1. 서 론
2. GloSea5 기상전망 개선기법
2.1 GloSea5
2.2 ANFIS
2.3 전처리 기법
2.4 후처리 기법
2.5 평가 방법
3. 적용 및 평가
3.1 대상지역 및 자료
3.2 GloSea5 기상전망 개선기법 구축 및 평가
3.3 GloSea5 기상전망 개선기법 실시간 평가
4. 결 론
1. 서 론
한정된 수자원을 효율적으로 활용하고 홍수나 가뭄 등의 수재해로 인한 피해를 예방하기 위해서는 향상된 수문전망이 요구된다. 수문전망은 수문 모델의 유량예측을 바탕으로 이루어지며, 기상전망자료를 수문 모델의 입력자료로 활용하여 예측 유량을 산정한다. 기상-수문연계해석에서 기상전망은 수치예보(Numerical Weather Prediction, NWP) 모델의 강수, 기온 등의 예측값을 의미하며, 현재의 대기 및 해양 등의 정보를 NWP 모델의 입력자료로 활용하여 예측 강수량을 산정한다. 그 결과 수문전망은 NWP 모델의 물리과정, 초기 및 경계조건의 영향을 받게 되며, 기상-수문현상은 매우 복잡하고 불확실성이 커 정확한 수문전망은 여전히 어려운 실정이다.
NWP를 통한 기상전망은 대기의 비선형성과 카오스 이론으로 인해 항상 불확실성을 내포하며 최고의 모델을 통한 전망조차도 오차를 포함하게 된다(Lorenz, 1969). 이러한 불확실성을 정량화하고 분석하기 위해 초기조건, 물리과정, 경계조건 등에 변화를 주어 모델계산을 수행함으로써 여러 앙상블 멤버를 생산하는 Ensemble Prediction System (EPS)가 널리 활용되고 있다. EPS는 예보의 신뢰도를 높이기 위해 다수의 앙상블 멤버를 기상 전망에 활용하는 방법으로 각 앙상블 멤버는 불확실성이 크기 때문에 앙상블 멤버의 평균이 예보에 활용된다(Buizza et al., 1999). 앙상블 평균은 기상전망에서 좋은 지표가 되지만, 극한사상과 변동성이 큰 몬순계절에 대한 모의 능력이 현저히 떨어지는 한계를 수반한다(WMO, 2012). 특히 앙상블 평균으로 산정된 예측 강수량의 경우 정확도가 떨어져 수문전망에 직접적으로 활용하기에는 한계가 있으며 개선이 필요하다(Cuo et al., 2011).
EPS 개선을 위한 주요 기법으로는 앙상블 멤버에 최적의 가중치를 부여하는 방법(Optimal Weighting Method, OWM)과 앙상블 평균, 관측 자료 간의 상관관계를 통해 편의 보정을 실시하는 MOS (Model Output Statistics) 방법이 있다. OWM은 서로 다른 예측성능과 불확실성을 가지고 있는 앙상블 멤버를 효율적으로 사용하기 위해 앙상블 멤버의 예측성능에 따라 가중치를 부여하는 방법이다. OWM 적용을 위해 통계적 기법으로 Bayesian Model Averaging (BMA) 등이 활용된다(Raftery et al., 2005; Min et al., 2007). MOS는 정확도가 낮은 NWP 모델 전망결과와 장기간의 관측결과 간의 상관관계를 찾아 전망결과를 보정하는 방법으로 Quantile Mapping (QM) 등의 통계적 기법이 대표적이다(Wood et al., 2004; Maraun et al., 2010). 하지만 이러한 통계적 방법에서는 자료의 통계적 분포형을 가정하기 때문에 적용된 분포형과의 적합도가 낮은 사상에 대한 모의 능력이 떨어지는 한계를 갖는다(Tebaldi and Kuntti, 2007).
국외에서는 기존 통계적 기법의 한계점을 개선할 대안으로 복잡한 비선형적 현상에 대한 모의 능력이 뛰어난 AI (Artificial Intelligence) 기법을 활용한 연구가 활발하게 진행되고 있다(Krasnopolsky and Lin, 2012; Sarraf et al., 2017; Xu et al., 2017; Nair et al., 2018). Cheng and AghaKouchak (2015)는 Expert Algorithm 기반의 OWM을 사용하여 장기 기온전망을 수행하였으며, Doycheva et al. (2017)은 Artificial Neural Network (ANN), Support Vector Machine (SVM), Rotation Forest (RF) 기반 OWM을 기상전망에 활용하였다. Wu et al. (2017)은 Self-Organizing Map (SOM) 방법을 MOS로 활용하여 앙상블 평균 보다 우수함을 보였다. 최근에는 AI 기법중 하나인 ANFIS (Adaptive Neuro Fuzzy Inference System)에 대한 연구가 다수 수행되고 있다. Shiri and Kisi (2010)는 중·장기수문전망을 위해 Wavelet-ANFIS 모델을 활용하였으며, Seasonal Autoregressive Integrated Moving Average (SARIMA) 모델에 비해 예측성이 개선됨을 보였다. Awan and Bae (2014)는 국내 댐 예측유입량 산정을 위해 확률장기예보를 ANFIS의 입력자료로 활용하여 예측 정확도가 우수함을 보였다. ANFIS는 ANN 보다 계산의 효율성이 좋고 모델결과에 대한 설명능력이 뛰어나다고 알려져 있으며, 향후 수문분야 연구에 다양하게 적용될 필요가 있다(Chau et al., 2005; Yaseen et al., 2015; Sun and Trevor, 2018).
한편, 기상청에서는 최근 잦아진 이상기후로 인한 피해 경감과 고품질 장기예보자료를 활용한 효율적 정책수립을 지원하기 위해 영국으로부터 대기와 해양-해빙 모델을 접합한 GloSea5 (Global Seasonal forecasting system version 5) 시스템을 도입하였다(KMA, 2015). 하지만 GloSea5를 직접적으로 수자원분야에 활용하기에는 정확도가 낮아 수문전망을 목적으로 활용할 수 있는 기술이 요구되는 바이다. 국외에서는 AI 기반의 OWM 또는 MOS에 관한 여러 연구가 수행되었지만 국내 연구사례는 부족한 실정이며, 아직까지 OWM과 MOS를 함께 적용한 EPS 개선 연구는 없었다. 이에 본 연구에서는 ANFIS를 활용한 GloSea5 앙상블 기상전망 개선기법을 개발하고자 한다. 개선기법은 OWM과 MOS 방법이 활용되며 각 방법의 ANFIS 모델 적용성을 검토하고 GloSea5 앙상블 기상전망자료의 수자원 활용을 위한 프레임을 제안하고자 한다.
2. GloSea5 기상전망 개선기법
앙상블 기상전망 개선기법 개발을 위한 연구 절차는 Fig. 1과 같다. GloSea5로부터 전망된 일 단위 강수 자료를 수집하여 월 단위로 변환한 후 유역의 면적평균강수를 산정한다. 각 앙상블 멤버는 ANFIS 모델을 통해 예측성능에 따라 가중치를 부여하는 전처리과정을 거친다. 전처리결과를 과거 관측 기상변수와 함께 ANFIS 모델의 입력자료로 활용하는 후처리과정을 통해 최종 강수 전망값을 생산한다. ANFIS 기반 앙상블 기상전망 개선기법(CASE3)의 성능 검증을 위해 GloSea5 편의보정 결과(BC_GS5), 전처리과정 결과(CASE1) 그리고 GloSea5 앙상블 평균을 활용한 후처리과정 결과(CASE2)를 비교 평가하고자 한다. 평가방법으로는 시계열 분석, 상관계수 및 평균제곱근오차 분석, Skill Score 분석을 수행한다.
2.1 GloSea5
GloSea5 모델은 대기, 지면, 해양, 해빙 모델로 구성되며, 각 모델은 커플러(Ocean Atmosphere Sea Ice Soil, OASIS)에 의해 하나의 시스템으로 결합되어 있다. 이때 사용된 대기모델은 UM (Unified Model), 지면모델은 JULES (the Joint UK Land Environment Simulator), 해양모델은 NEMO (Nucleus for European Modelling of the Ocean), 해빙모델은 CICE (Los Alamos Sea Ice Model)이 활용된다(Davies et al., 2005; Best et al., 2011, Madec, 2008; Hunke et al., 2010). 대기 모델의 수평해상도는 0.83°×0.56°, 연직해상도는 85 L이며, 해양 모델의 수평해상도는 tri-polar 격자에서 0.25°, 연직해상도는 75 L이다.
GloSea5는 대기, 지면, 해양 초기조건을 활용하여 실시간 예측자료인 Forecast (FCST)와 과거재현자료인 Hindcast (HCST)를 Fig. 2와 같은 스케줄로 생산하고 있다. FCST는 1개월 예보(sub-seasonal prediction) 00, 01과 3개월 예보(seasonal prediction) 10, 11로 나누어 매일 2개씩, 총 4개의 앙상블 멤버가 생산된다. HCST는 매달 1일, 9일, 17일, 25일마다 생산되며, 과거 14년(1996∼2009년)에 대해 3개의 앙상블 멤버(00, 01, 02)를 생산하고 있다. 각 앙상블 멤버의 적분기간은 출발일로부터 약 7개월이다. 기상청에서는 GloSea5의 장기적분 시 발생하는 수치적분의 계통적 오차를 해소하기 위하여 Eq. (1)과 같이 FCST와 HCST 앙상블 자료를 이용한 편차분석(Anomaly analysis)을 수행한다(KMA, 2015).
| $$Anomaly_t={\overline{FCST}}_t-HCST_{ave,\;t}$$ | (1) |
여기서, 는 예측시점 t월의 FCST 앙상블 평균, 는 t월 HCST 자료의 14년 평균을 의미한다.
2.2 ANFIS
ANFIS는 Fuzzy Inference System (FIS)의 If-then 개념과 ANN의 학습능력을 결합한 모델로써, 과거자료 기반의 학습을 통해 If-then 규칙을 최적화 할 수 있으며, 비선형성을 고려할 수 있는 장점을 갖는다. ANFIS는 If-then 개념을 기반으로 하며, 입력 변수가 x와 y이고 입력 당 n개의 퍼지 집합(fuzzy sets)을 갖는 1차 스게노형 퍼지 If-then 규칙은 다음과 같다.
| $$\mathrm 규칙:\;IF\;x\;is\;A_i\;and\;y\;is\;B_i,\;then\;f_i=p_ix+q_iy+r_i,\;i=1,\;2,\;\cdots\;n$$ |
여기서, If 부분(전건부)의 Ai와 Bi는 퍼지 집합의 언어적 부분(작다, 크다 등)이며, then 부분(후건부)의 pi, qi, ri은 후건부 매개변수로 결과값을 입력변수의 식으로 나타낸다.
입력 당 2개의 퍼지 규칙은 총 4개의 If-then 규칙을 만들며, 4개의 규칙을 갖는 일반적인 ANFIS 모델의 구조는 Fig. 3과 같다(Jang, 1993). ANFIS는 총 5개 층으로 구성되며, 사각형 노드는 학습을 통해 매개변수를 조절하는 적응형(adaptive) 노드이고 원형 노드는 매개변수가 없는 일반 노드를 의미한다. 첫 번째 층에서는 입력 값을 받아서 퍼지 규칙의 퍼지 집합에 따라 0∼1 사이의 소속도가 할당되는 퍼지화(fuzzification)가 이루어지며, gradient descent 방법에 의해 학습된다. 이때 사용되는 소속함수는 여러 형태가 존재하며 각 자료에 적합한 형태를 선정하여야 한다. 본 연구에서는 총 8개의 소속함수(generalized bell, triangular, trapezoid, Gaussian, sigmoid 등)를 검토하여 Gaussian 형태를 사용하였다. 두 번째 층의 각 노드에서는 입력되는 모든 신호를 곱하여 연결강도 wn를 산정하고 다음 층으로 전달한다. 세 번째 층에서는 정규화 과정을 통해 해당 규칙의 기여정도를 계산한다. 네 번째 층에서는 정규화된 기여도와 입력 값(x, y)을 받아 각 퍼지 규칙의 결과(hi)를 산정하는 역퍼지화(deffuzification)가 이루어지며, Least-square estimate (LSE) 방법에 의해 학습된다. 본 연구에서는 2개의 결과함수(0차, 1차 스게노)를 검토하였으며, 1차 스게노 함수를 활용하였다. 다섯 번째 층에서는 입력되는 모든 신호를 더해 ANFIS의 결과를 계산한다.
2.3 전처리 기법
ANFIS 기반 OWM 기법 개발을 위해 앙상블 멤버와 관측 강수의 관계를 활용하였으며, 가중치는 ANFIS를 통해 결정하였다. Fig. 4는 ANFIS를 통한 전처리 과정을 나타내며, 훈련 및 보정기간 동안 HCST 자료와 지상 관측 강수량 사이의 관계를 통해 ANFIS 모델 내에 가중치가 결정된다. 검정기간 동안 FCST 자료는 ANFIS 내의 가중치를 받아 대상지역에 최적화된 1개월 예측 강수로 보정된다.
ANFIS는 훈련을 기반으로 입력과 출력변수 사이의 관계나 숨겨진 경향을 찾기 때문에 적정 입력 및 출력변수를 선정하는 것이 모델의 성능을 좌우한다. 본 연구에서는 입력변수로 GloSea5의 강수전망자료, 출력변수로 대상지역의 유역평균강수를 활용하였다. GloSea5는 장기예보 특성상 월∼계절간 변동성을 예측 대상으로 하며, 일 단위 전망값의 경우 신뢰도가 매우 낮다. 이에 강수전망자료는 정확도와 효용가치 면에서 활용성이 높은 1개월 전망자료를 사용하였다. 모델의 학습에는 1996∼2009년(16년) 동안의 HCST 자료를 활용하였으며, HCST는 재분석장을 초기장으로 활용하여 FCST에 비해 입력자료의 오차가 작아 통계적 기법의 훈련과정에서의 활용성이 입증된 바 있다(WMO, 2012). 모델의 검정에는 2015∼2016년(2년) 동안의 FCST 자료를 활용하여, 보정기법의 성능을 평가하였다. 다만, FCST는 4회/1일 주기로 생산되는 반면에 HCST는 1, 9, 17, 25일에는 3회/1일 생산되므로, ANFIS 모델에서의 학습과 검정에서 자료의 일관성 유지를 위해 HCST의 생산일에 맞춰 FCST를 활용하였다.
2.4 후처리 기법
ANFIS 기반 MOS 기법 개발을 위해 전처리된 기상전망자료와 관측 강수량, 기온 및 습도 자료를 ANFIS의 입력자료로 활용하여 기상전망자료의 정확도를 개선시키고자 한다. 후처리로 인한 성능 개선 확인을 위해 입력자료로 전처리결과를 사용한 CASE3와 GloSea5 앙상블 평균을 사용한 CASE2로 구분하여 연구를 수행하였다. 통계모델의 입력변수는 모델의 성능을 좌우하는 요소이며, 과도한 변수를 사용하는 경우엔 모델의 일반화를 방해하고 계산의 복잡성을 증가시킬 수 있다. 본 연구에서는 Jang (1996)이 제시한 입력변수 선정방법을 기반으로 다양한 입력변수 조합을 구성하여 모델을 구축하고 RMSE (Root Mean Squared Error)가 가장 작을 때의 조합을 입력변수로 선정하였다. 변수선정에는 관측 월 평균 강수(P), 월 평균 기온(T), 월 평균 상대습도(H), 1개월 GloSea5 기상전망자료(F)를 활용하였으며, Table 1과 같이 모델을 구축한 후 RMSE를 평가하여 모델 D를 최종 입력변수로 선정하였다. 여기서 t는 예측시점이며, t+1는 예측시점으로 부터 1개월 후를 의미한다.
Table 1. Model input and output variables for post-processing input selection
| Model | Input | Output |
| Model_A | F (t+1) | P (t+1) |
| Model_B | F (t+1), T(t) | P (t+1) |
| Model_C | F (t+1), P(t) | P (t+1) |
| Model_D | F (t+1), P(t), T(t) | P (t+1) |
| Model_E | F (t+1), P(t), H(t) | P (t+1) |
| Model_F | F (t+1), P(t), T(t), H(t) | P (t+1) |
2.5 평가 방법
ANFIS 기반 앙상블 기상전망 개선기법의 평가를 위해 도시적 방법으로 산포도와 시계열 그래프를 활용하였으며, 통계적 방법으로는 평균제곱근오차(RMSE), 상관계수(Correlation Coefficient, CC) 그리고 SS (Skill Score)를 사용하였다. RMSE와 CC는 예측값의 정량적인 평가에 활용되며, Eqs. (2) and (3)을 통해 산정하였다. RMSE가 0에 가까울수록, CC가 +1에 가까울수록 전망결과가 관측에 잘 일치한다고 평가된다. SS는 모델의 예측성능 비교평가에 활용되며, Eq. (4)을 통해 산정하였다. SS가 1일 경우 완벽한 예측이며, 음의 값을 가질 경우 기준 모델보다 예측성이 떨어짐을 의미한다. SS 활용을 위해서는 기준 모델이 필요하며, 본 연구에서는 GloSea5에 가장 기본적인 편의보정(Bias Correction)기법을 적용(BC_GS5)하여 기준값으로 활용하였다. GloSea5의 편의보정은 Eq. (5)를 통해 이루어지며, FCST와 HCST의 Anomaly를 산정하고 대상지역의 과거 30년 평균(Historyave) 관측값을 고려하여 계통적 오차를 제거한다.
| $$RMSE=\sqrt{\frac1n\sum_{t=1}^n\left(P_{pre,\;t}-P_{obs,\;t}\right)^2}$$ | (2) |
| $$SS=1-\frac{RMSE_{fcst}}{RMSE_{ref}}$$ | (4) |
| $$BC_-GS5=Anomaly+History_{ave}$$ | (5) |
여기서, n는 전체 자료의 개수, Ppre, t는 모델을 통해 산정한 t시점의 예측 강수량, Pobs, t는 관측 강수량, 는 예측 강수량의 평균, 는 관측 강수량의 평균, RMSEfcst는 비교하고자하는 모델의 RMSE, RMSEref는 기준이 되는 모델의 RMSE이다.
3. 적용 및 평가
3.1 대상지역 및 자료
본 연구에서는 GloSea5의 해상도를 고려하여 비교적 규모가 크고 댐의 중요도가 높아 실무에 활용가능성이 높은 충주댐 유역을 Fig. 5와 같이 대상지역으로 선정하였다. 충주댐은 남한강 지류의 다목적 댐으로 남한강에서 가장 큰 6,648 km2의 유역면적을 가지며, 총 저수용량이 2,750백만m3에 달해 수도권 지역의 이수 및 치수 측면에서 중요도가 높다.
후처리 기법의 입력자료로 충주댐 유역의 강수량, 기온, 상대습도 자료를 사용하였으며, Fig. 5에 도시된 국토교통부 및 기상청 지점의 관측자료를 수집하였다. GloSea5 기상전망자료와 동일한 자료기간인 1996∼2009년(HCST), 2015∼2016년(FCST)을 사용하였다. 지점별 관측자료와 격자별 강수전망자료의 활용을 위해 Thiessen 가중법을 사용하여 유역평균값을 산정하였다.
3.2 GloSea5 기상전망 개선기법 구축 및 평가
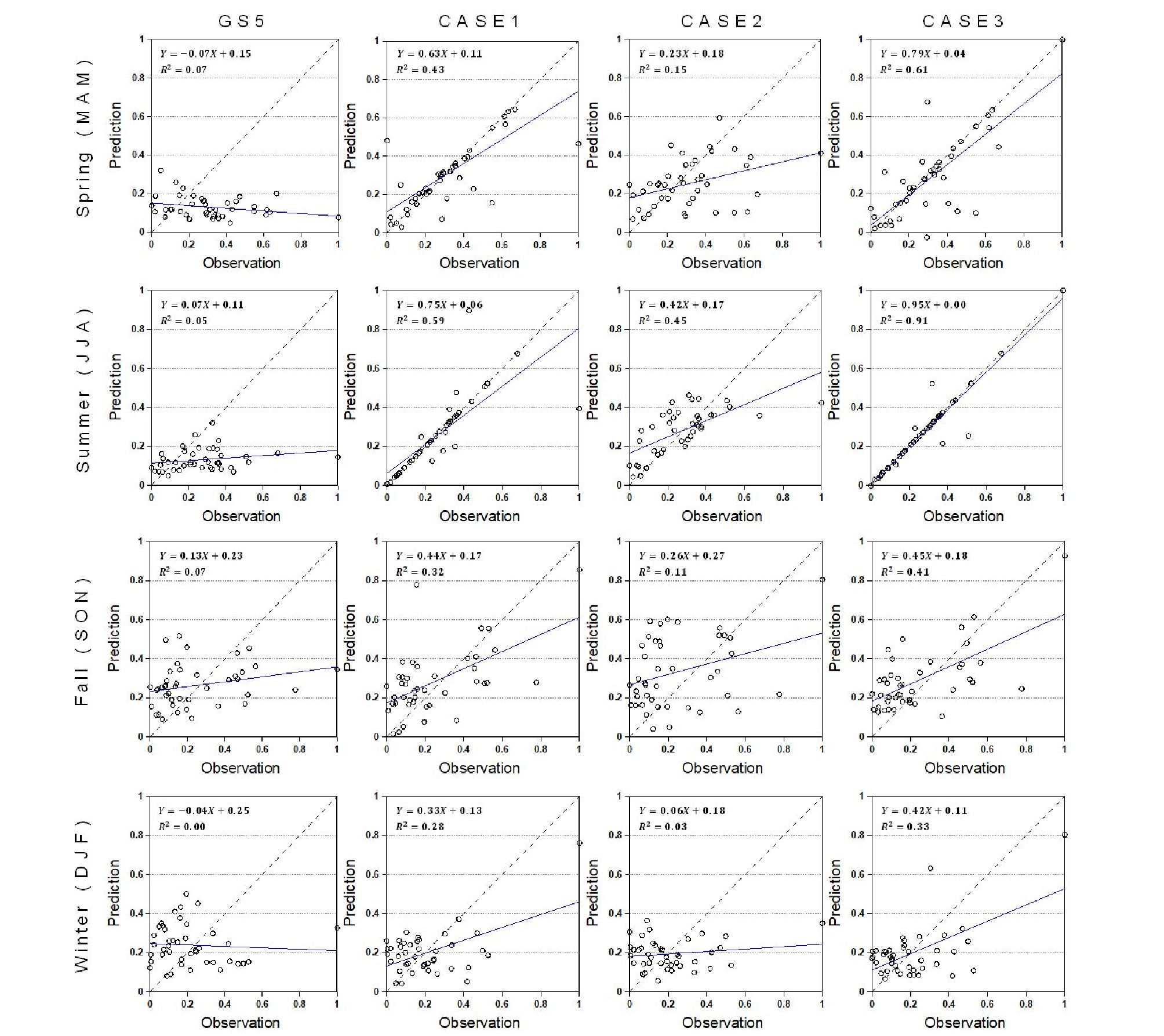
충주댐 유역에 대해 ANFIS 기반 전처리 기법과 후처리 기법을 각각 구축하였으며, 과적합을 피하고 제한된 자료를 효율적으로 활용하기 위해 Mitchell (1997)이 제안한 4-Fold Cross Validation을 사용하여 훈련 및 보정에 활용되는 적정 자료를 결정하였다. 구축된 모델의 훈련성능 파악을 위해 원자료인 GloSea5 HCST 앙상블 평균(GS5)과 함께 값을 표준화하여 산포도로 Fig. 6과 같이 도시하였으며, 정량적 비교를 위해 통계치를 산정하여 Table 2에 제시하였다.
Table 2. Training & validation dataset RMSE, CC and SS for monthly weather forecast
Fig. 6은 충주댐 유역에 대해 훈련 및 보정결과를 표준화하여 계절별로 도시한 그림이며, 각 열은 GS5, CASE1∼3의 결과를 나타낸다. 실선은 선형회귀선, 점선은 기울기가 1인 선을 의미한다. 여기서 선형회귀선의 기울기가 1인 점선에 가까울수록 모델 모의값은 관측값과 선형관계를 가지며, 점선보다 기울기가 낮을 경우 과소모의, 높을 경우 과대모의 함을 의미한다. R2는 1에 가까울수록 산포도가 점선 주변에 분포되어 모의능력이 우수함을 의미한다.
봄철(MAM) GS5의 경우 회귀선 기울기와 R2가 거의 0으로 나타났으며, 관측강수와의 상관성이 거의 없었다. ANFIS를 통한 훈련 및 보정결과 CASE1∼3 모두 회귀선 기울기와 R2가 GS5 보다 개선되었으며, CASE1과 CASE3의 경우 회귀선 기울기가 약 0.60, R2가 약 0.40∼0.60으로 훈련성능이 양호하였다. 반면 CASE2의 경우 회귀선 기울기와 R2가 약 0.20으로 훈련성능이 낮게 나타났다. 여름철(JJA) GS5의 경우 회귀선 기울기와 R2가 거의 0으로 나타났으며, 관측강수와의 상관성이 거의 없었다. ANFIS를 통한 훈련 및 보정결과 CASE1∼3 모두 회귀선 기울기와 R2가 GS5 보다 개선되는 것으로 나타났다. CASE1과 CASE3의 경우 회귀선 기울기가 0.70 이상, R2가 0.60 이상으로 훈련성능이 우수하였으며, 특히 CASE3의 회귀선 기울기와 R2는 사계절 중 가장 높게 나타났다. CASE2의 경우 회귀선 기울기와 R2가 약 0.40으로 훈련성능이 다소 낮게 나타났다. 가을철(SON) GS5의 경우 회귀선 기울기가 0.13으로 사계절 중에서 가장 높았으나 관측값과의 상관성은 여전히 떨어지는 것으로 나타났다. ANFIS를 통한 훈련 및 보정결과 CASE1∼3 모두 회귀선 기울기와 R2가 GS5 보다 개선되었으나, CASE1과 CASE3의 경우 회귀선 기울기가 약 0.40, R2값이 약 0.30∼0.40으로 훈련성능이 다소 낮게 나타났다. CASE2의 경우엔 회귀선의 기울기와 R2 값이 더 작아 개선효과가 적었다. 겨울철(DJF) GS5의 경우 회귀선 기울기와 R2 값이 거의 0으로 나타났으며, 관측강수와의 상관성이 거의 없었다. ANFIS를 통한 훈련 및 보정결과 CASE1∼3 모두 회귀선 기울기와 R2가 GS5 보다 개선되었으나, CASE2의 경우 회귀선 기울기 및 R2 값이 GS5와 거의 유사하여 훈련이 잘 이루어지지 않은 것으로 나타났다. CASE1과 CASE3의 경우 회귀선 기울기가 0.30∼0.40, R2가 약 0.30으로 다소 낮았으며, 사계절 중 가장 낮은 훈련성능을 나타냈다.
ANFIS를 통한 훈련 및 보정기간의 도시적 평가 결과 GS5와 CASE1∼3 모두 관측값을 과소모의하는 것으로 나타났으며, 전반적으로 CASE1∼3 모두 GS5를 개선시키는 것으로 나타났다. 계절별로는 JJA의 개선효과가 가장 좋았으며, MAM, SON, DJF 순으로 개선효과가 우수하였다. 이는 전처리 과정(CASE1, CASE3)이 앙상블 멤버의 예측성능에 따라 가중치를 부여하며, 강우값의 범위가 큰 JJA의 경우 HCST 앙상블 멤버별 예측성능에 따라 가중치 부여가 가능한 반면, 값의 범위가 작은 DJF의 경우 멤버별 예측성능에 차이가 적어 개선효과가 떨어지는 것으로 판단된다. CASE3(전·후처리)의 훈련성능이 가장 뛰어났으며 CASE1(전처리), CASE2(후처리) 순으로 훈련성능이 우수하였다. 이는 후처리 과정(CASE2, CASE3)이 기상전망자료와 관측자료를 ANFIS의 입력자료로 활용하며, 전처리결과를 사용한 CASE3은 입력자료 사이의 상관성이 약 0.60으로 높아 모델 성능이 우수하였으나, GS5를 사용한 CASE2는 입력자료 사이의 상관성이 약 0.40으로 낮아 훈련성능이 좋지 않았던 것으로 판단된다.
ANFIS를 통한 훈련 및 보정결과를 정량적으로 평가하기 위해 RMSE, CC, SS를 산정하였다. Table 2는 훈련 및 보정기간에 대한 GS5와 CASE1∼3의 결과이며, SS의 기준값은 GS5를 활용하였다. GS5의 경우 MAM을 제외한 CC가 0.26 이하로 나타났으며, 전체 기간의 경우 CC는 0.60으로 높았지만 RMSE가 100 이상으로 오차가 큰 것으로 나타났다. CASE1의 경우 SON과 DJF을 제외한 CC가 약 0.70 이상으로 훈련성능이 우수하였으며, SON의 경우 CC는 0.57로 높은 반면 RMSE가 GS5와 유사하여 SS가 낮게 나타났다. 하지만 CC와 RMSE 둘 다 모든 기간에 대해 GS5 보다 개선되는 것으로 나타났다. CASE2의 경우 JJA을 제외한 훈련성능이 낮게 나타났으며, 특히 SON의 RMSE가 GS5 보다 낮아 SS가 음수로 산정되었다. 하지만 전체 기간의 경우 GS5 보다 개선되는 것으로 나타났다. CASE3의 경우 모든 기간의 CC가 약 0.60 이상으로 훈련성능이 우수하였으며, 특히 JJA의 SS가 0.75로 가장 높게 나타났다.
ANFIS를 통한 훈련 및 보정기간의 정량적 평가 결과 CASE2의 일부 기간을 제외하고 CASE1∼3 모두 GS5를 개선시키는 것으로 나타났다. 전처리 과정(CASE1, CASE3)의 경우 값의 범위가 작은 SON과 DJF을 제외하고는 SS가 약 0.20 이상으로 개선효과가 우수하였다. 이는 전처리 과정(CASE1, CASE3)이 강수값의 범위가 개선효과에 영향을 미쳐 여름철과 같은 변동성이 큰 계절에 훈련성능이 우수한 것으로 판단된다. 후처리 과정(CASE2, CASE3)의 경우 CASE3는 CASE1에 비해 모든 기간에서 RMSE가 낮았으며, 전처리 과정에서 개선하지 못한 오차를 줄일 수 있는 것으로 판단된다. 반면, CASE2의 MAM, SON, DJF에 GS5 보다 성능이 유사하거나 좋지 않았으며, 이는 CASE2에서 입력자료 사이의 상관성이 낮았기 때문으로 판단된다. 따라서 후처리 과정은 전처리 과정과 함께 사용하는 것이 좋은 것으로 판단된다.
3.3 GloSea5 기상전망 개선기법 실시간 평가
앞서 구축된 기법에 FCST 자료를 적용하여 충주댐 유역의 GloSea5 강수전망자료를 보정하였다. 전처리 및 후처리 기법의 평가를 위해 Fig. 7과 같이 GloSea5 편의보정 결과(BC_GS5) 와 비교하여 시계열 그래프로 나타냈으며, 그래프로 확인하기 어려운 정량적 비교를 위해 통계치를 산정하여 Table 3에 제시하였다.
Table 3. Testing dataset RMSE, CC and SS for monthly weather forecast
| Statistics | BC_GS5 | CASE1 | CASE2 | CASE3 |
| CC | 0.70 | 0.89 | 0.81 | 0.91 |
| RMSE | 60.34 | 54.03 | 53.29 | 38.09 |
| SS | 0.00 | 0.10 | 0.12 | 0.37 |
Fig. 7은 충주댐 유역에 대해 2015∼2016년의 기간 동안 BC_GS5와 CASE1∼3의 검정결과를 도시한 것으로, 회색 음영으로 표시된 부분은 FCST 앙상블 멤버의 범위, 점선은 FCST 앙상블 평균을 의미한다. Fig. 7(a)는 BC_GS5의 검정결과이며, 강수가 적은 봄, 가을에는 관측과 유사한 반면, 여름철에 대한 모의성능이 좋지 않았다. BC_GS5는 GloSea5 앙상블 평균보다 관측에 가깝게 나타났으며, GloSea5 FCST는 2015∼2016년의 관측값을 과소모의하는 것으로 나타났다. Fig. 7(b)는 CASE1의 검정결과로 전반적으로 관측을 유사하게 모의하는 것으로 나타났다. 봄, 가을 보다는 여름철의 모의 성능이 우수하였다. Fig. 7(c)는 CASE2의 검정결과로 전반적인 관측의 거동을 한 달 늦게 반영하는 것으로 나타났다. 하지만 2016년 여름철의 경우 BC_GS5 보다는 관측을 가깝게 모의하는 것으로 나타났다. Fig. 7(d)는 CASE3의 검정결과로 4가지 결과 중 가장 관측에 가깝게 나타났으며, 특히 여름철의 모의성능이 우수하였다.
ANFIS를 통한 검정결과 CASE1∼3 모두 전반적으로 관측을 잘 모의하는 것으로 나타났다. 가을, 겨울철 보다는 여름철의 모의성능이 우수하였으며, 이는 훈련 및 보정결과가 검정결과에 반영되었기 때문으로 판단된다. CASE3의 모의성능이 4가지 기법 중 가장 뛰어났으며, CASE1, CASE2, BC_ GS5 순으로 관측에 가깝게 모의하는 것으로 나타났다. 따라서 CASE1∼3은 검정결과가 훈련 및 보정결과와 유사하게 나타나, 적절하게 모델 구축이 이루어진 것으로 판단된다.
ANFIS를 통한 검정결과를 정량적으로 평가하기 위해 RMSE, CC, SS를 산정하였다. Table 3은 검정기간에 대한 BC_GS5와 CASE1∼3의 결과이며, SS의 기준값은 BC_GS5를 활용하였다. ANFIS를 활용한 검정결과 CASE1∼3 모두 기존의 BC_GS5 보다 CC가 높고 RMSE가 낮게 나타났으며, 이에 따라 SS도 향상된 결과를 나타냈다. CASE3의 경우 모든 통계치가 높게 나타나 개선효과가 가장 우수하였다. CASE1의 경우 CASE2 보다 CC는 크고 RMSE는 유사하였으며, 이는 검정기간이 짧아 성능 평가가 적절하게 이루어지지 못했기 때문으로 판단된다. 하지만 전반적으로 훈련 및 보정결과와 유사하게 나타나, 적절하게 모델 구축이 이루어진 것으로 판단된다. ANFIS 기반 GloSea5 앙상블 기상전망 개선기법에서 후처리 기법보다는 전처리 기법의 개선효과가 우수하며, 전처리와 후처리 기법을 모두 사용하였을 때 가장 좋은 효과를 나타내는 것으로 판단된다.
4. 결 론
본 연구에서는 ANFIS를 활용한 GloSea5 앙상블 기상전망 개선기법을 개발하고 평가하였다. 대상유역으로 국내 주요 다목적댐인 충주댐 유역을 선정하였으며, 입력자료로 1개월 전망 GloSea5 HCST와 FCST, 월 관측 강수량, 월 관측 기온을 사용하였다. 평가방법으로 도시적 분석과 통계적 분석을 수행하였으며, 연구의 주요 결과를 요약하면 다음과 같다.
1) GloSea5 앙상블 기반의 기상전망기법 개선을 위해 충주댐 유역에 대해 ANFIS 기반 OWM과 MOS 기법을 구축 하였다. 전처리과정(OWM)에서 각 앙상블 멤버별로 최적의 가중치를 부여하고 후처리과정(MOS)에서 편의보정을 수행하였다. 훈련 및 보정은 1996∼2009년 동안의 HCST 자료를 활용하였으며, 검정은 2015∼2016년 동안의 FCST 자료를 활용하였다. 각 과정별로 CASE1(전처리 기법), CASE2(후처리 기법), CASE3(전·후처리 기법)을 관측 강수와 비교 평가하였으며, CASE1∼3 모두 개선효과가 좋은 것으로 나타났다.
2) 훈련 및 보정결과 CASE1∼3 모두 GS5를 개선시키는 것으로 나타났다. 전처리 기법(CASE1, CASE3)의 훈련성능이 우수하였으며, 특히 강우값의 범위가 개선효과에 영향을 미쳐 여름철과 같은 변동성이 큰 계절에 훈련성능이 우수한 것으로 판단된다. 후처리 기법(CASE2, CASE3)의 경우 CASE3는 CASE1에 비해 모든 기간에서 RMSE가 낮았으며, 전처리 과정에서 개선하지 못한 오차를 줄일 수 있는 것으로 판단된다. 반면 CASE2는 일부기간에서 개선효과가 떨어졌으며, 이는 CASE2에서 입력자료 사이의 상관성이 낮았기 때문으로 판단된다. 따라서 후처리 과정은 전처리 과정과 함께 사용하는 것이 좋은 것으로 판단된다.
3) 검정결과 CASE1∼3 모두 BC_GS5 보다 예측성능이 우수하였으며, 특히 여름철에 개선효과가 뛰어났다. 특히 CASE3의 모의성능이 가장 뛰어났으며, CASE1, CASE2 순으로 우수하게 나타났다. 다만 CASE2의 RMSE가 CASE1에 비해 낮게 산정되었으며, 이는 검정기간이 짧아 성능평가가 적절하게 이루어지지 못한 것으로 판단된다. 하지만 전반적으로 훈련 및 보정결과와 유사하게 나타나, 적절하게 모델 구축이 이루어진 것으로 판단된다. ANFIS 기반 GloSea5 앙상블 기상전망 개선기법에서 후처리 기법 보다는 전처리 기법의 개선효과가 우수하며, 전처리와 후처리 기법을 모두 사용하였을 때 가장 좋은 효과를 나타내는 것으로 판단된다.
본 연구결과 GloSea5 앙상블 멤버를 단순 평균하여 결합하는 것 보다는 ANFIS를 활용한 전처리기법을 통해 앙상블 멤버에 가중치를 부여하고 후처리기법을 통해 보정하는 것이 예측성능을 개선시키는 것으로 나타났다. 따라서 본 연구는 AI 기반 EPS 개선기법 연구에 가치가 있는 것으로 판단된다. 다만 각 기법별 실시간 평가 단계에서 GloSea5 자료의 가용 기간이 짧은 한계가 있으며, 추후 GloSea5의 운영에 따라 기간을 연장하여 연구를 수행할 필요가 있다. 또한 댐 유입량 예측 및 가뭄전망 등 기 개발된 기상전망 개선기법을 수문모델에 적용하여 기상-수문연계해석을 위한 적용성 평가에 대한 연구를 수행할 필요가 있다.










