1. 서 론
2. 저수지 운영방법 및 평가방법
2.1 보장량 공급방식과 부족분 공급방식
2.2 저수지 모의운영 평가지표
3. 저수지 모의운영 모형 구축
3.1 대상 댐 현황
3.2 저수지 모의 기본사항
3.3 합천댐 기본계획공급량 및 용수수요량
4. 저수지 운영방법에 따른 모의운영 결과
4.1 용수공급 및 수문방류 모의 결과
4.2 하류하천의 유황분석 결과
4.3 종합분석 결과
5. 결 론
1. 서 론
우리나라는 강수량이 여름철에 집중되어 있고, 용수의 수요는 연중 일정한 패턴을 보이고 있다. 이러한 수자원 공급 및 수요의 시간적 패턴 불일치를 해결하기 위해 우리나라에서는 과거부터 댐을 활용하여 수자원을 관리하고 있다(Choi et al., 2020). 우리나라 댐 관련 설계 및 계획 시 용수공급능력 평가 등을 위해 저수지 모의운영이 활용되며, 저수지 모의 시 운영방법은 보장량 공급방식을 기본으로 하고 있다. 보장량 공급방식이란 댐에 부여된 계획공급량을 상하류의 조건에 관계없이 지속적으로 공급하는 방식으로 하천의 유량이 풍부한 시기에도 지속적으로 일정한 물을 공급한다는 특징이 있다(Choi et al., 2014).
자연하천은 오랜 시간에 걸쳐 형성된 하나의 생태계로 하천의 유량은 수생태계 유지에 큰 영향을 미치는 요소이며, 하천 시스템 내의 자연적인 동물 및 식물군은 오랜 시간 그 환경에 적응해왔다(Alexandre, 2014). 하지만 용수공급 및 홍수조절, 발전 등 다양한 이유로 댐이 건설, 운영됨에 따라 댐 하류 하천의 유량은 댐 건설 전에 비해 크게 변화한다(Dynesius and Nilsson, 1994; Nilsson et al., 2005). 이러한 변화로 인한 생태계 파괴를 방지하기 위해 우리나라에서는 하천의 주요지점에 하천유지유량을 고시하고 있다. 하천유지유량이란 수 생태계 및 하천과 관련이 있는 다양한 자연 자원의 보호와 보전을 위해 하천에 흘러야 하는 유량을 의미하며, 하천관리자는 각 지점의 하천유지유량 이상의 유량을 유지할 수 있도록 하천을 관리하고 있다(Kang et al., 2016). 하천 상류의 댐 운영은 댐 하류 유량을 강제적으로 조절하는 것으로, 하류 유량의 변동성은 감소한다. 이는 하천의 물리적 특성의 변화를 의미하며, 결국 수생물 서식지로서 하천 적합성에도 영향을 미친다(Poff and Allan, 1995; Bunn and Arthington, 2002). 국외 연구에서는 특정 어종들이 홍수기 전에 산란하고, 홍수량에 의해 알을 이동시키는 습성이 있어 댐에 의한 유량조절이 개체군을 직접적으로 감소시킬 수 있음을 확인하였고(Welcomme et al., 2006), 또 다른 연구에서는 유량 변동이 곤충 등 어류의 먹이가 되는 생물군의 서식처에도 영향을 미쳐 물고기의 생활패턴에도 영향을 줄 수 있음을 확인하였다(Wootton et al., 1996). 따라서 댐 하류의 생태계 보전을 위해서는 댐 운영 이후 하천의 유량이 하천유지유량 이상을 유지하느냐 뿐만 아니라 하천의 자연적인 유량의 변동을 얼마나 잘 유지할 수 있느냐도 중요한 요소라 할 수 있다.
최근 기후변화 및 용수수요의 증가 등으로 인해 댐의 운영에도 다양한 변화가 요구되고 있다. 특히 가뭄 시 용수부족 문제를 해결하기 위해 저수지 모의운영 시 부족분 공급방식을 적용한 분석 및 연구 등이 증가하고 있다. 부족분 공급방식이란 댐 하류 특정지점을 기준으로 자연유량과 수요량의 차이만큼만 댐에서 공급해주는 운영방식을 의미한다(Lee et al., 2014). 이 방식을 적용하면 댐에 물을 비축해둘 수 있어 물 부족에 대응할 수 있다는 장점이 있다. 하지만 부족분 공급방식은 하류 하천의 유량 변화를 극단적으로 통제하는 댐 운영방식이며, 이를 활용하게 되면 용수공급 능력은 증가할지라도 하류 하천의 유량 변동이 감소하여 하천의 생태학적 기능에는 악영향을 미칠 수 있다(Richter et al., 1996; Magilligan and Nislow, 2005).
국내에서는 댐 건설이 하천 유황 변화에 미치는 영향과 관련된 다양한 연구들이 진행되었다. Kim et al. (2002)은 댐 건설에 따른 댐 하류 유황 변화를 분석하기 위해 대청댐이 위치한 금강유역을 대상으로 유황 변화를 분석하였다. Kim et al. (2007)은 한강유역의 다목적댐 운영이 하류 유황에 미치는 영향에 대해 분석하고, Lee and Kim (2011)은 낙동강, 섬진강, 금강을 대상으로 다목적댐 건설과 같은 하천환경의 변화가 하천의 상류, 중류, 하류에 미치는 영향에 대해 검토하였다. Cho et al. (2019)은 감천유역을 대상으로 부항댐 건설로 발생하는 수문특성의 변화와 생태건강성, 수질 등에 대해 분석하였다. 이 연구들은 대부분 보장량 공급방식을 활용한 댐 운영에 따른 유황 변화에 초점을 맞추고 있으며, 댐 건설로 갈수기 일정 수준 이상의 유량을 유지하고, 홍수기에는 홍수량을 저감할 수 있다는 결론을 얻었다.
본 연구에서는 기존 연구들과는 달리 댐 건설이 아닌 댐 운영방법의 변화가 하류 하천 유황에 미치는 영향에 대해 분석하고자 하였다. 이를 위해 HEC-ResSim을 활용하여 1989년부터 2021년까지 낙동강유역에 위치한 합천댐 저수지 모의를 실시하였다. 댐의 운영방식은 기본계획공급량 및 댐 용수 사용계약량 기반의 보장량 공급방식, 부족분 공급방식, 선택적 부족분 공급방식의 댐 운영을 수행하였다. 선택적 부족분 공급방식은 본 연구에서 제안하는 댐 운영방식으로 특정 수위를 기준으로 저수량이 특정 수위보다 작으면 부족분 공급방식을 적용하고, 저수량이 그 수위보다 크면 보장량 공급방식을 적용하는 댐 운영방식을 의미한다. 저수지 모의결과를 평가하기 위한 지표로는 기간신뢰도, 양적신뢰도 등의 공급신뢰도와 무효방류기간, 무효방류량, 하류 지점의 풍수량, 평수량, 저수량, 갈수량 등의 기준 유량을 활용하였다.
2. 저수지 운영방법 및 평가방법
2.1 보장량 공급방식과 부족분 공급방식
댐의 계획 시 댐의 규모 결정은 저수지의 용수공급에 따른 이수안전도에 의해 결정된다. 이 때, 일반적으로 보장량 공급방식을 활용한 저수지 모의운영이 활용된다. 보장량이란 일반적으로 댐의 계획공급량을 의미하며, 계획년도에 예상되는 용수공급 대상지역의 예측수요량을 활용한다. 보장량 공급방식은 저수지로의 유입량을 활용하여 계획공급량을 지속적으로 공급해주는 저수지 운영방법이다. 이 방법을 활용하면 저수지 수위가 용수공급의 하한수위인 저수위에 도달할 때까지 용수를 최대한 공급하기 때문에 하류의 용수수요를 최대한 충족시킬 수 있다는 장점이 있다. 하지만 이 방법을 실제 댐 운영에 적용하면 댐 상류 강우부족에 의해 유입량이 감소하고, 저수량이 용수수요를 충족시킬 수 없을 만큼 감소한 상황에서도 최대한 용수를 공급해야하기 때문에 가뭄 대응에 취약한 운영방법이다(Fig. 1(a)).
보장량 공급방식의 단점을 극복하기 위해 최근에는 저수지 운영 시 부족분 공급방식 적용에 대한 논의가 이뤄지고 있다. 부족분 공급방식이란 하류의 용수수요량 또는 기준 유량에서 댐 하류 하천의 자연유량을 제외한 부족분만을 댐에서 공급해주는 저수지 운영방법이다. 이 방법은 풍수년 또는 홍수기와 같이 하류 유량이 풍부한 시기에 댐의 공급량을 감소시켜 저수량을 비축하고, 비축된 저수량을 댐 하류 유량이 부족한 시기에 공급할 수 있어 가뭄 대응에 효과적인 운영방법이다. 하지만 이 방법을 활용하게 되면 댐 하류 하천의 기준 유량의 부족분만 공급하기 때문에 하류 유량이 크게 변동하지 않는다는 문제가 있다(Fig. 1(b)). 하천의 유량 변동은 하류 하천의 생태계에 큰 영향을 미치는 요소로 연중 유량이 일정하게 유지된다면 하류 생태계에 악영향을 미칠 수 있다.
2.2 저수지 모의운영 평가지표
본 연구에서는 보장량 공급방식과 부족분 공급방식, 선택적 부족분 공급방식 등 저수지 운영방법에 따른 저수지 모의운영을 수행하였다. 저수지 모의운영 결과를 평가하기 위해 공급신뢰도 및 무효방류량, 하류 기준 지점의 유황곡선의 기준유량, 유황계수 등을 활용하였다. 공급신뢰도란 1982년 Hashimoto 등이 제안한 저수지의 용수공급능력 지표로 발생신뢰도, 기간신뢰도, 양적신뢰도 등으로 구분할 수 있다(Hashimoto et al., 1982). 우선 발생신뢰도란 계획년수 중 물 공급 성공년수의 비율을 의미하며, 기간신뢰도는 총 분석기간 중 물 부족이 발생한 기간으로 발생신뢰도와는 달리 분석의 단위가 월, 일 등 좀 더 세부적인 검토를 포함한다. 양적신뢰도는 계획기간 중 계획공급량 대비 실제 공급에 성공한 용수량을 의미한다. 본 연구에서는 신뢰도 중 기간신뢰도(Eq. (1))과 양적신뢰도(Eq. (2))를 활용하여 저수지 용수공급능력을 평가하였으며, 분석 및 평가의 단위는 일 단위로 설정하였다.
Eqs. (1) and (2)에서 TR은 기간신뢰도, Ts는 용수공급 실패기간, Tt는 전체 분석기간을 의미하며, SR은 양적신뢰도, Qs는 공급부족량, Qp는 분석기간 동안의 계획공급량을 의미한다.
무효방류량은 댐의 저수량이 상시만수위(홍수기 제한수위)를 초과하였을 때, 댐 체 안정을 도모하기 위해 수문을 통해 하류로 방류하는 양을 의미한다. 만약 홍수기 댐 운영 시 부족분 공급방식을 지속적으로 적용한다면 보장량 공급방식에 비해 공급량이 감소하여, 댐의 수위가 빠르게 증가할 것으로 예상되며 최종적으로 무효방류량이 증가할 것으로 판단된다. 하지만 댐의 무효방류 횟수 또는 양이 증가하면 하류 하천의 홍수피해도 증가할 가능성이 있어, 무효방류량은 가능한 감소시키는 것이 합리적인 댐 운영이라 할 수 있다. 이러한 이유로 본 연구에서는 무효방류량의 발생횟수와 무효방류량을 평가지표로 활용하였다.
저수지 운영방법에 따른 하류 지점에서의 유황 변화는 일 유량 자료를 활용한 유황곡선을 통해 파악할 수 있다. 유황곡선은 하천의 어느 한 지점에서 일정한 시간간격으로 측정된 유량의 크기와 순위 백분율의 관계를 시각적으로 나타낸 곡선을 의미한다(Lee, 2015). 이 곡선은 용수공급, 수력발전, 수질관리 등 수문학적인 연구에 가장 기초적인 자료로 활용된다. 유황곡선에서 유황의 기준이 되는 유량은 크게 홍수량, 풍수량, 평수량, 저수량, 갈수량 등이 있다. 홍수량은 연중 가장 일 유량의 최대값을 의미하며, 풍수량, 평수량, 저수량, 갈수량은 각각 연중 95일, 185일, 275일, 355일 동안은 유지할 수 있는 최소 유량을 의미한다. 이 기준 유량들을 365일 기준으로 초과확률로 나타내면 각각 약 26.0%, 50.7%, 75.3%, 97.3%의 값을 갖는다(Table 1).
3. 저수지 모의운영 모형 구축
3.1 대상 댐 현황
본 연구에서는 저수지 운영방법에 따른 하류의 유황을 분석하기 위해 낙동강유역 내 황강에 위치한 합천댐을 대상유역으로 선정하였다(Fig. 2). 합천댐은 경상남도 합천군에 위치한 다목적댐으로 1989년 준공되었다. 이 댐의 총 저수용량은 790백만 m3 이며, 이 중 용수공급을 위해 활용되는 유효저수용량은 580백만 m3 이다. 합천댐의 연간 기본계획공급량은 총 599백만 m3 으로 이 중 생공용수, 농업용수, 하천유지용수 계획공급량은 각각 520백만 m3, 32백만 m3, 47백만 m3 이다. 합천댐에서 공급되는 생공용수는 인근에 위치한 합천군, 의령군, 창원시, 함안군 및 울산공업, 창원공업 등 광역상수도로 공급된다. 2017년, 2018년도에는 유입량 감소로 인해 합천댐의 저수량이 주의단계까지 감소하는 문제가 발생하였다.
3.2 저수지 모의 기본사항
일반적으로 수자원 분야에서 저수지 운영 분석을 위해서는 저수지 모의운영 또는 최적화 운영이 필요하다. 저수지 모의운영은 댐의 규모결정과 같은 계획 수립 또는 특정 운영룰의 영향을 분석하기 위해 활용되는 방법 HEC-5, MODSIM과 같은 소프트웨어를 활용할 수 있다. 저수지 최적화 운영은 용수공급 최대화, 무효방류 최소화 등 특정 목적을 달성하기 위한 운영룰 구축을 위해 활용되는 방법이다. 본 연구에서는 각 운영방법에 따른 하류 하천 유황 분석을 목적으로 연구를 진행하기 위해 HEC-ResSim을 활용한 저수지 모의운영을 수행하였다.
본 연구에서는 분석을 위해 총 6개의 저수지 모의운영 모형을 구축하였다. 우선 Case 1, 2는 각각 전 기간에 대해 보장량 공급방식(Case 1), 부족분 공급방식(Case 2)를 적용한 모형이다. Case 3은 특정 수위를 기준으로 그 수위 이상에서는 보장량 공급방식을 적용하고, 그 수위 이하에서는 부족분 공급방식을 적용하는 선택적 부족분 공급방식을 활용하는 모형이다. 이 때, 보장량 공급방식과 부족분 공급방식을 구분 짓는 기준에 따라 Case 3-1부터 Case 3-4까지 총 네 개의 Case로 구분하였다. 각각 합천댐 용수공급 조정기준의 관심 단계, 정상환원 단계, 정상환원 단계수위에서 5 m, 10 m를 높인 수위를 기준으로 운영방식이 변경되도록 하였다(Fig. 2).
모든 모형은 1989년부터 2021년까지 총 33년동안의 유입량을 적용하여 분석을 진행하였으며, 일 단위 분석을 진행하였다. 부족분 공급방식의 기준이 되는 합천댐 하류지점은 합천군(황강교) 지점을 대상으로 하였다(Fig. 3). 합천군(황강교) 지점은 합천댐이 위치한 황강 최하류에 위치한 수위 관측지점으로 1962년 7월부터 수위를 관측하고 있다. 하지만 합천댐 유입량 자료와 자료 기간을 일치시키기 위해 이 지점의 1989년부터 2021년까지 수위 및 유량 자료를 수집한 결과 결측치가 다수 존재함에 따라 이 자료를 활용하기에는 어려움이 있었다. 따라서 본 연구에서는 합천댐 유입량 자료를 비유량법으로 보정하여 합천댐(황강교) 지점의 자연유량 자료로 활용하였다.
3.3 합천댐 기본계획공급량 및 용수수요량
저수지 모의모형에 보장량 공급방식 및 부족분 공급방식을 적용하기 위해서는 대상 댐의 기본계획공급량 및 댐 용수수요량 등의 자료가 필요하며, 이를 위해 물관리 실무편람(K-water, 2021)을 기준으로 자료를 조사하였다. 합천댐의 기본계획공급량은 확인 결과 합천댐의 생공용수 및 하천유지용수 공급은 연중 일정하게 각각 16.5 m3/s, 1.5 m3/s를 공급하는 것으로 확인되었다. 농업용수는 4월부터 10월까지 공급하며, 공급량은 월별로 차이가 있으나 최소 0.1 m3/s, 최대 3.2 m3/s인 것으로 확인되었다. 다음으로 합천댐의 용수수요량은 댐 용수 사용계약량으로 조사하였다. 2021년 기준으로 합천댐의 댐 용수 사용계약량은 총 기본계획공급량 대비 약 86.3%에 해당하는 517.2백만 m3으로 확인되었다. 이 중 생공용수 수요량은 기본계획공급량의 84.2%에 해당하는 428백만 m3이며, 농업용수와 하천유지용수 수요량은 기본계획공급량의 100%로 계획되어 있는 것으로 확인되었다(Fig. 4). 본 연구에서는 부족분 공급방식 적용을 위해서는 기본계획공급량을 적용하고, 부족분 공급방식 적용 시에는 용수수요량을 기준으로 하였다.
4. 저수지 운영방법에 따른 모의운영 결과
4.1 용수공급 및 수문방류 모의 결과
저수지 운영방법은 저수지의 용수공급 및 수량 관리에 큰 영향을 미치는 요소로 본 연구에서는 각 케이스별 용수공급 및 수문방류 변화에 대해 검토하였으며, 그 결과는 Table 2와 같다. 분석 결과 전 기간에 보장량 공급방식을 적용한 Case 1의 총 부족일수와 부족량은 각각 1,339일, 1,339.2백만 m3으로 산정되었으며, 기간신뢰도와 양적신뢰도는 각각 88.89%, 92.12%로 모의한 모든 케이스 중 가장 작은 신뢰도가 산정되었다. 전 기간에 부족분 공급방식을 적용한 Case 2에서는 기간신뢰도 및 양적신뢰도가 각각 99.25%, 99.46%로 산정되었다. 이를 통해 용수공급 측면에서는 부족분 공급방식을 지속적으로 적용하는 것이 보장량 공급방식보다 더 우수하다는 것을 확인할 수 있다.
선택적 부족분 공급방식을 적용한 Case 3-1~Case 3-4의 결과에서는 부족분 공급방식과 보장량 공급방식의 적용 기준수위를 증가시킬수록 기간신뢰도와 양적신뢰도가 증가하였다. 특히 정상환원 단계수위보다 약 10 m 높은 수위를 기준수위로 활용한 Case 3-4에서는 기간신뢰도가 95.74%로 국내에서 안정적인 용수공급의 기준으로 많이 활용되는 이수안전도 95% 이상의 용수공급 안정성을 확보할 수 있는 것으로 확인되었다.
댐에 저수되는 수량은 용수공급 및 발전 등을 위해 활용되는 자원이지만 상시만수위 또는 홍수기 제한수위를 초과하는 수량은 댐 체의 안정성 확보를 위해 여수로 등을 통해 하류로 무효방류 되며, 이는 하류 하천의 홍수피해를 증가시킬 수 있다. 본 연구에서는 댐 운영방법에 따른 합천댐의 무효방류 실적을 평가하기 위해 무효방류 일수와 모의기간 동안의 총 무효방류량, 최대 무효방류량 등을 비교하였다. 그 결과 전 기간에 보장량 공급방식을 적용한 Case 1에서 총 운영 기간 중 108일 무효방류가 발생하고, 총 무효방류량은 약 1,854 백만 m3, 최대 무효방류량 또한 약 1,273 m3/s로 모든 케이스 중 무효방류 실적이 가장 작은 것으로 확인되었다. 이는 보장량 공급방식을 지속적으로 적용함으로써 홍수기 전 댐의 수위를 낮춰 충분한 홍수조절용량을 확보할 수 있었기 때문으로 판단된다. 부족분 공급방식을 적용한 Case 2에서는 총 226일 무효방류가 발생하고, 총 무효방류량은 약 3,626 백만 m3, 최대 무효방류량은 약 1,781 m3/s으로 산정되었다. 이는 보장량 공급방식을 Case 1에 비해 약 두 배에 해당하는 실적으로, 부족분 공급방식 적용 시 댐의 비축량이 증가하여 댐의 수위가 높게 유지되어 홍수 유입 시 댐의 수위가 상시만수위(홍수기 제한수위)를 빠르게 초과하였기 때문으로 판단된다.
선택적 부족분 공급방식을 적용한 Case 3-1~Case 3-4에서는 부족분 공급방식과 보장량 공급방식의 적용 기준수위를 증가시킬수록 무효방류량이 증가하는 것으로 나타났다. 이는 기준수위를 증가시킬수록 보장량 공급방식을 적용하는 기간을 감소하고, 부족분 공급방식을 적용하는 기간은 증가하기 때문으로 판단된다. 하지만 선택적 부족분 공급방식을 적용한 케이스 중 무효방류 일수 및 무효방류량이 가장 크게 산정된 Case 3-4의 경우에도 부족분 공급방식을 적용한 Case 2에 비해 총 방류일수는 약 100일, 총 무효방류량은 약 1,500백만 m3 적은 것으로 나타났다.
Table 2.
Time-based and volumetric reliability by reservoir operation methods
4.2 하류하천의 유황분석 결과
저수지 운영방법이 하류 하천 유황에 미치는 영향을 분석하기 위해 본 연구에서는 홍수량, 풍수량, 평수량, 저수량, 갈수량 등 유황분석의 기준유량을 활용하였으며, 분석 결과는 Table 3과 같다. 우선 33년 동안의 하류지점 하천유량을 일 평균한 후 유황분석을 실시한 결과 보장량 공급방식을 적용(Case 1)하였을 때 풍수량, 평수량, 저수량, 갈수량은 각각 30.5 m3/s, 19.7 m3/s, 18.3 m3/s, 17.0 m3/s로 산정되었으며, 부족분 공급방식을 적용(Case 2)하였을 때는 각각 21.8 m3/s, 15.4 m3/s, 15.0 m3/s, 14.4 m3/s로 산정되었다. 연간 95일 동안 유지되는 풍수량과 355일 동안 유지되는 갈수량의 차이가 Case 1과 Case 2에서 각각 13.5 m3/s, 7.4 m3/s 인 것으로 나타났다. 즉, 댐 운영에 부족분 공급방식을 적용하면 보장량 공급방식을 적용하였을 때보다 하천유량의 변동이 약 46% 감소하는 것으로 나타났다. 선택적 부족분 공급방식을 적용한 Case 3-1~Case 3-4의 결과에서는 풍수량과 갈수량의 차이가 각각 13.4 m3/s, 12.4 m3/s, 12.5 m3/s, 11.6 m3/s로 확인되었다. 이 네 가지 케이스에서 하천유량의 변동은 보장량 공급방식의 적용범위가 감소할수록 이 차이가 작아지는 것으로 나타났으며, 이는 부족분 공급방식의 적용범위가 증가하며 하류 유량이 일정하게 유지되는 기간이 증가하기 때문으로 판단된다. 이 결과를 통해 선택적 부족분 공급방식을 적용하면 유량의 변동(풍수량과 갈수량의 차이)은 보장량 공급방식을 적용하였을 떄에 비해 감소하지만 부족분 공급방식을 적용하였을 때 보다는 최소 50% 이상 증가하는 것을 확인할 수 있다.
Table 3.
Flow duration discharge at the Hwangang-gyo (unit : m3/s)
댐의 기간신뢰도와 양적신뢰도를 통해 전 기간 부족분 공급방식을 적용하는 것이 용수공급 측면에서 가장 효율적인 댐 운영방법 인 것으로 확인되었다. 하지만 댐의 유입량 및 하천의 유량이 풍부한 해에도 부족분 공급방식을 적용하면 댐에 비축량이 증가하여 무효방류량이 증가하고, 하천 유량의 변동도 크지 않을 것으로 예상된다. 본 연구에서는 물 부족이 발생하지 않았던 연도 중 합천댐 유입량이 가장 컸던 2003년과 33개년 중 유입량 순위가 16번째로 컸던 2006년에 대해 유황분석을 실시하였다. 그 결과 2003년에는 풍수량과 평수량의 차이가 Case 1과 Case 2에서 각각 14.2 m3/s, 18.2 m3/s로 산정되었다. 이는 두 케이스 모두 동일 시기에 댐의 수위가 홍수기 제한수위인 EL. 176.0 m를 초과함에 따라 유입량을 전량 방류하였기 때문이며 풍수량은 33.5 m3/s로 산정되었으며, 갈수량은 각각 19.3 m3/s, 15.3 m3/s로 산정되었기 때문에 부족분 공급방식을 적용한 결과에서 유량의 변동이 더 크게 나타났다. 하지만 평수량과 갈수량의 차이는 Case 1과 Case 2에서 각각 2.9 m3/s, 0.3 m3/s로 부족분 공급방식 적용하였을 때보다 보장량 공급방식을 적용하였을 때 약 10배 가량 차이가 있는 것으로 나타났다. 평수년이었던 2006년에는 풍수량과 평수량의 차이는 Case 1과 Case 2에서 각각 4.4 m3/s, 1.9 m3/s로 약 2.3배 차이 나는 것으로 확인되었다. 즉, 댐의 유입량과 하천의 유량이 풍부한 시기에 부족분 공급방식을 적용한다면 하천유량의 변동이 크게 감소할 수 있음을 확인할 수 있다.
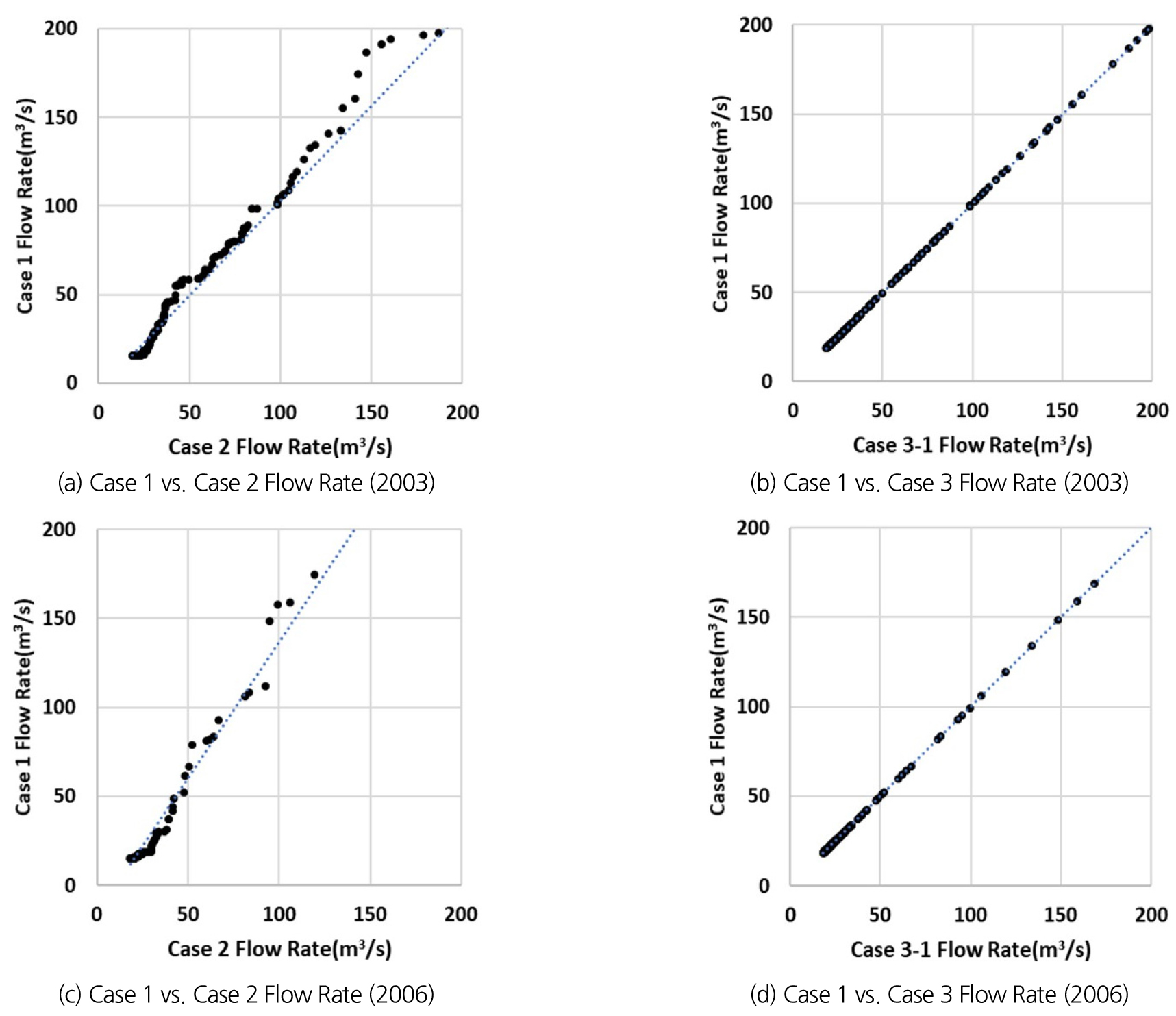
Fig. 5는 2003년과 2006년에 대해 보장량 공급방식, 부족분 공급방식, 선택적 부족분 공급방식(Case 3-1)을 적용하여 산정된 유량 모의 결과를 일대일로 비교하여 도시한 결과이다. 2003년 Case 1과 Case 2 적용 결과 50 m3/s 이하의 저유량에서는 Case 1 유량이 Case 2보다 크지만 50 m3/s 이상의 유량에서는 큰 차이가 없는 것으로 분석되었다(Fig. 5(a)). 이는 2003년 합천댐 유입량이 증가하여 Case 1과 Case 2 모두 무효방류량이 증가하였기 때문으로 판단된다. 2006년은 평수년으로 Case 1과 Case 2 모두 용수공급 부족은 발생하지 않았으나, Case 1을 적용하였을 때의 하류 유량이 Case 2에 비해 약 1.5배 큰 것으로 나타났다(Fig. 5(c)). Case 3-1~Case 3-4는 모두 Case 1과 동일한 결과가 산정되어 선택적 부족분 공급방식 활용 시 하천의 유량 변동을 보장량 공급방식과 동일하게 유지할 수 있음을 확인하였다(Figs.5(b) and 5(d)).
4.3 종합분석 결과
보장량 공급방식 및 부족분 공급방식, 선택적 부족분 공급방식 등 저수지 운영방식을 적용하여 합천댐 모의운영 후 댐의 공급신뢰도, 수문방류, 하류 하천의 유황 등에 대해 검토하였다. 그 결과 전 기간에 보장량 공급방식을 적용하였을 때는 기간신뢰도 및 양적신뢰도가 각각 88.89%, 92.12% 로 부족분 공급방식에 비해 크게 물 부족이 발생하는 것으로 분석되었으나 하류하천의 평수량과 갈수량의 차이가 약 2.7 m3/s 차이나는 것으로 확인되었다. 수요량 기반의 부족분 공급방식을 모의 전 기간에 적용할 경우 기간신뢰도 및 양적신뢰도가 99% 이상의 용수공급을 수행할 수 있는 것으로 나타났다. 하지만 부족분 공급방식을 전 기간에 적용하면 풍수기에 저수지에 비축되는 수량이 증가하여 보장량 공급방식을 적용하였을 때에 비해 수문방류량이 약 두 배 증가하는 것으로 나타났다. 또한 전 기간 일 평균 하류하천의 유황분석 결과 평수량과 갈수량의 차이가 약 1 m3/s 차이가 나고, 특히 각각 풍수년, 평수년이었던 2003년과 2006년에는 평수량과 갈수량의 차이가 0.1~0.3 m3/s 차이가 나는 것으로 확인되었다. 마지막으로 특정 수위를 기준으로 보장량 공급방식과 부족분 공급방식을 함께 활용한 선택적 부족분 공급방식 적용 결과 모든 케이스에서 95% 이상의 양적신뢰도가 산정되었으며, 기간신뢰도는 최고 95.74%인 것으로 분석되었다. 또한 유황분석 결과 보장량 공급방식을 적용한 결과와 큰 차이가 없는 것으로 확인되었다.
5. 결 론
하천의 유량 변동은 하천 환경 및 생태계에 큰 영향을 미치는 요소이다. 특히, 댐이 위치한 하천의 경우 댐 운영이 하류하천 유황에 큰 영향을 미친다. 본 연구에서는 저수지 운영방식에 따른 하류하천의 유황 변화를 분석하기 위해 저수지 모의운영을 통해 하류하천의 유황 변화를 분석하고자 하였다. 이를 위해 보장량 공급방식, 부족분 공급방식, 선택적 부족분 공급방식 등을 적용하여 총 6개의 저수지 모의운영을 수행하였다. 연구의 대상 댐은 낙동강 지류 황강에 위치한 합천 다목적댐이며, 저수지 모의 기간은 1989년부터 2021년까지 총 33년에 대해 모의하였다. 저수지 모의운영 결과를 분석하기 위한 지표로는 용수공급 측면의 분석을 위해 기간신뢰도 및 양적신뢰도 등 댐 공급신뢰도, 무효방류량을 활용하였고, 하류 하천의 유황변화 분석을 위해서는 풍수량, 평수량, 저수량, 갈수량 등을 활용하였다. 본 연구의 분석 결과를 정리하면 다음과 같다.
1) 댐 운영 시 전 기간에 보장량 공급방식을 적용할 경우 기간신뢰도는 약 89%, 양적신뢰도는 약 92%로 산전되어 용수공급의 효과가 크지 않은 것으로 분석되었다. 일 평균 유량 자료를 활용하여 산정된 평수량과 갈수량은 각각 19.7 m3/s, 17.0 m3/s로 약 2.7 m3/s 차이가 나는 것으로 확인되었다.
2) 댐 운영 시 전 기간에 부족분 공급방식을 적용할 경우 용수공급 효과를 극대화할 수 있는 것으로 확인되었다. 하지만 홍수기 전 하류의 유량이 풍부한 시기에 물을 방류하지 않아 저수지에 비축되는 수량이 증가하여 무효방류량이 보장량 공급방식에 비해 약 2배 가량 차이나고, 하류하천의 평수량과 갈수량은 큰 차이가 없는 것으로 확인되었다. 이는 365일 중 약 180일 동안 유량의 차이가 없음을 의미한다.
3) 본 연구에서 제안한 선택적 부족분 공급방식(특정 수위 이하에서는 부족분 공급방식, 이상에서는 보장량 공급방식 적용)을 적용한 결과 기간신뢰도는 약 94~96%, 양적신뢰도는 약 96~98%로 산정되어 보장량 공급방식만으로 적용할 때에 비해 용수공급의 안정성을 확보할 수 있는 것으로 나타났다. 하류 하천의 유황은 보장량 공급방식을 적용한 경우와 큰 차이가 없어 부족분 공급방식만을 적용할 때에 비해 유량의 변동을 큰 폭으로 유지할 수 있는 것으로 확인되었다.
최근 댐의 용수공급 능력 극대화를 위해 저수지 운영에 부족분 공급방식을 적용한 연구들이 증가하고 있다. 하지만 기존 연구에서는 댐의 용수공급 능력에만 초점을 맞추고 있어 부족분 공급방식 적용 시 발생할 수 있는 무효방류량 증대 및 하천유량의 변동성 감소 등에 대한 검토가 부족한 것으로 판단된다. 본 연구에서는 이러한 문제를 해결하기 위해 저수량이 특정 기준 이하로 감소하면 선택적 공급방식을 적용하고, 이상일 경우에는 보장량 공급방식을 적용하는 선택적 부족분 공급방식을 활용하여 저수지 모의운영을 수행하고, 결과를 분석하였다.
본 연구의 결과 부족분 공급방식을 적용할 경우 저수지의 용수공급을 극대화할 수 있지만 무효방류량이 증가하고, 하류의 유량 변동이 감소함을 확인하였다. 보장량 공급방식을 전 기간에 적용할 경우 무효방류량이 감소하고, 하류 유량 변동은 크게 유지할 수 있으나 저수지의 용수공급능력은 부족분 공급방식에 비해 작은 것으로 확인되었다. 마지막으로 선택적 부족분 공급방식을 적용한 결과 저수지의 용수공급능력은 일정 수준 이상으로 유지하며, 무효방류량을 감소시키고 하류의 유량 변동은 보장량 공급방식과 유사한 수준으로 유지할 수 있는 것으로 확인되었다.
기후변화와 사회의 발전은 물 수요 및 공급의 패턴을 변화시키고 있어 저수지 운영에도 다양한 변화가 요구되고 있다. 우리나라에서는 용수부족 최소화 및 하천의 자연성 회복 등 수자원 관리에 다양한 목표를 설정하고 있다. 이렇듯 다양한 목표를 달성하기 위해서는 본 연구에서 제시하였듯 저수지 운영에 있어 획일화된 운영방식이 아닌 여러 운영방식을 적절한 시기에 적용하는 방안이 필요할 것으로 판단된다. 또한 이를 실제 저수지 운영에 적용하기 위해서는 댐 하류상황을 고려하여 치수, 이수, 친수 등 다양한 목표 달성을 위한 댐 적정 공급량 및 공급시기 결정이 필요하며, 이를 활용한 최적 운영곡선과 같은 운영규칙의 개선이 필요할 것으로 판단된다.







