1. 서 론
최근 기후변동성으로 인하여 태풍 및 국지성 집중호우의 발생빈도 증가와 도시화로 인한 불투수율 증가로 도달시간이 짧은 돌발홍수(flash flood)가 빈번하게 발생하여 막대한 재난피해가 발생하고 있다. 강수로 기인하여 발생하는 홍수피해를 사전에 인지하고 대응하기 위해서는 정확하고 신속한 강수관측이 필수적으로 선행되어야 한다. 즉, 신뢰성 있는 수문해석을 위해서는 대상유역에 발생하는 강수현상을 정확히 파악하고 수문모형의 입력 자료로 활용하는 것이 필요하다.
현재 우리나라는 수문분석을 수행하는데 있어 지상 강수자료에 상당한 의존성을 보이고 있다. 지상에 설치된 관측소의 경우 지면에 도달하는 강수량을 직접적으로 측정하기 때문에 강수의 양적특성은 매우 높은 정확도를 확보할 수 있지만 접근성이 용이한 지역에 중점적으로 설치되어 있어 공간적으로 불연속적인 문제점이 있다. 즉, 지상관측소 사이에 강수가 발생하는 경우 이를 탐지하지 못하는 한계점이 있다(AghaKouchak et al., 2010). 이러한 한계점을 극복하고 강수의 공간분포를 정확히 규명하기 위해서는 지상관측소의 밀도를 높이는 방법이 있지만 설치비용 및 유지관리 측면에서 어려움이 따른다.
수문기상 분야에서는 보간법을 적용하여 지상 강수자료에서 획득한 강수자료를 공간분포하기 위하여 다양한 시도가 진행되었다(Tait et al., 2006; Goovaerts, 2010; Ly et al., 2011). 하지만 보간법을 적용하는 경우에도 보간법의 특성에 따라서 시공간적으로 부정확한 강수정보를 제공하는 경우가 있어 강수장(rainfall field)을 명확히 파악하는데 어려움이 있다. 이로 인해 광범위한 영역을 시공간적으로 연속적으로 관측하기 위하여 수문해석에 원격탐측(remote sensing)에 의한 강수정보의 활용이 최근 들어 주목을 받고 있다(Haberlandt, 2007; Collischonn et al., 2008).
대표적으로 기상레이더는 태풍 및 장마와 같은 광범위한 기상현상의 조기탐지뿐만 아니라 집중호우, 우박, 폭설 및 강풍 등과 같은 강한 국지성 기후현상과 관련된 재해위험을 감지하고 저감하는데 있어서도 매우 유용한 원격탐측 장비이다. 기상레이더를 활용한 강수 관측시스템은 강수장의 미세물리구조를 반영하여 지상 강수자료에 비하여 보다 광범위한 강수의 시공간적 분포를 제공하며 특히 미계측유역의 강수현상을 상세하게 파악할 수 있는 장점이 있다. 우리나라는 위험기상 감시, 수자원 관리, 기상예보 생산 및 군사작전 지원을 위하여 기상청, 국토교통부, 미공군 및 항공우주연구원에서 다양한 파장대의 레이더를 도입하여 전국 레이더 관측시스템을 구축하여 운영하고 있다(Kim et al., 2015).
기상레이더와 지상관측소의 장점을 극대화하기 위하여 기상레이더 강수자료와 지상 강수자료를 합성하기 위한 연구는 꾸준히 진행되어 다양한 연구사례가 존재한다. Ehret (2002)에 처음 제안되어 현재까지도 널리 사용되는 조건부 합성기법(conditional merging)은 Kriging 기법을 활용하여 강수를 공간분포하고 기상레이더 강수자료와 지상 강수자료의 오차분포를 반영하여 강수자료를 합성한다(Sinclair and Pergram, 2005; Kim et al., 2007; Yoon and Bae, 2013). Kim et al. (2008)은 Co-kriging 기법을 이용하여 연속 수정법(successive cor-rection method)에 의한 기상레이더 강수자료와 지상 강수자료의 조건부 합성을 시도한 결과 통계적 특성 및 정확도를 확보하는 것을 확인하였다. Cho et al. (2017)은 기상레이더 이미지 자료를 활용하여 RPM (radar polygon method)을 개발하여 우리나라 주요 권역을 대상으로 기존의 티센망 기법과 비교한 결과 산지효과를 보다 정확하게 고려할 수 있었으며, 면적강수량을 산정하는데 있어서도 유리한 것으로 분석되었다.
그 밖에도 시공간적으로 강수자료의 높은 해상도를 확보할 수 있는 기상레이더 강수자료를 수문해석에 활용하려는 다양한 시도가 이루어지고 있다. Seo (1998)는 지상 강수자료와 기상레이더 강수자료를 이용하여 실시간 수문해석을 실시하였으며 Lange et al. (1999)은 기상레이더에 의해 관측된 강수자료를 이용하여 비선형 수문해석을 실시하였다. Bedient et al. (2000)은 차세대 레이더(Next Generation Radar) 자료와 미육군 공병단에서 개발된 HEC-1 강우-유출모형을 활용하여 홍수예측을 하였다. 다수의 연구에서 기상레이더 강수자료를 이용한 유역에서의 유출분석을 수행한 결과 지상 강수자료에 준하는 정확성을 확인하였다. Park and Kim (2013)은 PRISM 기법, 역거리가중법(inverse distance weighted, IDW) 및 Co-Kriging 기법을 사용하여 지상 강수자료를 대상으로 1 km 해상도의 강수의 공간분포를 생산하여 비교한 결과 산악지형의 경우 보간법에 따라 차이가 발생할 수 있음을 확인하였다. Lee et al. (2016)과 Kim et al. (2016)은 본 연구에서 적용한 동일한 방법론을 지상 토양수분 자료와 AQUA 위성의 AMSR-E 토양수분 자료에 대해서, Kriging 기법을 통하여 토양수분 자료의 공간특성을 평가하였다.
본 연구의 목적은 기상레이더 반사도-강수강도(이하 Z-R 관계식)를 활용하여 산정되는 기상레이더 강수자료의 과소추정 문제점을 파악하고 기상레이더 강수자료의 공간분포를 실제 수문해석에 적용하기 위하여 조건부 합성기법을 적용하여 강수의 공간적 해상도를 극대화 시키는데 있다. 이를 위하여 본 연구에서는 공간적으로 불규칙한 지상 강수자료를 공간분포 할 수 있는 다양한 보간법을 적용하였으며 교차검증을 통하여 보간법에 따른 조건부 합성결과를 통계적으로 평가분석 하였다.
2. 연구방법
2.1 강수자료의 공간보간 및 합성
일반적으로 공간분포 자료가 필요한 경우 가장 효과적인 방법은 모든 지점에서 필요한 값을 획득하는 것이다. 우리나라는 국토의 70% 이상이 산악지형으로 이루어져 있어 산악효과(orographic effect)로 인한 기상현상의 시공간적 변동성이 크기 때문에 국지적인 기상현상을 분석하기 위해서는 공간적으로 다수의 관측소가 필요하지만 원하는 모든 지점에서 관측을 수행하는 것은 현실적으로 불가능하다. 따라서 지형적인 적합성과 관측소 설치 및 유지보수의 접근 편리성 등과 같은 다양한 조건을 기준으로 특정 지점을 선정하여 관측자료를 얻은 후 이를 활용하여 미지의 위치에 강수량을 예측하는 방법이 사용되는데 이러한 과정을 공간 보간(spatial interpolation)이라 한다(Cho and Jeong., 2006).
앞서 서술한바와 같이 지상 강수자료는 정량적으로 매우 높은 정확도를 갖는 장점이 있으며 기상레이더 강수자료와 연계하여 분석하는 경우 지상 강수자료를 참값(ground-truth)으로 가정하는 경우가 대부분이다(Seo et al., 1990; Bristow and Jol, 2003; Patel and Srivastava, 2013). 반면에 광범위한 지역을 관측하는 기상레이더 강수자료의 경우 공간적인 해상도는 매우 높으나 전자파를 발사하여 대기에 존재하고 있는 강수세포로부터 후방산란(back-scattering)되는 정보를 Z-R 관계식을 적용하여 간접적으로 강수를 추정한다. 따라서 기상레이더 강수자료는 일반적으로 과소추정(underestimate)되는 경향이 있어 수문모형에 직접적으로 활용하기에는 정량적인 정확도가 부족하다(Seto and Iguchi, 2007; Kim et al., 2017).
본 연구에서 기상레이더 강수자료와 지상 강수자료를 공간적으로 분포하여 조건부 합성하는 과정은 다음과 같다. 첫째, 기상레이더 강수자료로부터 지상관측소 위치의 1 km × 1 km 공간해상도를 갖는 주변격자(3 km × 3 km)의 강수자료의 평균값을 취득한다. 둘째, 취득된 기상레이더 강수자료와 지상 강수자료를 동일한 보간법을 적용하여 공간적으로 보간자료를 생성한다. 이어서 기존의 기상레이더 격자자료에서 공간적으로 분포된 기상레이더 강수자료를 빼주면 격자형태의 잔차(residual)가 산정된다. 마지막으로 지상 강수자료의 보간 자료에 잔차를 중첩하여 조건부 합성과정이 종료된다. 이러한 강수자료의 조건부 합성기법은 기존의 조건부 합성기법에 비하여 계산과정이 간단하고 다양한 보간법을 적용 가능한 장점이 있다. 수문분야에서 지상관측소 강수자료를 공간분포하기 위하여 다양한 보간법이 적용되어 왔다. 본 연구에서는 Kriging 기법, IDW 기법 및 Spline 기법을 사용하여 강수자료를 공간보간 하였다.
Kriging 기법은 지구통계학(geostatistics)분야에서 제시된 공간 보간법의 일종으로 관심지점을 예측하기 위하여 기지의 점 주위의 값들의 선형 조합으로 그 값을 예측하는 지구통계학적 기법이다. 이 방법은 공간 보간을 위해 주위의 실측치들을 선형으로 조합하며 통계학적인 방법을 이용하여 값을 추정한다. 즉, 값을 추정할 때 실측치와 거리뿐만 아니라 주변지점 측정치 사이의 상관특성을 반영할 수 있는 베리오그램(variogram) 추정을 통하여 미지의 지점의 예측치를 산정한다(Isaaks and Srivastava, 1989; Gudmund, 1998).
본 연구에서는 베리오그램 추정식이 편향되지 않으면서 오차분산을 최소로 하는 Ordinary Kriging (OK) 기법을 적용하였다. OK기법은 우리나라의 강수자료 보간에 널리 활용되어 우수한 결과를 확인하였다(Cho et al., 2010; Ji et al., 2011). OK기법을 적용하는데 있어 자료의 공간적 구조를 적절하게 표현해 줄 수 있는 베리오그램을 결정하는 것이 매우 중요하다. 베리오그램은 자료간의 거리에 관한 함수로 표현되므로 자료간의 분리거리(separation distance,
)를 결정해야한다. 두 점간의 베리오그램은 거리에 따른 자료의 공분산으로 표현된다.
(1)
여기서,
는 두 자료의 차이에 대한 기댓값이며
는 위치
에서의 관측 자료이다.
자료의 분포가 연속적이면 두 자료의 거리가 멀어질수록 베리오그램은 작게 나타나고 거리가 증가함에 따라 베리오그램이 커지거나 혹은 두 자료의 상관관계를 상실하여 무의미한 값을 가진다(Woo et al., 2006). 관심지점에서의 값을 알기 위해 관측치 주위 값의 선형조합으로 Eq. (2)와 같이 미지 값을 예측할 수 있으며 오차분산은 Eq. (3)과 같이 정리된다.
,
(2)
(3)
여기서,
는 위치가 알려진
지점에서의 예측결과,
는
의 가중치,
은 Kriging의 오차분산
는 Kriging 예측을 위한 총 자료 수이다.
Shepard (1968)이 이론을 정립한 IDW 기법은 인근 관측지점의 자료를 거리에 반비례로 가중하여 보간하는 방법으로 상대적으로 인접한 관측소에 높은 가중치를 부여하여 미지의 위치에서의 자료를 공간 보간한다. IDW 기법의 기본 가정은 기지의 관측소가 기타 관측소에 미치는 영향은 관측소간의 거리에 따라 감소한다는 것으로 수문학 및 지구통계학 분야에서 다양하게 활용되고 있다(Brown and Comrie, 2002; Kim et al., 2010; Cho et al., 2013). IDW 기법의 최대 장점은 적용이 간단하고 연산시간이 짧다는 것이다. 본 연구에서 강수자료를 2차원으로 공간분포하기 위하여 두 점간의 거리를 구하는 알고리즘으로는 유클리디안 거리(euclidean distance)를 적용하였다.
,
(4)
(5)
여기서,
은 미지의 위치의 예측 값이고
는
번째 관측소에서의 관측 자료이다.
는 가중치로서 거리의 제곱에 반비례한다.
및
는 기준 관측소의 좌표,
및
는 대상 관측소의 좌표이다.
마지막으로 지구통계학에서 공간 보간을 위하여 많이 응용되고 있는 Spline 기법은 Kriging 기법에 비해 매우 효율적으로 빠른 시간에 공간 보간이 가능하며 여러 방법을 결합하여 적용할 수 있는 장점을 가지고 있다. 이러한 관점에서 본 연구에서는 Harmonic Spline 보간법을 활용하였다. 작은 변위들에서 Spline 기법은 가중치가 주어지는 점을 제외하고는 일반적으로 4차 미분계수가 0의 값을 가진다(Sandwell, 1987; Feliciano-Cruz and Ortiz-Rivera, 2012). Spline 기법을 적용하기 위하여 Green Function을 활용하게 되면 Biharmonic 방정식 해를 찾을 수 있다. Biharmonic 방정식은 4차 미분방정식을 나타내며 Eq. (6)과 같이 나타낼 수 있다.
,
(6)
Green Function이 N개의 자료를 보간하기 위하여 활용될 때, 가중치
는 자료
위에 놓이게 되며 Eq. (7)과 같이 나타낼 수 있다.
,
(7)
Eq. (7)의 특이 해는 각 지점에서 Green Function들의 선형조합으로 표시될 수 있다.
(8)
각 지점에서 가중치는 Eq. (9)와 같은 선형프로세스를 통하여 얻어진다.
(9)
최종적으로 계수
값들이 계산되면 Biharmoni 방정식의
는 Eq. (8)을 이용해서 전체지점에서 추정이 가능하다.
3. 분석자료 및 연구결과
3.1 면봉산 기상레이더 강수자료 및 지상 강수자료
기상레이더란 고주파수의 전자파를 안테나를 통하여 대기 중으로 발사하여 대기 중에 존재하는 강수세포, 눈, 우박, 곤충 및 먼지 등의 물체들에 의해 전파가 산란되는 것 중 레이더 방향으로 후방산란 되어 오는 전자파를 수신하여 그 신호를 분석함으로써 물체의 위치 및 종류 등을 판별하는 원격탐측 장비이다. 본 연구에서는 기상청 면봉산 기상레이더 자료를 활용하였다(Table 1 and Fig. 1). 면봉산 기상레이더는 경상북도 청송군에 위치하고 있는 해발고도 1,113 m 면봉산 정상에 2004년에 개소되어 2004년부터 2005년까지 1년간의 시험운영을 마치고 2005년 1월 1일부터 정식 관측을 실시하였다.
우리나라의 근대적 기상관측이 개시된 이후 지상 강수관측은 크게 기상청과 국토교통부 및 한국수자원공사 관할 지점으로 구분되어 이루어져 왔다. 그중에 기상청은 전국에 90여개소의 종관기상관측장비(automated surface observing system, ASOS)와 무인으로 운영되는 480여개소의 자동기상관측장비(automatic weather system, AWS)를 이용하여 지상 기상관측 업무를 수행하고 있다. Fig. 1의 붉은 점(●)은 ASOS를 의미하는 것이며, 파란색의 (+) 기호는 AWS를 의미하는 것이다. 마지막으로 원은 면봉산 기상레이더(★)를 중심으로 50 km, 100 km, 150 km 및 200 km의 관측반경을 표시한 것이다.
우리나라의 기상레이더 관측은 입체관측(volume scan)을 적용하고 있다. 입체관측 방식은 대기에 존재하는 입자의 특성을 분석하기 위하여 다양한 고도각에 걸쳐서 스캔하여 공간적인 관측자료를 취득하는 것이다. 일정한 고도각을 유지하며 한 바퀴 회전하는 것이 Sweep, 한 Sweep에서 빔을 발사하는 것을 Ray, 하나의 Ray 안에서는 일정 개수의 자료가 포함되고 그 각각의 자료를 Bin이라고 한다.
현재 기상레이더 지점자료의 경우 UF (Universal Format)자료로 제공된다. UF자료는 정보를 포함하는 Header와 실제 데이터 값을 나타내는 자료가 반복 저장된 이진자료이다. 본 연구에서는 면봉산 기상레이더의 UF자료에서 지형에코와 대기잡음을 제거한 보정 후 반사도(corrected reflectivity, CZ)를 활용하여 CAPPI 자료를 생산하였다. CAPPI (Constant Altitude PPI) 자료는 여러 개의 PPI 관측 자료를 입체 격자에 저장하여 일정한 고도(1.5 km)의 수평자료를 추출하여 표출한 것이다. CAPPI는 일정한 고도의 자료만을 표출하기 때문에 반사도의 수평적인 해석에 유용하여 수문학 분야에서 널리 활용되고 있다(Yoo and Yoon, 2012).
UF자료를 CAPPI자료로 변환하기 위해서 Mohr and Vaughan (1979)의 공일차내삽법(bilinear)을 사용하였다. 기상레이더 위치를 원점으로 설정하고
및
방향으로 1 km 간격으로 데카르트 좌표(cartesian coordinate)로 정의하면 기상레이더 반경에 포함되는 모든 격자점(
,
,
)의 위치를 Eq. (10)을 이용하여 공간거리(
) 및 방위각(
)으로 변환하였다.
,
(10)
기상레이더로 감지한 수평면(
,
,
)의 위치의 고도(
)와 고도각(
)은 빚의 굴적과 지구곡률을 고려하여 Eq. (11)로 산정한다.
,
(11)
여기서,
는 대류권에서 빛의 굴절에 대한 표준보상계수(Battan, 1973)이며
는 기상레이더 위치에서의 지구지름이다.
변환된 위치에 해당하는 반사도를 추출하기 위하여 주변 4개의 반사도 값을 이용한 내삽을 통하여 각 위치의 반사도 값을 추출하였다.
(12a)
(12b)
(12c)
여기서,
는 각 ray에 대한 bin의 순번을 의미하고
는 각 sweep에 대한 방위각의 순번,
는 기상레이더 반사도 자료의 sweep 순번,
는 기상레이더 위치로부터의 방위각,
은 거리간격,
는
와
의 각거리이다.
내삽지점(
,
,
)에서의 반사도를 구하기 위하여 투영점 (
,
,
)와 (
,
,
)에서의 추정 값을 이용하여 내삽을 수행한다.
(13)
위 과정을 통하여 얻어진 기상레이더 반사도를 Z-R 관계식인 Eq. (14)에 대입하여 강수강도로 환산하였다.
(14)
여기서,
의 단위는
이고,
은 지상 강수자료로 단위는
이다.
와
는 경험에 의한 상수 값으로 강수유형 및 강수세포 크기의 분포에 따라 다양한 상수 값이 도출되었다.
본 연구에서는 층상형 강수에 널리 사용되는
(Marshall and Palmer, 1948)을 적용하였으며 면봉산 기상레이더로부터 산출된 10분 단위 강수자료를 1시간 단위로 누적하여 지상 강수자료와 조건부 합성하였다.
3.2 강수자료 조건부 합성결과
본 연구에서는 면봉산 기상레이더 강수자료와 지상 강수자료를 조건부 합성하기 위하여 2014년 8월 18일의 강수사상을 분석대상으로 선정하였다. 우선적으로 지상 강수자료를 공간분포하기 위하여 불규칙하게 분포되어 있는 기상청 ASOS 강수자료를 활용하였다. Fig. 2는 2014년 18일 17시의 기상레이더 이미지 영상과 서로 다른 보간법으로부터 공간분포 된 지상 강수자료를 도시한 결과이다. 기상레이더 강수자료의 경우 최댓값이 5.7 mm를 나타내고 있지만 보간법을 적용하여 공간적으로 분포된 지상 강수자료의 경우 13.3~13.8 mm를 나타내고 있다. 이는 Z-R 관계식을 적용하는 과정에 나타나는 기상레이더 강수자료 과소추정의 문제점을 확인할 수 있는 결과이다.
Fig. 2를 살펴보면 지상 강수자료의 공간분포 결과는 보간법에 따라 다르게 나타나고 있는 것을 확인할 수 있다. Kriging 기법에 의한 공간분포 결과는 오차분산을 최소로 하는 목적함수를 사용하기 때문에 전반적으로 평활화 효과(smoothing effect)가 나타나고 있으며, IDW 기법에 의한 공간분포 결과는 지상관측소 강수자료를 완전히 참값으로 간주하기 때문에 지상관측소 위치의 공간분포 결과는 뚜렷한 특성을 나타내고 있다. 마지막으로 Spline 기법에 의한 공간분포 결과는 관측결과가 존재하지 않는 해양지역의 공간분포를 추정하는데 있어 모형의 특성상 발산하는 결과는 나타내고 있지만 기지의 자료가 충분한 내륙지역의 공간분포 결과는 Kriging 기법 및 IDW 기법의 공간분포 결과를 포괄적으로 반영할 수 있는 보간법으로 사료된다.
Fig. 3은 기상레이더 강수자료와 보간법에 따른 조건부 합성결과를 도시한 결과이다. Fig. 2와 비교하여 일반적으로 나타나는 기상레이더 강수의 과소추정의 문제점이 조건부 합성을 통하여 보완되고 있는 것을 확인할 수 있으며 지상 강수자료의 공간분포 결과에 비하여 조건부 합성결과는 강수구역을 보다 세밀하게 구분하는 것을 확인 하였다. 또한, Kriging 기법 및 IDW 기법을 적용한 조건부 합성결과는 내륙지역에서 해양지역에 걸쳐 위치하고 있는 강수구역을 Spline 기법에 비하여 우수하게 반영하고 있는 것을 확인할 수 있다. 이는 보간법에 따라 공간분포의 결과가 상이하게 도출되는 사유로 사료된다.
기상레이더에서 발사된 전자파가 대기 중을 진행함에 따라 에너지가 강수세포, 먼지 및 기타 방해물과 상호작용할 때 에너지 손실이 발생한다. 이러한 에너지 손실을 감쇠(attenuation)라 정의하고, 손실양은 상호작용이 일어나는 목표물까지의 거리, 목표물의 성분 및 크기에 따라 좌우된다. 그 밖에도 대기 중 밀도차이에 의한 굴절, 지형클러터, 돌풍 및 차폐 등의 관측오차는 기상레이더 지점을 중심으로 관측반경이 증가함에 따라 강수탐지 능력이 감소하는 것으로 나타났다(Seo et al., 2011).
이러한 불확실성이 포함된 자료들이 강수분석에 활용될 경우 주변 격자점을 과대 혹은 과소추정하여 분석자료의 질을 저하시키게 된다. 따라서 본 연구에서는 보간법의 적합성 여부를 확인하기 위하여 기상레이더 지점을 중심으로 반경 50 km에 이상 이격된 범위의 기상레이더 반사도는 강수량 추정에 유용하지 않다고 판단하고 유효반경(maximum unambiguous range)을 50 km로 설정하였으며 유효반경에 포함되는 지상관측소 자료를 추출하여 적합성 평가를 진행하였다.
Fig. 4는 면봉산 기상레이더 관측반경 50 km에 포함되는 ASOS 지점인 포항(138), 대구(143), 의성(278) 및 영천(281)관측소의 강수량 시계열을 도시한 결과로서 전체적으로 공간 보간에 활용된 기지 관측소의 강수량을 비교적 정확하게 복원하는 것을 확인할 수 있다. 이러한 결과는 보간법을 적용하는 과정에서 지상관측소의 관측 값을 참값으로 간주되기 때문에 나타나는 당연한 결과라 할 수 있다.
본 연구에서는 모형의 통계적 적합성을 평가하기 위하여 Table 2와 같은 다양한 통계지수를 활용하였다.
는 지상 강수자료,
은 조건부 합성을 통한 강수자료를 의미한다. 상관계수(correlation coefficient, CC), Nash-Sutcliffe 계수(Nash-Sutcliffe Efficiency, NSE) 및 일치계수(Index of agreement, IoA)의 최적 값은 1이며 절대 오차 평균(mean absolute error, MAE), 최소 제곱근 오차(root mean square error, RMSE) 및 편의(bias)의 최적 값은 0이다. Table 3은 지상 강수자료와 비교하여 조건부 합성결과의 통계적 적합성을 평가한 결과이다.
‘R’은 기상레이더 원자료, ‘K’는 Kriging 기법의 조건부 합성결과이며 ‘I’는 IDW 기법, 마지막으로 ‘S’는 Spline 기법을 의미한다. 기존의 기상레이더 편의오차가 포함된 원시자료(raw data)와의 지상 강수자료와의 상관성은 높게 평가되지만 MAE, RMSE 및 Bias는 수문분석에 직접 사용하기에는 많은 오차가 포함되어 있는 것을 확인할 수 있다. 조건부 합성결과는 전반적으로 상관계수를 포함한 기타 통계적 적합성 평가결과에서 상당한 개선을 보여주고 있다.
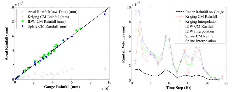
고해상도의 기상레이더 강수자료의 활용성을 극대화하기 위해서는 격자형태의 강수자료를 분포형 유출모형에 적용하는 것이다. 이를 위해서는 대상유역의 면적강수량에 대한 정확한 정보를 취득하는 과정이 필요하다. 이와 같은 면적강수량을 평가하기 위하여 관측반경 50 km에 포함되는 총 7,722개의 격자(7,722 km2)의 면적강수량을 보간법에 따라 Fig. 5에 도시하였다. 기존의 기상레이더 강수자료의 경우 지상 강수자료에 비하여 상당히 과소추정되는 문제점이 확인되지만 조건부 합성기법을 통하여 얻어진 강수자료의 경우 지상 강수자료의 양적특성을 우수하게 재현하고 있는 것을 확인할 수 있다.
앞서 서술한바와 같이 보간법에 사용된 자료의 경우 참값으로 고려되기 때문에 보간법에 사용된 지점자료를 활용하여 보간법의 적합성 여부를 판단하는 것은 적합하지 못하다. 따라서 보간법의 적합성 여부를 보다 신뢰성 있게 판단하기 위해서는 보간에 활용되지 않은 지점 결과에 대하여 교차검증(cross-validation)하는 과정을 수행하였다. 첫 번째 교차검증 과정으로서, 본 연구에서는 관측반경 50 km에 포함되는 모든 ASOS지점을 대상으로 순차적으로 1개 지점씩 누락하여 보간법을 적용하고 최종적으로 조건부 합성된 결과를 평균하여 실제 강수량과 비교하였다.
전체 강수지점 중 앞서 비교되었던 포항(138), 대구(143), 의성(278) 및 영천(281)관측소 등 4개의 강수지점을 대상으로 통계치를 비교하여 Fig. 6과 Table 4에 나타내었다. 전반적으로 지상관측소의 강수량을 효과적으로 재현하고 있는 것을 확인할 수 있다. 다만 지상관측소의 강수량과 교차검증을 수행하여 얻은 조건부 합성결과는 미소한 강수량 차이가 발생하고 있으며, 이는 공간보간 시 바람장, 고도 등 강수량과 관련된 영향인자의 미고려, 공간보간 방법론으로부터 기인하는 불확실성 및 지상관측소의 밀도 부족 등 다양한 원인으로 판단할 수 있다.
Table 4. Model evaluation of conditionally merged rainfalls at 4 weather stations in leave-one-out cross validation scheme ![]() |
교차검증의 두 번째 경우로서 본 연구에서는 조건부 합성기법의 활용되지 않은 AWS 강수자료와 보간법에 따른 조건부 합성결과의 적합성을 평가하였으며, 일종의 Blind Forecasting 관점에서 모형의 검증을 수행하였다. Fig. 7과 Table 5는 보간법에 활용되지 않은 후포(800), 부석(814), 공성(821) 및 영덕읍(844)지점의 AWS 강수자료를 활용하여 조건부 합성결과의 적합성을 평가한 결과이다(Fig. 1의 ▼ 지점). 시각적 평가 및 통계적 지표를 기준으로 판단해보면, 보간법에 따른 미소한 차이는 발생하고 있지만 전반적으로 우수한 결과를 확인할 수 있으며 기상레이더 강수자료의 편의보정 방법으로서 적합성을 갖는다고 판단할 수 있다.
Table 5. Model evaluation of conditionally merged rainfalls at 4 weather stations in blind forecasting process ![]() |
본 논문에서는 서로 다른 보간법을 적용한 조건부 합성결과를 하나의 강수사상에 적용하여 연구결과를 도시하였다. 연구내용을 확장하여 보간법에 따른 격자의 보간계수(interpolation factor)를 미리 산정한다면 미계측 유역을 포함한 전유역 강수 공간분포의 산정이 가능하므로 신속하게 조건부 합성결과를 생산할 수 있을 것으로 사료된다. 이는 초단기 강수량 예측을 통한 돌발홍수 대응기술 개발에 직접적으로 활용 가능하여 수공학 분야의 방재기술 향상에 기여할 것으로 판단된다.
4. 결 론
본 연구에서는 기상레이더 강수자료의 활용성을 개선하기 위하여 기상레이더 강수자료의 오차를 최소화하고 공간적으로 분포된 강수장을 취득하기 위한 방법으로 조건부 합성기법을 활용하였으며, 사용되는 공간 보간법에 따른 기상레이더 강수장의 특징을 평가하였다. 모형의 적합성은 면봉산 기상레이더 및 주변 지상 강수자료를 활용하였으며, 교차검증을 통하여 보간법에 따른 조건부 합성결과를 비교분석 하였다.
1)서로 다른 보간법을 적용하여 기상레이더 강수자료와 지상 강수자료를 공간분포 하여 정량적인 강수량 분석을 수행한 결과, 기상레이더 강수자료의 과소추정 문제점을 효과적으로 보완할 수 있었으며 강수장의 공간적 특성을 보다 명확히 판별할 수 있었다. 향후 지상관측소를 추가적으로 고려함과 동시에 고도 및 해안선과 같은 지형적 특성을 고려한다면 보다 정확한 시공간적 강수자료를 추정할 수 있을 것으로 판단된다.
2)지상 강수자료와 기상레이더 강수자료를 조건부 합성한 후 보간법에 활용되지 않은 지점에 대하여 교차검증을 수행한 결과 전반적으로 우수한 보간 결과 취득이 가능하였으며, 미계측유역의 시공간적 강수량을 추정하는데 있어서 활용이 가능할 것으로 판단된다. 그러나 앞서 언급된 바와 같이 강수량에 영향을 미치는 바람 및 지형 등의 고려가 요구되며, 특히 조건부 합성시 지상 강수자료의 확충을 통해 보다 신뢰성 있는 고해상도 시공간적 강수자료로서 활용이 가능할 것으로 판단된다.
3)본 연구에서 적용하는 보간법은 연산과정이 간단하여 방재유관기관의 강수자료를 종합적으로 이용하여 실시간 재난관리 및 모니터링 시스템과 연계한다면 고해상도의 조건부 합성 강수자료를 생산할 수 있을 것으로 사료되며 해양지역 및 산악지역과 같이 강수자료의 획득이 어려운 유역에서는 Spline 기법을 적용하여 산정된 조건부 합성 강수자료는 수치모형의 입력자료로 유용하게 활용될 것으로 판단된다.














