1. 서 론
2. 자 료
2.1 북극진동지수
2.2 장마
2.3 태풍
3. 자기상관 분석
3.1 AOI
3.2 장마와 태풍
4. 교차상관 분석
4.1 북극진동지수와 장마 및 태풍 자료의 교차상관 분석
4.2 AOI와 북태평양에서 발생한 태풍의 개수 및 우리나라에 영향을 준 태풍의 개수
4.3 기간별 교차상관의 변화 분석
5. 결 론
1. 서 론
지구온난화가 가져온 기후변화는 다양한 형태로 목격되고 있다. 특히 홍수 및 가뭄의 증가가 가장 많이 언급된다(Yun et al., 1999; Hirabayashi et al., 2013). 발생 빈도 자체가 증가하기도 했으나 그 심도도 더욱 강해지는 경향이라고 보고되고 있다. 홍수, 가뭄이 과거와는 다른 양상으로 발생하고 있어 그 예측이 점차 어려워지고 있기도 하다(Rind, 1993; Rowntree, 1993). 소위 슈퍼 태풍(super typhoon), 거대 홍수(mega flood) 등도 지구온난화의 결과로 자주 언급되는 주제들이다(Lee et al., 2012).
최근에는 북극진동도 자주 언급되는 주제가 되고 있다. 국내에서는 예년보다 추운 겨울철을 설명하기 위해 처음 언급되었다(Liu et al., 2012). 즉, 북극의 기온이 상승하면 북극을 둘러싸고 있는 제트기류가 약화되어 출렁이게 되고, 이로 인해 차가운 북극의 영향이 남하할 수 있다는 것이다(Honda et al., 2009; Jaiser et al., 2012). 이런 상황에서 일부 지역에서는 아주 차가운 겨울이 일부 지역에는 반대로 아주 따듯한 겨울이 만들어질 가능성이 커진다(Chen et al., 2013; Kim, 2005). 아직 북극진동의 정확한 원인 규명, 예측 및 영향평가 등이 잘 이루어지고 있지는 않지만 그 영향이 특히 고위도 지방에 직접적으로 미치고 있음은 쉽게 이해할 수 있다. 북극진동에 비해 엘니뇨/라니냐와 관련한 연구가 훨씬 많은 것은 엘리뇨/라니냐가 훨씬 더 극단적으로 나타났었기 때문이다(Cai et al., 2014; 2015). 북극진동과 반대로 엘리뇨/라니냐는 적도 부근에서 발생하는 현상으로, 특히 태풍의 발생과 몬순의 거동에 큰 영향을 미치는 것으로 알려지고 있다(Cha et al., 1999; Chu, 2004). 즉, 엘리뇨 해에는 태풍의 발생이 증가한다고 알려져 있으며(Clark and Chu, 2002; Wang and Chan, 2002), 또는 발생지역에서도 차이를 보인다는 연구보고가 있다(Jang and Ha, 2008). 공교롭게도 중위도 지역으로 올라오는 태풍의 수가 엘리뇨 상황에서는 오히려 감소한다는 보고도 있다. 즉, 태풍발생 자체가 증가하는 상황에서 오히려 중위도 지역에 영향을 미치는 태풍의 수는 준다는 것이다(Seol, 2013). 엘리뇨가 몬순의 거동에 영향을 미치고 있다는 보고도 쉽게 찾아볼 수 있다(Chung and Nigam, 1999; Li et al., 2007). 국내에서도 이와 관련한 연구들을 다수 살펴볼 수 있다(Oh, 1996; Seo, 2001). 기존 수문변동과 기후인자를 비교하는 경우 국내의 기후인자들로 수문변동을 해석하고자 하였으나 본 연구에서 사용한 AOI는 광범위하며 AOI와 태풍 및 장마를 분석한 내용은 기존의 AOI와 강수량을 비교하는 논문들과 차별성을 갖는다.
현재 북극진동의 영향이 다소 추상적으로만 알려져 있다는 문제가 있다. 북극진동이라는 현상의 이해에 근거한 추측이 대부분을 차지하고 있다. 사실 최근 지구온난화에 반하는 것처럼 나타난 추운 겨울을 설명하기 위한 도구로 북극진동이 동원됐다고 해도 과언은 아니다. 그러나 현실은 북극진동이 우리나라의 기후 특성에 어떠한 영향을 미치고 있는지를 정확히 파악하지 못하고 있다는 것이다. 국내 연구자들에 수행된 연구들을 살펴보면, 먼저, Choi and Byun (2010)은 7~9월의 북극진동과 북서태평양에서의 태풍활동과의 관련 가능성을 제기한 바 있다. Choi and Kim (2010b)의 연구에서는 우리나라에 상륙 태풍의 빈도와 북극진동(Arctic Oscillation)과의 관련 가능성을 통계학적으로 제시해 주었으며, Gong and Ho (2003)의 연구에서는 AOI와 동아시아 여름 장마 사이의 상관 가능성을 제시해 주기도 하였다. 그러나 아직 북극진동이 우리나라의 기후특성에 구체적으로 어떠한 영향을 미치고 있는지는 정확히 파악하지는 못하고 있는 것이 현실이다.
본 연구는 북극진동이 우리나라에 미치는 영향을 파악해보고자 하는 초보적인 시도로 북극진동과 태풍 및 장마와의 관련성을 조사해 보고자 한다. 북극진동을 정량화한 북극진동지수(Artic Oscillation Index; AOI)와 북태평양에서 발생한 태풍의 개수 및 우리나라에 영향을 준 태풍의 개수, 또한 장마기간 중 총강수량 및 장마기간 중 강수일수와의 상관분석을 시도해 보고자 한다. 이를 통해 북극진동의 영향이 실제 우리나라에 어느 정도 나타나고 있는지를 파악해 볼 수 있을 것이다. 사실 우리나라는 중위도 지역에 위치하여 북극진동만으로 그 기후특성의 변화를 설명한다는 것은 무리일 것이다. 엘리뇨/라니냐의 영향이 우리나라에 미치는 영향이 미미한 것과 같은 이치이다. 결과적으로, 상관계수를 계산한다고 해도 아주 큰 값을 기대하기는 어려울 것이다. 또한 기상현상이 가지고 있는 비정상성으로 인해 북극진동의 영향이 분석기간 전체에 고르게 나타날 것이라고도 생각하기 어렵다. 본 연구에서는 좀 더 유의한 자료 분석을 통해 이러한 문제점들을 어느 정도 회피하면서 유의한 결과가 도출될 수 있도록 시도해 보고자 한다.
2. 자 료
2.1 북극진동지수
북극진동(Arctic Oscillation)은 북극의 찬 공기단의 소용돌이가 수십 일에서 수십 년을 주기로 강약을 되풀이하는 현상을 의미한다. 북극진동은 극관(polar cap) 지역과 중위도 지역 사이에 상반되는 형태의 지표기압 변동이 특징이다. 즉, 극 지역에서 해면기압이 높게 형성되면 중위도에서는 낮아지고, 반대로 극지방에서 해면기압이 낮게 형성되면 중위도에서는 기압이 높게 형성되는 현상이다. 따라서 극지방과 중위도 지역의 해면기압은 서로 반대의 위상을 가지고 진동하고 있다. 북극진동은 대류권과 성층권에서 대기 순환에 영향을 미치며, 북반구의 평균기온, 한파의 강도, 강수량에 영향을 미치고, 북극 해빙의 면적, 시베리아 고기압과 알류샨 저기압에도 영향을 미친다(Hassol, 2004; Bingyi and Jia, 2002; Overland et al., 1999; Rigor et al., 2002; Wu and Wang., 2002). 동아시아 계절풍과 태풍의 진로에도 영향을 미쳐 우리나라 여름철 강수에도 큰 영향을 주는 인자로 이해할 수 있다(Gong and Ho, 2003; Jianhua et al., 2005). 지난 수십 년간의 자료에 의하면 북극진동은 약 10년 정도의 주기로 변동하고 있는 것으로 나타난다(Feldstein, 2002; Thompson et al., 2000).
북극진동은 그 정의상 극지방에 상대적으로 높은 기압과 중위도(약 45°N) 지역에 낮은 기압을 가질 때 ‘음의 편차’를 보이게 되고, 반대의 형태일 경우 ‘양의 편차’를 나타낸다. 양의 편차를 보이는 경우를 ‘온난모드(warm mode)’라 하고, 반대의 경우를 ‘냉각모드(cold mode’라고 한다. 북극진동이 ‘양의 편차(온난모드)’일 때는 중위도의 낮은 기압으로 인하여 해양 폭풍들이 좀 더 북쪽에서 발생하도록 유도된다. 알래스카, 스코틀랜드와 스칸디나비아 반도 등 고위도 지역에 습한 기상조건을 유도하는 순환패턴이 발생하고, 동시에 미대륙 서부지역과 대서양에는 건조한 기상조건이 유도된다. 양의 편차’인 기간은 혹한의 겨울철 기단이 미국 중북부에까지 내려오지 못하며, 이로 인하여 미국 록키산맥 동부는 평상시보다 따뜻한 기상조건이 형성된다. 이와 반대로 그린란드나 뉴펀들랜드에서는 평상시보다 차가운 기상조건이 형성된다. ‘음의 편차(냉각모드)’에서의 기상 패턴들은 일반적으로 양의 편차의 패턴과는 반대의 양상을 보인다.
북극진동지수(Arctic Oscillation Index; AOI)는 북극 상공에 위치한 반영구적인 저기압 중심의 상대적인 강도를 나타낸다. 이 저기압 중심 주변으로 제트기류가 소용돌이를 형성하며 북극 상공을 순환하고 있다. 북극진동지수가 양수인 경우, 즉 소용돌이의 세력이 강화되는 시기에 제트기류는 북극 주변 상공에서 올가미와 같은 역할을 하며 북극의 냉기류를 극지방 주변에 가두어 둔다. 반대로 북극진동지수가 음의 수치를 보이면 북극의 냉기류를 잡아두는 소용돌이의 세력이 약해지며 북극의 냉기류가 북반구 전반에 남하하게 된다.
북극진동지수는 북반구 60도 이상 고위도의 해변기압과 중위도의 해면기압의 차이를 이용하여 계산한다(Thompson and Wallace, 1998). 통상 NCEP/NCAR의 재해석 자료가 이용되며, 월평균을 이용하여 계절주기가 제거된 자료가 이용된다. EOF 분석의 적용을 위한 공분산 행렬을 구하는 과정에서는 동일한 면적가중치를 적용하기 위하여 격자화된 자료에 위도의 코사인 제곱근을 곱해준다. EOF 분석을 통해 대기순환의 주요 원격패턴을 구분하여 확인할 수 있으며, 첫 번째 EOF의 분산 설명력을 가지고 AOI를 정의한다. 북극진동은 겨울철 동안에 가장 큰 분산을 가지기 때문에 AOI는 주로 겨울철의 특성에 영향을 받는다. 최종적으로 구축된 시계열을 지표기간(1979~2000년 기간) 시계열의 분산으로 나누어 표준화된다.
본 연구에서는 Thompson and Wallace (1998)의 정의를 기초로 AOI를 분석하여 관리하고 있는 NCEP (National Center for Environmental Prediction, http://www.cpc.ncep.noaa.gov) 의 자료 중 1961년부터 2016년까지의 월별 AOI를 수집하여 이용하였다. 이 자료기간은 가용한 태풍 및 장마 관련 자료를 고려하여 결정한 것이다. Fig. l은 본 연구에서 사용한 월별 AOI의 시계열 그림을 나타낸다. 이 그림에서 확인할 수 있는 것처럼 AOI는 1970년 중반부터 10여년간 음(-)의 값을 꾸준히 가졌으며, 이후 급격히 상승하여 1990년대에 기록적으로 큰 값을 기록하기도 하였다. 그러나 2000년대에 들어서면서 다시 기록적으로 작은 값을 기록하는 등 불규칙적인 변동특성을 보여주고 있다. 2009년에는 연평균으로 –1.043의 역대 최소값을 기록하기도 하였다.
본 연구에서 사용한 AOI의 기본적인 특성을 정리하면 Table 1과 같다. 전체기간에 대한 평균은 –0.068 표준편차는 1.030으로 나타난다. AOI는 ‘0’을 중심으로 움직이는 지수가 아니며, 음의 편차를 보이는 냉각모드(cold mode, cool phase)가 본래 북극진동의 일반적인 패턴이다. 따라서 4월, 5월을 제외하면 AOI의 평균은 대체로 (-)의 값을 가진다. 추가로 AOI의 평균값에 비해 표준편차가 매우 큼에도 유의할 필요가 있다. 즉, AOI는 0을 기준으로 상하로 진동하는 것이 아닌, (-)의 특정값을 기준으로 상하로 크게 진동하는 형태를 띤다는 점에도 유의할 필요가 있다.
Table 1. Means and standard deviations of monthly AOI used in this study (1961~2016)
| Jan | Feb | Mar | Apr | May | Jun | Jul | Aug | Sep | Oct | Nov | Dec | Annual | |
| Mean | -0.357 | -0.352 | -0.039 | 0.148 | 0.094 | 0.043 | -0.131 | -0.102 | 0.017 | -0.053 | 0.036 | -0.117 | -0.068 |
| STDV | 1.544 | 1.477 | 1.327 | 0.831 | 0.664 | 0.588 | 0.451 | 0.549 | 0.576 | 0.828 | 0.931 | 1.375 | 1.030 |
참고로, 북극진동과 장마 및 한반도에 영향을 준 태풍과의 관련 가능성은 Gong and Ho (2003), Choi and Kim (2011) 등의 연구에서 좀 더 구체적으로 살펴볼 수 있다. 예를 들어, 북극진동지수(AOI)가 봄철에 양의 위상으로 나타날 경우 동아시아 영역에서는 여름철 상층 제트기류가 북쪽으로 이동하게 된다. 이 때문에 양쯔강 유역으로부터 일본까지의 하강류가 강화되고 결과적으로 이 지역에 좀 더 건조한 대기상태가 발생하게 된다. 이는 최종적으로 장마 전선이 북쪽으로 이동하는 것을 막는 역할을 하게 된다(Gong and Ho, 2003). 또한, 북극진동의 위상변화로 기압의 분포가 기존과 달라져 고기압성 아노말리의 중심이 우리나라의 북서쪽에 위치하게 되면 서해안과 남중국해까지 북동류의 성분이 강화된다. 이로 인해 태풍은 필리핀 동쪽해상으로부터 중국 동해안 쪽으로 서편하는 경향을 보인다. 반면에 고기압성 아노말리의 중심이 일본 동쪽 해상에 위치하게 되면 우리나라 및 일본에서 유도된 남서풍이 더 많은 태풍을 우리나라로 접근시키게 된다(Choi and Kim, 2011). 이러한 해석이 항상 가능한 것인지는 사실 명확하지 않다. 그러나 북극진동과 태풍, 장마와의 사이에 역학적 인과관계가 있음을 판단하는 근거가 될 수는 있을 것이다.
이상과 같은 결과는 Fig. 2의 월별 상자그림(box chart)의 비교에서도 확인할 수 있다. 전체적으로 보면 평균의 변화보다는 월별 변동성(분산)의 차이가 크게 나타나고 있음을 확인할 수 있다. 특히, 1월, 2월에 AOI의 변동성이 극대화되는데, 이로 인해 겨울철 기후의 경년변동이 심하게 나타나게 되고, 또한 대륙별로 커다란 차이가 발생하기도 한다. 이에 반해 여름철의 AOI 변동은 겨울철의 절반 이하로 상대적으로 작게 나타나는 특성이 있다.
2.2 장마
장마(Changma)란 단순히 오랜 기간 지속되는 비를 의미하지만 현재 통용되고 있는 장마의 의미는 다음 두 가지로 구분될 수 있다. 첫 번째는 장기간 지속되는 비를 의미하는 것으로 일반적으로 널리 사용되는 장마의 개념이다. 반면, 두 번째는 기상학적 개념으로, 장마전선에 의해 내리는 비를 의미한다(Ryoo, 2001). 장마는 우리나라의 주요 강수시기로, 동아시아 몬순 (East Asian monsoon) 시스템의 일부이다. 여름철 우리나라를 포함하는 동아시아 지역은 남쪽의 온난습윤한 열대성 기단과 북쪽의 한랭습윤한 한대성 기단이 만나서 형성되는 정체전선의 영향을 받는다. 전선이 걸쳐 있는 지역에는 강한 남서풍에 따른 습윤한 공기의 유입량이 증가하고 장기간 동안 많은 양의 비가 내리며 이러한 현상을 기상학적으로 장마라 일컫는다. 기상청에서 제공하는 장마기간 중 강수일수 및 장마기간 중 총강수량 등의 자료는 기상학적인 관점에 따라 장마의 시점 및 종점을 분류하고 난 후 수집한 자료이다.
본 연구에서 사용한 장마기간 중 총강수량과 장마기간 중 강수일수 자료는 기상청의 기상자료개방포털(https://data. kma.go.kr/)에서 획득하였다. 한반도에서의 장마의 시점은 장마전선이 만들어지고 제주지방에 비가 오는 시점을 말하고, 종점은 중부지방에 비가 그치는 시점으로 정의된다. 기상청에서는 ASOS 지점별 강우를 모아 장마기간 중 강수량 값을 만들며, 본 연구에서도 이 자료를 사용하였다. 강수일수는 제주지방, 남부지방, 중부지방에서 각각 측정되며 비가 오는 시점부터 비가 그치는 시점을 일수로 나타낸 후 이를 평균하여 결정한다. 따라서 강수일수는 모든 지역에서 동일하게 나타난다. 본 연구에서는 기록이 가용한 1961년부터 2016년간 총 56년간의 자료를 분석하였다. 강수일수의 평균은 17.2일 표준편차는 4.9일로, 변동계수는 0.28 정도로 크지 않게 나타난다. 가용 기록 중 최저 강수일수는 4.5일, 최대 강수일수는 27.9일로 나타난다. 반면에, 총강수량의 평균은 345.5 mm이며 표준편차는 135.6 mm로 변동계수는 0.39로 강수일수의 변동계수보다 크게 나타난다, 이는 기본적으로 강수일수가 긴 경우에 강우강도도 더 크게 나타남을 나타내는 결과로 이해할 수 있다. 즉, 강수일수가 작아지면 강수량은 그보다 더 큰 폭으로 작아지는 경향이 있다. 가용 기록 중 최저 강수량은 699.1 mm, 최대 강수량은 71.9 mm로 나타난다. 장마와 관련한 이 두 자료는 장마기간만을 고려했으므로 정규분포를 따르고 있는 것으로 파악된다. 따라서 이하의 분석에서도 추가의 자료변환 없이 원자료를 그대로 이용하였다.
이들 자료의 시계열 도표는 Fig. 3과 같다. 전체적으로 보면 장마기간 중 총강수량과 장마기간 중 강수일수 시계열을 그 경향이 거의 일치하는 것으로 보이며, 실제 상관계수도 0.85 정도로 크게 나타난다.
2.3 태풍
저위도 지방의 따뜻한 공기가 바다로부터 수증기를 공급받으면서 강한 바람과 많은 비를 동반하며 고위도로 이동하는 열대성 저기압 현상을 태풍이라 한다. 발생하는 지역에 따라 태풍은 사이클론, 허리케인 등의 다른 이름으로도 불린다. 태풍은 저위도 지역과 고위도 지역사이의 열에너지 불균형을 해소하기 위해 발생한다. 기본적으로 태풍은 지구 자전에 의한 전향력에 의해 수증기가 한데 뭉치면서 형성된다. 이때 필요한 전향력을 얻기 위해 적도가 아닌 위도 ±5°이상의 바다 위에서 발생하는 것이 일반적이다.
태풍 활동에 대한 정보는 국가태풍센터(National Typhoon Center, http://typ.kma.go.kr/)에서 획득할 수 있다. 국가태풍센터에서는 연도별로 발생한 태풍의 개수와 우리나라에 영향을 준 태풍에 대한 정보를 분류하여 제공하고 있다. 본 연구에서는 1961년부터 2016년까지의 태풍 정보를 이용하였다. 전체적으로 보면 북태평양에서 발생한 태풍 개수의 평균은 26.4개이고, 표준편차는 4.92이다. 태풍발생이 최대로 많았던 경우는 1967년의 39개이다. 가장 적었던 해는 2010년의 14개이다. 우리나라에 영향을 준 태풍의 개수는 평균적으로 3.16개이고, 표준편차는 1.39로 나타난다. 태풍발생이 최대로 많았던 경우는 1984년의 6개이다. 1988년과 2009년에는 우리나라에 영향을 준 태풍이 없었다. 태풍과 관련한 이 두 자료의 경우도 장마와 마찬가지로 전체적으로 정규분포를 따르고 있는 것으로 파악된다. 따라서 이하의 분석에서도 추가의 자료변환 없이 원자료를 그대로 이용하였다.
북태평양에서 발생한 태풍의 개수 및 우리나라에 영향을 준 태풍의 개수를 시계열 그림으로 그린 것이 Fig. 4이다. 장마의 경우와는 달리 북태평양에서 발생한 태풍의 개수와 우리나라에 영향을 준 태풍의 개수 사이에는 상관이 거의 없는 것으로 나타난다. 실제 상관계수도 0.17 정도로 낮게 나타났다.
3. 자기상관 분석
3.1 AOI
3.1.1 평균 및 계절 AOI 자료의 구축
장마기간 중 총강수량과 장마기간 중 강수일수에 미치는 북극진동의 영향은 월 단위 정도로 나타날 수도 있고 또는 보다 장기간 동안 축적된 결과로 나타날 수도 있다. 이에 본 연구에서는 먼저 총 4가지의 평균(3, 5, 7, 9개월) AOI 자료를 구축하였다. 이들 평균 자료는 모두 1월을 중심으로 양쪽의 자료를 동수로 고려하여 만든 자료이다. 1월을 중심으로 고려한 이유는 1월의 AOI 값이 가장 작으며 또한 북반구에 미치는 북극진동의 영향도 겨울철이 주도하고 있기 때문이다(Dickson et al., 2000). 평균의 길이를 9개월까지로 한 이유는 장마의 발생 기간을 제외하여 고려하기 위함이다. Fig. 5는 3, 5, 7, 9개월의 평균 AOI 자료를 시계열로 비교한 것이다.
그림에서 확인할 수 있는 것처럼 평균 길이의 증가로 좀 더 변동성이 작은 자료가 만들어지고 있기는 하다. 그러나 그 영향이 아주 뚜렷하게 나타나는 것은 아닌 것으로 판단된다. 특히, 평균 길이가 길어짐에 따라 봄, 가을 및 여름까지의 영향이 반영되게 되는데, 그럼에도 불구하고 전체적인 모양이 크게 변하지 않는 것은 겨울철 북극진동의 영향이 우월하다는 것을 의미하는 것이기도 하다. 결과적으로 3개월 평균(즉, 겨울철만을 대변하는 평균)이 북극진동의 영향을 고려하는데 유리할 것이라는 추측을 해 볼 수 있다. 평균 AOI에서 살펴볼 수 있는 가장 큰 특징은 1970년대에서 1990년대까지는 좀 더 장주기적인 경향을 보이고 있으나 이후에 변동성이 급격히 증가하여 전혀 다른 모습을 보인다는 것일 것이다.
본 연구에서는 추가로 봄, 여름, 가을, 겨울을 대표하는 계절 AOI 자료를 구축하였다. 이들 계절 AOI 자료는 3개월 평균을 적용한 것과 같으며, 따라서 겨울을 대표하는 AOI 자료는 위에서 구축한 1월을 중심으로 한 3개월 평균 AOI 자료와 동일하다. Fig. 6은 봄, 여름, 가을, 겨울의 사계절 AOI 자료를 시계열로 비교한 것이다. 이들 4개의 시계열을 비교하면 단연 겨울철 AOI 시계열이 다른 계절에 비해 두드러지게 나타남을 확인할 수 있다. 봄, 여름, 가을 AOI 시계열 모두 어떤 경향이나 추세 없이 마치 백색잡음처럼 거동하는 모습을 보인다. 아주 크거나 작은 값들도 나타나지 않아 태풍이나 장마와의 관계분석에서 큰 영향을 미칠 것으로 판단되지는 않는다. 겨울철 AOI 시계열은 앞서 살펴본 것과 같다. 참고로, 위에서 구축한 1월을 중심으로 한 4가지 평균 자료와 계절 AOI자료의 기본 특성은 Table 2에 정리하였다.
Table 2. Means and standard deviations of average and seasonal AOI data
| AOI (3) | AOI (5) | AOI (7) | AOI (9) | AOI (DJF) | AOI (MAM) | AOI (JJA) | AOI (SON) | |
| Mean | -0.2879 | -0.1733 | -0.1083 | -0.0742 | -0.2879 | 0.0678 | -0.0631 | -0.0004 |
| STDV | 1.2555 | 0.7452 | 0.4394 | 0.2928 | 1.2555 | 0.4140 | 0.1177 | 0.2531 |
3.1.2 AOI 자료의 자기상관 특성
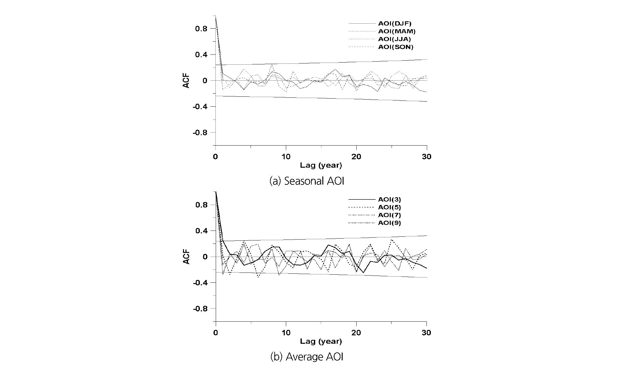
어떤 시계열이 주기성 또는 경향성을 가지는 지를 판단하는데 자기상관도(autocorrelogram)를 이용한다. 자기상관도는 주어진 지체시간에 대한 자기상관계수를 표시한 도표로 시계열 분석에서 기본적으로 사용하는 정보이기도 하다. 본 연구에서도 월 단위 AOI 자료 및 평균 AOI, 계절 AOI에 대해 자기상관도를 유도하고 분석하였다.
먼저 월 단위 AOI 자료의 자기상관도는 Fig. 7과 같다. 이 그림에는 추가로 12개월 이동평균에 대한 자기상관도를 함께 도시하였다. 참고로, 이 12개월 이동평균 자료는 다음에 분석하게 될 1월을 중심으로 한 평균 자료와 다르다는 점을 기억할 필요가 있다.
Fig. 7에서 살펴볼 수 있는 가장 큰 특징은 12개월의 주기성이 매우 약하게 보인다는 점이다. 겨울철에 상대적으로 음(-)의 큰 값이 만들어 짐에도 불구하고 주기성으로 크게 연결되지는 않는다. 매우 불규칙하다는 의미이다. 1개월 지체(lag-1) 자기상관계수도 0.24로 매우 작게 나타난다. 기본적으로 백색잡음은 아니나 선형성에 기초한 상관계수로는 AOI에 나타난 주기적인 특성이나 자기상관특성을 잡아내기 어렵다는 점을 의미한다. 12개월 이동평균 AOI는 상대적으로 부드러운 거동을 보인다. 1개월 지체 상관계수도 당연히 큰 값(0.78)을 보이며, 특이하게도 36개월 정도의 주기성이 유의하게 나타난다. 이 36개월의 주기성은 월 단위 AOI 자료가 가지는 약한 주기성이 12개월 이동평균에 따라 증폭되어 나타난 것이다.
4개의 1월을 중심으로 한 평균 AOI 자료와 계절 AOI 자료에 대한 자기상관도는 Fig. 8에 비교하였다. 앞에서 분석한 AOI 자료와는 달리 이들 자료는 연 단위로 구성되어 있다는 점을 기억할 필요가 있다. 전체적으로 보면 평균 AOI 자료나 계절 AOI 자료 모두 유의한 자기상관계수는 보여주고 있지 못하다. 무작위로 움직이고 있다는 것을 확인할 수 있다.
3.2 장마와 태풍
장마기간 중 총강수량과 장마기간 중 강수일수에 대한 자기상관도는 Fig. 9와 같다. 이 그림에서 볼 수 있는 것처럼 장마 특성과 관련해서는 어떤 유효한 자기상관 구조도 살펴보기 어렵다. 이러한 특성은 Fig. 10에서 볼 수 있듯이 태풍의 경우도 마찬가지이다. 기본적으로 50년 정도의 기간은 장마 및 태풍의 경년변화(interannual variation)를 살펴보는데 충분한 기간은 아닌 것으로 판단된다. 그러나 이러한 특성은 가뭄의 거동이나 태풍의 발생이 완전히 독립적이라는 의미는 아니다. 다른 현상에 의해 강하게 지배받고 있는 경우라도 이러한 자기상관 특성을 보이는 것은 가능하다.
4. 교차상관 분석
4.1 북극진동지수와 장마 및 태풍 자료의 교차상관 분석
본 연구에서는 AOI와 장마 특성과의 선후관계를 따져보기 위해 교차상관도(cross correlogram)를 유도하여 검토하였다. 교차상관도를 유도하는데 Eq. (1)을 이용하였다.
위 식에서 n은 자료 수를, k는 지체시간을 의미한다. 추가로 위 식에서는 x가 선행, y가 후행으로 고려되었음에 주의하여야 한다. 따라서 양의 선행시간에 유의한 상관계수가 계산되는 경우에는 가정한 선후관계가 그대로 성립하는 것이 되나, 음의 선행시간에 유의한 상관계수가 계산되는 경우에는 가정한 것과는 반대의 선후관계가 있음을 나타내는 것이다. 본 연구에서는 AOI 자료를 선행으로 고려하였다.
먼저, 계절 AOI 자료와 장마기간 중 총강수량과의 교차상관도를 검토하였다(Fig. 11(a)). 여기서의 분석은 특정 계절의 북극진동이 장마기간 중 총강수량에 영향을 주고 있는지를 파악하는 것이 목적이다. 이를 위해 교차상관계수의 신뢰구간을 함께 표시하여 유의성을 판단할 수 있도록 하였다. 그림에서 살펴볼 수 있는 것처럼 유의한 상관계수는 지체시간이 0인 경우에 겨울철(DJF)과 여름철(JJA) AOI 자료에서만 나타나는 것으로 확인되었다. 겨울철의 AOI는 장마기간과 대략 6개월의 차이가 있으며, 여름철의 AOI는 장마기간과 일치한다. 즉, 장마기간 중 총강수량은 겨울철의 북극진동에 영향을 받으며, 동시에 여름철의 북극진동에도 유사한 수준으로 영향받고 있음을 확인할 수 있다. 굳이 비교하자면 겨울철 북극진동의 영향이 여름철 북극진동보다는 약간 더 크게 나타난다. 그러나 교차상관계수는 0.3 정도로 그리 크지 않아 일관된 경향을 결론하기에는 미흡한 수준으로 판단할 수 있다. 지체시간 –2년에도 유의한 교차상관계수가 계산되기는 하였으나 이는 장마기간 중 총강수량이 오히려 겨울철 AOI에 영향을 준다는 결과이므로 물리적이지 못하다고 판단하였다.
다음으로 3, 5, 7, 9개월의 평균과 장마기간 중 총강수량과의 교차상관도를 검토하였다(Fig. 11(b)). 그림에서 살펴볼 수 있는 것처럼 전체적으로 교차상관계수는 그리 크지 않게 계산되었다. 예상한 것과 같이 지체시간이 0인 경우에 가장 큰 상관계수가 계산되었으며, 그 값은 위의 경우와 유사하게 대략 0.3 정도로 나타났다. 평균 길이에 따른 영향도 적어 고려한 4가지 경우 모두 유사한 상관계수를 나타내었다.
계절 AOI 자료와 장마기간 중 강수일수와의 교차상관도에서도 유사한 경향을 보여주었다(Fig. 12(a)). 그러나 유의한 상관계수는 지체시간이 0인 경우에 겨울철(DJF)에서만 나타나는 차이가 있다. 즉, 장마기간 중 강수일수는 겨울철의 북극진동에 영향을 받으며, 여름철의 북극진동에는 유의한 영향을 받고 있지 않은 것으로 나타난다. 교차상관계수도 앞의 경우와 유사하게 0.3 정도로 그리 크지 않게 나타나고 있다. 역시 앞의 경우와 유사하게, 지체시간 –2년에도 유의한 교차상관계수가 계산되기는 하였으나 이는 물리적이지 못하다고 판단하였다. 3, 5, 7, 9개월의 평균과 장마기간 중 강수일수의 교차상관도를 검토한 결과도 앞의 경우와 유사한 것으로 나타났다(Fig. 12(b)).
4.2 AOI와 북태평양에서 발생한 태풍의 개수 및 우리나라에 영향을 준 태풍의 개수
앞에서의 분석과 동일하게 1961년부터 2016년까지 북태평양에서 발생한 태풍의 개수 및 우리나라에 영향을 준 태풍의 개수를 계절 AOI 자료(Fig. 13(a))와 평균 AOI 자료(Fig. 13 (b))와 비교하였다. 먼저 북태평양에서 발생한 태풍의 개수는 AOI와 크게 상관이 없는 것으로 나타났다. 겨울철 AOI의 영향도 미미한 것으로 나타났다. 태풍의 발생자체가 적도 부근에서의 현상이므로 북극의 영향이 크게 발휘되기는 어려운 것으로 판단된다. Fig. 14를 보면 이러한 결과는 우리나라에 영향을 준 태풍 개수의 분석에서도 유사하게 나타났다. 약한 상관을 보여주는 경우가 있기는 하였으나 지체시간이 1년 또는 2년 이상으로 나타나 물리적으로 그 관련성을 부여하기에는 어려운 수준으로 판단하였다. 결과적으로 북극진동이 태풍의 발생 또는 그 거동에 미치는 영향은 평균적인 측면에서는 미미한 것으로 나타난다.
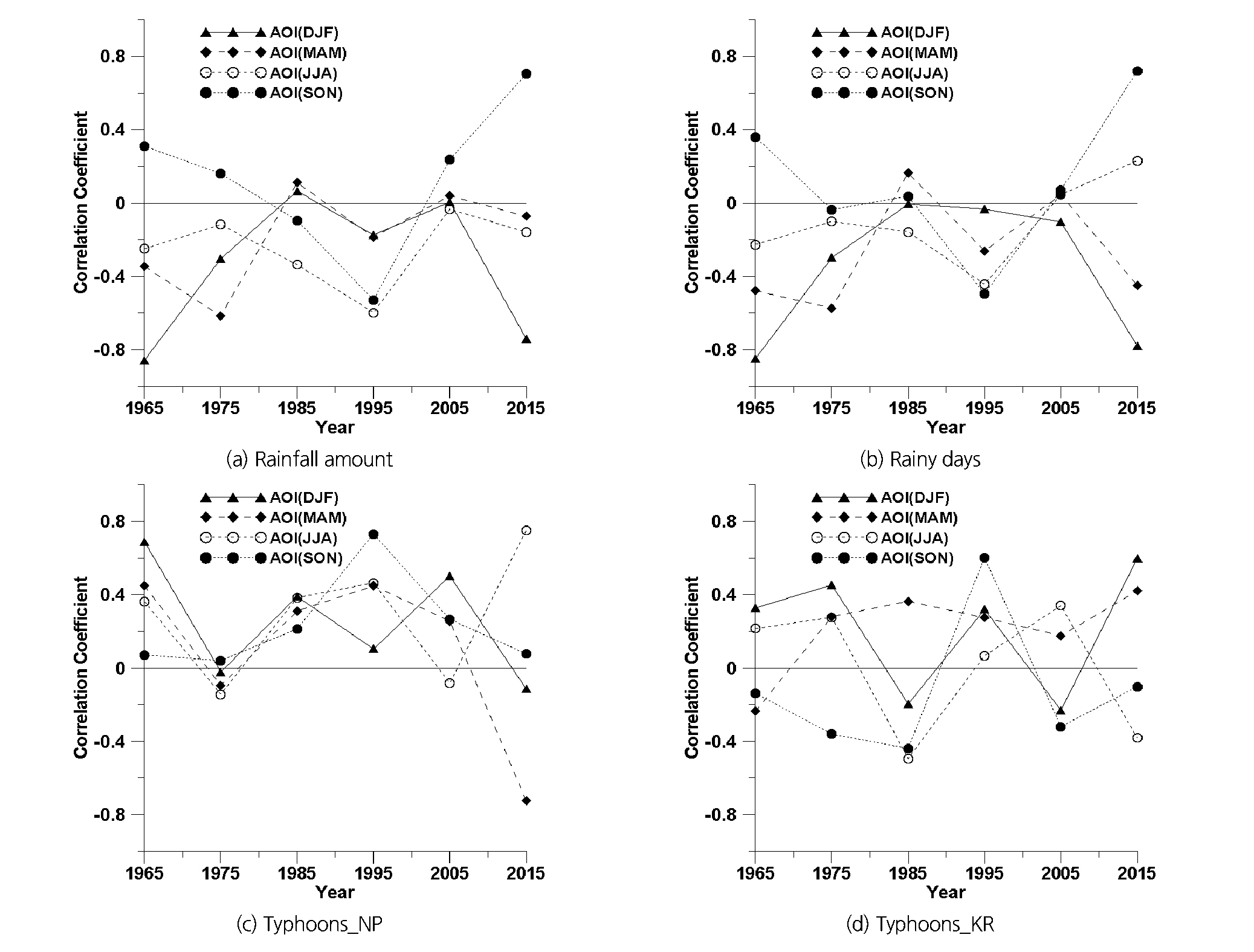
4.3 기간별 교차상관의 변화 분석
앞선 분석에서는 AOI와 장마 및 태풍 발생간의 뚜렷한 상관 경향을 확인하기 어려웠다. 유의한 교차상관계수가 유도되기는 했으나 겨우 유의수준을 초과하는 정도로 확인되었다. 이에 본 연구에서는 자료기간을 10년 단위로 분할하고, 두 자료 사이의 상관계수를 다시 계산하였다. 10년 단위로 자료를 분할한 이유는 AOI가 대략 10년의 주기로 움직인다는 기존의 보고를 참고한 결과이다(Ahn and Kim, 2005). 그러나 10년의 주기가 명확하게 지켜지는 것은 아니며 또한 10년의 기간을 어떻게 구분해야 하느냐도 모호한 점이 있어, 본 연구에서는 분석하고 있는 자료를 시점부터 각각 10년씩 분할하였다. 결과적으로 마지막 구간은 2011-2016년의 6개년 자료로 한정되었다. 또한, 자료가 각 10개년이어서 상관계수의 산정에 고려되는 자료의 수가 작다는 점을 결과의 해석에 반영할 필요가 있다. 단순하게 계산하면 0.6 정도 이상의 상관계수만이 통계적으로 유의하게 판단된다.
먼저, 평균 AOI와 장마특성과의 상관계수를 계산하였다(Fig. 15(a) and 15(b)). 이 그림에서 살펴볼 수 있는 것처럼 AOI와 장마기간 중 총강수량, 장마기간 중 강수일수간에 계산된 상관계수의 경향은 놀라운 모습을 보여준다. 먼저, 두 경우 모두 60년대에 강한 음(-)의 상관을 보이다가, 1970, 1980, 1990, 2000년대에는 유의한 상관관계가 사라졌다가, 다시 2010년대에 강한 음(-)의 상관을 보인다. 자료수가 적기는 하지만 0.8 이상의 상관계수는 두 자료 사이의 강한 상관을 증명하는데 충분한 수준이다. 이렇게 상관특성이 시간적으로 크게 변화하고 있으므로 전체기간의 분석에서 유의한 상관계수를 확인하기 어려운 것은 일면 당연한 일일 것이다. 그러나 이런 비선형적인 거동의 원인은 현재 상태에서 정확히 설명하기는 어렵다.
평균 AOI와 태풍 발생 개수와의 상관특성은 장마와의 상관특성과는 크게 다른 것으로 나타났다. Fig. 15(c) and 15(d)에서 확인할 수 있는 것처럼 상관특성이 크게 변동하고 있는 것은 동일하다. 그러나 장마특성과의 상관특성과는 크게 다른 몇 가지 특성을 확인할 수 있다. 먼저, 10년 단위의 변동이 눈에 띈다. 즉, 10년 단위로 양(+)과 음(-)의 상관이 교차하는 명확한 특성을 보인다. 두 번째는 북태평양에서 발생한 태풍의 개수와 우리나라에 영향을 준 태풍의 개수는 AOI와 상관특성이 정 반대라는 점이다. 즉, 북태평양에서 발생한 태풍의 개수는 평균 AOI와 1960, 1980, 2000년에는 큰 양의 상관을 보이나 우리나라에 영향을 준 태풍의 개수는 1970, 1990, 2010년대에 큰 양의 상관을 보인다. 즉, 북태평양에서 발생한 태풍의 개수와 우리나라에 영향을 준 태풍의 개수는 서로 역 상관이거나 상관이 없을 가능성이 크다. 이러한 특성은 사실 몇몇 연구에서 발표된 적인 있는 사실이다(Park et al., 2006; Oh et al., 2007).
우리나라를 중심으로 두 결과를 종합해 보면 1960년대에서 2000년대까지 평균 AOI와 장마 및 태풍에의 영향은 서로 교차하는 형태로 나타났다. 즉, 장마에의 영향이 큰 경우 태풍의 영향이 감소하였고, 반대로 장마에 영향이 감소하면 태풍의 영향이 증가하였다. 이러한 패턴이 정상적인 것인지 또는 단지 최근 50년간 보인 패턴에 불과한 것인지는 정확히 알 수 없다. 그러나 특이하게도 2010년대에 들어서면서 장마의 영향은 AOI와 강한 음의 상관관계를 보였고 태풍의 영향은 강한 양의 상관관계를 보인다는 점에 주목해야 한다. 이는 최근 장마와 태풍으로 인한 수재해의 위험성이 급격히 증가하고 있다고 판단할 수 있는 근거가 될 수 있기 때문이다.
아래의 계절 AOI의 분석에서도 흥미로운 결과를 보여준다. 앞의 전체기간에 대한 분석에서는 겨울철 AOI를 제외한 나머지 계절의 영향은 미미한 것으로 나타났다. 그러나 10년 단위로 구분한 분석에서는 매우 다른 특성의 결과를 보여주고 있다(Fig. 16). 먼저, 장마특성과의 계절 AOI와의 교차상관계수가 1960년대와 2010년대에 유사한 경향으로 나타난다는 점이다. 즉, 겨울철 AOI와는 음(-)의 강한 상관, 봄, 여름 AOI와는 유의하지 않은 약한 상관, 그리고 가을 AOI와는 강한 양(+)의 상관이 그것이다. 이러한 경향성은 1970, 1980. 1990년대 및 2000년대에는 나타나지 않는다. 태풍 발생과 관련해서는 계절 AOI의 영향이 무작위로 나타난 어떠한 뚜렷한 경향을 파악하는 것은 어려웠다. 결과적으로 우리나라에 미치는 계절 AOI의 영향은 주로 장마와 관련 있는 것으로 확인되었다. 특히 겨울철 AOI의 영향이 두드러진다고 판단할 수 있다.
5. 결 론
본 연구는 북극진동이 우리나라에 미치는 영향을 파악해보고자 하는 초보적인 시도로 북극진동과 태풍 및 장마와의 관련성을 조사해 보았다. 이를 위해 북극진동지수(AOI)와 북태평양에서 발생한 태풍의 개수 및 우리나라에 영향을 준 태풍의 개수, 또한 장마기간 중 총강수량 및 장마기간 중 강수일수와의 상관분석을 시도해 보았다. 본 연구에서는 AOI 및 태풍, 장마 자료의 가용성을 고려하여 1961년에서 2016년 사이의 자료를 이용하였다. AOI 자료는 월 단위 형태로 존재하나 교차상관 분석에는 1월을 중심으로 한 평균 자료와 봄, 여름, 가을, 겨울의 계절자료를 이용하였다. 장마 특성 및 태풍 특성자료는 모두 연 단위자료이다. 따라서 AOI의 영향을 파악하기 위한 교차상관 분석은 모두 연 단위로 수행되었다.
본 연구에서의 결과를 정리하면 다음과 같다. 첫째, 월 단위 AOI 자료는 겨울철에 상대적으로 음(-)의 큰 값이 만들어 짐에도 불구하고 주기성으로 연결되지는 않음을 파악하였다. 1개월 지체(lag-1) 자기상관계수도 0,24로 매우 작게 나타났다. 특이하게도 12개월 이동평균 자료는 36개월의 주기성을 뚜렷하게 보여주었다. 이 36개월의 주기성은 월 단위 AOI 자료가 가지는 약한 주기성이 12개월 이동평균에 따라 증폭되어 나타난 것이다. 그러나 평균 AOI 자료와 계절 AOI 자료는 모두 유의한 자기상관 특성이 없는 것으로 파악되었다. 장마 및 태풍의 특성 자료에서도 유의한 자기상관특성은 없는 것으로 나타났다.
둘째, 계절 AOI 자료, 평균 AOI 자료와 장마기간 중 총강수량과의 교차상관 분석에서는 특히 겨울철(DJF) AOI 자료에 대해 지체시간이 0인 경우에 나타나는 것으로 확인되었다. 여름철 AOI 자료에서도 유의한 교차상관계수를 보여주기는 하였으나 겨울철보다는 약간 작은 것으로 나타났다. 결과적으로 장마기간 중 총강수량은 겨울철의 북극진동에 영향을 받고 있음을 확인할 수 있었다. 교차상관계수는 대략 0.3 정도로 나타났으며, 평균 길이에 따른 영향은 미미한 것으로 나타났다. 계절 AOI 자료, 평균 AOI 자료와 장마기간 중 강수일수와의 교차상관계수는 장마기간 중 총강수량 자료와의 교차상관계수와 유사한 것으로 나타났는데, 이는 장마기간 중의 총강수량과 강수일수가 0.8 이상의 높은 상관을 모임에 따른 당연할 결과로 이해할 수 있다. 그러나 계절 및 평균 AOI 자료와 북태평양에서 발생한 태풍의 개수, 우리나라에 영향을 준 태풍의 개수와의 교차상관계수는 모두 통계학적으로 유의하지 않은 것으로 나타났다.
셋째, 10년 단위로 구분하여 추정한 교차상관계수는 전체 자료를 대상으로 한 교차상관계수와는 크게 다른 것으로 나타났다. 즉, 기간에 따라 아주 큰 교차상관계수가 계산되기도 하였고, 반대로 0에 가까운 무의미한 값이 계산되기도 하였다. 예를 들어 평균 AOI와 장마기간 중 총강수량, 장마기간 중 강수일수 사이에 계산된 상관계수는 모두 60년대에 강한 음(-)의 상관을 보이다가, 1970, 1980, 1990, 2000년대에는 유의한 상관관계가 사라졌다가, 다시 2010년대에 강한 음(-)의 상관을 보여주었다. 자료 수가 적기는 하지만 0.8 이상의 큰 교차상관계수를 보여주고 있어 두 자료 사이의 강한상관을 증명하는데 충분한 수준으로 판단되었다.
넷째, 평균 AOI와 태풍 발생 개수와의 상관특성은 장마와의 상관특성과는 크게 다른 것으로 나타났다. 전체적으로, 10년 단위로 양(+)과 음(-)의 상관이 교차하는 명확한 특성을 보여주었고, 또한 북태평양에서 발생한 태풍의 개수와 우리나라에 영향을 준 태풍의 개수는 평균 AOI와 상관특성이 정반대인 것으로 나타났다. 즉, 북태평양에서 발생한 태풍의 개수는 평균 AOI와 1960, 1980, 2000년에는 큰 양의 상관을 보이나 우리나라에 영향을 준 태풍의 개수는 1970, 1990, 2010년대에 큰 양의 상관을 보여주었다. 계절 AOI와 장마 및 태풍 특성과의 교차상관 분석에서도 평균 AOI 자료의 분석에서와 유사한 결과를 확인할 수 있었다.
이상의 결과를 종합해 보면, 북극진동은 우리나라의 장마 특성에 약한 수준이나 유의하게 영향을 미치고 있음을 확인할 수 있다. 그러나 그 정도는 전체기간에 대해 일정하지 않으며 시기에 따라 크게 다른 것으로 나타난다. 즉, 최근 10년간 북극진동이 장마에 미친 영향은 교차상관계수로 0.8 이상이다. 그러나 그 전 30년간은 통계학적으로 유의한 영향은 없었다. 이와는 반대로 북극진동이 우리나라에 영향을 준 태풍의 개수에 미치는 영향은 전체적으로는 유의하지 않은 것으로 나타난다. 공교롭게도 부분적으로 보면 이 역시 기간에 따라 유의한 영향과 유의하지 않은 영향이 반복적으로 교차하는 모습을 보인다. 즉, 기간에 따라 북극진동의 영향은 비정상적으로 크게 변동하는 모습을 보인다.
추가로, 북극진동이 우리나라의 장마와 태풍에 미치는 영향이 과거 서로 교차되는 특성을 보여 왔다는 점을 강조할 필요가 있다. 즉, 1960년대에서 2000년대까지 평균 AOI와 장마 및 태풍에의 영향은 서로 교차하여, 장마에의 영향이 큰 해에는 태풍에의 영향이 감소하였고, 반대로 장마에의 영향이 작은 해에는 태풍에의 영향이 증가하는 모습을 보여주었다. 그러나 공교롭게도 2010년대에 들어서면서 장마의 영향과 태풍의 영향이 둘 다 증가하는 형태로 나타나고 있다는 데 문제의 심각성이 있다. 이는 최근 장마와 태풍으로 인한 수재해의 위험성이 급격히 증가하고 있다고 판단할 수 있는 근거가 될 수 있기 때문이다. 그러나 이러한 결과는 단지 50여 년의 자료분석을 통해 유추된 것이며, 따라서 단정 지을 수 있는 것은 물론 아니다. 그러나 분명 관심을 가지고 관찰하여야 할 현상임은 분명해 보인다.


















