1. 서 론
2. 대상지역의 특성
3. 토사유출량 산정식(MSDPM)
4. 사방댐의 용량초과확률 산정
4.1 신뢰성 모형
4.2 연 최대 강우강도의 통계적 특성
4.3 지역별 강우강도 산정
5. 분석결과
5.1 사방댐 설계의 적정성 분석
5.2 산불피해를 고려한 안전성 분석
6. 결 론
1. 서 론
최근 기후변화로 인한 극단적인 기상변화에 따라 국지성호우와 태풍등의 강도가 더해짐에 따라 피해가 급증하고 있다. 특히 이러한 자연재해가 산간지역에서 발생할 경우 산사태나 토석류로 이어지게 되며 큰 피해를 발생시킨다. 우리나라의 경우 국토면적의 약 63%(639만 ha)가 산림으로 구성되어 큰 비중을 차지하고 있으며 매년 토석류에 의한 피해가 꾸준히 증가하고 있는 현실이다. 국내외 피해 사례로는 구례군에서 2020년 8월 이틀간 400 mm가 넘는 폭우로 인해 토석류가 유출되어 피해가 발생하였으며, 2020년 12월 Orange County에서 발생한 산불과 뒤를 이은 강우로 피해지역에 토석류가 발생하여 도로 및 해안가 폐쇄 등 연쇄적인 피해가 발생하였다. 이러한 토석류에 의한 피해를 예방하기 위하여 근래에는 토석류에 관한 연구도 활발히 진행되고 있다.
Lee et al. (2013)는 향후 준설된 사방댐은 늘어나지만 사방댐 시설에 대한 관리는 거의 같은 수준에 머무르고 있다고 판단하고 강원도 내에 준설된 274개소의 사방댐을 대상으로 육안점검을 통해 향후 점검 및 기초자료 제공을 위한 점검 및 평가 방안을 마련하였다. 그 결과 7개의 사방댐이 불량상태이며, 관리가 필요하다고 판단하였다. 하지만 이 연구는 육안점검에 의한 평가 방법이기 때문에 정밀하고 구체적인 평가를 수행하기 부족하며, 정량적인 사방댐의 평가방법이 필요할 것으로 판단된다.
Jee et al. (2017)은 RUSLE (Revised Universal Soil Loss Equation)모형을 통한 토사유출량 산정결과와 실측 토사유출량을 비교하여 분석하였다. 대상지역은 강원도 춘천시, 원주시, 평창군, 홍천군 지역의 사방댐 50개소를 대상으로 토사유출량을 산정하였으며 퇴적된 실제 토사유출량과 비교하였다. 그 결과 실측 토사유출량이 RUSLE를 사용하여 계산된 토사유출량 보다 많은 양을 나타내는 것을 확인하였고, 비슷한 유역특성을 보이는 지점에서는 유역형상계수가 클수록 토사유출량이 크게 나타나는 것을 확인하였다.
Choi (2016)는 RUSLE방법을 사용하여 경상남도 지역 사방댐의 적정성을 분석하였다. 재현기간 30년, 50년, 100년 빈도 강우강도를 사용하여 사방댐 설치 전과 후 그리고 미설치 시 토사 유출량을 산정하였다. 그 결과 일부 사방댐은 설치 효과가 적다는 것을 확인하였고, 전국적으로 효과가 미비한 사방댐이 있을 것으로 판단하였다. 하지만 이 논문은 RUSLE방법의 인자만을 사용하여 비교분석 하였기 때문에 산불이 발생하였을 경우에 대한 토사유출량의 변화는 연구되지 않았다.
최근 우리나라는 토석류와 산불에 의한 피해를 사전에 방지하기 위해 산림청 예산을 증액하여 산림재해 예방사업을 적극적으로 추진하는 등 최선의 노력을 다하고 있다. 하지만 이러한 노력에도 불구하고 최근 발생하고 있는 산사태나 토사의 유실로 인한 문제는 점차 증가하고있는 실정이다. 특히 산불피해를 고려한 토사유출량 산정 연구 등 그동안의 연구결과 산불의 발생 유무와 산불 발생 시 피해면적에 따라 토사유출량이 민감하게 반응하는 것으로 확인되었다. 하지만 산불의 영향을 고려한 연구는 미흡한 실정이다. 따라서 산불의 영향과 강우강도가 토사유출량에 미치는 영향에 대한 연구가 필요하며 이를 바탕으로 향후 토사유출량을 미리 예측하고, 정확하게 판단하여 사방댐 설계에 적용 가능한 대비가 필요하다.
본 연구에서는 전라북도 무주군 남대천 유역의 사방댐 4개소를 대상으로 MSDPM (Multi-Sequence Debris Prediction Model)을 통하여 토사유출량을 산정하였으며 재현기간(10년, 50년, 100년, 200년)별 강우강도를 적용하여 사방댐의 용량초과 확률을 비교하여 국내 사방댐의 적정성을 검토하였다. 또한 산불이 발생하였을 경우 토사유출량의 변화를 분석하기 위해 산불의 피해 면적에 따른 사방댐의 용량초과 확률을 산정하여 비교·분석하였다.
2. 대상지역의 특성
본 연구의 대상유역은 전라북도 무주군 남대천 일대의 산간지역으로서 가파른 경사를 나타내고 있다. 총 4개의 유역은 가옥리, 삼가리, 금평리, 철목리에 속해있고 각 유역의 유역도는 Fig. 1과 같이 유역 하류에 사방댐 위치를 확인할 수 있다. 연구대상으로 선정한 사방댐은 모두 사다리꼴 형태이며, 유역의 지역특성 및 사방댐의 제원은 Tables 1 and 2와 같다.
3. 토사유출량 산정식(MSDPM)
MSDPM (Multi-Sequence Debris Prediction Model; Pak et al., 2009)은 Pak (2005)의 USCDPM (University of Southern California Debris Prediction Method)을 기반으로 대적으로 작은 면적(25 ~ 250 ha)을 위해 처음 소개된 후 Pak and Lee (2008)에 의해 보완 수정되었다. MSDPM은 산불데이터, 강우데이터, 그리고 채취한 토사량 데이터 등을 이용하고 통계적 기법을 사용하여 경험식으로 아래와 같이 개발되었다.
여기서 Dy는 토사량(m3), Im은 1시간 최대 강우강도(mm/hr), Ic는 토사유발 강우강도(mm/hr), P는 총 강우량(mm), Pc는 토사유발 강우량(mm/hr), S는 지형기복비, A는 배수면적(ha), 는 보정계수 F는 무차원 산불지수이다. 무차원 산불지수는 아래 Eq. (2)와 같이 산정된다.
여기서 Bp는 유역면적에 대한 산불피해 면적비, By는 산불발생 후 경과년수, Ap는 토사 이송에 충분한 에너지를 갖는 강우 횟수이다. S는 유출비로 아래 Eq. (3)으로 산정한다.
h1는 유역의 최저고도(m)이며, h2는 유역의 최고고도(m), L은 유역의 총 길이(km)이다. MSDPM에서는 모든 강우사상에서 토사유출량이 발생하는 것은 아니다. 따라서 지표면에 침식을 발생시키거나 토사입자를 이송시키기에 충분한 최소에너지를 보유한 강우가 토사량 예측에서는 중요한 변수이다. 본 연구에서 언급된 토사유발 강우강도 Ic (Threshold Maximum 1-hr Rainfall Intensity)는 토사입자를 움직일 수 있는 한계 최대 한 시간 강우강도를 뜻한다. Ic는 지형기복비와의 곡선으로부터 검증된 경향선식에 따라 결정된다. 또한 토사유발 강우량 Pc (Total Minimum Rainfall Amount)는 토양으로부터 침식된 토사가 임의의 지점으로 움직이게 하는 운송능력을 의미한다. 움직임이 시작된 토사는 충분한 거리를 이동할 수 있는 에너지가 필요하게 되며 이때 필요한 것이 토사유발 강우량이다. 본 연구에서 토사를 충분한 거리까지 이송시킬 수 있는 한계 총 강우량을 토사유발 강우량이라고 명명하였다. 토사유발 강우량은 토사유발 강우강도와의 곡선식으로부터 구해지며 토사유발 강우강도는 지형기복비와의 곡선식으로부터 결정된다.
4. 사방댐의 용량초과확률 산정
4.1 신뢰성 모형
신뢰성 해석은 방법과 가정에 따라서 크게 Level II와 Level III로 구분되어 진다. Level II는 용량함수(Capacity Function)와 하중함수(Load Function)를 이용하여 신뢰지수를 계산하는 방법이다. 이 방법에서는 확률변수들이 정규분포와 같은 특정한 확률분포를 따른다고 가정하게 된다(Ang and Tang 1984; Modarres et al., 1999; Frankel, 1988). Level II는 평균, 분산 그리고 용량함수와 하중함수의 통계학적 특성을 계산하는데 비선형성의 존재 여부에 따라 SORM (Second-Order Reliability Method)과 FORM (First-Order Reliability Method)으로 구분된다. FORM은 파괴면의 설계점을 위한 계산 시 반복계산의 존재 여부에 따라서 FDA (First-Order Design Point Approach)와 FMA (First-Order Mean Value Approach)로 구분된다. 하지만 FDA와 FMA는 용량함수와 하중함수가 독립적이고 확률변수들이 정규분포를 따를 경우에만 적용 가능하다. 따라서 정규분포를 따르지 않는 확률변수들을 해석하기 위해서 본 연구에서는 Level II FORM이 적용되었다. 우선 사방댐의 신뢰성 해석을 위해서 용량과 하중함수를 결정할 방정식이 도출되어야 하는데 본 연구에서는 사다리꼴 사방댐의 체적()이 용량함수 QC로 Eq. (4)와 같이 사용되었고 MSDPM이 신뢰함수의 하중함수 QL로 Eq. (5)와 같이 사용되었다.
본 연구에서 용량초과상태(State Of Exceeding Capacity)는 OL이 QC를 초과한 상태로 규정한다. 따라서 사방댐의 파괴확률이 의미하는 것은 사방댐이 성능한계상태(Performance Limit State) 혹은 용량초과상태에 도달할 확률을 뜻한다. 따라서 신뢰함수 Z는 아래 Eq. (6)과 같고 파괴확률은 Eq. (7)과 같이 표현된다.
Fig. 2와 같이 신뢰지수(Reliability Index, )는 원점으로부터 설계지점까지의 최단거리를 의미하며 반복계산을 통해 결정된다. 신뢰지수를 결정하기 위해서는 정규화 과정이 필수적이다. 먼저 방향여현(Directional Cosine)이 Eq. (8)에 의해서 계산되고 새로운 설계지점의 계산을 위해서 사용된다. 반복계산의 처음에서는 확률변수의 평균값이 설계점(Design Point)으로 사용된다.
여기서 는 각 확률변수 그리고 와 는 각 확률변수들의 평균과 표준편차이다. 따라서 설계점은 다음 Eq. (9)와 같이 구할 수 있다.
여기서 과 는 지역별 연 최대강우강도의 등가정규분포(Equivalent Normal Distribution)의 평균과 표준편차이며 Eq. (10)과 같이 Rosenblatt 변환으로 산정할 수 있다.
와 는 Eq. (11)과 같이 최대강우강도의 Gumbel 분포함수를 의미한다.
여기서 이다. 새로운 설계지점은 을 Eq. (9)에 삽입함으로써 얻을 수 있다. 가 적정한 값에 수렴할 때까지 반복계산이 이루어져야 한다. 신뢰함수를 이루는 다른 확률변수들은 정규분포를 따른다고 가정하였으나 지역별 연 최대강우강도는 불확실성이 상당히 많이 내포되어 있으며 그 분포함수를 찾아내고 통계학적 특성을 분석할 필요가 있다(Kwon and Lee, 2011).
4.2 연 최대 강우강도의 통계적 특성
본 연구의 대상지역인 무주 남대천 유역의 연 최대 강우강도를 분석한 결과, Fig. 3과 같이 연 최대 강우강도에 대한 통계적 분포는 Gumbel분포와 일치하는 것을 확인할 수 있었다. 무주 남대천 유역의 연 최대 강우강도의 통계적 특성은 Table 3과 같다.
Table 3.
Statistical properties of annual maximum rainfall
| Number of sample | Mean (mm/hr) | κ | λ | COV |
| 27 | 31.685 | 0.128 | 27.189 | 0.315 |
4.3 지역별 강우강도 산정
무주 남대천 유역의 사방댐 1과 2 그리고 사방댐 3과 4는 각각 재현기간별 강우강도가 다르며, 재현기간별 강우강도는 각각의 사방댐에서 가장 가까운 측정지점의 데이터를 사용하였다. 재현기간별 강우강도 산정에는 전대수다항식법을 사용하였으며 아래 Eq. (12)와 같다.
여기서, I(t)는 강우 지속기간에 따른 강우강도(mm/hr), th는 강우지속기간(hr), a, b, c, d, e, f, g는 회귀상수이다. 강우강도의 데이터는 사방댐과 가장 가까운 측정지점의 값을 사용하였으며 사방댐 1과 2는 무주 삼가리 지역의 데이터를 사용하였고, 사방댐 3과 4는 무주 증산리 지역의 데이터를 사용하였다. 재현기간별 강우강도 산정결과는 Table 4와 같고 삼가리 지역과 증산리 지역의 계수값은 Tables 5 and 6과 같다. 본 연구에서는 무주 사방댐 4개소에 대한 연 최대 강우강도의 통계적특성과 사방댐유역의 재현기간(10년, 50년, 100년, 200년)별 강우강도를 이용하여 토사량을 예측하고 용량초과확률을 산정하였다.
Table 4.
Maximum rainfall intensity (mm/hr) according to return period
Check Dam No. Return period | 1, 2 | Check Dam No. Return period | 3, 4 |
| 10 year | 60.06 | 10 year | 56.16 |
| 50 year | 72.63 | 50 year | 73.37 |
| 100 year | 77.08 | 100 year | 80.41 |
| 200 year | 81.07 | 200 year | 87.29 |
Table 5.
Parameter according to return period - Muju Samga-ri (Check Dam 1, 2)
Table 6.
Parameter according to return period - Muju Jeungsan-ri (Check Dam 3, 4)
5. 분석결과
5.1 사방댐 설계의 적정성 분석
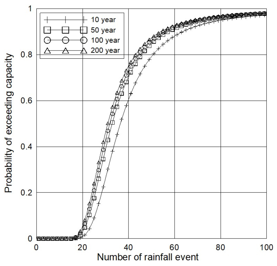
Figs. 4 ~ 7은 MSDPM을 이용하여 재현기간(10년, 50년, 100년, 200년)별 강우횟수에 따른 무주 남대천 유역 사방댐의 용량초과확률을 보여주고 있다. 그래프에서 볼 수 있듯이 재현기간별 강우횟수와 연최대강우강도의 통계적특성이 같더라도 사방댐의 지역 특성에 따라 용량초과 확률은 크게 차이가 나는 것으로 나타났다.
현재 사방댐 관리 기준에는 사방댐 용량에 대한 명확한 기준이 없는 실정이다. 따라서 본 연구에서는 사방댐의 재현기간(10년, 50년, 100년, 200년)별 강우가 최대 30회 발생하였을 경우, 대상 사방댐의 용량초과 확률이 모든 강우에 대해 0%라면 이를 과대설계로 볼 수 있다고 판단하였다. 또한 사방댐이 과대설계되었을 경우 재현기간(10년, 50년, 100년, 200년)별 강우가 20회 발생하더라도 용량초과 확률이 10%를 초과하지 않도록 사방댐의 용량을 줄여도 안전하다고 판단하고 사방댐의 용량 적정성에 대한 기준을 제시하여 분석하였다.
무주군 삼가리 유역의 경우 20회의 강우 발생 시 10년, 50년 100년으로 재현기간별 강우강도가 증가할수록 사방댐 1의 용량초과 확률은 약 0.9%, 3.0%, 4.17%로 증가하는 것으로 나타났으며, 30회의 강우 발생 시 약 26.3%, 38.8%, 42.8%로 증가하는 것으로 나타났다. 이는 본 연구에서 제시한 사방댐 용량기준에 적합한 것으로 판단된다. 그러나 같은 유역의 사방댐 2의 경우 20회의 강우 발생 시 10년, 50년, 100년으로 강우강도가 증가하여도 용량초과 확률은 약 0%인 것으로 나타났고, 강우횟수가 30회로 증가하여도 사방댐 2의 용량 초과확률은 0%인 것으로 나타났다. 따라서 사방댐 2의 경우 본 연구에서 제시한 사방댐 용량 기준에 비교하였을 경우 과대설계된 것으로 판단된다.
무주군 증산리 유역의 경우 20회의 강우 발생 시 10년, 50년 100년으로 재현기간별 강우강도가 증가할 경우 사방댐 3의 용량초과 확률은 약 0%인 것으로 나타났으며, 30회의 강우 발생 시 약 1.4%, 6.4%, 9.5%로 증가하는 것으로 나타났다. 이는 본 연구에서 제시한 사방댐 용량기준에 적합한 것으로 판단된다. 그러나 같은 유역의 사방댐 4의 경우 20회의 강우 발생 시 10년, 50년, 100년으로 강우강도가 증가하여도 용량초과 확률은 약 0%인 것으로 나타났고, 강우횟수가 30회로 증가하여도 사방댐 4의 용량 초과확률은 0%인 것으로 나타났다. 따라서 사방댐 4의 경우 본 연구에서 제시한 사방댐용량 기준에 비교하였을 경우 과대설계된 것으로 판단된다.
재현기간별 강우횟수에 따른 무주 남대천 유역 사방댐 4개소의 용량초과확률을 산정한 결과 삼가리 유역의 사방댐 1과 증산리 유역의 사방댐 3은 본 연구에서 제시한 사방댐 용량기준에 적합한 것으로 나타났다. 그러나 삼가리 유역 사방댐 2와 증산리 유역의 사방댐 4는 과대설계된 것으로 판단된다. 따라서 본 연구에서 제시한 기준에 따라 사방댐 2의 경우 용량 2,134 m3에서 840 m3으로 약 61% 축소할 경우 20회의 강우 발생 시 10년, 50년 100년으로 재현기간별 강우강도가 증가하면 용량초과 확률은 약 0.8%, 2.8%, 4.0%로 증가하는 것으로 나타났으며, 30회의 강우 발생 시 약 25.9%, 38.4%, 42.4%로 증가하는 것으로 나타났다. 사방댐 4의 경우 용량 4,093 m3에서 2,180 m3으로 약 47% 축소할 경우 20회의 강우 발생 시 10년, 50년 100년으로 재현기간별 강우강도가 증가하면 용량초과 확률은 약 0%, 0.01%, 0.04%로 증가하는 것으로 나타났으며, 30회의 강우 발생 시 약 1.4%, 6.4%, 9.6%로 증가하는 것으로 나타났다. 두 결과는 모두 본 연구에서 제시한 사방댐 용량기준에 적합한 것으로 나타났으며. 안정성과 경제성을 동시에 확보할 수 있을 것으로 판단된다. Figs. 8 and 9는 과대설계된 사방댐 2와 4의 용량을 본 연구에서 제시한 용량기준에 맞게 감소시킬 경우 강우횟수에 따른 재현기간(10년, 50년, 100년, 200년)별 강우강도에 대한 용량초과확률이다.
5.2 산불피해를 고려한 안전성 분석
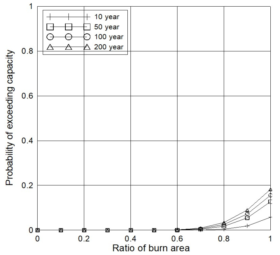
Figs. 10 ~ 13은 산불이 발생하였을 경우 재현기간(10년, 50년, 100년, 200년)별 강우강도가 20회 발생하였을 경우에 따른 무주 남대천 유역 사방댐의 용량초과확률을 보여주고 있다. 무주군 삼가리 유역의 경우 50년 빈도의 강우가 20회 발생하고 산불피해면적이 20%, 60%, 100%로 증가하였을 때 사방댐 1은 19%, 68%, 91%의 용량초과확률이 나타났으며, 사방댐 2의 경우 0%, 0%, 12%의 용량초과확률이 나타났다. 무주군 증산리 유역의 경우 50년 빈도의 강우가 20회 발생하고 산불피해면적이 20%, 60%, 100%로 증가하였을 때 사방댐 3은 10%, 31%, 76%의 용량초과확률이 나타났으며, 사방댐 4의 경우 0%, 0%, 11%의 용량초과확률이 나타났다.
앞선 5.1절의 재현기간별 강우횟수에 따른 사방댐의 용량초과확률 분석결과와 마찬가지로 사방댐 2와 사방댐 4는 사방댐 1과 3에 비해 산불피해에 따른 용량초과확률 역시 상대적으로 작은 값이 나타나는 것으로 확인되었다. 따라서 산불피해를 고려한 사방댐의 용량초과확률 분석결과 또한 사방댐 2번과 4번이 과대설계된 것으로 판단된다.
6. 결 론
본 연구에서는 사방댐에 대한 신뢰성 해석모형을 구축하여 무주군 남대천 유역 사방댐을 대상으로 용량초과확률을 산정하였으며, 이를 통해 국내 사방댐 설계의 적정성과 산불피해에 대한 안전성을 분석하였다. 용량초과확률을 산정하기 위해 재현기간별 강우강도를 사용하였으며 국내 사방댐의 시설기준이 미흡하여 과대설계 되었다고 판단된 사방댐의 용량을 정량적으로 감소시킬 수 있었다. 또한 산불피해면적에 대한 사방댐의 용량초과 확률을 산정해 비교분석 하였으며 다음과 같은 결과를 얻을 수 있었다.
1) 무주군 삼가리 유역의 사방댐 1은 재현기간 10년, 50년, 100년의 강우가 20회 발생하였을 경우 용량초과확률은 0.9% 3.0% 4.17%로 나타났으며, 30회 발생하였을 경우 각각 26.3%, 38.8%, 42.8%로 나타났다. 하지만 같은 유역의 사방댐 2는 재현기간 10년, 50년, 100년의 강우가 20회 발생하더라도 용량초과확률은 0%로 나타났으며, 강우횟수를 30회로 증가시켜도 용량초과 확률은 0%인 것으로 나타났다. 따라서 무주군 삼가리 유역의 사방댐 2는 과대설계된 것으로 판단하여 사방댐의 용량을 약 61% 감소시키더라도 본 연구에서 제시한 기준에 적합한 것으로 나타났다.
2) 무주군 증산리 유역의 사방댐 3은 재현기간 10년, 50년, 100년의 강우가 20회 발생하였을 경우 용량초과확률은 모두 0%로 나타났으며, 30회 발생하였을 경우 각각 1.4%, 6.4%, 9.5%로 나타났다. 하지만 같은 유역의 사방댐 4는 재현기간 10년, 50년, 100년의 강우가 20회 발생하였을 경우 용량초과확률은 0%로 나타났으며, 강우횟수를 30회로 증가시켜도 용량초과 확률은 0%인 것으로 나타났다. 따라서 무주군 증산리 유역의 사방댐 4는 과대설계된 것으로 판단하여 사방댐의 용량을 약 47% 감소시키더라도 본 연구에서 제시한 기준에 적합한 것으로 나타났다.
3) 산불피해면적을 고려하여 재현기간별 강우강도가 20회 발생하였을 경우 사방댐의 안정성을 분석하였다. 그 결과 삼가리 유역은 사방댐 1이 사방댐 2보다 산불에 취약한 것으로 나타났고 증산리 유역은 사방댐 3이 사방댐 4보다 산불에 취약한 것으로 나타났다. 특히 산불 발생 시 모든 경우의 재현기간별 강우에 대해 삼가리 유역의 사방댐 1이 가장 높은 용량초과 확률을 나타내는 것을 확인할 수 있었으며, 4개의 사방댐 중 산불로 인한 영향이 가장 큰 것으로 나타났다.
4) 현재 국내의 사방댐 설계 시 용량에 대한 기준이 미흡하여 사방댐이 과대설계될 우려가 있는 것으로 나타났다. 본 연구에서 제시한 안전성 분석 방법을 적용한다면 향후 국내 사방댐의 설계 및 유지관리 시 안정성과 경제성을 동시에 확보할 수 있을 것으로 판단된다.















