 Case보다 작은 오차를 보이고 있는 것으로 나타났다. Event #7 또한 R2와 NSE는 각각 0.94와 0.89로 기록되었으며, RMSE는 207.34로 다른 케이스들보다 우수한 성능을 보였다.
모든 경계 조건을 활용한 경우인 Case 8번은 각 Event에서 결정계수(R2)가 0.94 이상으로 높은 신뢰도를 유지하는 것으로 나타났다. 이는 모형이 전체적인 유출 패턴을 잘 재현하고 있음을 의미하지만, 결정계수만으로는 첨두 유량의 정확한 예측을 보장하지 않는다는 한계가 있다. 실제로 Case 8번에서는 첨두 유량에서 관측값과 모의값 간에 큰 차이가 발생하였으며, Event #2에서는 첨두 유량의 오차가 최대 30% 이상으로 나타났다. 이는 모형의 경계 조건을 모두 활용한 상태에서 매개변수를 조정했음에도 불구하고, 첨두 유량과 같은 중요한 지표에서 신뢰성이 부족할 수 있음을 시사한다. 상류 지점에서 수집된 관측값이 신뢰성이 떨어지면, 이를 기반으로 설정한 경계 조건에 의해 모형이 첨두 유량을 정확하게 예측하지 못할 가능성이 높고, 상류 구간은 지형이 불규칙하고 강우의 공간적 변동성이 커서 유량의 측정이 더욱 어려워진다. 특히 첨두 유량은 단기간에 발생하는 유출량의 급격한 증가를 반영하는 지표로, 관측값의 정확성이 부족할 경우 모형에서 경계 조건을 설정하는 과정에서 큰 오차를 유발할 수 있다.
이처럼 결정계수, NSE 등 평가지표가 높은 신뢰성을 보여도 첨두 유량을 정확하게 예측하기 위해서는 상류 지점에서의 관측값 신뢰성을 개선하는 것이 중요하다. 특히, 상류 구간의 불규칙한 지형적 특성, 예를 들어, 급경사 지형, 협곡, 계곡 등의 복잡한 지형 구조 등은 첨두 유량의 발생 시기와 크기에 영향을 미쳐 모형의 예측 정확도를 저하시킬 수 있다. 또한, 상류에서 발생하는 국지적 강우의 분포와 그에 따른 유출 패턴이 모형에 충분히 반영되지 않는 경우도 첨두 유량에서의 오차를 유발하는 요인 중 하나일 수 있다. 이러한 불확실성을 줄이기 위해서는 상류 구간의 관측값에 대한 신뢰도를 추가적으로 개선할 필요가 있다. 관측 장비의 배치 밀도를 높이거나, 보다 정밀한 공간 해상도를 가진 모형을 적용하는 방법이 있을 수 있으며, 이를 통해 첨두 유량의 차이를 감소시킬 수 있을것으로 판단된다.
5. 결 론
본 연구에서는 산청, 임천, 함양 안의 지점을 대상으로 7개의 강우사상에 대한 관측수문자료를 검토하여 관측유량의 신뢰성을 확인하였다. 또한 남강댐 상류 산청유역에 대한 분포형 모형 Vflo을 구축하여 검ㆍ보정을 통해 최적 매개변수를 도출하였으며, 상류의 관측값을 경계조건으로 설정하고, 모의값의 오차와 평가지표를 비교하여 관측값을 평가하고자 하였다. 연구결과로부터 얻은 결론은 다음과 같다.
(1)댐 최상류 등 산지하천의 경우, 댐 하류에 비해 상대적으로 하천의 크기가 작고 유량이 적기 때문에 관측값이 불안정한 편이다. 본 연구의 대상 관측소인 임천, 함양, 안의는 남강댐 최상류 산지하천에 위치하는 관측소로, 상대적으로 하류에 위치한 산청과 비교하였을 때, 결측, 이상치 등 관측오류의 빈도가 높은 편이다. 산지하천 관측값의 오류는 강우시마다 발생한 것은 아니며, 유량의 크기가 현저하게 낮거나 높을 때 발생하는 오류가 대부분이라고 판단된다. 또한 측정위치, 방법에 따라 오류가 발생할 수 있다.
(2)산청, 임천, 함양 안의 소유역을 대상으로 7개의 강우사상에 대한 관측자료를 수집하여 유출률과 첨두비유량을 검토하였다. 수문학적 특성이 다른 유출율과 첨두비유량 지표를 사용하여 신뢰도 매트릭스를 산정한 결과 6개(31.6%) 심각수준, 9개(47.4%) 주의수준, 3개(15.8%) 관심수준으로 나타남을 확인하였다. 전체 19개 계측값의 79.0%가 주의수준이상의 신뢰도를 보이고 있었다. 비록 남강댐 유역 최상류 유역의 7개 강우사상에 대한 표본을 대상으로한 평가라 하더라도 국내 산지하천의 유량계측에 대한 면밀한 평가가 필요함을 시사할 수 있는 결과라 보여진다.
(3)상류 소유역을 경계조건으로 설정하여 모의하는 방법은 최적 매개변수 모의값의 결과에 영향을 미치기 때문에, 이를 통해 관측값을 평가 할 수 있을 것으로 판단하였다. 관측값과 8가지 모의값의 총 유출량오차, 첨두유량오차 등 오차분석과 R2, NSE, RMSE, PBIAS 등 평가지표를 작성하여 경계조건별 모의값을 정량적으로 평가하였다. 결측 또는 이상치가 포함된 관측값을 경계조건으로 설정한 경우 오차가 증가하고 평가지표가 하락하는 것으로 나타났다. 반면 경계조건으로 활용한 관측값에 오류가 없다고 판단된 경우, 총 유출량오차가 감소하고, 평가지표가 개선되었다.
(4)본 연구는 7개의 강우사상에 대해서 모의한 결과를 비교했지만 더 높은 신뢰도를 기대하기 위해서는 보다 많은 사상과 여러 유역에 대해 검증할 필요가 있다. 또한 물리기반의 분포형 모형을 사용함으로서 유역의 물리적, 공간적 특성을 반영하고자 노력했으나, 실제 자연유역의 특성은 지형뿐아니라 토양 및 토지이용에 따른 침투능의 공간적 변화가 강우의 공간변화와 복합적으로 상호작용하여 나타나는바, 현실적으로는 이들의 공간해상도가 각기 다른 현실에서 완벽한 모형구축에는 어려움이 따른다.
(5)본 연구에서는 상류 소유역(임천, 함양, 안의)의 관측값을 조합한 8가지의 경계조건 설정방법을 활용하여 하류(산청)에서 유출량을 검증하였다. 이 과정에서 임천, 함양, 안의 관측값에 결측, 이상치 등 오류가 있을 경우, 산청의 관측값과 모의값 간의 오차가 발생하였다. Vflo를 활용한 상류의 모의값이 절대적이라고 보기는 어려우나, 본 방법론을 통해 상류 관측값의 오류 여부를 판단할 수 있는 기준이 될 수 있을 것으로 보인다.










