1. 서 론
2. 수치기법
2.1 흐름 및 난류 모의 기법
2.2 하이브리드 VoF 기법
3. 적용 대상 및 조건
4. 결과 및 분석
4.1 격자 민감도 분석
4.2 자유수면과 유속 분포
4.3 압력변동 특성
4.4 공기연행 특성
5. 결 론
1. 서 론
유속과 수위 같은 흐름 특성의 변화가 작은 자연하천의 경우 대부분 상류(subcritical flow)가 지배적인 흐름이다. 이런 하천에 보와 여수로 같은 수공구조물이 설치되면 이들 구조물을 통과하면서 흐름이 상류에서 사류(supercritical flow)로 변하며 다시 하류부에서는 도수(hydraulic jump) 현상을 통해 상류로 변하는 것이 일반적이다. 도수는 사류에서 생성된 강한 운동에너지로 인하여 수면 근처에 롤러(roller) 모양의 와(eddy)를 형성하며 강한 난류 흐름을 생성한다(Hager et al., 1990). 도수 영역에서 수면 변화가 급격하게 발생하면서 흐름 역방향으로 순환하는 롤러의 선단부에서 강한 공기연행(air entrainment)도 발생한다(Gualtieri and Chanson, 2007). 이는 도수 영역 내의 에너지 소산과 급격한 수면 변화의 원인이다. 이러한 난류 흐름은 바닥 부근에 변동성이 강한 압력을 주어 구조물의 안정성에 큰 영향을 미치게 되므로, 도수가 발생할 때 흐름의 거동과 바닥에 가해지는 압력의 특성을 이해하는 것은 매우 중요하다(Chern and Syamsuri, 2013; Palermo and Pagliara, 2018).
도수에 의해 바닥에 작용하는 압력의 분포 특성을 분석하기 위한 실험연구가 많이 이루어졌다(Abdul Khader and Elango, 1974; Toso and Bowers, 1988; Fiorotto and Rinaldo, 1992; Armenio et al., 2000). 도수 선단부에서 제트(jet) 형태로 공기가 유입되는 현상은 도수 내 난류 흐름을 이해하는 데 매우 중요하기 때문에 도수에서 공기연행과 공기와 물이 혼합된 상태의 난류 흐름에 대한 실험적 연구도 많이 이루어졌다(Rouse et al., 1958; Mossa and Tolve, 1998; Chanson and Brattberg, 2000; Chanson, 2007; Wang et al., 2014; Yoo et al., 2018). 하지만, 도수에서 발생하는 물리적 특성들은 대부분 주기가 매우 짧고 불규칙적이기 때문에 정확한 계측이 쉽지 않다.
실험적 연구의 한계를 보완하기 위해 비교적 최근에는 수치모의 연구가 많이 이루어지고 있다. Gharangik and Chaudhry (1991)는 도수의 높이와 유속을 1차원 Boussinesq 방정식을 적용하여 경사에 따라 해석했다. Long et al. (1991)은 모델을 이용한 RANS (Reynolds-averaged Navier-Stokes)기법을 적용하여 도수를 해석했다. 이후 모델과 모델을 이용한 RANS기법과 VoF (Volume of Fluid)기법으로 도수에 대한 수치모의 연구가 많이 이루어졌다(Chippada et al., 1994; Carvalho and Martins, 2009; Babaali et al., 2015). 하지만 도수 영역의 흐름은 다양한 에너지 스펙트럼을 가지고 시간적 변동성이 매우 큰 난류가 지배적이고 순환영역 내에서 발생하는 공기연행으로 인한 작은 공기방울과 유체 상(phase) 사이의 상호작용은 복잡한 메커니즘을 가진다(Chanson, 2011). RANS기법은 시간평균 된 Navier-Stokes 방정식을 사용함에 따라, 대부분의 난류 규모에 대해서 직접 계산하는 것이 아닌 모델링 된 와점성계수(eddy viscosity coefficient)로 표현하기 때문에 비정상성(unsteadiness)의 영향이 큰 도수를 수치모의 하기에 한계가 있다. Jesudhas et al. (2020)은 DES (detached-eddy simulation) 기법과 전통적인 VoF 기법을 이용하여 Froude 수 7.5 조건에서의 정상도수에 대한 수치해석 연구를 수행하였다. Mukha et al. (2022)는 큰와모의(large eddy simulation, LES) 기법과 전통적인 VoF 기법을 이용하여 작은 물결파와 함께 부드럽게 수면이 상승하는 Froude 2 조건에서의 약도수를 재현하였다. Mortazavi et al. (2016)은 DNS (Direct numerical simulation)기법을 적용하여 이러한 한계를 보완했지만, DNS 기법의 경우 Reynolds 수가 증가함에 따라 계산량이 기하급수적으로 많아져, 공학적 문제를 해석하는데 한계가 있다.
이 연구에서는 하나의 -방정식을 이용하는 큰와모의 기법을 적용하였다. 큰와모의 기법은 비교적 작은 크기의 계산 셀을 사용함으로써 작은 규모의 난류를 직접 계산하며, 바닥면에서 먼 수면 부근에서 강한 난류 특성을 모의는 도수를 해석하기에 적합하다. 한편, 자유수면과 공기와 물 사이의 상호작용을 해석하기 위해 하이브리드(hybrid) VoF기법을 사용하였다. 하이브리드 VoF기법은 하나의 연속 방정식이 아닌 유체의 각 상에 대해서 각각의 연속방정식과 이송방정식을 적용하여 각 상의 특성들을 개별적으로 계산한다(Cheng and Chen, 2013). 이 연구는 위의 두가지 수치모의 기법을 적용하여 Froude 수 7.3와 Reynolds 수 15,700의 조건에서 발생된 도수를 수치모의하고, 기존 실험자료와 비교를 통해 적용 수치기법의 적용성을 검증하며, 실험에서 계측한 것 이외의 흐름 특성을 제시하고자 한다.
2. 수치기법
이 연구에서 사용한 수치해석 도구는 공개(open source) 소프트웨어인 OpenFOAM toolbox (OpenFOAM, 2023)에 기반을 두고 있다. 수치모의에 이용한 흐름 지배방정식과 난류 모의 기법 그리고 자유수면을 포착하기 위한 수치기법을 간략히 소개하면 다음과 같다.
2.1 흐름 및 난류 모의 기법
난류흐름 해석을 위한 큰와모의 기법은 Navier-Stokes 방정식을 길이규모(length scale)를 통해 공간 필터링한 변수를 이용한다. 이 길이규모는 계산격자 길이의 항으로 정의되어 일정 간격의 시간 평균된 흐름의 특성보다 순간의 흐름 특성이 위치에 따라 어떻게 변하는지가 중요한 도수와 같은 현상을 재현하기에 적절하다. 공간 필터링된 Navier-Stokes 방정식과 연속방정식은 다음과 같다.
여기서 𝜌는 유체의 밀도, 는 유속, 는 동압력(dynamic pressure), 는 난류점성계수, 는 표면장력항이다.
큰와모의 기법은 적용한 계산격자보다 작은 크기의 와(eddy)의 영향은 모델링을 통하여 반영하며, 이를 위해 이 연구에서는 DKE (dynamic -equation) SGS (sub-grid scale) 모형(Kim and Menon, 1995)을 이용하였으며, DKE 방정식은 다음과 같다.
여기서 는 SGS 운동에너지, 는 SGS 와점성, 은 계산격자의 길이규모, 는 의 소산율, 와 는 각각 모형 및 Smagorinsky 계수, 는 변형율 텐서이며 항은 로 정의되고 SGS 텐서 는 다음과 같이 모의된다.
2.2 하이브리드 VoF 기법
전통적인 VoF기법은 각 상의 경계가 분명한 분리흐름(segregated flow)을 해석할 때 적합하지만, 높은 Froude 수 조건에서 발생하는 도수의 주요 특징인 공기연행으로 인한 유체의 혼합을 표현하기엔 한계가 있다. 연구대상 도수는 공기와 물 각 유체가 서로 분리되어 흐르기 보다는 혼합된 상태의 분산흐름(dispersed flow)을 가지는 것이 특징이기 때문에 하이브리드 VoF기법을 사용한다. 적용한 기법은 물과 공기 각 상에 대해 개별 지배방정식을 이용하여 대상 유체의 특성을 고려하기 때문에 혼합된 유체를 표현하기에 적합하다. 하이브리드 VoF에서 각 상에 대한 흐름방정식은 다음과 같다.
여기서 는 각 상의 순서를 나타내며 𝛼는 유체의 부피분율(volume fraction), 𝜇는 점성계수, 는 중력가속도 벡터이다. 는 표면장력항이고 는 공기연행으로 공기와 물이 상호작용할 때 발생하는 항력항이며, 이 연구에서는 항력계수가 Reynolds 수의 함수로 표현되는 Schiller and Naumann (1935)의 모형을 적용한다.
각 유체상들의 경계면을 추적하기 위해서는 각 유체 상의 연속방정식에 경계면 강조(sharpening)기법을 추가한 다음의 방정식을 푼다.
여기서, 는 유체 경계면의 압축을 제어하는 인자로, 0은 압축하지 않음, 1은 보전성을 고려한 압축 그리고 1보다 큰 값은 강화된 압축에 상응하며, 이 연구에서는 1의 값을 사용하였다.
3. 적용 대상 및 조건
이 연구에서 대상으로 한 도수는 Froude 수가 4.5~9.0 조건일 때 발생하는 정상도수(stable hydraulic jump or sell-balanced hydraulic jump)에 속하며, 수공구조물 주변에서 가장 일반적으로 관찰되는 도수이다. 정상도수는 수심이 낮고 유속이 빠른 도수 전 영역과 에너지 소산과 함께 수면이 급하게 상승하며 자유수면으로부터 공기연행과 함께 롤러 형태 흐름을 가지는 도수 영역으로 나눌 수 있으며 시간에 따라서 흐름 특성의 변화가 매우 빠르다(Park et al., 2018).
이 연구에서 적용한 대상은 Yoo et al. (2018)이 길이 10 m, 폭 0.3 m, 높이 0.4 m의 아크릴 바닥과 유리 측벽으로 제작한 수로에서 실험적으로 발생시킨 정상도수이다. 수치모의는 Yoo et al. (2018)의 실험 중 유량이 4.722×10-3 m3/s이고 Froude 수 7.3의 경우 중 구조물 상류부와 하류단 수심이 각각 0.347 m와 0.0766 m인 조건을 대상으로 수행하였다. 대상 흐름의 Reynolds 수는 15,700이다. Fig. 1에서 보인 것처럼 구조물 하류 1 m 구간에서 계측한 압력과 수치모의 값을 비교하였다.
수치모의에 적용한 계산격자는 Fig. 2와 같으며, 여기서 축은 각각 수로의 흐름방향, 연직방향, 횡방향을 나타낸다. 그림에서와 같이 벽 근처에서 높은 해상도를 요구하는 큰와모의의 특성을 고려하여 벽 부근으로 갈수록 점점 세밀해지는 늘림(stretching) 격자를 사용하였으며, 벽 근처 첫 번째 격자의 무차원 간격 가 전반적으로 1 이하가 되도록 구성하였다. 계산결과의 격자 민감도를 분석하기 위해서 격자수 3.63×106개와 5.61×106개를 이용하여 두 개의 계산격자를 생성하였으며, 이들 격자를 각각 meshC와 meshF로 명명한다. 세밀격자인 meshF는 meshC에서의 격자수를 모든 방향에서 1.25 비율로 늘린 것이다. 물리적 계산시간 간격 는 1.0× 10-4 s로 설정하였으며, 모든 계산에서 측면과 바닥 벽면에 대해서는 비활(noslip) 경계조건을 적용하였다.
큰와모의 실행 때 유입부 경계조건으로 비정상 난류흐름 조건을 부여하는 것은 유입 단면 직하류부에서 난류를 빠르게 발달시키는 데 매우 중요하다. 일반적으로 사전 모의를 통해서 일정 시간 동안 저장된 수치해를 유입경계조건으로 설정하거나, 유입부 평균유속 분포에 인위적 변동성을 부여하여 비정상 흐름과 같은 효과를 줄 수 있는 합성와기법(synthetic eddy method)을 사용하는 것이 일반적이다(Jorrin et al., 2006). 이 연구에서 적용한 도수의 경우 인위적인 난류조건을 부여하지 않더라도 높은 Froude 수로 인하여 자유수면의 변동이 크기 때문에 합성와기법을 통한 흐름 발달의 영향이 미미한 것으로 나타났다. 따라서, 이 연구에서는 합성와기법을 젹용하지 않았다.
4. 결과 및 분석
4.1 격자 민감도 분석
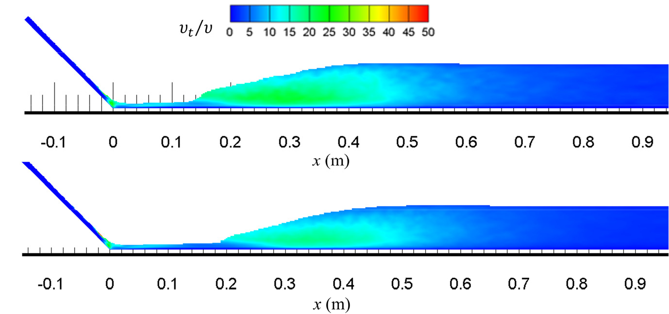
적용한 두 개의 계산격자를 이용하여 계산된 결과 중에서 와점성계수 를 물의 동점성계수 𝜈로 무차원화한 와점성계수비의 분포를 Fig. 3과 같이 비교하여 수치모의 결과의 격자 민감도를 분석하고 적용 격자 해상도의 적정성을 평가하였다. 그림에서 보인 바와 같이 meshC 격자에서 계산된 와점성계수의 비는 최대 약 20 정도이고 meshF의 결과는 약 15 미만인 것으로 계산되었다. 큰와모의에서 계산된 와점성계수의 비가 경계층 내에서 15 미만이면 격자해상도는 적절한 것으로 받아들여진다(Menter, 2012). 따라서 격자 meshF는 큰와모의를 수행하기에 적절한 해상도인 것으로 평가된다.
Fig. 3에서 한가지 주목할 것은 두 가지 격자에서 계산된 도수의 시작점이 다르다는 것이다. 계산영역 하류단 경계조건인 수위를 실험에서 계측한 값 0.0766 m으로 고정시키면, 큰와모의 수행시 자유수면 변동 성분과 평균값 사이에 불연속성이 커져 해가 발산하게 된다. 이것을 해결하기 위해서는 흐름 성분을 흡수하는 무반사(non-reflecting) 경계조건을 설정해야 하지만, 이것은 프로그램 개발이 필요한 부분이므로 후속 연구에서 수행하고자 한다. 결국, 하류단에서는 목표수위를 이용해 계산한 평균유속을 유속경계조건으로 설정하고 수위는 출구방향 경사가 0이 되는(zero gradient) 조건을 설정하였다. 이에 따라 조밀한 meshF격자에서 산정된 하류단 수위가 meshC 조건에서 상대적으로 낮게 산정되어 도수의 시작점이 하류부로 후퇴한 것으로 판단된다.
4.2 자유수면과 유속 분포
격자 meshF에서 계산된 수치모의 결과에서 도출한 도수의 길이, 시작위치 등 도수의 특성값을 Yoo et al. (2018)의 실험결과와 비교하여 수치모의의 적용성을 평가하였다. Fig 4는 계산된 결과 중 부피분율 값 0.5를 사용하여 순간 수면과 시간평균 수면을 나타내고 유속 크기로 채색한 그림이다. 도수가 발생하는 지점은 흐름방향으로 고정적이지 않고 진동할 뿐만 아니라 횡방향으로도 일정하지 않고 변동성을 가진다(Wang and Chanson, 2015). Fig. 4는 큰 비정상성을 갖고 수면이 급상승하는 순간수면분포와 수로 측방향으로 대칭을 이루는 시간평균 수면분포를 볼 때, 강한 비정상성을 갖는 도수의 특성을 합리적으로 재현하고 있으며 평균값 산정에 사용된 전체 계산시간은 충분히 진행되었음을 보여준다.
정상도수는 영역 내 수면부근에서 흐름 반대방향의 유속이 발생하면서 회전하는 순환 흐름인 일명 롤러를 가지는 것이 특징이다. 수면부근에서 상류방향으로 진행하는 흐름이 롤러의 선단부에서 사류흐름 수면과 만나는 지점에서 공기연행이 현저하게 발생한다(Chanson, 2007). Fig 5는 수로 중앙단면에서 구한 시간평균 흐름방향 유속분포도이며, 롤러 상단부에서 현저한 역방향 흐름이 발생함을 보여준다. 계산된 시간평균 도수의 길이는 0.415 m로 Yoo et al. (2018)의 실험값인 0.425 m에 근접한다.
주요 지점에서 산정된 흐름방향 평균유속의 연직분포 곡선을 도시하면 Fig. 6과 같으며, 여기서 축은 위어의 높이 로 무차원화 하였다. 이 그림은 수면이 급상승하는 도수영역의 수면부근에서 부(negative)의 유속성분이 발생함을 분명하게 보여준다. 아쉽게도 Yoo et al. (2018)의 실험에서는 순간 및 시간평균 유속분포값을 제시하지 않아서, 계산된 유속분포를 실험값과 비교할 수는 없다. 따라서, 이 연구에서는 기존에 수행된 다른 대표적인 실험값들과 비교하여 본 수치해석의 결과를 간접적으로 검증하고자 한다. Fig. 7은 정상도수에 해당하는 Froude 수 범위 내에서 실험한 대표적 실험값들과 본 연구에서 구한 유속분포값을 비교한 것이다. 일반적으로 도수영역의 바닥 부근 유속분포는 전형적인 벽 제트(wall jet) 유속분포를 보이며, 상류 접근유속으로 무차원화 하면 일부 자기상사성(self-similarity)를 보인다. Fig. 7에서 이러한 특성을 일부 찾아볼 수 있으며, 본 연구에서 계산된 값이 Fr = 8.19~8.48 조건에서 계측한 값과 유사함을 보여준다. 이들 결과는 본 연구에서 수행한 수치모의가 합리적이고 양호하게 실험값을 재현하고 있음을 보여준다.
4.3 압력변동 특성
수로 중앙 단면의 바닥을 따라 계산된 순간최대압력, 순간최소압력 그리고 시간평균 압력을 실험자료와 함께 비교하면 Fig. 8과 같다. 여기서 는 압력수두를 속도수두로 무차원화 한 압력계수 이며 비교 구간은 실험에서 압력을 계측한 구조물 끝단부터 1.0 m 하류까지이다. 이 그림에서 계산된 최대압력과 평균압력 분포의 전반적인 형태와 크기는 실험값과 합리적으로 일치하는 것으로 나타났다. 단, 최소압력의 경우 사류흐름이 발생하는 도수 영역에서는 실험값과 계산값이 양호하게 일치하지만, 도수 발생 전 구간에서 계산된 최소압력이 음의 값을 갖지만, 실험값은 최대압력과 유사하게 양의 값으로 반대의 양상을 보인다. 순간최소압력의 크기는 대략 순간최대압력 크기의 약 1/4 수준인 것으로 나타났다.
주목할 것은 실험과 달리 구조물 직하류부에서 수치모의된 최소압력은 음의 값을 갖는다는 점이다. Yoo et al. (2018)은 수로 바닥에 5 mm 직경으로 천공한 30개소의 원형 구멍에 전압 방식 압력계를 설치하여 100 Hz로 압력을 측정하였다. 그리고 압력측정 실험자료에 신뢰구간(confidence interval)을 적용하여, 지점당 약 20,000개의 실험 결과값 중 0.05%의 자료를 이상치로 보고 제거한 후 분석하였다. 수치모의에서는 실험과 동일한 위치의 각 점들에서 10,000 Hz로 압력자료를 샘플링하여 분석하였다. 따라서, 실험값에서 이상치를 임의로 제거한 것 또는 자료의 취득 빈도에 큰 차이가 있다는 것이 최소압력 분포의 차이를 발생시키는 원인 중 하나라고 추측할 수도 있다. 구조물 직하류에서 도수발생 전까지인 = 0 ~ 0.2 m의 사류 구간에서 바닥 근처 흐름의 특성를 파악하기 위해서 바닥면으로부터 0.5 mm 떨어진 수평면에서 모의된 순간 유속벡터와 와도의 분포를 도시하면 Fig. 9와 같다. 그림에서와 같이 구조물 하류 사류 구간에서의 흐름은 매우 불균일하며 와도의 크기 또한 현저하여, 간헐적으로 와의 중심부 근처에서 음의 압력이 발생하는 것이 가능하다고 판단된다. 이에 관해서는 고해상도의 수치모의를 통한 후속 연구에서 보다 자세히 분석하고자 한다.
4.4 공기연행 특성
공기 농도를 나타내는 부피분율 𝛼의 시간평균 값은 Fig. 10과 같다. 여기서, 𝛼 = 1과 0은 각각 완전한 물과 공기를 나타낸다. 도수로 인해 수면이 급격히 상승하는 영역에서 중간 수심 이상의 자유수면 부근의 공기 농도는 50% 이상에 달하는 것으로 나타났다. 그리고 공기농도가 25%(𝛼 ~ 0.75, 그림에서 노란색 부분)인 부분을 보면 약한 S자 형태로 농도분포가 변하는 것을 볼 수 있다.
실험에서는 공기농도를 계측하지 않았기 때문에, 기존에 유사한 조건의 실험에서 계측된 공기농도의 연직분포와 본 연구에서 계산된 농도분포를 Fig. 11에서 비교하였다. 이 그림은 Fr = 7.3의 조건으로 본 연구에서 계산된 시간평균 공기농도의 연직분포가 정상도수 범주에 있는 다른 4가지 실험결과와 합리적으로 유사한 경향을 보이는 것을 보여준다. 즉. 전체 수심의 약 50% 부근에서 변곡점을 가지면서 전반적으로 S자 형태를 보이는 공기농도의 연직분포 곡선을 재현하고 있음을 보여준다.
5. 결 론
Froude 수 7.3과 Reynolds 수 15,700 조건에서 발생하는 정상도수를 DKE SGS 모형을 이용한 큰와모의 기법 그리고 공기와 물의 다상 흐름을 모의하기 위한 하이브리드 VoF 기법을 병합하여 수치모의하였으며 그 결과를 요약하면 다음과 같다.
두 가지 격자 해상도에서 계산된 와점성계수와 물의 동점성계수와의 비가 최대 약 15 정도 계산되어, 본 연구에서 수행한 큰와모의는 적절한 해상도를 적용한 것으로 나타났다. 계산된 순간자유수면은 강한 변동성을 가지며, 시간평균 수면분포는 수로 중앙을 중심으로 대칭성을 보임으로써 전체 수치모의 시간은 시간평균 값을 산정하기에 충분한 것으로 나타났다.
도수 발생 전 높은 유속의 물 흐름 그리고 도수 시작 후 나타나는 강한 난류로 인한 수로 바닥에서의 압력변동을 실험에서 계측된 값과 유사하게 합리적으로 모의하는 것으로 나타났다. 특히, 순간최대압력과 시간평균압력 분포는 계산값이 실험값과 잘 일치하였다. 단, 순간최소압력은 도수 발생 전 여수로 직하류부에서 음의 값을 모의하여 본 연구에서 대상으로 하는 Yoo et al. (2018)의 실험 결과와 다른 양상을 보이는 것으로 나타났다. 그 이유는 압력에 대한 실험에서의 샘플링 빈도와 수치모의에서의 샘플링 빈도의 차이에서 일부 기인할 수도 있다고 판단되지만 보다 자세한 원인 규명을 위해서는 추가적인 연구가 필요하다. 추후 도수 영역 내에서 공기농도와 유속분포를 계측한 실험자료를 재현하여 본 연구에서 적용한 수치모의 기법의 적용성 평가와 함께 상세한 3차원 도수 흐름의 특성을 제시하고자 한다.
본 연구가 대상으로 하는 실험에서는 연직방향 유속분포와 농도분포가 계측되지 않은 관계로 정상도수를 대상으로 한 다른 실험자료와 간접적으로 비교하여 수치모의 결과를 평가하였다. 도수 영역에서 계산된 흐름방향 유속의 연직분포는 유사한 조건에서 자기상사성을 가지는 다른 실험결과와 합리적으로 잘 일치하는 것으로 나타났다. 특히 수심의 중간 부분을 변곡점으로 변하는 S자 형태의 연직방향 공기농도 분포를 합리적으로 예측하는 것으로 나타났다.













