1. 서 론
2. 이론적 배경
2.1 수로망의 위상 구조
2.2 DEM 상에서 수로망의 분기 과정
2.3 유역 구성의 변동성
3. 방법론
3.1 대상 유역 및 지형분석 방법
3.2 선행 연구 결과
4. 적용사례
4.1 Link 총길이의 규모 특성 권역
4.2 수원 유역의 규모 불변성
4.3 배수 면적의 멱함수 법칙분포
4.4 수로망의 가변성 범위
5. 결 론
기 호
1. 서 론
유역은 강우-유출(rainfall-runoff) 현상의 공간적 토대를 이루는 자연계이다. 구릉지 사면(hillslope) 내에서 생성되는 유출은 수로망(channel network)을 통하여 유역의 출구(outlet)까지 수송되기 때문에 신뢰성 있는 강우-유출 해석은 구릉지 사면의 특성 규모나 수로망의 범위 등과 같은 유역의 지형학적 구조에 대한 합리적이고 객관적인 평가를 기반으로 수행되어야 한다(Rodríguez-Iturbe and Valdés, 1979). 따라서 Horton (1945)의 연구를 기원으로 유역의 배수 구조에 대한 해석은 주로 수로망의 형상에 집중하여 수행되어 왔다(Shreve, 1966; Smart, 1972; Strahler, 1952).
지난 수십 년에 걸친 DEM을 기반으로 한 지리정보처리 기술의 발전은 유역의 다양한 속성에 대한 폭넓은 접근을 가능하게 하였다(Kim, 2021; 2022). 특히 O’Callaghan and Mark (1984)가 한계지지 면적(threshold area)의 개념을 제시한 이래 DEM을 이용하여 수로망을 추출하기 위한 다양한 모형들이 개발되어 왔으며(Montgomery and Foufoula-Georgiou, 1993; Quinn et al., 1991; Tarboton et al, 1992; Tarboton, 1997) 이들은 주로 DEM 상에서 수로에 해당하는 pixel을 식별하는 방법에 따라 면적한계 기준 방법(O’Callaghan and Mark, 1984) 및 경사-면적한계 기준 방법(Montgomery and Foufoula- Georgiou, 1993)으로 구분되어 왔다. 여기서 한계지지 면적이란 수로가 시작되는 수원(source) 지점의 최소 배수 면적을 의미하는 것으로, 해당 지역 내에 수로를 형성하지 못하는 수원 유역의 규모로 해석할 수 있다(Kim and Jung, 2021). 이와 관련하여, Montgomery and Foufoula-Georgiou (1993) 및 Tarboton et al. (1988) 등은 수로망 추출에 적용하는 방법에 따라 단일 유역에서조차 다수의 수로망이 나타날 수 있음을 강조한 바 있다. 특히 Kim (2021)은 이러한 수로망들이 서로 완전히 일치하지는 않지만 유사한 형태를 공유하며 이들 사이의 차이는 주로 적용하는 한계지지 면적의 규모 또는 수원 유역의 면적에 기인함에 주목하였다. 이는 단일 유역에 대한 DEM 상에서 한계지지 면적의 규모에 따라 조밀함이 상이한 다양한 형태의 수로망이 나타날 수 있음을 의미하는 것이다. 최근, 이러한 현상이 유역 내에 실재(實在)하며 수로망은 계절이나 강우 사상의 발생 여부 등에 따라 확장하거나 축소할 수 있음이 보고되고 있다(Magand et al., 2020; Zipper et al., 2021). 여기서 수로망을 구성하는 개별 수로 구간은 지속 하천(perennial streams)과 비지속 하천(non-perennial streams)으로 구분할 수 있으며(Zipper et al., 2021) 비지속 하천은 지속 하천과는 달리 물의 흐름이 시간에 따라 연속적이지 못한 수로 구간을 의미한다. 더 나아가 비지속 하천은 흐름이 정지한 기간의 길이에 따라 간헐 하천(intermittent rivers) 및 일시 하천(ephemeral streams)으로 세분화하고 있다(Magand et al., 2020). Fig. 1의 두 사진은 충청북도 제천시 인근 월악산에 소재한 소하천 구간을 한 달의 시간 간격을 두고 촬영한 것으로, 우리나라 유역 내 존재하는 비지속 하천의 예시로 볼 수 있다.
상기한 논거에 따라 수원 유역에 대한 다양한 정보는 DEM을 기반으로 한 신뢰성 있는 배수 구조의 해석에 있어 필수적인 자료임을 예상할 수 있다(Jaeger et al., 2007). 이와 관련하여 Moussa and Bocquillon (1996)은 DEM 상에서 추출한 수로망을 대상으로 규모 불변성(scale invariance)의 원리에 따라 한계지지 면적과 수원의 개수, 주하천 연장 및 총하천 길이 사이의 관계를 수립하였다. 후속 연구를 통하여 Moussa (2008a, 2008b, 2009)는 한계지지 면적의 변동에 따른 수로망의 분기 원리를 제안하였으며, 이를 Horton의 배수 구성 법칙(Horton, 1945; Schumm, 1956)과 결합하여 등가 Horton 비의 개념을 개발하였다. 최근 Kim and Jung (2021)과 Kim (2021, 2022)은 전술한 Moussa의 방법론을 국내 소유역 중의 하나인 설마천 시험유역에 적용하여 수원 유역의 감소는 수로망의 분기 현상을 촉진하고 이를 통하여 해당 수로망은 신장(elongation) 과정 및 확장(expansion) 과정을 통해 변화할 수 있음을 제시하였다. 여기서 특히 주목할 만한 사항으로 Kim and Jung (2021)과 Kim (2021, 2022)은 DEM으로부터 추출한 수로망과 지형도상의 수로망에 대한 비교를 통하여 수원 유역의 변화는 비지속 하천의 생성과 밀접한 관련이 있음을 보였다. 본 연구는 이러한 결과에 대한 후속 연구에 해당하는 것으로서 수로망의 변동 가능한 범위를 수원 유역의 면적 혹은 한계지지면적의 규모를 중심으로 해석해 보고자 하는 것이다. 유역 내 수로망의 변동성은 수원과 인접한 지역에서 발생하는 비지속 하천의 출현과 밀접한 관계를 갖는 것으로 알려져 있으므로 본 연구에서는 대상 유역으로 선행 연구(Kim and Jung, 2021; Kim, 2021, 2022)에서 다루어진바 있는 국내 소유역 중의 하나인 설마천 시험유역을 선정하였다.
2. 이론적 배경
2.1 수로망의 위상 구조
수로망의 위상(topology) 구조는 Strahler의 하천 차수 법칙(stream ordering scheme)(Strahler, 1952)이나 Shreve의 link 기반 분류 법칙(link-based classification scheme)(Shreve, 1966)을 기반으로 해석될 수 있다: Strahler의 하천 차수 법칙은 다음과 같이 기술된다.
• 수원에서 발원한 수로 구간은 1차 하천으로 정의된다.
• 동일한 차수 𝜔를 갖는 두 개의 하천이 만나면 해당 합류점(junction) 직하류에는 𝜔+1차 하천이 생성된다.
• 상이한 차수를 갖는 두 개의 하천이 만나면 해당 합류점 직하류의 수로 구간은 합류하는 두 하천의 차수 중 보다 큰 차수를 유지한다.
임의 수로망을 대상으로 전술한 Strahler의 하천 차수 법칙에 따라 위상 구조가 할당되면, 각 차수별 하천의 개수 , 하천의 평균 길이 및 평균 배수 면적 이 결정될 수 있다. 이들은 Horton의 배수 구성 법칙 및 수로망의 fractal 차원(La Barbera and Rosso, 1989; Rosso et al., 1991)과 밀접하게 관련되어 있음이 잘 알려져 있다.
Shreve의 link 기반 분류 법칙의 개요는 다음과 같다.
• 수원과 하류 방향으로의 첫 번째 합류점 사이의 수로 구간은 외부 link로 정의된다.
• 인접한 두 합류점 및 유역의 출구와 상류 방향으로의 첫 번째 합류점 사이의 수로 구간은 내부 link로 정의된다.
• 임의 link의 magnitude 𝜇는 해당 link에 기여하는 수원의 총 개수를 나타낸다.
상기한 Shreve의 link 기반 분류 법칙에 따라 외부 link의 𝜇는 1이고 내부 link의 𝜇는 해당 link의 상류단에서 합류하는 두 link의 𝜇의 합과 같게 됨을 알 수 있다. 따라서 임의 수로망에 대한 총 link의 개수 과 link의 총 길이 는 다음과 같이 산정할 수 있다.
여기서 은 평균 link 길이를 의미한다. Eq. (1)과 Eq. (2)에 따라 수로망의 fractal 차원은 Horton의 배수 구성 법칙에 대한 특별한 고려 없이 다음과 같이 나타낼 수 있게 된다.
여기서 은 길이가 인 link의 양단 사이의 직선거리를 의미하는 것으로, 이에 따라 은 사행에 따른 개별 link의 fractal 차원에 해당하고 은 분기 현상에 의한 수로망의 fractal 차원을 나타냄을 알 수 있다(Agnese et al., 1996).
2.2 DEM 상에서 수로망의 분기 과정
배수 면적이 인 단일 유역에 대하여 DEM을 기반으로 다양한 한계지지면적 를 적용할 경우, 각 에 대응하는 다수의 수로망을 추출할 수 있다. 여기서, 해당 수로망들의 형상이 갖는 변동성은 다음과 같이 과 에 의하여 정량화할 수 있다(Kim, 2021).
여기서 𝜆와 𝜂는 비례상수이고 𝛼와 𝛽는 지수로서, Eq. (6)과 Eq. (7)은 수로망의 분기 과정을 의 변동에 대한 일종의 규모 불변성 과정으로 모의하고 있음을 알 수 있다. 또한 Eq. (2)는 Eq. (6)과 Eq. (7)을 이용하여 다음과 같이 나타낼 수 있다.
여기서 𝜉와 𝛾는 각각 에 대한 비례상수와 지수이다. 만약 를 수로망에 대한 일종의 관측 규모(observation scale)로 간주할 경우, 해당 규모에 따른 의 거동 특성을 다음과 같이 나타낼 수 있게 된다.
Kim (2021)은 Eq. (9) 우변의 두 도함수를 기반으로 자연 유역 내 수로망의 분기 과정을 해당 수로망의 확장 과정(첫 번째 항) 및 신장 과정(두 번째 항)으로 분류한 바 있다.
2.3 유역 구성의 변동성
유역의 구성 요소를 수로망, 수원 유역 및 측방 유역(lateral basins)으로 구분할 경우, 자연 유역의 총 배수 면적 는 다음과 같이 나타낼 수 있다(Moussa et al., 2011).
여기서 , 및 는 각각 수로망, 수원 유역 및 측방 유역의 총면적을 의미하는 것으로서, 모두 에 따라 변동될 수 있음이 주목된다. 만약 Eq. (10)의 양변을 를 이용하여 정규화할 경우, 해당 식은 다음과 같이 무차원 형태로 변환할 수 있다.
Eq. (11) 우변의 세 항은 각각 , 및 를 나타내는 것으로, 특히 첫 번째 항 (=)는 다음과 같이 유역 내에서 임의로 선택한 지점의 배수 면적이 보다 크거나 같을 확률과 동일한 의미를 가짐을 알 수 있다(Moussa et al., 2011).
여기서 는 유역 내 임의 지점의 배수 면적을 나타낸다. Eq. (12) 우변의 두 번째 비례식은 유역의 유출 응집구조(aggregation structure)를 정의하는 배수 면적에 대한 멱함수 법칙 분포(power law distribution)와 동일한 관계로서 𝜏는 배수 면적에 대한 지수를 의미한다(de Vries et al., 1994; Dodds and Rothman, 2000; La Barbera and Roth, 1994; Maritan et al., 1996; Perera and Willgoose, 1998; Rodriguez-Iturbe et al., 1992). DEM 상에서 와 는 동일한 수로 성분 pixel들에 대하여 동일한 흐름 방향을 따라 측정된다. 그러므로 에 따라 다음의 관계를 가정하는 것은 타당한 것임을 예상할 수 있다.
이에 따라 본 연구에서는 Eq. (9)를 기반으로 대상 유역에 대한 지형 특성을 해석하고자 한다.
3. 방법론
3.1 대상 유역 및 지형분석 방법
서론에서 언급한 바와 같이 본 연구에서는 대상 유역으로 설마천 시험유역을 선정하였다. 임진강 수계에 속하는 설마천 시험유역은 유역면적이 약 8.5 km 2인 소규모 산악유역이다. Fig. 2는 설마천 시험유역에 대한 배수 유역도를 도시한 것으로 좌측 상단의 ◉와 유사한 기호는 출구의 위치를 나타낸다. Fig. 2에 도시된 수로망은 국립지리원에서 발행한 1:25,000 축척의 수치 지도로부터 추출한 결과로서 최대 하천 차수 𝛺와 magnitude 𝜇가 각각 2와 5임을 쉽게 확인할 수 있다.
DEM의 생성에는 전술한 국립지리원에서 발행한 1:25,000 축척의 수치 지도를 적용하였다. 등고선과 표고점이 포함된 수치 지도의 layer를 기반으로 불규칙 삼각망(triangulated irregular network, TIN)을 형성하여 등고선 사이에 표고를 내삽하고 그 결과 위에 격자(grid)를 중첩하였다. 여기서 pixel의 해상도는 20×20 m로 하였다. 지형분석 도구로는 Arc Map에서 운용되는 TauDEM (Tarboton, 2003)을 적용하였으며 각 pixel별 흐름 방향은 8방향 모형에 따라 모의하였다(Kim and Jung, 2021). 또한, Fig. 2에 도시된 수로망과 보다 유사한 형상의 망상구조를 추출하기 위하여 DEM의 전처리에 Stream Burning (Saunders and Maidment, 1996) 방법을 적용하였다. 이 방법은 수치 지도나 종이 지도를 이용하여 구축한 벡터형 수로망 자료를 격자형 수로망으로 변환하여 격자 연산을 통하여 고도값을 가지는 수로망을 생성하고, 원본 DEM에 임의 고도값을 더한 후 두 자료를 병합하는 과정을 통하여 전처리를 수행한다.
Eqs. (6), (7), (8), (9), (10), (11)을 기반으로 의 변화에 따른 수로망 분기 구조의 변동성을 평가하기 위하여 다음과 같이 두 단계의 절차에 따라 지형분석을 수행하였다.
1)DEM 상에서 길이가 인 오직 한 개의 수로 구간만이 존재할 수 있는 최소 한계지지면적 를 시행 착오법에 따라 추정한다. 여기서 는 한계지지면적의 감소(𝜖)에 따라 대상 유역 내에서 최초의 분기 현상이 발생하기 위한 조건을 의미한다.
2)의 범위 내에서 일련의 를 선정하고 각 사례별로 , 와 및 , 및 를 산정하여 배수 구조의 변동성 평가에 적용한다.
용이한 해석을 위하여 도시되는 자료 점들이 양대수지 상에서 비교적 균일한 간격으로 나타날 수 있도록 를 선정하였으며 분석에 적용하는 의 최소값은 단일 pixel의 면적에 해당하는 0.0004 km2로 하였다.
3.2 선행 연구 결과
전술한 바와 같이 Kim and Jung (2021)과 Kim (2021, 2022)은 본 연구의 대상 유역인 설마천 시험유역에 대하여 한계지지면적과 관련한 선행 연구를 수행한 바 있다. 본 절에서는 본 연구와 밀접한 관계를 갖는 해당 연구의 주요한 결과를 소개한다: Fig. 3은 설마천 시험유역에서 발생하는 최초의 분기 과정을 도시한 것으로 여기서 =0.9904 km2, 𝜖=0.0096 km2 그리고 =5.166 km로 산정되었다(Kim and Jung, 2021). Fig. 3 (a)로부터 인 경우 유역 내부에서는 수로망의 분기 현상이 발생하지 않으며, 가 감소함에 따라 출구와 직접 연결된 단일 수로 구간이 최대 길이가 에 도달할 때까지 상류 방향으로 성장해 감을 확인할 수 있다. Table 1은 의 범위 내에서 선정된 를 연쇄적으로 DEM에 적용하여 추출한 총 102개의 수로망을 Strahler의 하천 차수 법칙에 따라 분류하고 각 차수별 수로망에 대한 와 을 정리한 것이다. 여기서 =0.0004 km2을 적용할 경우, 대상 유역 내 모든 지점은 수로에 해당하는 pixel들로 채워지며 해당 망상구조의 𝛺는 6임을 확인할 수 있다.

Fig. 3.
The first branching process in the Seolma creek experimental basin (Kim and Jung, 2021; Kim, 2021, 2022)
Fig. 4는 𝛺=2인 수로망을 대상으로 의 감소에 따른 연쇄적인 분기 과정을 도시한 것으로서 새로운 수원의 생성과 함께 기존 수로 구간의 성장이 동시에 나타나고 있음을 명시적으로 확인할 수 있다. 이는 수로망의 분기 과정을 통하여 와 가 동반 성장함을 의미하는 것으로서 Kim (2021)은 수원의 생성을 수로망의 확장과정 그리고 수로 구간의 성장을 수로망의 신장과정으로서 파악하였다. 또한 동일한 𝛺의 조건 하에서도 의 변동에 따라 다양한 형상의 수로망이 나타날 수 있음을 Fig. 4로부터 예측할 수 있다. 이는 의 변동이 Eq. (10)과 Eq. (11)에 따라 수원 유역과 측방 유역의 형상 및 공간 분포에 영향을 미칠 수 있음을 의미하는 것이다.

Fig. 4.
The branching process of the second order channel network in the Seolma creek experimental basin (Kim and Jung, 2021; Kim, 2021, 2022)
4. 적용사례
4.1 Link 총길이의 규모 특성 권역
Fig. 5는 설마천 시험유역의 에 대한 , 및 의 무차원 규모 특성 권역을 도시한다. Eq. (9)를 기반으로 이들 사이의 상호관계를 파악하기 위하여 전술한 102개의 수로망(Kim and Jung, 2021; Kim, 2021, 2022)으로부터 산정된 , 및 를 각각 , 및 를 이용하여 정규화하였고, 는 를 기반으로 정규화하였다. 이 그림에서 파란색, 오렌지색 및 회색 곡선은 각각 , 및 를 나타낸다. 또한 그림 하단에 표시한 𝛺=1~6는 Table 1의 최대 하천 차수를 의미하는 것으로 이에 따라 Fig. 5는 5개의 점선으로 구분될 수 있다. 하지만 이 중 2개의 점선은 후술한 굵은 실선으로 표시된 의 특성 권역 분류선과 중첩되어 Fig. 5에서 보이지 않음에 유의할 필요가 있다.
Table 1.
The range of source basin area by Strahler’s stream order(Ω)(Kim and Jung, 2021; Kim, 2021, 2022)
𝛺 S | 1 | 2 | 3 | 4 | 5 | 6 |
| (km2) | 8.4592 | 0.9808 | 0.2865 | 0.0475 | 0.0085 | 0.0027 |
| (km2) | 0.9904 | 0.2918 | 0.0479 | 0.0089 | 0.0032 | 0.0004 |
Fig. 5에 도시된 세 개의 곡선은 에 따라 다음과 같이 몇 가지 특성 권역으로 분류될 수 있다. 우선, 해당 곡선들의 중심부(𝛺=3~4 구간)에서는 양대수지 상에서 규모 불변성을 의미하는 비교적 뚜렷한 형태의 직선 거동을 확인할 수 있다(Kim and Jung, 2021). 하지만 양 끝단(𝛺=1 구간과 𝛺=6 구간)의 경우, Eq. (9)에 따라 일종의 극치 거동이 나타남을 볼 수 있다. 즉, Eq. (9) 우변 첫 번째 항의 경우 오렌지색 곡선()의 𝛺=1 구간에서 그 값이 0임을 확인할 수 있고 Eq. (9) 우변 두 번째 항은 회색 곡선()의 𝛺=6 구간에서 그 값이 0으로 접근해 감을 볼 수 있다. 이에 따라 Kim (2021)은 이들을 각각 수로망의 신장 과정(파란색 곡선()의 𝛺=1 구간)과 확장 과정(파란색 곡선의 𝛺=6 구간)에 해당하는 극치 거동으로서 고려하였다. 결국 파란색 곡선의 중심부(𝛺=3~4 구간)에서 나타나는 의 규모 불변성 특성은 의 변동에 따른 수로망의 신장 과정과 확장 과정의 결합에 의한 결과로 볼 수 있는 것이다. 이러한 맥락에서 파란색 곡선의 𝛺=2 구간과 𝛺=5 구간은 Eq. (9)를 기반으로 수로망의 신장 과정과 확장 과정 사이의 천이 구간으로 해석할 수 있게 된다.
Fig. 5에 대한 정량적 검토를 위하여 세 곡선의 중심부(𝛺=3~4 구간)에 대하여 Eqs. (6), (7), (8)을 기반으로 회귀 분석을 수행하였다. Fig. 5에 표시된 세 곡선의 지수(기울기) 𝛼, 𝛽 및 𝛾는 Eq. (9)의 관계를 만족함을 확인할 수 있다. 또한 이에 따라 의 규모 특성 권역 I~III을 굵은 실선으로 분류할 수 있게 된다. 여기서 𝛺=3~4 구간에 해당하는 특성 권역 II는 규모 불변성을 특징으로 하는 반면 𝛺=1~2 구간과 𝛺=5~6 구간에 해당하는 특성 권역 III과 I은 각각 수로망의 신장 과정과 확장 과정으로 특성화할 수 있다.
4.2 수원 유역의 규모 불변성
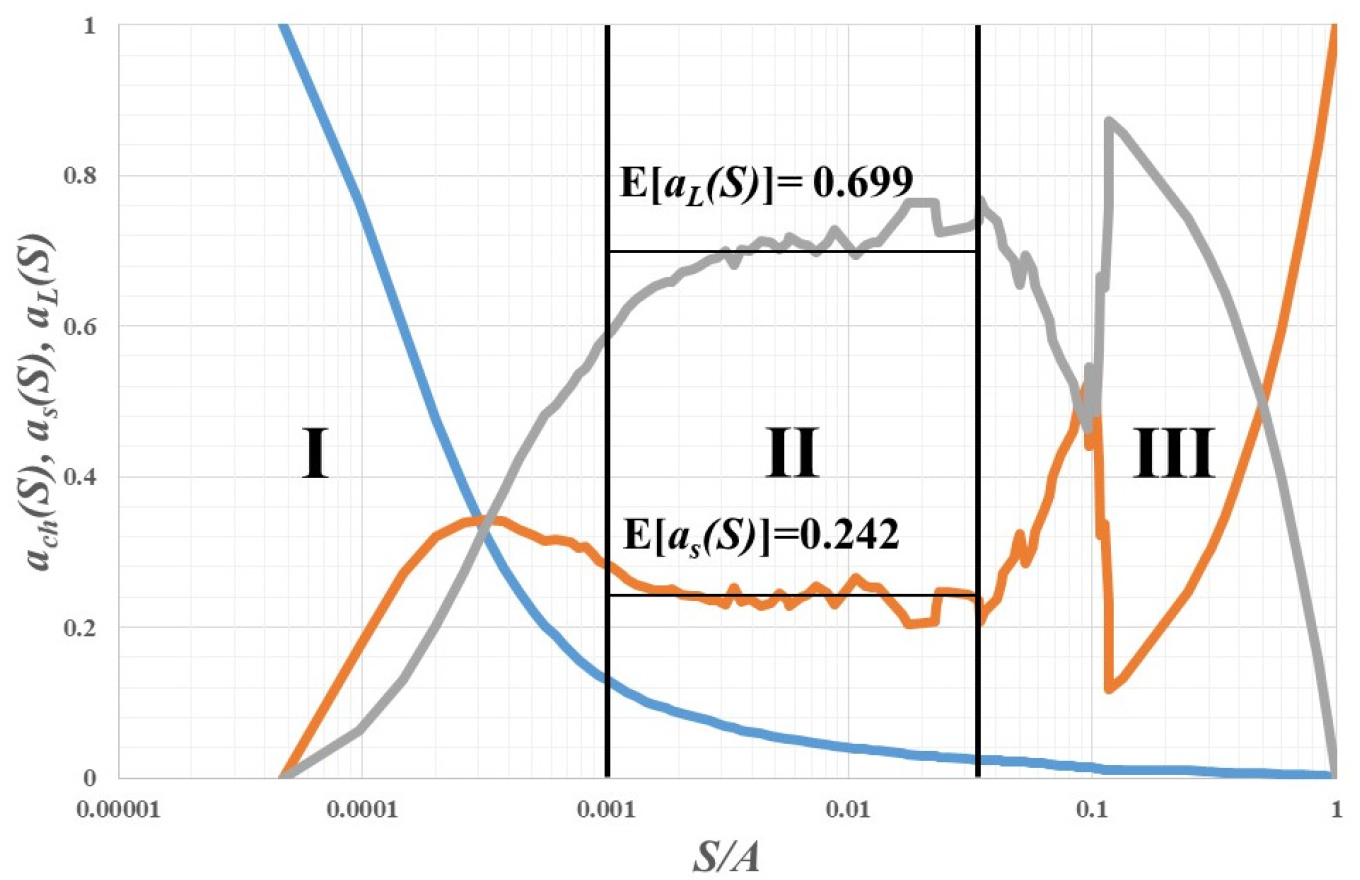
Fig. 6은 설마천 시험유역의 에 대한 , 및 의 변화 양상을 반대수지 상에 도시한 것이다. 여기서 파란색, 오렌지색 및 회색 곡선은 각각 전술한 102개의 수로망으로부터 산정된 , 및 를 나타낸다. 이 그림에서 굵은 실선으로 구분된 특성 권역 I~III은 Fig. 5의 분류를 따르는 것으로 이를 기반으로 권역별 유역 구성의 변화를 파악하여 보았다.
우선, Fig. 6의 특성 권역 III의 경우 와 의 변화 양상이 주목된다. 이는 Fig. 3에 도시한 수로망의 최초 분기 과정에 기인하는 것으로 양자 모두 부근에서 급격한 변화가 발생함을 확인할 수 있다. 실제로 𝜖은 그 크기가 의 약 1% 정도임에도 불구하고 수로망의 분기 과정을 유발하여 Fig. 3에서 볼 수 있듯이 수로망의 최고 차수 𝛺를 1에서 2로 증가시킨다. 이에 따라 유역의 내부에 새로운 수원이 출현하여 를 급격하게 증가시키고 이러한 유역 구성의 변화는 의 급격한 감소로 이어지게 된다. 하지만 Fig. 6의 특성 권역 II의 경우 는 검정색 수평 실선으로 표시된 평균값(0.242)을 중심으로 비교적 일정한 값을 가짐을 볼 수 있다. 이는 해당 권역 내에서 전체 유역면적 중 수원 유역이 차지하는 면적의 비율이 일정하게 나타남을 의미하는 것으로 Moussa et al. (2011)는 이를 수원 유역이 갖는 일종의 규모 불변성으로 제안한 바 있다. Fig. 5로부터 가 감소할 경우 𝜇(혹은 )는 𝛺=1 구간을 제외한 모든 영역에서 증가하게 됨을 분명히 알 수 있다. 이는 수로망의 분기 과정이 수원의 개수(𝜇)를 증가시키지만 동시에 단일 수원 유역의 면적()을 감소시킴을 의미하는 것으로 이들의 곱(=)으로 정의할 수 있는 혹은 는 수원 유역의 특성을 적절하게 반영할 수 있는 지형 인자로 판단할 수 있다. 따라서 Fig. 6의 특성 권역 II에서 관측되는 의 거동은 Moussa et al. (2011)가 제시한 수원 유역의 규모 불변성에 기인하며 해당 권역은 수로가 시작되는 수원 지점들의 집합으로 볼 수 있게 된다.
여기서 한 가지 고려할 사항은 Fig. 2에 도시한 수로망이 Fig. 4에 수록한 수로망들과 유사한 형상을 갖는 점으로 이에 따라 해당 수로망은 Fig. 6의 특성 권역 III에 포함될 수 있음을 예상할 수 있다. 일반적으로 전자와 같은 종류의 수로망(Fig. 2)은 현장 조사를 통하여 작성됨으로 대상 유역의 지속 수로망으로 간주할 수 있다. 따라서 만약 Fig. 6의 특성 권역 III을 설마천 시험유역의 지속 수로망의 특성으로 가정할 경우, Fig. 6의 특성 권역 II는 비지속 수로망의 특성에 해당하게 되고 자연스럽게 Fig. 6의 특성 권역 I은 수로 구간이 형성되지 않는 구릉지 사면을 나타냄을 확인할 수 있다.
상기한 논거로부터 수원 유역의 규모 불변성은 의 감소에 따른 수로망의 분기 특성과 밀접한 관계를 가지며 이러한 특성이 나타나는 Figs. 5 and 6의 특성 권역 II는 본 연구의 대상 유역인 설마천 시험유역의 가변성 수로망의 범위를 정의하는 것으로 판단된다.
4.3 배수 면적의 멱함수 법칙분포
Fig. 7은 Fig. 5의 (파란색 곡선)와 Fig. 6의 (파란색 곡선)를 양대수지 상에 중첩하여 도시한 것으로 전자는 파란색 곡선 그리고 후자는 오렌지색 점에 해당한다. 이 그림에서 굵은 실선으로 구분된 특성 권역 I~III은 Fig. 5와 Fig. 6의 분류를 따른 것이다.
Fig. 7의 두 곡선은 서로 거의 일치하는 형태를 보인다. 전술한 바와 같이 이들은 모두 동일한 수로 성분 pixel들에 대하여 동일한 흐름 방향에 따라 평가된다. 양자 사이의 차이는 오직 DEM 상에서 8방향 모형을 적용할 경우, 발생하는 대각선 방향의 흐름 경로에만 기인할 뿐이다. 또한 는 Eq. (12)의 두 번째 비례식에서 확인할 수 있듯이 배수 면적의 멱함수 법칙분포와 동일한 의미를 갖는다(Moussa et al., 2011). 따라서 이에 대한 정량적 평가를 위하여 Fig. 7의 특성 구간 II에 대하여 Eq. (12)를 기반으로 회귀 분석을 수행하였다. 여기서 Fig. 7에 표시된 곡선의 지수(기울기) 𝜏는 다수의 선행 연구(de Vries et al., 1994; Dodds and Rothman, 2000; La Barbera and Roth, 1994; Maritan et al., 1996; Perera and Willgoose, 1998; Rodriguez-Iturbe et al., 1992)에서 보고된 배수 면적에 대한 멱함수 법칙분포 적합 결과와 유사하게 나타남을 확인할 수 있어 비교적 신뢰성 있는 추정치로 판단할 수 있다. 주목할 만한 사항은 Eq. (13)에 따라 Fig. 7의 𝜏와 Fig. 5의 𝛾가 거의 유사한 값을 갖는 점으로서 와 는 정성적으로 동일한 의미를 갖는 분포임을 확인할 수 있다.
상기한 논거로부터 Fig. 7에 도시한 배수 면적의 멱함수 법칙분포()는 수로망의 규모 특성 권역()과 밀접한 관계를 가짐을 예상할 수 있으며 이에 따라 Eq. (12)의 지수 𝜏는 Eq. (9) 및 Eq. (13)을 통하여 기술할 수 있게 된다. 자연 유역의 유출응집구조를 특성화하는 Eq. (12)의 지수 𝜏는 선행 연구(de Vries et al., 1994; Dodds and Rothman, 2000; La Barbera and Roth, 1994; Maritan et al., 1996; Perera and Willgoose, 1998; Rodriguez-Iturbe et al., 1992)에서 주로 무작위 보행(random walk) 이론이나 Horton의 배수 구성 법칙을 기반으로 해석되어 왔다. 전술한 바와 같이 Eq. (9)는 link 기반 분류 법칙에 뿌리를 두고 있다. 따라서 본 연구에서 도출한 Fig. 5와 Fig. 7의 결과는 link 총 길이의 특성 권역을 기반으로 Eq. (12)의 지수 𝜏에 대한 새로운 형태의 해석을 제시할 수 있을 것으로 판단된다.
4.4 수로망의 가변성 범위
Fig. 8은 4.2절의 결과를 기반으로 설마천 시험 유역의 가변성 수로망의 범위를 도시해 본 것이다. 여기서 지속 수로망은 Table 1의 𝛺=2에 대한 을 한계지지면적으로 하여 DEM으로부터 추출한 결과이며 비지속 수로망은 Table 1의 𝛺=3과 𝛺=4에 대한 을 각각 개별적으로 적용하여 얻은 결과이다. 전술한 바와 같이 이 그림은 계절에 따라 확장과 축소를 반복하며 유역 표면에 자취를 남기는 흐름 경로의 변동성 궤적으로 볼 수 있다. 특히 수원 유역의 규모 불변성을 기반으로 지속 수로망 주변으로 비지속 수로 구간이 출현할 수 있음을 확인할 수 있다. 따라서 임의 시점에 대한 설마천 시험 유역 내 수로망의 범위는 Fig. 8에 도시된 수로망의 가변성 범위 내에 포함될 것으로 예상할 수 있다. 이와 관련하여 Biswal and Marani (2010)는 수로망의 건조과정 및 지하수의 고갈 특성을 기반으로 감수 수문곡선(recession flow hydrograph)의 거동에 대한 해석을 제안한 바 있다. 이에 따라 Fig. 8에 도시한 설마천 시험 유역의 가변성 수로망은 대상 유역의 감수 곡선 해석 등에 있어 중요한 정보를 제공할 수 있을 것으로 판단된다.
수로망의 가변성 범위를 정확하게 식별하는 것은 유역 내 비지속 수로 구간의 발생 및 해당 구간을 통한 물의 흐름에 대한 예측 불가능으로 인하여 매우 어려운 것으로 알려져 있다(Magand et al, 2020; Zipper et al., 2021). 이와 관련하여 최근 Durighetto et al. (2023)은 사물 인터넷(IoT)을 활용한 비지속 수로 구간의 거동 감시 사례를 소개한 바 있다. 이에 따라 IoT나 UAV (unmanned areial vehicle)와 같은 기술을 활용한 현장 조사를 통하여 국내 유역을 대상으로 연속적인 가변성 수로망 관측이 요구된다 할 수 있다. 또한 DEM을 이용한 수로망의 추출은 적용하는 자료의 해상도나 흐름 방향 식별 방법 등에 영향을 받을 수 있으므로 이를 보완하기 위하여, 광범위한 형태의 후속 연구가 필요한 것으로 판단된다.
5. 결 론
본 연구 과정을 통해 얻어진 주요한 결론을 요약해 보면 다음과 같다.
1) 자연 유역 내 수로망의 규모 불변성은 해당 수로망의 신장 및 확장과정의 상호 작용에 따라 나타나며 수원 유역의 면적 변화로 인한 link 총 길이의 거동을 통해 특성화할 수 있다.
2) 수로망의 분기 과정은 수원 개수의 증가 및 단일 수원 유역면적의 감소를 유발하며 이로부터 전체 유역면적 중 수원 유역이 차지하는 면적의 비율이 일정하게 나타나는 수원 유역의 규모 불변성을 발생시킨다.
3) 수원 유역의 규모 불변성은 수로망의 분기 특성과 밀접한 관계를 가지며 이러한 특성이 지속적으로 나타나는 특성 권역은 자연 유역의 가변성 수로망의 범위를 정의하는 것으로 판단된다.
4) 이에 따라 자연 유역 내 수로망의 가변성 범위는 DEM 상에서 수원 유역의 규모 불변성을 기반으로 식별할 수 있으며 이를 통하여 지속 수로망과 비지속 수로망의 범위를 추정할 수 있게 한다.
5) link 총 길이의 특성 권역은 자연 유역의 유출응집구조를 특성화하는 배수 면적의 멱함수 법칙분포에 대한 새로운 형태의 추론을 제공할 수 있다.








