1. 서 론
기후예측의 시간적 해상도에 따라 단기(1~2주일 이내)의 기상상태를 예측하는 기상예측과 수개월 후를 예측하는 계절예측, 최대 100년 후의 기후상태를 예측하는 기후변화 시나리오 등으로 나눌 수 있다. 이중 기상예측의 경우 예측기간이 짧고 초기조건(initial conditions)의 영향만을 받음에 따라 비교적 타 예측에 비해 정확도가 양호하다. 그러나 계절예측과 기후변화 시나리오와 같이 상대적으로 장기간의 예측을 하는 경우 초기조건뿐 만 아니라 경계조건(boundary conditions)과 인위적 강제력(anthropogenic forcing) 등이 추가적으로 고려되어야 함에 따라 불확실성(uncertainty)이 증가하고 시 ‧ 공간적 해상도 차이로 인해 관측 값과 모델 값 간의 큰 편의가 발생하기 때문에 정량적인 편의를 보완해 줄 통계적 편의보정기법의 적용이 필수적이다.
편의보정기법에는 관측 값과 모의 값의 분포를 이론적인 확률분포형(예, Gamma distribution)으로 가정하여 관측 값의 누가분포함수(Cumulative Distribution Function, CDF)의 역함수를 통해 편의보정을 수행하는 기법(Ines and Hansen, 2006; Li et al., 2010; Piani et al., 2010a; Cannon, 2012; Gudmundsson et al., 2012; Teutschbein and Seibert, 2012), 관측 값과 모의 값의 분위관계를 통해 얻어지는 특정 함수식을 활용하여 편의를 보정하는 기법(Schmidli et al., 2006; Maraun et al., 2010; Piani et al., 2010b; Dosio and Paruolo, 2011; Rojas et al., 2011; Gudmundsson et al., 2012), 관측 값과 모의 값의 경험적 누가분포함수(empirical CDF)를 이용하여 편의를 보정하는 기법(Panofsky and Brier, 1968; Hastie et al., 2001; Reichle and Koster, 2004; Wood et al., 2004; Boé et al., 2007; Themeßl et al., 2011, 2012; Gudmundsson et al., 2012), 미래의 비정상성을 고려하기 위해 제시된 Detrended Quantile Mapping (DQM) 기법(Maraun et al., 2010; Maraun, 2012), 모든 분위의 상대변화를 고려하여 장기추세 왜곡을 최소화하는 Quantile Delta Mapping (QDM) 기법(Cannon et al., 2015) 등이 있으며, 관측값에 대한 모델의 편의를 보다 효율적으로 보정하기 위하여 국내‧외적으로 많은 통계적 기법이 개발 및 평가되고 있다.
하지만, 이들 대부분의 연구는 기후변화 시나리오의 전지구기후모형(Global Climate Model, GCM)과 지역기후모형(Regional Climate Model, RCM)을 중심으로 수행되어왔다. 예로 Gudmundsson et al. (2012)은 지역기후모형의 강수량을 활용하여 다양한 편의보정기법을 적용 및 비교하였으며 분석결과 비매개변수적 편의보정기법이 확률분포형의 가정 없이 모의 및 관측자료의 실제 분포를 직접 활용하기 때문에 확률분포형의 가정에서 나타나는 오차를 줄여 보다 정확한 편의보정을 할 수 있다고 보고한 바 있다. 이처럼, GCM 혹은 RCM자료에 대하여 편의보정을 수행하는 방법 및 최적 편의보정 기법 등은 많은 연구가 이루어져 왔으나, 계절예측모델의 경우 자료의 구성 및 예측기간 등이 기후변화 시나리오 자료와 상이함에도 불구하고 편의보정 수행 방법 혹은 계절예측모델에 적합한 편의보정기법에 대한 연구가 부족한 실정이다.
국제적으로 계절예측과 관련된 연구가 이루어지면서 계절예측자료의 필요성 및 다양한 응용분야의 활용 가능성이 부각되어 오고 있다. 그 일환으로 우리나라 기상청은 계절예측 및 장기예보에의 활용을 위해 2010년부터 영국기상청(Met Office)과 대기-해양 결합모델을 이용한 계절예측시스템의 공동구축 및 운영에 관한 협정을 체결하였으며 전지구 기후모델인 HadGEM (Hadley Center Global Environmental Model)을 기반으로 개발된 전지구 계절예측시스템(Global Seasonal Forecast System version 5, GloSea5)을 2014년 1월부터 현업에 활용하고 있다(KMA, 2016; Moon et al., 2016). 기후변화로 인해 극치사상의 불확실성이 증가하는 현시점에서 효율적인 수자원관리를 위해서는 예측기반의 물관리가 필요하다. 따라서 본 연구에서는 기상청에서 현업으로 활용하는 GloSea5의 계절예측모델에서 생산되는 예측 일 강수자료를 대상으로 계절예측모델에 활용 가능한 다수의 편의보정기법을 적용하고 최적 편의보정기법을 선정하고자 하였다.
2. 이론적 배경
2.1 통계적 편의보정기법
통계적 편의보정 기법은 모의 값(xsim)의 분포를 관측자료(xobs)의 분포와 동일하게 변환하는 함수 h를 찾는 것으로 정의할 수 있고 Eq. (1)과 같다.
(1)
여기서, xobs(t)와 xsim(t)은 각각 시간 t의 관측 값과 모의 값을 의미한다. 만약 분포의 관심변수를 알고 있다면 Eq. (1)을 Eq. (2)와 같이 정의될 수 있다.
(2)
여기서, Fsim은 수치모델을 통해 생성된 과거기간의 누가분포함수(CDF)를 의미하며,
는 관측자료의 누가분포함수의 역함수(inverse CDF)를 나타낸다.
본 연구에서 적용한 편의보정 및 지점 상세화 기법은 확률분포형을 활용한 편의보정기법, 매개변수적 편의보정기법, 비매개변수적 편의보정기법으로 크게 3가지로 구분하여 분석을 수행하였다(Table 1).
확률분포형을 활용한 편의보정기법은 특정 확률분포형으로 모의자료와 관측자료를 가정하여 Eq. (2)를 통해 편의보정을 수행하게 되며 가장 널리 사용되는 방법이다. 이 방법의 많은 연구에서 Eq. (2)의 F를 Bernoulli-Gamma분포의 혼합으로 가정하여 분석을 수행하였다. 여기서, Bernoulli분포는 강우발생확률, Gamma분포는 강수량을 모델링하기 위해 사용된다(Thom, 1968; Mooley, 1973; Cannon, 2008). 예로 Bernoulli-Gamma분포의 확률밀도함수(Probability Density Function, PDF)는 Eq. (3)과 같다.
(3)
여기서, x는 강수량(xobs 또는 xsim), p는 강수발생확률(0 ≤ p≤1),
,
는 각각 Gamma분포의 형상매개변수(shape parameter)와 축척매개변수(scale parameter),
는 Gamma함수를 의미한다.
본 연구에서는 Table 1과 같이 확률분포형을 활용한 편의보정기법은 Bernoulli-Gamma분포형과 추가적으로 Bernoulli- Weibull분포, Bernoulli-Log normal분포, Bernoulli-Exponential분포로 총 4가지의 확률분포형(M1-M4)으로 가정하여 분석을 수행하였다. 확률분포형의 매개변수 추정방법은 최우도 방법(maximum likelihood method)을 통해 산정하였다.
매개변수적 편의보정기법(Table 1)은 관측자료와 모의자료의 분위관계를 통해 얻어지는 특정 함수식을 활용하여 편의를 보정하는 방법으로 본 연구에서는 아래 Eqs. (4)~(8)과 같이 5가지의 회귀식(M5-M9)을 통해 관측 값과 모의 값의 편의를 보정하였다.
(4)
(5)
(6)
(7)
(8)
여기서,
은 각 식을 통해 얻어진 관측 값의 최적 계산 값이며, a, b, c, x, τ는 교정(calibration)을 통해 산정된 자유 매개변수(free parameters)를 의미한다. 이중 Eq. (4)은 주로 RCM자료의 강수자료를 편의보정하기 위해 자주 사용되어왔다(Maraun et al., 2010). 이에 추가적으로 Piani et al. (2010b)에 의해 Eqs. (5)~(8)을 편의보정에 활용되었으며 이후 많은 연구에서 적용되어 왔다(Dosio and Paruolo, 2011; Rojas et al., 2011; Gudmundsson et al., 2012; Gaur and Simonovic, 2015).
마지막으로 비매개변수적 편의보정기법(Table 1)은 총 두 가지의 방법으로 분석을 수행하였다. 첫 번째는 확률분포형의 가정이 아닌 직접 강우자료의 경험적 누가분포함수(empirical CDF)를 산정하여 Eq. (2)를 통해 편의보정을 수행하는 방법(Empirical quantiles; M10)으로 경험적 누가분포함수는 경험적 백분위를 통해 추정되며 백분위 사이의 추정치는 선형내삽(linear interpolation)으로 계산된다(Panofsky and Brier, 1968; Wood et al., 2004; Reichle and Koster, 2004; Boé et al., 2007; Themeßl et al., 2011, 2012). 두 번째는 비모수 회귀분석(non-parametric regression)을 통해 관측 값과 모의 값의 편의보정을 수행하며 관측된 강우발생일수와 모델 값에 상응하는 누가분포함수의 비율을 맞추기 위해 3차 평활 스플라인 기법(Cubic Smoothing splines) (Hastie et al., 2001)을 적용한 기법(M11)을 적용하였다.
3. 재료 및 방법
전지구 계절예측시스템 GloSea5는 대기-해양 결합모델을 이용한 예측시스템으로 2010년부터 우리나라 기상청이 영국기상청과 이에 대한 협정을 체결하고 2014년 1월부터 현업에 활용 중에 있으며, 2016년 5월에는 역학과정과 물리과정이 GA3 (Global Atmosphere 3.0)에서 GC2 (Global Coupled modeling configuration 2.0)로 개선되었다. GloSea5는 대기(Met Office Unified Model, UM), 지면(Joint UK Land Environment Simulator, JULES), 해양(Nucleus for European Modeling of the Ocean, NEMO), 해빙(Los Alamos Sea Ice model, CICE) 모델들이 커플러(Ocean Atmosphere Sea Ice Soil, OASIS)에 의해 결합되어 하나의 시스템으로 구성되어 있다(Fig. 1).
대기모델의 역학 체계는 비정역학 압축대기의 운동방정식을 계산하기 위하여 Semi-implicit semi-lagrangian 적분방법을 사용한다(Davies et al., 2005). 또한, 격자는 수평 이류를 계산하기 위하여 Arakawa C-grid staggering 방법(Arakawa and Lamb, 1977)으로 구성된 등위경도 격자를 사용하며, 수직 격자의 계산을 위하여 Charney-Phillips staggering 방법(Charney and Philips, 1953)으로 구성된 지형에 따른 hybrid 연직 좌표계를 사용한다. 공간 수평해상도는 N216 (0.83° × 0.56°)으로 중위도에서 약 60 km이며, 연직층은 L85(모델 최상층 고도: 0.01 hPa, ~85 km)로 지면으로부터 중간권 전체를 포함하고 있다.
GloSea5의 강수는 시간적으로 크게 과거재현자료(Hind-cast data, HCST)와 예측자료(Forecast data, FCST)로 나누어진다. 이들 자료의 생산방식 및 형태는 서로 상이하다. 과거재현자료는 1996~2009년(14개년)까지 총 3개의 앙상블로 구성되어 있으며 매달 1일, 9일, 17일, 25일마다 초기장을 입력하여 각 생산되는 일로부터 220일씩 생산된다(Fig. 2(a)). 예측자료는 2014년부터 생산되며 예보기간은 생산되는 일로부터 1개월 예보용의 경우 60일, 계절(3개월) 예보용의 경우 220일 생산된다(Fig. 2(b)). 또한 Fig. 2(b)와 같이 1개월 및 계절예보용으로 매일 2개씩 총 4개의 강수앙상블이 생성됨에 따라 1개월 예보에 사용되는 앙상블은 총 28개(4개 × 7일)이며 계절예보에 사용되는 앙상블은 총 42개(2개 × 7일 × 3주)로 생산된다.
본 연구는 Fig. 3와 같이 용담댐과 남강댐 유역을 중심으로 분석을 수행하였고 각 유역의 관측 강수량은 Thiessen 가중법을 통해 산정하였다. 강우관측소는 용담댐 유역의 경우 금산, 무주, 장수지점, 남강댐 유역의 경우 진주, 거창, 합천, 산청, 장수지점으로 결정되었다. 또한 GloSea5의 과거재현기간은 1996~2009년, 예측기간은 2014~2015년으로 선정하여 분석을 수행하였다. GloSea5의 격자 선정은 Fig. 3와 같이 각 강우관측소와 가장 인접한 GloSea5 모델의 격자를 선정하고 각 격자에 해당하는 일단위 강수 앙상블을 추출하였다.
편의보정은 과거 재현기간에 대하여 각 월별 추출된 일단위 강수량을 추출하여 각 월별로 편의보정을 수행하였다. 이는 GCM과 RCM자료와는 다르게 GloSea5 모델의 예측기간은 최대 6개월임에 따라 월별로 분리하지 않고 편의보정을 수행할 경우 이상치를 야기할 수 있기 때문이다. 예로 GloSea5의 예측기간이 9월에서 다음해 3월(가을 및 겨울철)까지일 때 월별로 분리하지 않고 편의보정이 수행될 경우 여름철(6~8월)의 많은 강수량이 누가분포함수의 확률 값에 영향을 미치게 되므로 이상치로 편의보정하게 된다. 또한, GloSea5 계절예측시스템의 경우 기후변화시나리오의 자료형식과는 다르게 과거재현자료의 앙상블(3개)과 예측자료의 앙상블(42개)의 개수가 각각 상이함에 따라 본 연구에서의 편의보정은 하나의 과거재현자료에 대하여 모든 예측자료의 앙상블을 편의보정하는 형태로 분석을 수행하였다. 따라서, 예측기간의 강수앙상블은 총 126개(3 × 42)로 편의보정되어 생산된다.
4. 결 과
남강댐과 용담댐 유역을 대상으로 각 강우관측소와 인접한 GloSea5 모델의 격자를 선정하고 각 격자에 해당하는 예측 강수 앙상블을 추출하였다. 편의보정을 위해 과거 재현기간의 추출된 GloSea5 모델과 강우관측소의 일 강수자료를 이용하였으며 앞서 소개한 총 11가지의 편의보정 기법을 활용하여 분석을 수행하였다. Figs. 4 and 5는 과거재현기간에 대한 무주지점(용담댐 유역)과 합천지점(남강댐 유역)의 GloSea5 일단위 강수앙상블의 편의보정 전‧후 강수 차이를 Q-Q (quantile-quantile) plot으로 비교한 그림으로 분석결과 편의보정 전의 GloSea5 강수앙상블은 정량적으로 관측치 대비 적게 모의되고 있음을 확인할 수 있었으며 편의보정 후 선정된 11개 기법 중 M2기법(Bernoulli-Log-normal distribution)을 제외하고는 정량적으로 관측 값과 유사하게 보정되었다. 편의보정기법별로 살펴보면 확률분포형을 활용한 기법(M1- M4)의 경우 M3기법(Bernoulli-Gamma distribution)이 가장 관측치와 유사하게 개선됨을 확인할 수 있었으나 여전히 정량적으로 큰 강수에 대하여 관측치 대비 작게 보정되는 결과를 보였다. 매개변수적 기법의 경우(M5-M9) 확률분포형을 활용한 기법에 비해 더욱 개선된 결과를 보였으며 특히 M9기법이 상당부분 관측치와 유사하게 보정됨을 확인할 수 있었다. 비매개변수적 기법은 M10 (Empirical quantiles), M11 (Cubic Smoothing splines)기법 모두 정량적으로 관측치와 가장 유사하게 편의 보정되는 것을 확인할 수 있었다.
관측치 편의보정 후 GloSea5 강수자료의 정량적인 편차를 확인하고자 본 연구에서는 평균절대오차(Mean absolute error, MAE)와 평균제곱근오차(Root mean square error, RMSE)를 산정하여 각 기법별로 비교하였다. Tables 2 and 3은 기법별 과거재현기간(1996~2009년)의 관측치 대비 모의치의 평균절대오차와 평균제곱근오차를 산정한 결과로 산정결과 M2기법이 관측치 대비 가장 큰 오차(MAE 1.15 mm, RMSE 5.40 mm)를 보인 반면 M10기법의 평균절대오차가 평균 0.10 mm, 평균제곱근오차가 평균 0.64 mm로 가장 적은 오차를 보였다. 평균절대오차 및 평균제곱근오차 산정식은 Eqs. (9) and (10)과 같다.
Table 2. Mean absolute error (mm) between observed and corrected data (hindcast period, 1996~2009) for rain gauge stations of study watersheds ![]() |
Table 3. Root mean square error (mm) between observed and corrected data (hindcast period, 1996~2009) for rain gauge stations of study watersheds ![]() |
(9)
(10)
여기서, N은 자료 개수, O는 관측, S는 모의(예측) 강수량이다.
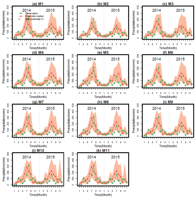
앞서 과거재현기간의 관측 및 GloSea5 강수자료 분포특성을 통해 얻어진 기법별 주요 매개변수를 활용하여 예측기간(2014년 1월 ~ 2015년 12월)의 강수자료에 대한 편의보정을 수행하였다. Figs. 6 and 7은 합천과 무주지점의 편의보정 후 GloSea5의 강수 앙상블 결과를 관측자료와 비교한 것으로 적용된 편의보정기법 모두 관측치와 대비하여 정량적으로 유사하게 편의보정 됨을 확인할 수 있었다. 또한, GloSea5 강수앙상블의 중앙 값과 관측 값 비교한 결과 비홍수기(봄, 가을, 겨울) 강수는 정량적으로 유사하고 불확실성 역시 적은 반면, 홍수기(여름철) 강수는 정량적으로 큰 차이와 불확실성을 보였다. 하지만, M2기법을 제외하고 편의보정 후 GloSea5 강수앙상블의 90% 신뢰구간에 관측치가 대부분 포함되어 있음을 확인할 수 있었다. 또한, 적용된 편의보정기법 중 과거재현기간에서 가장 좋은 편의보정 결과를 보인 비매개변수적 편의보정기법의 경우 Figs. 7(j)~7(k)의 2015년 11월과 같이 편의보정 후 비홍수기 임에도 불구하고 상대적으로 큰 이상치로 편의보정 됨을 확인할 수 있었다. 이는 과거재현기간에서 나타나지 않은 큰 모의치가 예측기간에서 발생하게 될 경우 비현실적으로 큰 강수량으로 편의보정 됨을 의미한다. 이와는 대조적으로 매개변수적 편의보정 기법은 예측기간에 대하여 상대적으로 안정된 결과를 보여주고 있음을 확인할 수 있었다.
Tables 4 and 5는 기법별 예측기간(2014~2015년)의 관측치 대비 모의치의 평균절대오차와 평균제곱근오차를 산정한 결과로 M10기법의 경우 MAE가 1.95 mm, RMSE는 21.86 mm, M11기법의 경우 MAE는 1.60 mm, RMSE 13.32 mm로 비매개변수적 편의보정기법이 평균적으로 가장 많은 오차를 보였다. 이것은 앞서 언급된 바와 같이 편의보정 후 발생한 이상치로 인하여 타 기법에 비해 많은 오차가 유발된 것으로 판단된다.
5. 요약 및 결론
본 연구에서는 기상청에서 현업으로 활용하고 있는 전지구 계절예측시스템 GloSea5의 강수량 자료를 수자원 및 다양한 응용분야에 활용하기 위하여 GloSea5의 모델 예측자료가 가지는 편의를 다양한 편의보정기법을 활용하여 보정하고 가장 적합한 편의보정기법을 선정하고자 하였다. 과거재현기간(Hindcast period)에 대하여 GloSea5 강수량 자료의 편의보정을 수행한 결과, 확률분포형을 활용한 편의보정기법의 경우 M3기법, 매개변수적 편의보정기법은 M9기법, 비매개변수적 편의보정기법은 M10기법이 관측치와 대비하여 가장 적은 오차를 보였다. 상대적으로 확률분포형을 활용한 편의보정기법의 경우 타 기법에 비해 관측치와 정량적으로 많은 차이를 보였으며, 특히 큰 강수량에 대하여 과소하게 편의보정 됨을 확인할 수 있었다. 반면, 예측기간(Forecast period)의 강수자료 편의보정 결과, 과거재현기간에서 가장 좋은 편의보정 결과를 보인 비매개변수적 편의보정기법이 편의보정 후 비홍수기 임에도 불구하고 상대적으로 큰 이상치로 편의보정 됨을 확인할 수 있었다. 이는 과거재현기간에서 나타나지 않은 큰 모의치가 예측기간에서 발생하게 될 경우 비현실적으로 큰 강수량으로 편의보정 된다는 것을 말한다. 이와는 대조적으로 매개변수적 편의보정 기법은 예측기간에 대하여 상대적으로 안정된 결과를 보여주고 있음을 확인할 수 있었다. 따라서, 계절예측시스템의 편의보정을 위해서는 관측자료와 상대적으로 유사한 강수로 편의보정이 이루어지고 예측기간에 대하여 이상치를 발생시키지 않는 매개변수적 편의보정기법을 활용하는 것이 타당할 것으로 판단되며, 이중 고차 회귀식을 통해 편의보정을 수행하는 M9기법이 안정된 결과를 도출하는 것으로 분석되었다. 본 연구의 결과는 향후 예측기반의 수자원 운영 및 관리 의사결정지원 등에 활용 가능할 것으로 기대된다.














