1. 서 론
2. 적용모형
2.1 심층 신경망 기법 기반 강우예측 기법
2.2 외삽기반 강우예측 기법
3. 자료 구축 및 심층학습
3.1 자료 구축
3.2 레이더 영상을 활용한 심층학습
4. 강우예측 정확도 평가
4.1 학습된 심층신경망을 이용한 강우예측
4.2 강우예측의 정량적 평가
5. 결 론
1. 서 론
예측강우는 호우로 인해 발생하는 홍수를 선제적으로 대응하여 피해를 저감시키는 데 반드시 필요한 자료이다. 특히, 최근 이상기후와 관련된 돌발적이고 국지적인 호우 발생의 빈도가 증가하면서 초단시간 강우예측 정보의 중요도가 높아지고 있다. 일반적으로 기상 분야에서는 기상수치모델, 레이더기반 예측기법을 적용하여 강우량과 강우발생이 예상되는 지역을 제공하고 있다. 그 중 레이더 자료를 이용한 강우예측 기법은 수치예보모델보다 짧은 선행시간(~ 3시간) 범위에서 수치예보보다 높은 정확도를 갖기 때문에 돌발홍수 및 도시홍수의 조기경보를 위해 유용하게 사용되고 있다(Lin et al., 2005; Sun et al., 2014).
기상레이더 기반 강우예측에서는 관측되는 강우장이 동일한 호우에 대해서는 동일한 기상특성을 갖는 것으로 판단하고, 일반적으로 외삽 및 상관법을 사용한다. 기상레이더의 상관관계를 이용한 예측 연구는 Hilst and Russo (1960), Kessler and Russo (1963) 등이 전체 강우 시스템의 이동방향을 예측하면서 시작되었으며, 이후 고해상도의 레이더 자료를 이용하면서 강우 시스템 내부에 셀의 운동까지도 분석할 수 있게 되었다(Rinehart and Garvey, 1978; Tuttle and Foote, 1990; Tuttle and Gall, 1999). 1978년 Bellon and Austin에 의해서 SHARP (SHort-Term Precipitation Forecasting Procedure; Bellon and Austin, 1978) 개발되었고, 레이더 영상에서 개별 물체의 발달을 추적하는 셀 추적기법인 TITAN (Thunderstorm Identification Tracking Analysis and Nowcasting; Dixon and Wiener, 1993), SCIT (Storm Cell Identification and Tracking; Johnson et al., 1998), 3차원으로 검색반경을 정의해 강우를 인식하고 추적하는 예측 기법인 TRACE3D (Handwerker, 2002) 등이 개발되었다. 또한 스펙트럴 도메인 분석기법 및 여타기법들을 이용한 S-PROG (Spectral PROGnosis), STEPS (Stochastic Ensemble Prediction System), MAPLE (McGill Algorithm for Precipitation Nowcasting by Lagrangian Extrapolation), AutoNowcaster, OPIC (Convective Objects for Nowcasting), SIGOONS (SIGnificant weather Object Oriented Nowcasting System) 등의 단시간 강우예측모델이 개발되어 활용되고 있다(Reyniers, 2008).
국내의 경우 레이더를 활용한 강우예측은 기상현업에서 활용하는 MAPLE과 KONOS (KOrea NOwcasting System)가 있다. MAPLE은 레이더 반사도, 2차원 격자형 합성장을 이용한 변분에코 추적기법이며, KONOS는 한국형 강수실황 예측시스템 개발을 목적으로 MAPLE과 VSRF (Very Short Range Forecasting)를 기반으로 하며, 지형효과 알고리즘이 적용된 기법이다(Yoon, 2019). 수문학적 연구 측면에서는 Kim and Kim (2008)이 2차원 CAPPI 자료를 TREC (Tracking Radar Echos by Correlation)에 적용해 강우장을 예측하는 연구를 수행한 바 있다. TREC 기법은 연속된 레이더 반사도 자료를 이용해 두 윈도우 사이의 상관계수의 최대치를 찾아냄으로써 강우의 이동방향과 이동속도를 파악하는 것으로 강우의 수평 이동벡터장성분만을 산정해 이용하므로 대류성 강우의 이동특성을 포함하는 예측에는 한계가 있다. Yoon and Bae (2010)는 홍수예보 측면에서 이류모델을 활용하여 레이더 강우예측정보를 생산하였다. 이류모델은 외삽기반의 모델로써 강우강도 변화의 지배방정식을 사용하여 연속적인 시계열 레이더자료를 통해 이류벡터를 산정하고, 이를 적용하여 격자자료를 외삽하여 강우강도 분포를 이류벡터에 따라 이동시키면서 예측강우를 산정하는 기법이다. 또한, Yoon (2017)은 공간규모분할 기법(SCDM)을 적용하여 레이더 예측강우를 산정하고, 도시홍수예보 관점에서 기상청 현업 레이더 예측강우(MAPLE 및 KONOS)와 함께 수문학적 활용성을 평가하였다.
기존의 동역학적 원리에 기반한 기상예측 외에도 1990년대부터 인공신경망기법을 이용한 강우예측연구가 수행되어 왔는데, 이는 강수에 영향을 미치는 다양한 기상요소와 예측에 활용되는 방대한 관측자료를 예측에 활용하기 위해서였다(Kuligowski and Barros, 1998; Lee et al., 1998; Hall et al., 1999; Seo et al., 2012). 특히, 국외의 경우 이미지 검색 및 분류와 같은 컴퓨터 비전 분야에서 강점을 갖는 심층학습 기법과 기상레이더 자료와 같은 2차원 데이터들을 이용하여 강우를 예측하는 연구 추세가 증가하고 있다.
심층학습(딥러닝, Deep learning)은 “딥”아키텍처를 사용하는 인공 신경망 기반 기계학습으로 훈련 데이터에 대한 최적화를 통해 문제를 해결하는 연구로 영상 분류 (Krizhevsky et al., 2012), 기계 번역 (Sutskever et al., 2014), 음성 인식 (LeCun et al., 1998)에서 기존 연구들 보다 우수한 결과를 얻고 있다. 특히, 모델 훈련을 위한 빅데이터(big data)의 가용성, 많은 네트워크 계층에 걸쳐 수치적으로 안정적인 기울기를 가져 오는 활성화 함수 및 네트워크 아키텍처의 개발 (Dahl et al., 2013), 그리고 그래픽 처리 장치 (GPU)의 병렬화를 통해 학습 프로세스를 대규모로 확장 할 수 있는 환경 변화로 인해 심층학습은 데이터가 풍부한 과학 분야에서 빠르게 확산되어 지구과학분야에서 효율적인 예측모델로 활용되고 있다(Reichstein et al., 2019).
특히, 레이더 영상을 활용한 인공지능 심층학습 기반(RNN (Recurrent Neural Network), CNN (Convolutional Neural Network), Conv-LSTM 등)의 강우예측 역시 확대추세이다. Shi et al. (2015)는 레이더 기반 강수 예측 분야에서 심층학습 모델을 처음으로 도입했다. 해당 연구는 홍콩의 3년치(2011년 ~ 2013년) 기상레이더 반사도 자료와 Convolutional LSTM (Long Short-Term Memory) Network를 이용해 선행 90분까지 예측을 수행하였으며, 그 결과 ConvLSTM이 기존 이동벡터 기반 ROVER 예측시스템을 능가하였다. ConvLSTM을 이용한 연구는 0.5 mm의 강우 임계값을 기준으로 정확도를 평가해 재해 위험도가 큰 강한 강도의 강우에 대한 알고리즘의 성능을 평가하지 못한 한계가 있었으며, 위치불변필터(location-invariant filter)를 사용하는 ConvLSTM을 사용하는 것이 강우의 회전과 강도 변화와 같은 이동패턴을 파악하는데 비효율적이었다. 후속 연구에서는 이러한 한계를 극복하기 위해 위치-변형 구조를 능동적으로 학습할 수 있는 Trajectory GRU 모델을 제안한 바 있다(Shi et al., 2017). 최근 구글은 인공위성 및 수치예보와 결합한 레이더 자료와 U-Net CNN을 이용해 1 km 고해상도로 매 2분마다 최대 6시간 예측강우를 산정하며, 미국 NOAA의 선행 1시간 예측강우와 비교한 결과 높은 정확도를 보였다. U-Net CNN은 객체구별에 강점이 있는 CNN에, U자형 네트워크를 통해 객체구별과 지역화를 강점으로 빠른 연산이 가능한 심층학습 기법이다(Agrawal et al., 2019). Ayzel et al. (2020)은 U-Net과 SegNet에 기반한 CNN 네트워크 구조를 활용하여 강우를 예측할 수 있는 모델(RainNet v1.0)을 개발해 보다 향상된 예측정확도를 제시하였다. 해당 연구를 통해 레이더 기반 강우예측에서 심층학습 기술이 이동벡터 추적 및 외삽 기술의 한계를 극복 할 수 있음을 확인하였다. 국외에서 심층학습 기반의 강우예측 연구가 증가하고 있는 반면 국내의 경우는 이제 시작단계로써 외국에서 구축된 레이더 영상자료를 바탕으로 심층학습을 수행한 사례 등이 있다(Tran and Song, 2019).
본 연구에서는 강우예측을 위해 U-Net과 SegNet에 기반한 합성곱 신경망(Convolutional Neural Network, CNN) 구조에 장기간의 국내 기상레이더 자료를 활용하여 심층학습 기반의 강우예측을 수행하고자 하였다. 그리고, 기존에 일반적으로 사용되고 있는 외삽기반의 강우예측 기법인 이류모델의 예측 결과와 비교 평가하였다.
2. 적용모형
2.1 심층 신경망 기법 기반 강우예측 기법
본 연구는 레이더 기반 심층학습 예측강우 산정을 위해 최근에 제시된 합성곱 심층신경망인 RainNet을 사용하였으며, 그 신경망 구조는 Fig. 1과 같이 요약할 수 있다. RainNet에 사용된 신경망 구조는 branch간의 스킵-연결(skip connection)을 포함한 인코더(encoder)-디코더(decoder) 구조를 갖는 합성곱 심층신경망(CNN) 기반 모델인 U-Net 및 SegNet에서 유래한 것이다(Badrinarayanan et al., 2017; Ronneberger et al., 2015; Iglovikov and Shvets, 2018). 여기서 인코더는 인지 네트워크(recognition network)라고도 하며 입력을 내부 표현으로 변환한다. 반대로 디코더는 생성 네트워크(generative network)라고도 하며 내부 표현을 출력으로 변환한다. U-Net은 기존 CNN의 한계점을 극복하기 위해 만들어진 모델이다. 기존 CNN은 합성곱 필터(Convolution Filter)를 활용하여 영상의 특징을 간략화한 후 최종적으로 완전연결레이어(Fully-Connected Layer) 형태로 구성하기 위해 추출된 특징들을 1열로 배치하고, 각 특징들을 연산한 결과가 대응 하는 값을 출력 뉴런(output neuron)을 통해 나타낸다. 따라서 CNN은 1차원 매트릭스의 대해서만 연산이 가능해 보다 상세한 특징을 추출하기가 어려우며, 영상이 특징만 포함하지 않고 특징을 포함한 어떤 영역의 데이터를 학습해야만 하는 한계가 있다. SegNet은 디코딩 프로세스에서 레이어를 업 샘플링(up-sampling)하기 위해 해당 인코더 레이어에서 “최대 풀링 인덱스(max pooling index)”를 다시 호출하여 사용함으로써 네트워크가 업 샘플링 가중치를 다시 학습할 필요가 없어 훈련을 더 간략하게 한다는 장점이 있다. 또한 압축 경로에서 확장 경로로 전달되는 과정에서 전체 특징 맵을 활용해 많은 메모리 자원을 사용하게 하는 U-net과 달리 Segnet에서는 풀링 인덱스만을 전달하기 때문에 더 적은 메모리를 사용할 수 있다는 장점이 있다.
앞서 언급한대로 RainNet은 인코더가 풀링을 사용하여 공간 해상도를 점진적으로 축소시킨 후 컨볼루션 레이어가 뒤따르는 인코더-디코더 아키텍처(U 자형 네트워크 구조)를 갖는다. 디코더는 업 샘플링을 사용하여 학습된 영상의 패턴을 높은 공간 해상도로 점진적으로 업 스케일링 한 다음 합성곱 레이어를 사용한다. 또한 서로 다른 레이어의 특징들 사이의 의미적 연결을 보장하기 위해 인코더에서 디코더로의 스킵 연결이 포함되어 있다(Srivastava et al., 2015).
RainNet의 기본 구성 요소는 20개의 합성곱, 4개의 최대 풀링, 4개의 업 샘플링, 2 개의 드롭 아웃(Dropout) 레이어 및 4 개의 스킵 연결이 있다. 합성곱 레이어는 여러 합성곱 필터를 사용하여 해당 입력 볼륨에서 데이터 기반 공간 특징을 생성한다. 여기서 각 필터는 작은 공간 커널 크기(예 : 3 × 3 및 입력 볼륨과 동일한 3 차원)를 가진 학습 가능한 가중치의 3D 텐서(tensor)이다. 합성곱 층의 효율성을 높이기 위해서는 필터의 수, 커널의 크기 및 활성화 함수 유형을 최적화하는 과정을 거쳐야 하나 학습시간의 단축을 위해서 본 연구에서는 기존 RainNet의 연구 결과를 참조하여 최대 512의 합성곱 필터를 사용하였고, 1 × 1 및 3 × 3의 커널 크기, 합성곱층에는 ReLU (Rectified Linear unit) 활성화 함수를 사용하였다(Nair and Hinton, 2010).
RainNet은 입력된 특성 맵을 절반크기로 다운스케일링 하기 위해 최대 풀링층에서 2 × 2 윈도우와 스트라이드(stride) 2를 활용하여 필터 영역의 요소별 최대값을 찾는 최대 풀링 연산을 활용하며, 최대 풀링층와 달리 업 샘플링 층은 입력 볼륨의 공간 업 샘플링을 위해 설계하였다(Long et al., 2015). 업 샘플링 층 연산자는 입력 볼륨을 이동해가며 2 × 2 커널 크기로 정해진 영역의 각 입력값을 복사하여 채운다. 또한, 심층학습 과정의 핵심 알고리즘인 역전파는 출력 손실에서 얻은 피드백 신호를 하위 층에 전파하는 데 이 과정에서 출력 층이 깊은 층을 통과하면 신호가 소실되어 네트워크가 제대로 훈련되지 않는 그래디언트 소실(vanishing gradient) 문제가 발생하는데, 이를 피하기 위해 Srivastava et al. (2015)에 의해 제안된 스킵-연결(skip-connection)을 적용하였다. 스킵-연결은 신경망에서 서로 다른 계층 간의 모든 형태의 정보 전송을 위한 표준 방법이다(Gu et al., 2018). 스킵-연결은 전체 네트워크를 따라 서로 다른 데이터 표현들 사이의 연결을 유지하기 위해 맨 아래 계층에서 학습된 가장 일반적인 패턴을 상단 계층에 의해 재사용할 수 있도록 한다. RainNet은 서로 다른 해상도 수준에서 인코더에서 디코더 분기로 학습한 패턴을 전환하기 위해 스킵-연결을 사용한다. 또한 학습의 과적합을 방지하기 위해서 드롭아웃 층을 포함하였다(Srivastava et al., 2014).
2.2 외삽기반 강우예측 기법
심층학습 기반의 초단시간 레이더 강우예측 평가의 기준으로 기존 국내에 적용되었던 외삽기반의 이류모델(translation model)을 사용하였다. 이류모델은 강우예보의 선행시간 확보를 위해 Shiiba et al. (1984)에 의해 일본에서 개발된 모델로써 Nakakita et al. (1996)과 Sugimoto et al. (2001)에 의해 개선되어 활용되었고, 국내에서도 레이더 강우예측을 위해 적용된 바 있다(Yoon and Bae, 2010). 이류모델은 연속적인 시계열 레이더 격자자료를 외삽하여 강우강도 분포를 이류벡터에 따라 이동시키면서 강우의 발달․쇠약․회전 등을 고려하여 강우를 예측하는 모델이다. 이류모델에서는 수평면상에 발달된 직교좌표계를 x, y로 하여, 지점(x, y)의 시간 t일 때의 강우강도를 z(x, y, t)로 한다. x, y축에 수직인 z축을 취했을 때, z = z(x, y, t)는 시간을 고정시키면 1개의 곡면으로 나타낼 수 있으며, 이 곡면을 강우강도면이라고 한다.
이류모델에서의 강우예측이란 이 강우강도면의 변화를 예측하는 것이며, 다음 Eq. (1)와 같은 형태를 갖는 강우강도변화의 지배방정식을 강우모델로 사용하였다.
여기서, 강우의 이동 및 강우량에 직접적인 영향을 미치는 요소는 이류벡터(u,v)와 발달쇠약항 w이다.
3. 자료 구축 및 심층학습
3.1 자료 구축
본 연구에서는 기상청의 광덕산과 관악산 기상레이더로 관측된 레이더 자료를 이용하였다. 2010년부터 2017년 동안 관측된 레이더 자료 중 강우가 자주 발생하는 4월부터 10월까지의 자료만을 사용하였다. 레이더 원시자료는 UF (Universal format) 형식의 대용량 수치자료이므로 심층학습의 적용이 용이하도록 영상으로 변환할 필요가 있다. 이를 위해서 UF 자료를 1.5 kn 고도의 CAPPI (Constant altitude plane position indicator)로 변환하고, 반사도 값을 이용해서 480 × 480 픽셀의 해상도를 가진 레이더반사도 영상을 생성하였다. 구축한 레이더 영상은 픽셀당 1 km로 환산된다. 특히, 빠른 영상 처리를 위해 Z=255*((dbz+10)/70)+0.5를 이용하여 반사도 값이 0에서 255의 값을 갖도록 처리하였다. 여기에서 dbz은 레이더 원자료에서 취득한 반사도 인자이며, Z는 회색조 영상처리를 위해 변환된 반사도 값이다. 레이더 영상 자료는 10분 간격으로 생성하였다.
본 연구에서는 단일 레이더 사이트 자료를 사용할 경우 무관측 영역과 지형클러터로 인해 빔 차폐가 생기므로 정확한 강우예측을 위한 학습 목적으로 Fig. 2와 같이 관악산과 광덕산 레이더 자료를 합성하였다. 합성된 레이더 격자자료 영역은 Fig. 2의 빨간색 박스 영역으로 한반도의 중부지방을 포함한다.
또한, 강우가 발생한 자료만을 학습에 사용하기 위해 0 mm/hr를 초과하는 강우가 발생한 면적이 5% 이상 되는 영상만을 최종학습에 사용하도록 구분하였다. 최종적으로 학습(training)에 사용된 영상은 31,530개(2010년 ~ 2015년), 검증(validation)에 사용한 영상은 5,871개(2016년), 평가에 사용된 영상은 5,421개 (2017년)이다. 구축된 자료 중 2017년 자료는 심층학습기반의 강우예측 기법의 정확도와 기존 외삽기반의 강우예측기법과의 비교 평가에 사용하였다. 심층학습의 편의성을 위해 Fig. 3과 같이 각 학습자료 시간을 기준으로 t-30분, t-20분, t-10 분 및 t 시점의 레이더 영상 자료를 입력 데이터로, 시간 t + 10분의 레이더 영상 자료를 출력(예측)자료로 구성하여 HDF (Hierarchical Data Format) 파일로 저장하였다.
본 연구에서 심층학습을 위해 구축된 대용량 레이더 영상 자료는 “공공데이터 활용 수력 댐 강우예측 AI 경진대회(https://dacon.io/competitions/official/235646/overview)”의 학습용 자료로 제공되었으며, 향후 후속연구에 활용될 수 있도록 개방형 저장소를 통해 제공하고자 한다.
3.2 레이더 영상을 활용한 심층학습
본 연구에서는 총 7,847,493개의 매개변수를 가지고 있는 심층신경망을 학습시키고자 하였으며, 강우예측을 위해 학습하는 절차는 다음과 같다. 우선 4 개의 연속된 레이더 관측 영상(t-30분, t-20분, t-10분 및 t)를 입력으로 사용하여 t + 10 분의 예측영상을 생성한다. 이 때 3.1절에서 언급한데로 구축된 HDF5 파일의 데이터셋을 활용하여 학습을 수행하는데, RainNet이 차용한 U-Net 기반 아키텍처의 전제 조건 중 하나인 입력 데이터의 공간 범위가 2n+1(여기서, n은 최대 풀링 계층의 수)의 배수인 조건을 만족하면서, 경계문제를 해결할 수 있도록 미러 패딩(mirror padding)을 사용하여 480 × 480의 레이더 격자 범위를 512 × 512로 변환하여 학습하였다. 또한, 심층학습 신경망의 최적화를 위해 사용되는 손실함수(loss function)와 측정함수(metrics)를 강우량에 대한 오차와 정확도로 평가하기 위해서 Z = 200 R1.6을 이용하여 강우강도로 변환하여 학습하였다. 사용된 변환식은 Marshall and Palmer (1948)이 제안한 식으로 반사인자 Z (mm6/m3)과 강우강도 R (mm/hr)을 관계를 경험식으로 정의한 것이다.
예측영상이 생성된 후 예측시점의 레이더 관측영상과의 편차를 나타내는 손실함수를 계산한다. 여기서 손실함수는 본 연구에서 사용한 심층학습 강우예측모델인 RainNet의 선행연구에서 타 손실함수보다 강우예측 학습에 효과적이라 확인된 바 있는 logcosh 손실함수를 사용하였다(Ayzel et al. (2020)). 특히 logcosh는 평균제곱오차(mean squared error)와 비슷한 양상을 보이지만, 이상치에 크게 영향을 받지 않는다는 장점이 있다.
여기서, nowi와 obsi는 i 위치에 예측 및 관측된 강우강도(mm/hr)이며, cosh는 쌍곡선 코사인 함수이다. n은 레이더 격자 수 이다.
앞서 언급한 학습 절차를 반복하면서 Adam Optimizer를 사용하여 기울기를 계산하는 역전파 알고리즘을 사용하여 손실 함수를 최소화하도록 심층신경망 모델의 매개변수를 업데이트 한다. 여기서, Adam optimizer의 학습률은 1e-04 값으로 설정하고, 다른 매개변수는 Kingma and Ba (2015)의 원본 논문의 기본값(beta_1 = 0.9, beta_2 = 0.999, decay = 0.0, epsilon = None)을 사용하였다.
본 연구에서는 2010년부터 2015년 동안의 31,530개의 학습데이터를 이용하여 총 10 개의 epoch를 사용하여 매개변수를 최적화했다. 학습된 모델에 대한 검증은 2016년의 5,871개의 데이터를 이용하여 수행하였으며, 학습 및 검정에 대한 측정함수를 절대평균오차(Mean Absolute Error, MAE)와 임계성공지수(Critical Success Index, CSI)를 사용하였다. 검증 데이터에 대해서 7 epoch에서 손실함수와 측정함수가 최소화되었다.
딥러닝 프레임워크 중 케라스(Keras) 심층학습 라이브러리를 사용하여, 구글 Colaboratory에서 학습을 수행하였다. 구글 Colaboratory의 전산환경을 고려하여 1 epoch씩 학습시킨 후 학습된 모델과 가중치를 다시 학습하는 방식으로 최적화하였다. 1 epoch 당 평균 학습시간은 배치크기를 2로 하였을 때 6시간에서 8시간 정도 소요되었다.
4. 강우예측 정확도 평가
4.1 학습된 심층신경망을 이용한 강우예측
학습된 심층신경망 기반 강우예측모델(QPF_DL)의 예측 정확도를 평가하고자 2017년에 발생한 24개의 호우사례를 선정하고 강우예측을 수행하였다. 예측성능 평가를 위한 참조모델인 이류모델(QPF)도 동일한 기간에 대해 예측을 수행하였다. 선정된 호우사례의 특징을 Table 1에 정리하였다. 호우 특징은 호우가 발생한 사례 일 별 강우가 지속된 시간, 최대 강우면적, 강우 면적 중 다양한 강우 임계치(0.1 mm/hr, 1 mm/hr, 5 mm/hr)별 비율을 산정하여 분석하였다. Table 1에서와 같이 호우사례별로 강우가 지속된 시간 및 강우 면적이 다양하다. 대체적으로 강우 지속시간이 짧은 호우는 최대강우면적이 작았고, 지속시간이 길수록 강우면적이 넓었다.
Table 1.
Characteristics of the verification events
각 호우사례에 대해 심층신경망 기반 강우예측모델로 예측하는 방식은 다음과 같다. 새로운 데이터에 대한 강우예측은 학습을 통해 최적화된 심층학습 모델 구조와 가중치를 불러와서 모델 객체의 predict 메서드를 이용하여 수행할 수 있다. 또한, 현재 학습된 모델은 10분 선행 예측강우에 대해 학습된 것이므로 10분 이상의 강우 예측은 재귀적으로 사용하도록 예측모델을 구성하였다. 예를 들면 t-30분, t-20분, t-10분, t에 대한 관측값을 입력으로 이용하여 t+10분에 대한 강우량을 예측한 후, 다시 t-20분, t-10분, t에 대한 관측 값과 t+10분에 대한 예측값을 입력으로 사용하여 t+20분 후의 강우량을 예측하는 방식이다. 즉, 10분 후에 예측된 값이 최신의 관측치가 되도록 하고 이 반복적인 예측강우 산정 방식을 선행예측이 60분이 될 때까지 반복하였다.
이류모델은 예측시점에서 연속된 3개의 최신 레이더 관측자료(t-20분, t-10분, t)만을 사용하여 이류벡터를 산정하여 외삽으로 60분 선행 예측강우를 생산하였다.
Figs. 4 ~ 6은 24개 호우사례 중 국지성 호우, 층운형 호우, 전선성 호우를 각각 대표할 수 있는 사례의 강우예측 결과를 도시한 것이다. Figs. 4 ~ 6의 (a) ~ (c)는 레이더 관측 강우정보(QPE)이며, Figs. 4 ~ 6의 (d) ~ (f)는 이류모델을 통해 예측된 강우정보(QPF)이며, Figs. 4 ~ 6의 (g) ~ (i)는 심층신경망 모델을 통해 예측된 강우정보(QPF_DL)이다. 예측강우 정보는 선행예측 10분, 30분, 60분 결과를 제시하였다.
Fig. 4는 한반도의 중부지역에 국지적으로 강우가 발생한 2017년 6월 26일 21:00 시점에 예측된 강우이다. 해당 호우사례 당시 강우예측 영역에서 8시간 정도 호우가 발생하였으며, 최대 강우발생 면적은 24,167 km2이었다. 강우발생 면적 중 88.56%에서 0.1 mm/hr 이상의 강우가 발생하였으며, 26.07%에서 1 mm/hr 이상의 강우가 발생하였고, 6.27%에서 5 mm/hr이상의 강우가 발생하였다. 관측강우와 각 예측강우의 분포영상을 직관적으로 비교하면, 이류모델의 예측강우(QPF)는 강우가 축소되거나 성장하는 경우를 반영하지 못해서 강우 분포장이 단순 이동하는 것으로 보인다. 심층신경망으로 예측된 강우는 이류모델에 비해 강우가 약화되거나 예측강우 면적이 변화되는 것을 보여 준다. 특히, 심층신경망으로 예측된 강우는 공간적으로 평활화 되는 것을 확인할 수 있다. 이러한 평활화된 결과는 기존의 심층신경망 기반의 강우예측 연구(Shi et al. (2015); Shi et al. (2018); Ayzel et al. (2020))에서 동일하게 나타나는 것으로 영상의 특징을 필터(커널)로 학습을 하는 과정으로 인해 발생하게 된다.
Fig. 5는 2017년 7월 31일 호우사례로 기압골의 영향으로 전국적으로 강우가 발생하였고, 특히 중부지방에는 집중호우가 발생하였다. 예측 영역 내에 강우가 21시간 지속되었고, 최대 강우 발생 면적은 86,922 km2이었다. 강우발생 면적 중 98.81%에서 0.1 mm/hr 이상의 강우가 발생하였으며, 46.0%에서 1 mm/hr 이상의 강우가 발생하였고, 11.24%에서 5 mm/hr이상의 강우가 발생하였다. 관측 강우와 각 예측강우의 분포영상을 비교하면 10분 선행예측의 경우 강한 강우강도를 갖는 영역이 모두 유사하였다. 30분, 60분 선행 예측강우 결과는 심층신경망을 이용한 예측 결과가 평활화 되는 경향이 강하지만, 관측에서 강한 강우강도 영역이 확장되는 것처럼 강한 강우영역이 확장되었다. 이류모델을 활용한 강우예측 결과는 강우의 확장을 잘 예측하지 못한 반면 강우의 패턴을 상세하게 나타냈다.
Fig. 6은 2017년 7월 2일 호우사례로 장마전선의 영향으로 중부지방에 강한 띠 형의 강우가 발생하였다. 예측 영역 내에 강우가 24시간 지속되었고, 최대 강우 발생 면적은 66,984 km2이었다. 강우발생 면적 중 92.40%에서 0. 1 mm/hr 이상의 강우가 발생하였으며, 42.25%에서 1 mm/hr 이상의 강우가 발생하였고, 11.87%에서 5 mm/hr이상의 강우가 발생하였다. 10분 선행예측의 경우 관측강우와 각 예측강우의 분포는 유사하다. 심층신경망을 이용한 예측 결과는 평활화되는 경향이 강해지면서 강우의 강도가 약해졌고, 띠 형태의 강우 위치가 관측 및 이류모델의 강우예측 결과 보다 북쪽에 위치하였다.
4.2 강우예측의 정량적 평가
각 기법에 의해 예측된 강우의 정량적 평가를 위해 MAE와 CSI를 사용하였다. MAE는 Eq. (4)과 같이 예측강우와 관측강우의 정량적 차이를 나타내며, CSI는 특정 값 이상의 강우에 대해 관측과 예측 모두 일치한 격자 수를 강수 발생과 관련된 전체 경우로 나눈 것이다. CSI는 예측강수와 관측강수의 유무행렬로 이루어진 Table 2의 강수분할표(rain contingency table)에 기초하여 산정된다.
Table 2.
Contingency table for the categorial scores
| Nowcast | Observation | |
| Yes | No | |
| Yes | hit | false alarm |
| No | miss | correct negative |
여기서 nowi 및 obsi는 해당 레이더 영상의 i 번째 픽셀에서 관측된 강우강도이며, n은 픽셀 수이다. hits, false alarms, misses는 분할표와 해당 임계값에 의해 정의된다. 절대평균오차는 양수이며, 완벽한 값은 0이다. CSI는 완벽한 값은 1로, 0에서 1의 범위를 갖는다. 본 연구에서는 CSI를 계산하기 위해 0.1, 1 및 5 mm/hr의 임계 강우강도를 적용하였고, MAE도 동일한 임계 강도로 계산하여 강우강도 특성에 따른 예측 기법의 양적 오차를 확인하고자 하였다.
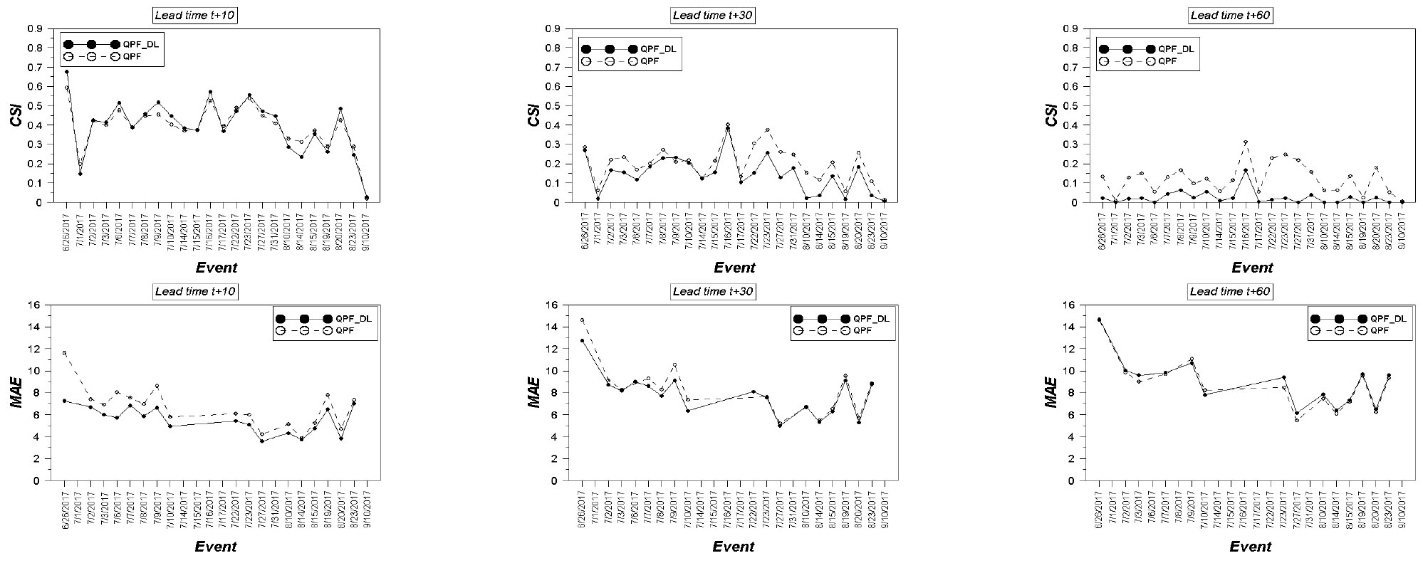
다음 Figs. 7 ~ 9는 24개 호우사례에 대해 임계강우강도별로 산정된 CSI와 MAE를 그래프로 도시한 것으로, 선행예측 10분, 30분, 60분에 대한 결과를 제시하였다. CSI와 MAE 모두 적용된 호우사례별로 차이가 있었다. 임계 강우강도가 0.1 mm/hr 이상일 때, 심층신경망 강우예측모델의 MAE가 10분, 30분, 60분 선행예측에서 모두 이류모델 보다 작았다. CSI의 경우 60분 선행예측에서만 호우사례에 따라 예측모델의 성능이 다르게 나타났다(Fig. 7). 임계 강우강도가 1 mm/hr인 경우 MAE는 심층신경망 모델의 정량적인 성능이 좋았으나, CSI의 경우는 일부 호우사례를 제외하고 예측모델간의 성능 차이가 크게 나지 않았다(Fig. 8). 임계 강우강도가 5 mm/hr인 경우, 심층신경망 모델의 10분 선행예측 강우만 MAE가 작았고, 이후 선행예측에서는 예측모델별 MAE 차이가 크지 않았다. CSI는 선행예측시간이 10분을 넘어서는 경우 이류모델이 크게 나타났다(Fig. 9).
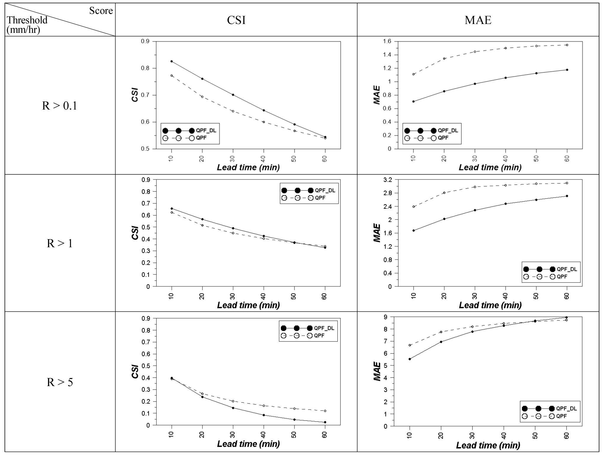
Fig. 10과 Table 3은 모든 호우 사상에 대한 평균 CSI와 MAE를 임계강우강도별로 나타낸 것이다. 임계강우강도가 0.1 mm/hr인 경우, 심층신경망 예측모델의 CSI가 0.54 ~ 0.83, MAE가 0.71 ~ 1.18로 모든 선행 시간에서 이류모델보다 좋은 예측성능을 보여주었다. 임계강우강도가 1 mm/hr일 때, 심층신경망 예측모델의 CSI는 40분 이내의 예측에서는 0.42 ~ 0.66로 이류모델보다 좋은 성능을 보였으나, 50분 이후의 예측은 이류모델이 상대적으로 높은 CSI 결과를 보였다. 임계강우강도가 5 mm/hr일 때, CSI는 10분 선행예측을 제외하고 이류모델이 심층신경망 예측모델보다 다소 높았으며, MAE는 심층신경망 예측모델이 40분 선행예측까지는 작았으며, 이후 예측은 이류모델이 작았다.
결론적으로 두 예측모델의 성능은 강우강도의 임계 값이 증가함에 따라 CSI가 감소하며, MAE는 증가하였다. 또한, 5 mm/hr 이하의 약한 강우에 대해서는 심층신경망 예측모델이 이류모델보다 대체적으로 좋은 성능을 보였지만, 5 mm/hr의 임계 값에 대한 평가결과에 따르면 심층신경망 예측모델이 고강도의 뚜렷한 강수 특징을 예측하는 데 한계가 있음을 나타냈다.
Table 3.
Evaluation of QPF accuracy
5. 결 론
본 연구에서는 국내 기상레이더 자료를 활용하여 심층신경망 기반의 강우예측을 수행하고, 기존 외삽기반의 예측기법을 적용한 결과와 비교하였다. 사용한 심층신경망학습 기반의 강우예측모델은 U-Net과 SegNet에 기반한 CNN 네트워크 구조를 갖고 있는 Rainnet을 활용하였다. 해당 모델 학습 및 검정을 위해 2010부터 2016년 동안의 기상청 관악산과 광덕산 레이더의 UF자료를 수집, 처리하여 HDF5 형태로 데이터를 구축하였다. 데이터 구축을 위해 레이더 UF자료는 최대값 합성 및 격자화 과정을 거쳐 한반도 중부 지방이 중심이 되는 480 × 480의 픽셀 크기(1 km 공간해상도)를 갖는 회색조 영상 파일로 변환하였다. 또한 학습의 편의성을 위해 입력과 출력으로 구성되는 HDF5 파일을 생성하였다. 구축된 데이터로 심층신경망 모델을 학습하여 최적가중치를 추정하였다. 학습된 심층신경망 모델은 30분 전부터 현재까지 10분 간격으로 연속된 4개의 레이더 영상 자료를 이용하여 10분 후의 강수량을 예측하도록 학습되었다. 이에 60분의 선행예측을 수행하기 위해 예측 결과를 더 긴 선행예측을 위한 입력으로 다시 사용하는 재귀적 방식을 적용하였다.
심층신경망 예측모델의 성능 평가를 위해 2017년에 발생한 24개의 호우사례에 대해 선행 60분까지 강우를 예측하였으며, 결과의 비교를 위해 이류모델을 이용하여 강우를 예측하였다. 임계강우강도 0.1, 1, 5 mm/hr에서 평균절대오차와 임계성공지수를 산정하여 심층신경망 예측모델과 이류모델의 예측성능을 평가한 결과, 두 예측모델의 성능은 강우강도의 임계 값이 증가함에 따라 CSI가 감소하며, MAE는 증가하였다. 강우강도 임계 값 0.1, 1 mm/hr의 경우 MAE는 60분 선행예측까지, CSI는 선행예측 40분에서 50분까지 참조 예측모델인 이류모델 보다 우수한 성능을 보였다. 특히, 5 mm/hr 이하의 약한 강우에 대해서는 심층신경망 예측모델이 이류모델보다 대체적으로 좋은 성능을 보였지만, 5 mm/hr를 초과하는 강우에 대한 평가결과 심층신경망 예측모델이 고강도의 뚜렷한 강수 특징을 예측하는 데 한계가 있음을 나타냈다. 심층신경망 예측모델은 예측시간이 길어질수록 공간 평활화되는 경향이 뚜렷해지며, 이러한 경향에 의해 강우 예측의 정확도에 영향을 준 것으로 판단된다. 이러한 평활화는 합성곱신경망 기법이 영상의 상세 텍스처와 노이즈를 제거하거나 영상의 가장자리 특징을 강화하거나 보존하기 위해서 평활화가 이뤄지기 때문이다(Xu and Ge, 2020). 특히, 평활화 경향이 선행시간에 따라 커지는 이유는 예측결과를 다시 모델의 입력으로 반복 활용하는 재귀적 방법으로 인해 평활화 효과가 누적되기 때문이다. 이런 특성은 강한 강도의 강우 예측에 특히 불리하다. 기존 이류모델은 뚜렷한 강수 특성을 보존하기 때문에 강한 강도 (> 5 mm/hr)에 대해 심층신경망 예측모델을 능가하지만, 강우 위치를 잘못 예측하는 경향이 있다.
초단시간 예측강우는 홍수예측을 위해 주로 사용되므로 강한 강우강도에 대한 예측정확도 확보가 필요하다. 따라서 학습에는 다양한 강도를 갖는 호우사례를 반영할 필요가 있지만 실제 강한 강우강도를 갖는 호우사례의 발생빈도는 매우 낮다. 이에 손실함수 연산과정에서 강우강도별 가중치를 적용하거나, 호우 종류별로 구분하거나 임계 강우강도별로 예측하도록 세분화하여 학습하는 것이 필요하다. 향후 연구에서는 이를 반영하여 심층학습기반의 예측강우 정확도를 개선하고자 한다.
본 연구는 대용량의 국내 기상레이더 자료를 구축하고, 최신 국외 연구를 통해 검증된 심층신경망 학습모델에 활용하여 예측모델을 개발하여 강우예측을 수행한 초기 연구로써 기존 이류모델의 결과와 비교하였으며 서로의 장단점을 정량적인 예측정확도 측면에서 분석하였다. 이 결과는 이후 심층신경망을 이용한 레이더 강우 예측기술의 개발과 개선에 도움이 될 수 있을 것으로 판단된다. 또한, 본 연구에서 구축한 대용량 기상레이더 자료는 AI 경진대회의 학습을 위해 제공되었으며, 향후 후속연구에 활용될 수 있도록 개방형 저장소를 통해 제공될 예정이다.












