1. 서 론
2. 이론적 배경 및 분석 대상
2.1 Baalousha (2012) 해석해
2.2 분석 대상
3. 결과 및 고찰
3.1 양수량 대비 하천수 감소량 산정
3.2 Baalousha (2012) 해석해와 Hunt (1999) 해석해 적용 결과 비교
4. 결 론
1. 서 론
지하수는 갈수기 하천유량의 주요 공급원이 되고 홍수기에는 지표수가 지하수로 함양되어 지하수위에 영향을 끼치는 등 지표수와 지하수는 따로 분리되지 않고 상호 연결성을 가진 하나의 통합된 시스템이다(Winter et al., 1998; Kim et al., 2009). 지표수 또는 지하수를 취수할 경우 서로 영향을 주기 때문에 그 상호관계를 파악하는 것이 수자원의 효율적 이용·관리측면에서 매우 중요하다. 특히 지하수 유출성분이 지배적인 갈수기에 안정적인 하천수 취수를 위해서는 지하수 이용이 하천수량의 감소(stream depletion)에 어떠한 영향을 미치는 지를 정량적으로 예측, 평가해야 한다.
지하수 양수가 인근 하천의 수량에 미치는 영향을 파악하기 위해서는 실제 현장에서 지하수 양수 전, 후의 하천유량의 변화를 장기간 관측(Kim et al., 2012a)하는 것이 가장 정확하며, 경제적 측면을 고려하면 지하수 모델링(Sophocleous, 1995; Nyholm et al., 2003; Zume and Tarhule, 2008) 또는 지표수-지하수 통합모델링(Kim et al., 2012b, 2012c; Lee et al., 2013)을 수행하거나 간략한 해석해(Theis, 1941; Hantush, 1965; Hunt, 1999; Butler et al., 2001; Baalousha, 2012)를 이용하여 지하수 양수 영향을 간접적으로 산정하는 것이 보다 효과적이다. 이러한 현장관측, 수치모델링, 해석해 중에서 하천-대수층-양수정 시스템을 단순화한 조건에서 유도한 해석해를 이용하는 것이 가장 쉽고 비용도 적게 드는 실용적인 방법이다(Lee et al., 2016a, 2016b).
Theis (1941)는 균질한 대수층을 하천과 양수정이 완전 관통한 조건에 대해 양수로 인한 하천수 감소량을 계산하는 해석해를 최초로 개발하였다. Hantush (1965)는 대수층과 연결된 하상퇴적층의 저투수성을 추가로 고려하였고, Hunt (1999)는 하천단면의 규모가 대수층 두께에 비해서 매우 작다는 가정하에 지하수 강하량과 하천수 감소량을 구하는 해석해를 개발하였다. 국내 지역을 대상으로 Hunt (1999) 해석해를 적용한 연구로 Kim (2010)와 Lee et al. (2016b)를 들 수 있으며, Lee et al. (2016a)는 하천과 대수층의 수리특성치 조합에 따른 다양한 조건에 대해 Hunt (1999)의 해석해와 연직 2층 대수층 구조에 대한 Hunt (2009) 해석해를 적용하여 그 결과를 서로 비교하였다. Hunt (1999)의 해석해는 하상수리전도성 등 하천의 수리특성을 고려할 수 있고 몇 개의 입력변수값만을 사용하여 양수에 따른 하천수 감소량을 산정할 수 있어 미국, 뉴질랜드 등에서 널리 사용되고 있다. 그러나 하폭의 크기를 고려하지 않고 유도되었기에 하폭이 넓은 하천에 대해서는 적용상 제약이 있을 수 있다. 이러한 단점을 극복하기 위해 Butler et al. (2001)는 유한 하폭(finite width) 조건에 대해 하천을 기준으로 좌, 우, 아래의 3개의 비균질 영역으로 구분하여 하천수 감소량을 계산하는 해석해를 개발하였고, Baalousha (2012)는 유한 하폭과 균질 대수층 조건에 대해서 해석해를 유도하였다. 아직까지 국내에서는 하폭 경계조건의 영향을 직접적으로 고려한 해석해를 적용한 사례가 없다.
따라서 본 연구에서는 하폭의 영향을 반영할 수 있는 Baalousha (2012) 해석해를 소개하고, 이 해석해를 안성천 상류구간 인근에 실제로 위치한 관정들에 적용하여 지하수 양수에 따른 하천수 감소량의 거동특성을 분석하고자 하였다. 또한 Baalousha (2012) 해석해와 Hunt (1999) 해석해 적용결과를 비교하여 하폭의 크기가 하천수 감소량 산정 결과에 미치는 영향 정도를 평가하였다.
2. 이론적 배경 및 분석 대상
2.1 Baalousha (2012) 해석해
Baalousha (2012)는 Fig. 1과 같이 유한하폭, 무한대수층, 양수정 시스템에 대해 지하수 양수
로 인한 지하수위 강하량 및 하천수 감소량을 계산하기 위한 해석해를 개발하였다.
Baalousha (2012)는 하천이 없고 양수정만 있는 대수층-양수정 시스템과 양수정이 없고 누수 하천만 있는 하천-대수층 시스템 두 경우에 대해 수위강하량 계산식을 유도하고, 중첩원리를 적용하여 두 수위강하량을 합하여 하천-대수층-양수정 시스템에 관한 수위강하량 계산식을 유도하였다. 하천 경계
에서 계산된 지하수위 강하량의
방향 기울기와 대수층의 투수량계수를 Darcy 법칙에 대입하고 하천의 길이 방향으로 적분하여 Eq. (1)과 같은 하천수 감소량 산정식을 개발하였다.

(1)
여기서,
는 하천수 감소량,
는 양수량,
는 하폭,
는 여오차함수(complementary error function),
는 투수량계수,
는 저류계수,
는 하천과 양수정간 거리,
은 수평방향
의 적분변수,
는 양수 경과시간, 그리고,
는 하상수리전도성(streambed hydraulic conductance)으로 하상수리전도도
와 하폭
의 곱을 하천바닥층 두께
으로 나눈 값이다. Eq. (1)이 적분형태로 나타내어졌기에 수치적분 과정이 필요하다.
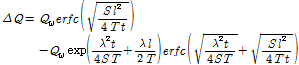
또한 Baalousha (2012)는 하폭을 점(
)으로 간주하고 대한 하천수 감소량 산정식을 다음 Eq. (2)와 같이 유도하였다. Eq. (2)는 양수정과 하천이 위치한 곳에 Dirac delta 함수(
)를 사용하여 생성과 소멸항을 고려한 2차원 지하수 유동 방정식의 해를 구한 Hunt (1999)의 해석해와 형태가 동일하다. Eq. (2)는 하폭을 고려하지 않고 유도되었지만, 하상수리전도성
에 하폭을 고려할 수 있어 불완전하지만 하폭 크기의 영향을 간접적으로 반영할 수 있다.
(2)
Eqs. (1) and (2)에서 알 수 있듯이 Baalousha (2012)의 해석해는 투수량계수, 저류계수, 하천-양수정 이격거리 뿐만아니라 하폭, 하상수리전도성과 같은 하천의 수리특성치도 양수로 인한 하천수 감소량을 계산하는데 있어서 중요한 영향인자로 작용한다.
2.2 분석 대상
본 연구에서는 하폭 경계조건을 직접적으로 고려한 Baalousha (2012)의 해석해 Eq. (1)과 하폭의 영향을 매개변수 하상수리전도성내에 포함시켜 간접적으로 고려한 Hunt (1999)의 해석해 Eq. (2)를 안성천 상류에 실제로 존재하는 지하수 관정에 적용하여 양수로 인한 하천수 감소 거동 특성을 분석하였다.
Lee et al. (2015b)는 안성천 공도수위표 상류구간에서 하상퇴적층에 시피지미터(seepage meter)를 매설하여 하천수와 지하수간의 상호교환량(exchange rate)을 측정하고 이와 동시에 장심도와 단심도 피조미터를 하상퇴적층에 관입하여 연직 수리경사를 측정한 후 두 측정값을 Darcy의 공식에 대입하여 하상퇴적층의 수리전도도를 산정하였다. 본 연구에서는 Lee et al. (2015b)의 하상수리전도도 측정 지점 인근에 대수성시험 결과(HRFCO, 2014)가 존재하는 17개의 천부지하수 관정에 대해 Baalousha (2012)와 Hunt (1999)의 해석해를 적용하여 지하수 양수로 인한 하천수 감소량을 산정하였다.
Table 1은 분석 대상 관정의 양수량, 투수량계수와 인근 하도구간의 하상퇴적층 수리전도도, 하폭, 하상퇴적층 수리전도성, 그리고 하천-관정 이격거리를 정리한 것이다. 해석해 입력변수중에서 저류계수는 측정값이 없어 안성천 상류유역에 대한 지표수-지하수 통합모델링의 검정과정(Lee et al., 2015a)에서 도출된 0.1의 값을 사용하였다.
3. 결과 및 고찰
3.1 양수량 대비 하천수 감소량 산정
하폭을 고려한 Baalousha (2012) 해석해 Eq. (1)을 이용하여 분석 대상 17개 지하수 관정 각각에 대해 지하수 양수량 대비 하천수 감소량(이하 하천수 감소비)을 계산하였다. Figs. 2(a) and 2(b)는 17개 분석 대상 중 T2과 T12 관정에 대한 결과를 예시한 것으로 양수 초기에는 하천수량에 미치는 영향이 작다가 양수가 장기화되면서 점차 증가하는 양상을 보이고 있다. T2 경우 양수 100일 후 하천수 감소비가 약 0.7로 지하수 양수 영향이 크며, 반면에 T12의 경우는 T2에 비해 상대적으로 대수층의 투수량계수가 낮고 하천-관정 이격거리라 길어서 하천수 감소비의 증가 양상이 지연되어 나타나고 있다.
대상 관정 각각에 대해 양수기간 1, 5년 동안의 평균적인 하천수 감소비를 계산하여 Fig. 3에 나타내었다. Fig. 3(a)는 하천과 관정간의 이격거리에 따른 하천수 감소비를 도시한 것으로 이격거리가 증가할수록 감소하는 양상을 보이고 있으나 선형성은 작은 것으로 나타났다. 이격거리 외에 다른 인자들의 영향이 복합적으로 작용하여 비슷한 이격거리에 대해서도 편차를 보이고 있다. 1년 평균 하천수 감소비는 최소 0.02, 최대 0.76, 관정 평균치는 0.31로 산정되었으며, 5년 평균 하천수 감소비는 0.23에서 0.89의 범위로 최대와 최소간의 편차는 다소 줄어들었고 평균 0.54로 1년에 비해 0.23 만큼 증가하였다. Fig. 3(b)는 대수층의 투수량계수를 저류계수로 나눈 수리확산계수(
)에 따라 도시한 것으로 이 값이 커짐에 따라 하천수 감소비가 증가하는 양상, 즉 양수에 대한 반응이 빠르게 도달하고 있다. 이격거리와 마찬가지로 선형성은 크지 않은 것으로 나타났다. Fig. 3(c)는 저류계수
와 하천-관정 이격거리의 제곱
를 곱한 값을 투수량계수
로 나눈 값인 하천고갈인자 SDF (Stream Depletion Factor,
)에 따라 하천수 감소비를 나타낸 것이다. 하천-관정간 이격거리가 짧거나 수리확산도가 크면 지하수 양수로 인한 영향이 하천에 단기간에 도달하게 되는데, 이를 나타내는 지수가 SDF 이다(Lee et al., 2016a). 분석 대상 관정은 SDF가 1,000일보다 작은 경우 지하수 허가기간 5년 동안 0.4 미만으로 양수영향이 작은 것으로 분석되었다. 또한 하천수 감소비는 SDF에 로그를 취한 값과 강한 선형관계를 보이고 있음을 알 수 있다. Fig. 3(d)는 하상수리전도성
와 하천-관정 이격거리
의 곱을 투수량계수
로 나눈 값인 하천바닥인자(Stream Bed Factor, SBF)에 따라 하천수 감소비를 도시한 것으로 SBF의 로그값과 약한 선형성을 나타내고 있다. 일반적으로 SBF가 증가함에 따라 하상수리전도성의 영향으로 일반적으로 하천수 감소 정도가 증가하고 특히 이 값이 10보다 클 경우 하천에 미치는 영향이 큰 것(Environment Canterbury, 2000)으로 알려져 있으나, 연구 대상지역은 오히려 SBF 값과 음의 상관성을 보이고 있다. 이는 하상수리전도성이 매우 커서 양수의 지연효과가 거의 없으며 투수량계수 등 다른 인자의 영향이 더 지배적으로 작용한데서 기인한다.
3.2 Baalousha (2012) 해석해와 Hunt (1999) 해석해 적용 결과 비교
하폭을 점으로 간주하여 유도한 Baalousha의 해석해 Eq. (2) 즉, Hunt (1999) 해석해를 분석대상 관정 17개 각각에 적용하고 앞서 계산한 유한하폭에 대한 Baalousha의 해석해 Eq. (1) 적용 결과와 비교하였다. Fig. 4는 Baalousha (2012)와 Hunt (1999)의 해석해로 산정한 5년 평균 하천수 감소비를 일대일로 도시한 것으로 일부 관정에서 Hunt (1999) 해석해가 약간 작게 산정되었지만 전반적으로 두 결과가 거의 일치하는 것을 알 수 있다. 이는 안성천 상류구간 주변 지역에 대해서는 하폭에 관한 적분과정이 필요 없고 상대적으로 간략한 Hunt (1999) 해석해만으로도 지하수 양수 영향을 평가하기에 충분함을 의미한다.
하폭의 크기가 하천수 감소량 산정 결과에 미치는 영향을 보다 정밀하게 파악하기 위해서 투수량계수는 1, 10, 20, 50, 100 m2/d, 저류계수는 0.01, 0.05, 0.1, 0.2, 0.3, 하상수리전도도는 10-9, 10-8, 10-7, 10-6, 10-5 m/s, 하폭은 100, 200, 300, 400 m, 하천과 관정간의 이격거리는 50, 100, 200, 300, 400, 500 m 등 입력변수값 조합에 따른 총 3,000가지 경우의 수에 대해서 Baalousha (2012) 해석해와 Hunt (2009) 해석해를 각각 적용하고 그 결과의 차이를 Figs. 5~7에 나타내었다.
Fig. 5는 Hunt (2009) 해석해로 산정한 양수 5년 평균 하천수 감소비에서 하폭을 직접적으로 고려한 보다 복잡한 Baalousha (2012) 해석해로 산정한 하천수 감소비의 차이를 하천-관정 이격거리 및 하폭에 따라 나타낸 것이다. Fig. 5(a)와 같이 하폭 W = 100 m인 경우 차이가 0.1 이하로 작은 것을 알 수 있으며, Figs. 5(b)~5(d)와 같이 하폭이 점차 증가할수록 차이가 커진 것을 확인할 수 있다. 하폭이 300, 400 m일 때와 같이 하폭이 큰 경우에는 Hunt (1999) 해석해는 하천-관정 이격거리가 가까울수록 차이가 더욱 크게 발생하고 과다 산정되고 있음을 알 수 있다. Figs. 5(a)~5(d)에서 차이가 0.1 이하로 작았을 때를 살펴보면 하천-관정 이격거리가 대략 하폭의 약 1.0~1.3배이다. 따라서 지하수 관정의 위치가 적어도 하폭만큼 하천에서 떨어져 있어야 하폭 영향을 줄일 수 있고 Hunt (1999) 해석해의 정확도를 담보할 수 있다.
Fig. 6은 Hunt (1999) 및 Baalousha (2012) 해석해로 산정한 양수 1년 및 5년 후의 하천수 감소비의 차이에 대한 box-plot을 하폭 W에 따라 나타낸 것으로 중앙값(median)은 제로에 가까워 평균값의 차이는 거의 없으나 1st percentile, 3rd percentile, 최대, 최소치에서 확인할 수 있듯히 하폭이 클수록 두 해석해 차이의 변동폭이 증가하고 있으며, 양수기간이 5년으로 길어짐에 따라 변동폭이 다소 줄어들었다.
Fig. 7은 하천-관정 이격거리가 하폭보다 큰 경우 (L > W)에 대해서만 box-plot을 도시한 것으로 두 해석해로 산정한 양수 1년 및 5년 후 하천수 감소비의 차이가 크게 줄어들었으며 전반적으로 Hunt (1999) 해석해가 약 0.1 차이내에서 Baalousha (2012) 해석해 보다 작게 산정된 것을 확인할 수 있다. 투수량계수와 저류계수가 커서 (e.g., T = 100 m2/d, S = 0.2~0.3) 수위저하량이 매우 작게 발생하는 경우에 Hunt (1999) 해석해가 상대적으로 작게 산정된 경향을 보였으며 이와 같은 조건을 제외하고는 L > W 인 조건에서는 두 해석해의 차이가 거의 0의 값을 나타내었다.
4. 결 론
본 연구에서는 안성천 상류구간 인접지역에 위치한 17개 지하수 관정에 대해 Baalousha (2012)의 해석해를 이용하여 지하수 양수로 인한 하천수 감소량을 산정하였으며, 그 결과 다음과 같은 결론을 얻을 수 있었다.
1)하천-관정 이격거리가 길고 수리확산계수가 작을수록, 그리고 이 두 가지 변수의 함수인 하천고갈인자(SDF)가 클수록 양수에 따른 하천수 감소의 시간적 반응이 지연되어 나타났으며, 양수기간 5년을 기준으로 SDF가 1,000일보다 큰 경우 하천수량에 미치는 지하수 양수의 영향이 작은 것으로 분석되었다.
2)하천바닥인자(SBF)가 클수록 하천수 감소량이 증가하는 일반적인 양상과는 달리 연구대상지역은 다른 수리학적 인자들의 영향이 더 지배적으로 작용하여 SBF가 커짐에 따라 하천수 감소량이 작아지는 양상을 나타내었다.
3)하천과 대수층의 수리특성이 공간적으로 상이하여 관정 위치별 양수량 대비 하천수 감소량은 양수기간 1년 동안 평균적으로 0.02~0.76, 5년 동안 평균적으로 0.23~0.89로 큰 차이를 나타내었다.
4)분석대상 각각의 관정에 대해 유한하폭에 대한 Baalousha (2012) 해석해 적용 결과와 미소하폭에 대한 Hunt (1999) 해석해 적용 결과를 비교한 결과 결정계수가 0.99로 거의 일치하여 안성천 상류구간 인접지역은 상대적으로 간단한 Hunt (1999) 해석해로 지하수 양수 영향을 파악하는데 충분한 것으로 분석되었다.
5)투수량계수, 저류계수, 하상수리전도도, 하폭, 하천-관정 이격거리 등의 수리특성치 조합에 따른 총 3,000가지 경우의 수에 대해서 Baalousha (2012) 해석해와 Hunt (1999) 해석해로 5년 평균 하천수 감소비를 산정하여 비교한 결과 하천-관정 이격거리가 하폭의 약 1.0~1.3배 이상되어야 두 해석해의 차이가 줄어드는 것으로 분석되었다.
6)Baalousha (2012) 해석해는 하폭이 넓은 하천 주변에서 지하수 양수가 하천의 수량 감소에 미치는 영향을 예측, 평가하는데 효과적으로 활용될 수 있다. 단, 대수층이 균질하고 무한경계조건을 가지며 대수층 규모에 비해 지하수위 저하량이 무시할 정도로 작다는 가정하에 유도되었기에 비균질의 복잡한 수리지질구조를 갖는 대수층-하천 경계치 문제에 대해서는 지하수 또는 지표수-지하수 연계 모델링 등의 정밀한 분석이 필요할 것이다.










