1. 서 론
2. 연구지역 및 자료
2.1 연구지역
2.2 분석자료
3. 방법론
3.1 토양 내 강수저류율(stored precipitation fraction FP (f))
4. 결 과
4.1 저장 강수율의 시공간적 특성
4.2 경사에 따른 저장 강수율 평가
4.3 토양 특성에 따른 저장 강수율 평가
5. 결 론
1. 서 론
토양의 수분양은 물, 에너지 및 탄소의 순환을 제어하는 핵심적인 요소 중 하나로 대기와 육지의 상호작용에 중요한 역할을 한다(O and Orth, 2021; Daly and Porporato, 2005). 대기와 육지 사이의 에너지 교류로 인해 발생되는 기상 및 수문학적 요소의 변화는 토양수분의 시공간적 변화 양상에 따라 큰 변동성을 가지고 있다. 이러한 변화는 폭염, 혹한과 같은 극한 기후에 영향을 미칠 뿐 아니라 가뭄, 홍수와 같은 수재해 발생의 빈도와 지속성에 영향을 미치기도 한다(Lorenz et al., 2010; Mueller and Seneviratne, 2012). 특히, 수문학적 관점에서 토양수분은 강수를 유출과 침투로 분할하는 것을 제어하는 핵심적인 역할을 수행하며 강수-유출 관계를 물리적으로 규명하기 위한 해결책을 제시해준다. 따라서 유역에서의 수문학적 모델링에 있어 토양수분은 중요한 변수로 활용되고 있으며, 지난 수십 년간 수문학자들은 시공간적으로 토양수분의 특정 변동성에 초점을 맞춰왔다(Aubert et al., 2003; Brown et al., 2013).
수문학에서 가장 근본적인 과제는 전 지구적인 물의 배분(물수지)과 순환의 속도를 정량화 하는 것이다. 지표 및 토양층에 물이 체류하는 시간(residence time)은 물수지를 정량화하기 위해 필수적으로 산정되어야 하며, 일반적으로 특정 저장소에 물이 들어오고 나갈 때 까지 평균적으로 소요되는 시간으로 측정된다. 유사한 관점에서 이는 토양수분 메모리(memory)의 개념으로 해석될 수 있으며, 저장소가 양수 또는 음수의 변칙(anomaly)을 해소하는 데 걸리는 시간을 측정함으로써 추정된다.
강수가 토양수분의 형태로 체류하는 시간은 토양수분의 지연과 상관관계를 추측하여 계산하거나 장기간의 관측 자료로부터 토양수분 메모리의 시간 척도를 명시적으로 추정하여 정량화하는 경우가 많다. 이전의 많은 연구자들은 현장 측정 기반의 지점 규모 관측치를 사용하여 연구를 수행했으나 현장 측정 자료 기반 추정기법은 관측 지점이 충분하지 않고 불균일할 경우 연구지역 내 이질적 환경을 고려할 수 없고 넓은 규모에 적용하는 데 제한적이다. 위성 및 모델 기반 공간자료는 이러한 한계점을 극복하기 위한 대안으로써, 공간적으로 누락되는 관측 자료의 단점을 보완하고 시공간적으로 연속적인 자료를 제공할 수 있어 토양수분의 체류시간을 분석하는 데에 제한적으로 사용되고 있다.
McColl et al. (2017)에서는 토양수분 메모리를 특징짓기 위해 강수 사건에 따라 토양수분의 증가를 추적하여 저장 강수율()이라는 새로운 측정 지표를 제안하였다. 토양수분 메모리는 토양수분의 증가량, 총 강수량, 표본 추출 깊이 및 데이터 샘플링 빈도의 합을 기반으로 1/f일 후에 토양에 도달한 강수량이 해당 토양층에 남아있는 평균 비율로 정의되었다. 토양수분 메모리에 대한 다양한 해석을 위하여 Kim and Lakshmi (2019)는 다양한 위성 및 모델자료를 활용하였으며, 전 지구적 규모에서 저장 강수율의 샘플링 주기에 대한 변화 및 식생의 조건에 따른 변동성을 분석하여 토양수분 메모리의 전반적인 공간적 추세를 파악하고 건조/습한 환경, 식생의 조건이 지표수를 유지하는 데 기여하는 것을 밝혀냈다. 또한 Martínez-Fernández et al. (2021)에서는 현장자료를 기반으로 토양특성(토성, 용적밀도, 유기물 함량)과 저장 강수율의 관계를 토양 깊이의 상호 작용에 기초하여 역학적으로 분석하였으며, 그 결과 토성이 토양수분 메모리의 역학적인 거동을 이해하는데 주요한 역할을 하며, 유기물 함량 또한 저장 강수율과 높은 상관성을 가지고 있음을 제시하였다. 그러나 공간자료를 활용하여 토양수분 메모리와 타 환경인자 간의 역학적 관계에 대해 분석한 연구는 제한적이며, 특히 지표수의 배수에 큰 영향을 미치는 변수인 경사, 토양 특성을 포함한 공간적 고찰 또한 부족한 실정이다.
따라서 본 연구에서는 인공위성 및 모델 자료를 기반으로 산정된 저장 강수율을 통해 한반도 내 토양수분 메모리를 샘플링 주기에 따라 분석하였으며, 강수가 지표면 및 토양층 내 체류하는 데 통상적으로 영향을 미치는 요소인 지면 경사와 토양 특성에 따라 토양수분 메모리의 특성을 정량적으로 분석하고, 변동성을 시공간적으로 평가하였다.
2. 연구지역 및 자료
2.1 연구지역
본 연구에서는 한반도를 포함하는 위도 33~43°, 경도 124~130°에서 분석을 수행하였다(Figs. 1 and 2). 한반도는 중위도 온대성 기후대에 위치하여 사계절의 특성이 뚜렷하고 계절풍의 영향으로 겨울에는 한랭건조, 여름에는 온난 다습한 특성을 보인다. 중부산간, 도서지방을 제외한 연평균 기온은 10~15℃를 나타내며 연중기온 편차는 20℃ 이상의 큰 폭을 보인다. 또한 연평균 강수량은 국내 복잡한 지형에 따라 약 500~2,000 mm 사이에서 다양하게 분포하며, 대체로 고위도일수록 감소한다. 특히 열대성 저기압으로 연평균 강수의 50% 이상이 6, 7, 8월에 집중되는 특성을 갖고 있다.
한반도는 백두대간을 따라 산맥줄기가 이어져있으며 함경산맥과 태백산맥을 기준으로 많은 산악지형들이 분포하고 있다. 우리나라의 평균 고도는 해발 482 m로 남부지방에 비해 북부지방이 비교적 높은 지형과 산지로 구성되어있다. 이러한 이유로 한반도 면적의 약 23%가 경사도 5°이하의 평탄한 지역을 가지고 있고 대부분 서해안과 남해안에 국소적으로 분포되어 있다. 한반도 내 유역들은 대부분 주요 산맥들에 의해 차단되어 다른 나라에 비해 비교적 작으며, 동시에 경사가 급하고 유로 연장이 짧은 지형특성을 갖고 있어 여름철에 집중된 호우로 인해 비교적 유출량이 크다.
2.2 분석자료
2.2.1 지형 자료
한반도 전체의 경사를 분석하기 위해 Shuttle Radar Topography Mission (SRTM) 30 m 공간해상도의 Digital Elevation Model (DEM) 자료를 사용하였다. 본 연구에서는 분석에 용이하도록 공간자료들의 해상도를 10 km의 격자 형태로 통일하였으며, 이를 위해 30 m 셀들을 10 km 마다 산술 평균하여 업스케일링(upscaling) 하였다. 이 결과물을 바탕으로 해당 셀과 인접한 8개의 인접 셀 사이의 최대 변화율을 계산하여 기울기를 산출하였으며 해당 기울기는 거리와 높이의 비율로 나타내었다(Fig. 1(a)).
2.2.2 토성(Soil texture) 자료
International Soil Reference and Information Centre-World Soil Information (ISRIC)는 국제적으로 토양에 대한 정보와 분포를 디지털 토양 매핑 시스템을 통해 제공하고 있으며(SoilGrids; https://www.isric.org/explore/soilgrids), 이는 230,000개 이상의 토양 프로파일에 대한 관측치 및 기계학습 기법을 통해 생산된다. 출력물은 250 m의 공간해상도로 6개의 표준 깊이에 대해 토양 특성뿐만 아니라 용적밀도, 탄소함량 등을 제공하고 있으며, 90% 예측 구간의 하한 및 상한으로 정량화된 불확실성을 포함한다(De Sousa et al., 2020). 본 연구에서는 지표면(0~5 cm) 토양 성분(모래, 실트, 점토 함량)자료를 사용하였으며, 지형자료와 마찬가지로 10 km의 공간해상도로 스케일을 재조정하였다(Fig. 2).
2.2.3 강수 자료
미항공우주국(National Aeronautics and Space Administration, NASA)은 2014년 원격탐사를 활용한 정확도 높은 전지구규모 강수 관측을 목표로 Global Precipitation Measurement (GPM) 핵심위성을 발사했다. GPM 핵심위성에 탑재된 Dual-Frequency Precipitation Radar (DPR), GPM Microwave Imager (GMI) 센서 및 극궤도로 운용중인 협력위성들의 마이크로파 센서, 정지궤도 위성의 적외(IR)채널로부터 산출된 강수량 값을 결합한 자료가 생산되고 있다. Climate Prediction Center (NOAA CPC)의 CPC MORPHing technique (CMORPH)은 칼만 필터(Kalman filter)를 이용하여 마이크로파와 적외 센서를 결합한 자료를 제공하며, UC Irvine 대학에서는 적외 채널을 이용하여 산출한 강수강도 자료를 제공한다. NASA Goddard Space Flight Center (GSFC)에서는 최종적으로 모든 강수 자료를 결합하여 수집, 제공하게 된다(Huffman et al., 2015). 최종적으로 지상관측자료와 후처리 보정한 자료는 3.5개월의 생산기간이 걸린다. 본 연구에서는 10 km의 공간해상도, 30분의 시간해상도로 제공되는 The Integrated Multi-satellitE Retreievals for GPM Final precipitation Level3 Half Hourly (GPM_3IMERGHH) 자료를 사용하였으며, 토양수분 자료 주기와의 매칭을 위해 3시간 단위 누적 강수량으로 전처리하였다. Fig. 1(b)는 2019, 2020년 일평균강수량을 나타낸 그림으로, 앞서 언급한 바와 같이 위도가 높을수록 낮은 강수량이 기록된 것을 확인할 수 있다.
2.2.4 토양수분 자료
Soil Moisture Active and Passive (SMAP)은 NASA에서 2015년 지표수 및 에너지, 탄소 순환 등을 이해하고 모니터링하기 위한 목적으로 발사한 위성으로, L밴드 마이크로파 복사계(Passive, 1.41 GHz)에서 측정되는 지표면 밝기온도와 L밴드 레이더(Active, 1.26, 1.29 GHz)에서 관측되는 후방산란 값을 이용하여 지표면(0~5 cm) 토양수분과 동결상태에 대한 정보를 제공했다. 2015년 7월 SMAP에 탑재된 레이더의 고장으로 현재는 유럽연합의 Copernicus Sentinel-1 C밴드 레이더 자료로 이를 대체하여 자료를 생산하고 있다. L밴드의 복사계는 주파수 간섭(Radio Frequency interference, RFI)에 취약하여 측정의 정확성을 해친다(Mohammed et al., 2016). SMAP에 설치된 복사계도 마찬가지로 RFI의 영향을 받으며 이를 식별하는 알고리즘을 통해 품질 플래그(quality flag)로 지정하고 필터링한다. 실질적으로 국내에서는 중부지역과 동해안지역에서 간헐적으로 필터링 되어 자료 유실이 발생하고 있다. 부분적인 자료 유실을 막기 위해 NASA에서는 복사계 밝기온도를 자료동화(data assimilation)하여 토양 표면에 대해 9 km 공간해상도, 3시간 간격의 자료를 생산하고 있으며, 이에 대해 전 세계적으로 정확도 검증이 이루어진 상태이다(Reichle et al., 2017). 본 연구에서는 위 토양수분 산출물을 앞선 자료들과 마찬가지로 10 km 해상도로 리스케일링 하였다. Fig. 1(c)은 2019, 2020년 연평균토양수분을 나타낸 그림으로, 한반도 전체에 걸쳐 평균적으로 0.25 m3/m3 토양수분 값을 갖는다.
3. 방법론
3.1 토양 내 강수저류율(stored precipitation fraction FP (f))
McColl et al. (2017)에서는 토양수분 메모리 특성을 분석하기 위한 하나의 지표로서 토양 내 저장된 강수율() 개념을 적용하였으며 이를 계산하기 위해 물의 질량 균형 방정식(Eq. (1))을 통해 토양수분의 이산 표본(discrete sample)을 시계열로 구성하였다. 이를 단순화하여 표본지수 i에서 일정한 토양수분 가 특정 기간 T(d)일 동안 일정한 샘플링 빈도 를 가지고 있다고 가정하였다. 결국, 토양 내 저장된 강수량은 해당 기간 동안 정규화된 토양수분 증가량의 합과 누적 강수량의 평균 비율로 정의된다(Eq. (2)). Kim and Lakshmi (2019)에서는 농업으로 인한 인위적인 관개 또는 강수 관측의 오류 등에 의해 강수가 발생하지 않는 기간에 일어난 토양수분의 증가가 오차의 원인이 될 수 있음에 주목하였으며, 토양수분의 증가와 강수 발생을 동시에 충족하는 조건을 추가하였다(Eq. (3)).
여기서, P는 강수율, E는 증발산량(차단손실 포함), D는 더 깊은 토양층으로의 배수, R은 표면 및 지하 측면 유출, 는 토양층의 깊이(m), 는 토양수분 증가량(), 는 해당 기간(T)의 누적 강수량(m)이다.
McColl et al. (2017)은 를 ‘토양에 도달한 강수량이 1/f일 후 해당 토양층에 남아있는 평균 비율’로 정의하였으며, 즉 낮은(높은) 는 강수가 토양층에 도달한 이후 E, D, R에 의해 유실이 많이(적게) 발생하였다는 의미를 가진다(Fig. 3).
4. 결 과
4.1 저장 강수율의 시공간적 특성
2019 - 2020년 연구지역 내 4,451개 셀에 대한 표층(0~5 cm) 저장 강수율의 확률밀도함수(Probability Density Funcgion, PDF)와 공간 분포를 각각 Figs. 4 and 5에 나타내었다. 시간의 흐름에 따른 확률 분포 및 전반적인 공간 특성을 확인하기 위해 여섯 가지 다른 샘플링 빈도(f = 8, 2, 1, 1/2, 1/3, 1/4 day-1)를 적용하였다. 강수 발생 이후 시간이 경과함에 따라 토양 표층 내 잔류하는 강수율은 초기 잔류율보다 최대 22% 감소하였다(Fig. 4). 강수 발생 3시간 이후(f = 8)에는 강수량이 평균 약 18.2% 잔류하였고, 12시간 이후(f = 2)에는 저장 강수율이 평균 약 12.3%로 급격히 감소하여 24시간 이후(f = 1)에는 평균 약 8.4%까지 감소하였다. 동시에, 시간의 흐름에 따라 공간 분포 패턴 또한 사라지는 모습을 확인하였다(Fig. 5). 강수 발생 3시간 이후에는 공간적으로 다소 상이한 분포를 보였으며(표준편차 약 3.8%), 24시간 이후의 표준편차는 약 2.3%, 나흘 후(f = 1/4)의 표준편차는 약 1.3%로 전 연구지역에서 균일하게 분포하였다.
전체 연구 지역에 대해 강수 발생 3시간 이후 표층에 잔류하는 강수량은 총 강수량의 30% 이하인 것을 확인할 수 있다. Fig. 5에서 볼 수 있듯, 낮은 저장 강수율은 대부분 태백산맥을 따라 분포하고 있는데, 이러한 공간적 패턴은 경사도(Fig. 1(c))와 토성 중 모래 분포도(Fig. 2(a))와 유사하다. 저장 강수율의 감소 원인에는 크게 유출, 침투, 증발산이 있으나(Eq. (1)), 강수 발생 직후 저장 강수율을 감소시키는 주요소는 유출과 침투이다(Jung et al., 2006). 따라서 유출과 침투의 비율을 결정하는 경사 및 토성이 저장 강수율을 결정하는 핵심적인 역할을 하게 되며, 급격한 경사와 동시에 배수가 원활한 모래의 비율이 높은 동부 산맥 지역에서 낮은 저장 강수율이 나타난 본 결과가 이를 뒷받침한다. 개마고원 일대의 북부 산맥 지역 또한 높은 경사도로 인해 낮은 저장 강수율을 나타냈지만, 해당 지역은 모래의 비율이 낮고 실트의 비율이 높아(Fig. 2(b)) 비교적 시간이 경과한 뒤(f = 2) 저장 강수율이 감소하는 것을 볼 수 있다. 이 외 서부 및 남부의 평탄한 지역들에서는 저장 강수율이 높고 비교적 천천히 감소하는 것을 확인하였다. 강수 발생 나흘 후에는 전 지역 저장 강수율이 10% 이내였으며(평균 4.8%), 이 시점에서는 대부분의 표층에서 유출 및 침투가 완료되고 일부 토양층 내 소공극(micropore)의 모세관 장력 등으로 인해 일부만이 저류되는 것으로 사료된다(Maleksaeedi and Nuth, 2020).
4.2 경사에 따른 저장 강수율 평가
강수 발생 직후 저장 강수율은 동해안 산맥 부근에서 가장 낮았고 이후 내륙의 산맥을 중심으로 점차적으로 감소가 진행되는 양상을 보였다. 공간적 패턴을 통해 살펴보았듯 저장 강수율에 1차적으로 영향을 미치는 요소는 해당 지역의 경사였으며, 본 절에서는 저장 강수율과 경사의 관계 및 시간의 흐름에 따른 변화를 분석하였다.
Fig. 6은 여섯 가지 샘플링 빈도를 적용한 저장 강수율과 셀별 경사의 관계를 나타낸다. 전 기간(모든 샘플링 빈도)에 대해 저장 강수율과 경사도는 반비례 관계를 보였다. 샘플링 빈도가 3시간일 때는 추세선의 기울기가 -0.51이었으며, 샘플링 빈도가 감소함에 따라 추세선 기울기의 절댓값 또한 감소하여 나흘 뒤 -0.15를 나타냈다. 경사가 완만한 지역에서는 저장 강수율의 변화에 토성, 일사량 등 타 인자가 미치는 영향이 지배적이기 때문에 저장 강수율이 비교적 다양하게 분포하나, 경사도 약 0.03 이상에서는 뚜렷한 반비례 관계를 확인할 수 있다. Manning et al. (1890)에서는 유속이 경사의 제곱근에 비례한다고 정의하였으며, 따라서 배수의 속도에도 영향을 미쳐 경사도가 클수록 저류율이 빠르게 감소한다(Ogden et al., 1995). 경사도가 0.15 이상인 셀에서는 저장 강수율이 더 감소하는 형태가 나타나지 않았으며, 평균에 가까운 값을 보였다. 국내 급경사지가 대부분 산맥을 따라 분포한다는 것을 고려하였을 때, 이는 포화된 토양수분에 의한 마이크로파 신호를 짙은 식생이 더욱 약화시켜 나타난 결과인 것으로 추정할 수 있다(Pellarin et al., 2003). 10 km 해상도로 분석 자료를 업스케일링하는 과정에서 발생한 경사도의 평활화(smoothing) 및 셀 내 논지, 수역(water body) 등의 존재 또한 결과에 영향을 미쳤을 것으로 예상되나, 이는 본 결과에서 시각적으로 확인되지 않는다. 추후 연구에서 토지피복분류를 포함하여 고해상도에서 분석이 이루어져야 할 것으로 사료된다.
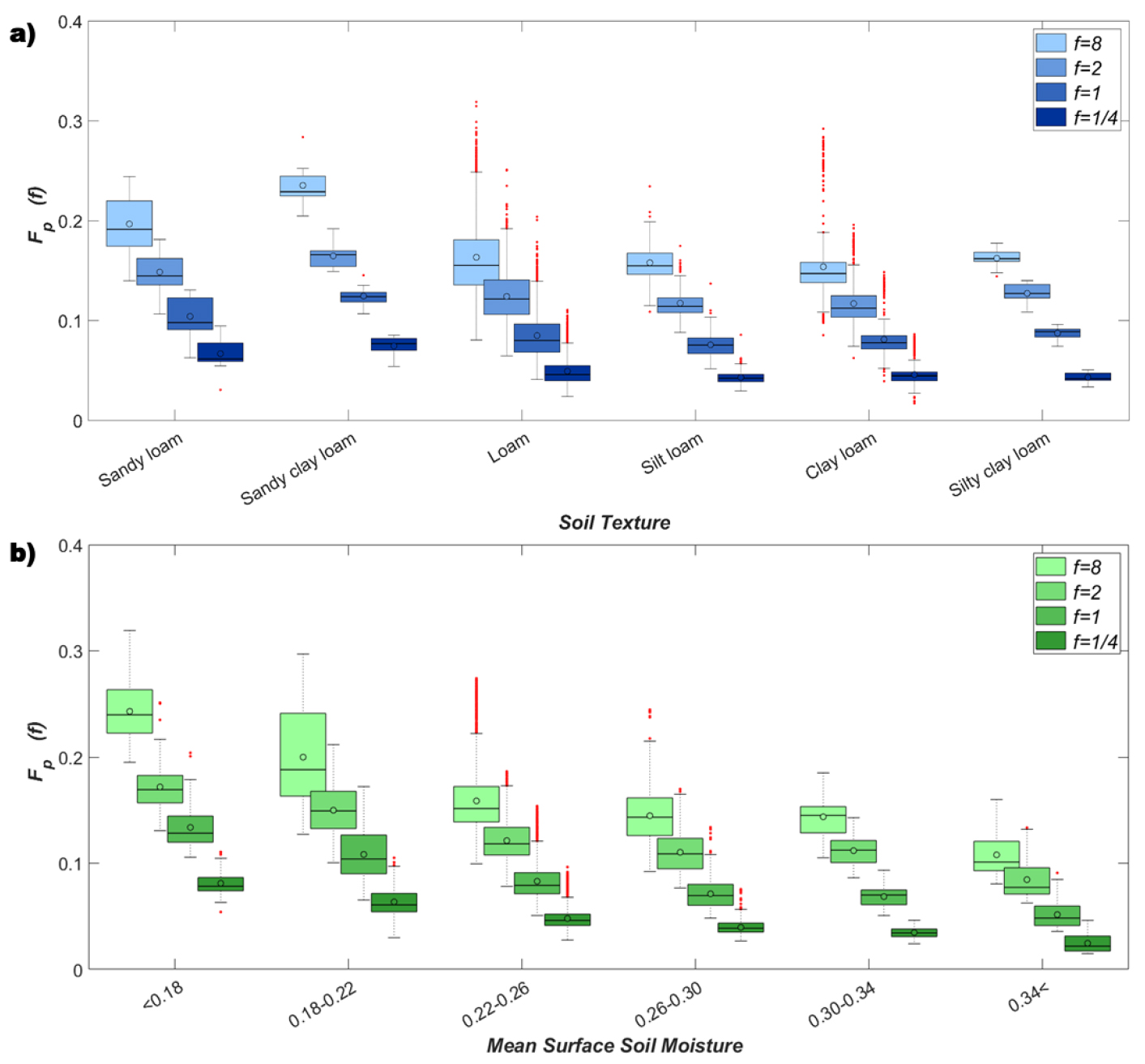
4.3 토양 특성에 따른 저장 강수율 평가
서론에서 전술한 바와 같이 토양 특성은 지표 및 토양 내 배수와 밀접한 관계가 있으며, 저장 강수율에 큰 영향을 미칠 수 있음을 예측할 수 있다. 특히 직접 유출이 발생하기 전 최소강수량은 주로 토양수분 증가에 기여하는데, 이 때 토양이 가진 특성에 따라 투수 속도와 보유능이 달라져 체류시간을 제어하게 된다. 앞선 결과들에서도 토성과 저장 강수율의 상관성을 일부 살펴볼 수 있었으며, 본 절에서는 토양 특성에 따른 저장 강수율의 분포와 변동성을 종합적으로 확인하기 위해 각 셀의 토양 성분 혼합비율(Fig. 2)에 미국 농무부 기준을 적용하여 토양을 분류하였다(Table 1). 특정 셀의 토성과 평균 토양수분이 저장 강수율에 미치는 영향을 상자 그림으로 도시하였으며, 구역별 편차가 큰 1일 이전(f = 8, 2, 1)과 편차가 적은 나흘 후(f = 1/4)의 자료를 비교하였다(Fig. 7).
모래의 비율이 높은 Sandy loam과 Sandy clay loam은 강수 발생 직후 가장 큰 저장 강수율(각각, 평균 0.19, 0.23)을 보였는데, 이는 토양의 공극이 비교적 크고 위조점(wilting point)이 낮아 강수 발생 이전의 토양수분은 낮고 발생 이후 증가량은 크기 때문인 것으로 판단된다(Fig. 7(a)). 조립질 토양의 경우 같은 토양수분 조건일 때 세립질 토양보다 높은 매트릭 퍼텐셜을 갖게 되며(Tuller and Or, 2005), 이로 인해 토양 내 수분의 확산이 빠르게 이루어진다. 때문에, 모래의 비율이 높은 Sandy loam과 Sandy clay loam에서는 침투율이 높아(Table 1) 저장 강수율의 감소 또한 빠르게 일어난다. 세립질인 실트와 점토의 비율이 낮은 Sandy loam과 Loam에서는 토양 구성 비율에 따라 저장 강수율의 분포 범위 또한 비교적 크게 나타나는 것을 확인할 수 있다. 반면, 실트와 점토의 비율이 비교적 높은 토양에서는 작은 공극과 낮은 침투율로 인해 배수가 원활하지 않고 선행 토양수분이 비교적 높다. 따라서 강수에 의한 토양수분 증가량이 작으며 저장 강수율의 표준편차도 작다. Loam과 Clay loam에서는 많은 이상치(ourlier)를 포함하고 있는데, 이는 논지 및 경작지가 많은 토양 특성상 잦은 인위적인 관개 배수가 이루어져 나타난 결과인 것으로 사료된다.
연구지역 내 평균 표면 토양수분은 최소 0.11 m3/m3 에서 최대 0.55 m3/m3의 범위를 가지고 있으며, 여섯 가지 토양수분 구간에 대응하는 저장 강수율과 비교하였다(Fig. 7(b)). 평균 토양수분이 증가함에 따라 저장 강수율이 감소하는 경향을 보였으며 모든 샘플링 빈도에서 뚜렷하게 나타났다. 건조한 토양의 경우 수리전도도(hydraulic conductivity)가 낮아 유입되는 강수량이 짧은 시간 안에 토양의 심층으로 전이되지 않고 표층에 유지되며(Shao and Irannejad, 1999), 이후 증발산 작용에 의해 감소한다. 반면 평균 토양수분이 높은 곳은 일반적으로 지하수 충전 및 저장이 활발한 곳에 위치하며 강수가 표층에서 심층으로 전이되기 쉽다(Kovaříček et al., 2008). 하지만 선행 토양수분이 높고 평균 토양수분과 포장용수량사이의 차이가 크지 않아 저장 강수율이 낮고 편차가 작다.
Table 1.
Textural groups on the basis of percentage of sand, silt and clay separates and soil infiltration rate (USDA, 1987; Berhanu et al., 2013)
5. 결 론
본 연구에서는 인공위성 및 모델 자료를 기반으로 산정된 토양 내 저장 강수율()을 통해 한반도 내 토양수분 메모리를 샘플링 주기별로 분석하였다. 토양수분 메모리의 시공간적인 변동성, 분포 패턴을 살펴보았으며, 지면 경사와 토성 및 평균 토양수분 조건이 저장 강수율에 미치는 영향을 평가하였다. 주요 결과는 다음과 같다.
1) 강수 발생 이후 표층에 잔류하는 강수율은 초기 잔류율 대비 최대 22% 감소하였다. 낮은 저장 강수율은 대부분 동부 및 북부 산맥을 따라 분포하였으며 이러한 공간적 패턴은 경사, 모래의 분포도와 유사함을 보였다. 이 외 서부 및 남부의 평탄한 지역에서는 저장 강수율이 높고 비교적 천천히 감소하는 경향을 보였다.
2) 강수 발생 사흘 후에는 전 지역에서의 저장 강수율이 10% 이내였으며 표층에서의 유출과 침투가 완료되고 일부 토양층 내 소공극의 모세관 장력 등으로 인해 일부만 저류되는 것으로 보였다.
3) 저장 강수율과 경사의 관계를 비교한 결과 음의 상관관계를 가지며 초기 3시간 빈도에서 기울기 -0.51, 나흘 뒤 -0.15로 점차적으로 감소하는 추세를 보였다. 경사가 클수록 배수 속도를 증가시켜 강수 저류율을 빠르게 감소시키는 것을 확인했다.
4) 조립질 토양의 비율이 높은 토양에서는 강수 발생 직후 저장 강수율이 큰 폭으로 증가하였으며 빠르게 감소했다. 반면, 세립질 토양의 비율이 높은 토양에서는 작은 공극과 낮은 침투율로 인해 배수가 원활하지 않고 선행 토양수분이 비교적 높아 저장 강수율이 낮게 나타났다.
5) 건조한 토양에서는 수리전도도가 낮고 표층의 보수력이 강해 높은 초기 저장 강수율을 보였다. 반대로 습윤한 토양에서는 수리전도도가 높아 침투율이 높지만 평균 토양수분과 포장용수량사이의 차이가 크지 않아 낮은 저장 강수율을 보였다.
기존 토양수분 메모리는 현장 측정 자료를 활용하여 국소적으로 파악되거나 원격탐사 자료를 제한적으로 사용하여 분석되었기 때문에 시공간적인 변동성과 타 환경 변수들과의 상관성에 대해 이해하는 데 어려움이 있었다. 본 연구에서는 저장 강수율의 공간적 패턴을 경사도 및 토성도와 비교하여 상관성이 있음을 확인하였으며 해당 환경 변수들이 저장 강수율의 변동성에 미치는 영향을 분석하였다. 직접유출량 및 증발산량 등 추가적인 손실에 의한 영향 또한 있을 것으로 예상되나, 본 연구 결과에서는 시각적으로 확인할 수 없었다. 산림과 농지 등의 피복과 식생을 구별하여 토양수분 메모리를 분석한다면 공간적으로 더 의미 있는 결과를 도출할 수 있을 것으로 기대된다. 또한 추후 유역별 유량 관측자료, 증발산량 관측자료 등 추가적인 분석 자료를 포함한다면 토양수분 메모리에 대한 더욱 정확한 정량화가 이루어질 수 있을 것으로 기대되며, 물 순환에 대한 이해도를 높이고 적절한 이수 계획을 세우는데 도움이 될 것으로 판단된다.









