1. 서 론
2. 대상 유역 및 자료
2.1 대상 유역
2.2 생물 측정 지점과 수질 측정 지점 대응
2.3 자료 설명(생물상, 수질, 수문·기상 자료)
3. 방법론
3.1 은닉 마코프 모델
3.2 은닉 준 마코프 모델
3.3 하천 건강성 지수
3.4 수질 환경 변수
3.5 기상·수문 변수
4. 분석 결과
4.1 부착돌말지수(Trophic Diatom Index, TDI)
4.2 저서동물지수(Benthic Macroinvertebrate Index, BMI)
4.3 어류 지수(Fish Assessment Index, FAI)
5. 결론 및 고찰
1. 서 론
건강한 수생태계는 공공수역과 수변 지역의 식물, 동물, 미생물, 그리고 무생물 환경이 상호작용하는 유기적인 복합체를 말하며, 건강한 수생태계는 이러한 구성 요소들이 균형을 이루며 온전한 기능을 발휘하는 상태를 의미한다(Woo et al., 2019). 이러한 생태계를 보유한 유역은 다양한 식물과 동물에게 서식지를 제공하기 때문에 육상 및 수생 생태계의 지속 가능성을 유지하는 데에 필수적이고(Singh et al., 2021), 생태계를 보호하는 것은 깨끗한 물의 공급, 생물 다양성 보존, 홍수 위험 완화 등을 위해 중요한 사항으로 여겨지고 있다. 하지만, 현재의 수생태계는 도시화, 산업화, 농업, 축산업 등 인간 활동으로 인해 교란될 뿐만 아니라 기후변화로 인한 가뭄과 홍수 등 수자원의 시공간적 분포 특성 변화 탓에 서식 환경의 변질, 생물군집의 변화, 고유종 멸종 등의 문제가 발생하고 있다(Kang and Son, 2011).
수생태계 건강성 평가는 보존, 복원 및 보호를 위한 체계적인 틀을 제공함으로써 지속 가능성을 촉진하는 중요한 도구가 된다(Sofi et al., 2020). 현재 우리나라에서는 국립환경과학원이 제공하는 건강성 지수를 활용하여 공공수역의 수생태계 건강성 상태를 평가하고 있으며, 부착 돌말류, 저서성 대형 무척추동물, 어류, 수변 식생, 서식 및 수변 환경 등 주요 생물상을 조사하여 지표화한 값이 대표적으로 사용된다. 물환경정보시스템(https://water.nier.go.kr/web/board/2/)에서 확인할 수 있는 “수생태계 건강성 지도”는 한강, 낙동강, 금강, 영산강, 섬진강 등 전국 5대 강의 115개 중권역에 있는 3,016개 하천 지점의 생물상, 서식 환경, 물환경 현황 및 건강성 평가 자료를 제공하고 있다.
또한, 하천은 수변과의 횡적 연결성뿐만 아니라 발원지에서 하구까지 종적으로 연결된 연속체로, 규모에 따라 하폭, 수폭, 유속, 수심, 하상 등 물리적 환경요인의 차이가 있고, 외부에서 유입되는 물질과 에너지의 양과 형태가 크게 달라지는 역동적인 생태계이다(Park et al., 2011). 하천 시스템 내 지형 및 수문학적 변동 간의 복잡한 상호작용을 이해하는 것은 하천 흐름 패턴, 수질 변화, 서식지 구조 변화가 수생태계에 미치는 영향을 분석하는 데에 필수적이다(Hernandez-Suarez and Nejadhashemi, 2018). 우리나라는 주로 하천의 본류에 중점을 두는 유역 관리 체계를 따르고 있으며, 지류와 지천 같은 작은 수로들은 체계적인 관리를 받지 못하고 있다. 특히, 도심 지역의 지천은 건천화와 인공 구조물로 인해 자연 서식 환경이 크게 훼손되었고 수질 악화 및 생태계 불량 문제가 심화하였다. 이러한 문제를 해결하기 위해 지류 및 지천을 중심으로 한 관리 방안 연구가 활발히 진행되고 있으며 본 연구에 지류 지점을 포함한 이유이기도 하다. 본 연구는 기존의 생물상 조사 결과를 바탕으로 구축된 하천 수생태계 건강성 지표 중 부착 돌말 생물지수(Trophic Diatom Index, TDI), 저서 동물지수(Benthic Macroinvertebrate Index, BMI), 어류생물지수(Fish Assessment Index, FAI)를 활용하여 남한강 본류와 지류를 대상으로 시공간적 상관성을 분석하고, 환경 및 기상·수문 인자의 분포를 검토하였다. 이를 통해 남한강 유역의 수생태계의 건강성 평가 및 관리에 있어서, 다양한 생태 지표와 수문학적 변동성을 종합적으로 고려하는 방안을 제시한다.
2. 대상 유역 및 자료
2.1 대상 유역
본 연구의 대상 유역은 남한강 유역이며, Fig. 1에 국립환경과학원이 관리하는 수질측정망 및 생물측정망 중 분석에 사용된 지점을 표기하여 나타내었다.
남한강 유역의 본류와 지류, 총 17개 지점을 선정하여 분석하였으며 Table 1에 나열하였다. 본류와 지류를 구분하여 표기하였으며 그 이유는, 첫 번째로 본류와 지류의 수질 차이이다. 본류는 수질 관리와 대도시 주변 환경기초시설 확충 등으로 점차 안정화된 경향을 보이고 있지만 지류는 환경기초시설의 부족으로 오염원이 집중되며 수질 악화가 두드러진다. 두 번째로, 본류와 지류의 물리적 요소와 생물적 특성 차이이다. Park et al. (2010)에 따르면, 지류에서는 굵은 입자 유기물(Coarse Particulate Organic Matter, CPOM)을 주식으로 하는 썰어먹는 무리(Shredder, Sh)가 본류에 비해 높은 비율로 관찰되었으며, 본류로 갈수록 썰어먹는 무리의 감소와 함께 주워먹는 무리와 긁어먹는 무리의 증가를 확인하는 등 본류와 지류의 생물적 특성 차이가 발생한다. 또한, 하폭, 유속, 수심, 하상의 변화와 같은 물리적 요인이 생태계 구조에 영향을 미치기 때문에 본류로 갈수록 깔따구류(Chironomidae spp.), 등줄하루살이(Teloganopsis punctisetae), 줄날도래류(Hydropsychidae spp.)와 같은 수서곤충의 개체 밀도가 증가하지만, 강도래류(Plecoptera spp.)와 같은 청정 지표종은 감소하는 경향을 보인다(Jiang et al.,2010; Ward, 1992). 세 번째로, 지류는 본류보다 상대적으로 적은 홍수량을 가지며, 합류부에서 본류로 유입할 때 배수의 영향으로 유속 저하와 수위 증가가 발생하여 홍수 피해 위험을 증가시키기 때문이다(Choi et al., 2010). 이러한 홍수량 차이로 인한 퇴적물의 양과 토양의 이동속도 차는 생물 서식지 교란의 정도와 생물종의 자연 번식에 대한 차이를 야기할 것으로 보인다.
Table 1.
Biota stations and water quality stations used in study
2.2 생물 측정 지점과 수질 측정 지점 대응
생물상, 수질, 수문·기상 자료의 통합을 위한 클러스터링 절차는 Figs. 2(a) and 2(b)에 요약되어 있으며, 주요 단계는 다음과 같다. 먼저, 국가 표준유역 단위(Standard-size watershed unit)를 기준으로 공간적 분석 단위를 설정한 뒤, QGIS를 이용하여 생물상(Biota)과 수질(Water Quality, WQ) 측정 지점 벡터 레이어를 중첩시킨다. 이후, 동일 유역 내에서 하천 상 거리 20 km 이내의 WQ 지점을 각 Biota 지점과 대응시키는 거리 기반 클러스터링을 수행한다. 이때 하나의 생물 측정 지점에 여러 수질 지점이 대응되는 경우, 가장 가까운 수지 지점이 선택되도록 하였다. 클러스터링이 완료된 후에는 각 유역 단위 클러스터 내에서 수문·기상 자료를 통합한다. Thiessen 다각형 기법을 통해 강수량 및 기온의 공간 가중 평균을 산정하고, 이를 입력으로 GR4J 모형을 이용하여 자연유출량을 산정한다. 수질 자료는 3개월 평균, 수문·기상 자료는 12개월 평균으로 표준화하여 시계열 자료를 구축하였으며, 이를 기반으로 생물상–수질–수문 변수 간의 시공간적 연계성이 분석되었다.
2.3 자료 설명(생물상, 수질, 수문·기상 자료)
강수의 계절성으로 인해 다양한 유량 체제의 영향을 덜 받는 봄철(4월~6월) TDI, BMI, FAI를 생물상 자료로 사용하였다. 수질 오염 지표로 널리 사용되는 생화학적 산소 요구량(Biochemical Oxygen Demand, BOD)과 담수 생물 종의 이동 및 변화를 야기하고(Mohseni et al., 2003; Regier and Meisner, 1990), 기후변화로 인한 기온 상승을 단적으로 반영(Hari et al., 2006; Kaushal et al., 2010)하는 수온(Water Temperature, Tw)을 수질 자료로 사용하였다. 수문·기상 자료는 기상청의 종관기상관측장비(Automated Synoptic Observing System, ASOS)자료와 Thiessen 다각형 기법을 활용하여 강수량과 자연유량을 표준 유역 단위로 추정하며, 수생태계 건강성에 영향을 미치는 정도를 가시화하기 위해 강수량 이상값(Precipitation anomaly, Panm)과 유량 이상값(Streamflow anomaly, Qanm)을 사용하였다. 강수의 계절 변동성은 장기 평균 강수량(정상년 평균)으로부터 관측값을 차감하여 산정한 이상값을 통해 정량적으로 평가되었다. 이 Anomaly 기반의 분석은 계절별 편차, 특히 봄철 수생태계 반응의 민감도를 파악하는 데 효과적인 도구로 활용되며, 강우 집중 및 건기와 같은 계절 특성이 생물지수에 미치는 영향을 해석하는 데 활용되었다.
3. 방법론
3.1 은닉 마코프 모델
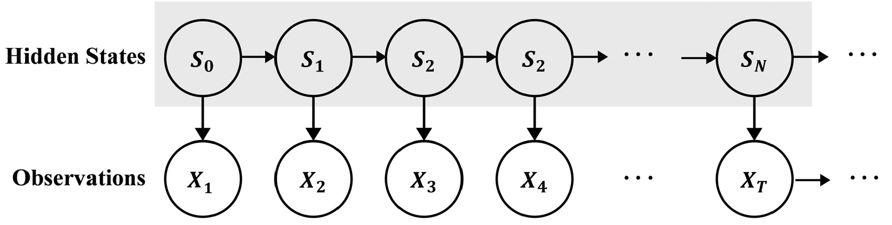
은닉 마코프 모델(Hidden Markov Model, HMM)은 조건부 독립 가정을 바탕으로 관측 가능한 자료로부터 은닉 상태(hidden state)의 확률론적 과정을 유도하고 이를 모델링하는 이중 확률론적 과정이다(Kwon et al., 2013). HMM의 기본 개념을 시각적으로 나타낸 Fig. 3을 보면, 상태(state) 은 직접 관찰할 수 없으며, 관찰 가능한 변수 만이 과 관련되어 있음을 보여준다. 관찰 변수 의 조건부 분포는 은닉 상태 가 주어졌을 때 정의되며, 이를 발생 분포(emission distribution)라고 한다(O’Connell and Højsgaard, 2011). HMM의 중요한 특징은 관찰 변수와 은닉 상태 간의 관계가 시간적 흐름 속에서 확률적으로 표현된다는 점이며, 관찰되지 않는 상태를 바탕으로 관측된 자료를 분석하고 패턴을 추론하는 데 사용된다. 관찰 변수 는 은닉 상태 이 가진 확률적 특성을 통해 나타나며, 시간에 따른 상태 전이는 확률적으로 정의된 전이 행렬에 의해 결정된다.
하지만, HMM은 비흡수 상태의 자기 전이(non-zero probability of self-transition) 확률을 포함하기 때문에 상태 지속 기간이 암묵적으로 기하 분포를 따르고, 이는 짧은 상태 지속 기간에 높은 확률을 부여하는 경향을 가져와 상태 지속 기간을 과소 추정하는 문제가 발생할 수 있다(Ruiz-Suarez et al., 2022). 또한 HMM은 시간 T에서의 상태가 시간 T+1에서의 상태로의 전이에만 영향을 미치며, 이전 시간의 상태는 고려하지 않는다는 제한점을 가진다. 이는 더 긴 시간 스케일에서의 상태 의존성을 다루기에 부족할 수 있다. 이러한 한계를 극복하기 위해, 본 연구에서는 HMM을 확장한 모델인 은닉 준 마코프 모델(Hidden Semi Markov Model, HSMM)을 활용하였다.
3.2 은닉 준 마코프 모델
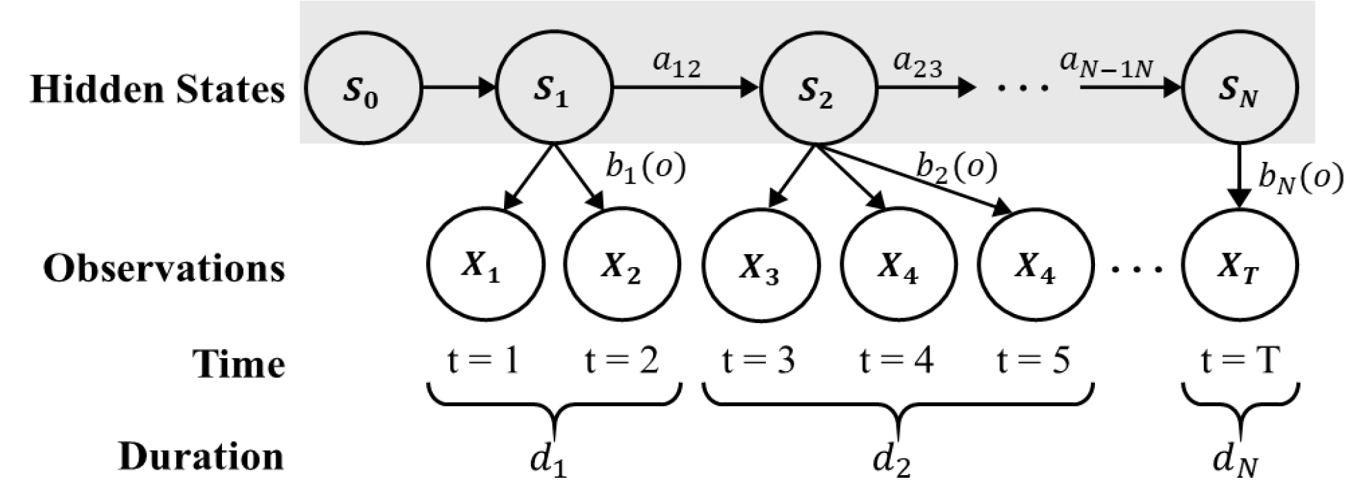
은닉 준 마코프 모델(HSMM)은 기존 은닉 마코프 모델(HMM)의 한계점을 보완하여, 각 상태의 지속 시간(체류 시간)을 가변적으로 설정할 수 있는 모델이다. HMM에서는 각 상태에서 단 하나의 관찰값이 생성된다고 가정하지만, HSMM은 하나의 상태에서 여러 관찰값이 생성될 수 있음을 가정한다. 이는 해당 상태에서 머무른 시간(지속 시간 )에 따라 관찰값의 수가 결정된다는 점에서 HMM과 차별화된다. HSMM은 HMM의 기존 정의를 확장하면서 상태 지속 시간의 개념을 명확히 규정한다. 지속 시간은 상태에서 머무는 시간의 길이를 나타내며, 이는 임의적으로 정의된 분포에 따라 정수 값()으로 설정된다(O’Connell and Højsgaard, 2011). 이러한 지속 시간 분포는 각 상태의 특성을 반영하며, 모델링 과정에서 중요한 변수로 작용한다. 이러한 개선은 HMM의 기하 분포에 따른 상태 지속 시간 제한을 극복할 수 있게 해주며, HSMM은 상태 지속 시간을 명시적으로 정의함으로써 상태의 체류 시간 분포를 보다 유연하게 조정할 수 있다(Chhaparia, 2023). 따라서, HSMM은 시간에 따른 상태의 변화뿐만 아니라 각 상태에서의 체류 시간까지 고려해야 하는 복잡한 시계열 자료를 분석하는 데 효과적이다.
Eq. (1)은 방출분포, Eq. (2)는 관측된 데이터 와 상태 시퀀스 가 주어졌을 때, 모델 매개변수에 대한 우도를 나타낸다(O’Connell and Højsgaard, 2011). 이때, 𝜋은 초기 상태의 확률, 는 특정 상태의 지속시간 분포, 는 하나의 상태에서 다른 상태로 전이될 확률, 는 특정 상태에서 관측값이 나올 확률을 의미한다. 이로써, 상태 간 전이와 각 상태의 체류 시간 동안 관찰되는 데이터의 확률을 계산하여, 주어진 데이터와 상태 시퀀스가 모델에 의해 얼마나 잘 설명되는지를 평가한다. 이 과정에서 전이 확률을 설정할 때, 자기 자신으로 전이될 확률은 0으로 설정하여 자기 상태를 제외한 다른 상태로의 전이만을 고려하였다(Fig. 4).
본 연구에서는 체류 시간 분포로 감마 분포(Gamma distribution)를 사용하였다. 감마 분포는 양의 연속 확률 분포로, 두 개의 매개변수(형상 및 축척 매개변수)를 조절함으로써 짧은 지속 시간에서 긴 꼬리를 가진 분포까지 다양한 형태를 표현할 수 있다(Abramowitz and Stegun, 1965). 이는 실제 생물학적 상태가 일정한 기간 이상 유지되거나 갑작스럽게 변화하는 비정규적 지속 시간 패턴을 효과적으로 모사할 수 있게 해준다. 또한 지수 분포, 로그정규 분포, Weibull 분포 등이 대안으로 고려될 수 있으나, 감마 분포는 생태 시계열 데이터의 지속 시간 표현에 있어 해석 용이성, 수치적 안정성, 구현 편의성 측면에서 선택되었다. 실제로 다양한 HSMM 연구에서 표준적으로 사용되며(O’Connell and Højsgaard, 2011), 본 연구의 수생태 지표(TDI, BMI, FAI) 역시 비대칭적이며 클러스터된 상태 지속 경향을 보이므로, 감마 분포를 채택함으로써 상태 간 체류 시간의 변동성을 유연하게 반영할 수 있다.
본 연구에서는 다차원 척도법(Multidimensional Scaling, MDS)을 이용하여 분류된 상태 간 독립성을 확인하기 위한 방법으로 활용하였다. MDS는 주어진 대상 간의 유사성이나 거리의 데이터를 사용하여 각 대상을 저차원의 공간에 위치시켜, 원래의 거리 관계를 가능한 정확하게 반영하는 위치를 찾는 통계적 기법이다(Lee et al., 2014). 주로 복잡한 관계를 갖는 데이터를 시각적으로 표현할 때 사용되며, 원본 데이터의 차원을 줄이고 대상 간의 상대적 거리를 표현한다.
3.3 하천 건강성 지수
국립환경과학원은 2008년부터 매년 봄철(4월~6월)과 가을철(8월~10월)에 전국을 대상으로 생물 분야(어류, 부착돌말류, 저서성 대형 무척추동물)와 하천 환경 분야(서식지, 수변 환경)에 대한 평가를 수행해왔다(ME, 2015). 본 연구에서는 생물 분야와 관련된 TDI, BMI, FAI를 활용하여 한강 유역의 건강성을 평가하고자 하며, 각 지수의 점수는 Eqs. (3), (4), (5)를 이용하여 산정된다.
Eq. (3)에서 는 표본 내 종의 상대 풍부도(%), 는 종의 오염 민감도, 그리고 는 종의 지표 값을 나타낸다. Eq. (4)에서 는 지정된 지표생물종의 일련번호, n은 출현한 지표생물종의 총수, 는 지표생물종 의 단위오탁지수, 는 지표생물종 의 상대출현도, 는 지표 생물종의 지표가중치를 나타낸다. 출현개체수를 적용하는 것보다 상대출현도(relative abundance)를 적용하는 것이 생물학적 하천환경평가에 대한 변별력이 더욱 크다는 Kong et al. (2012)에 따라 상대출현도를 적용하였다. Eq. (5)에서 M1은 국내종의 총 종수를 나타내고, M2는 여울성 저서종수, M3은 민감종수, M4는 내성종의 개체수 비율을 의미한다. M5는 잡식종(omnivores), M6는 국내종의 충식종(insectivors)의 개체수 비율, M7은 체집된 국내종의 총 개체수 그리고 M8 비정상종(anormalities)의 개체수 비율을 나타낸다. 각 매트릭에 대한 점수는 계급구간에 따라 0, 6.25, 12.5점으로 구분하여 산정된다. 각 생물 분야 지수는 점수에 따라 5개의 등급으로 평가되며, 등급 평가 기준은 Table 2에 정리하였다.
Table 2.
Grade of TDI, BMI and FAI
3.4 수질 환경 변수
본 연구에서는 수생태계 건강성을 평가하기 위해 두 가지(BOD, Tw) 대표적인 수질 환경 변수를 고려하였다. BOD는 유기물이 미생물에 의해 분해되는 과정에서 소비되는 산소량을 측정하여 물속 유기물의 농도을 표시하는 지표로, 수질 오염 정도를 평가하는데 널리 사용되는 지표이다(Jin and Lee, 2011). Tw는 수온를 의미하며, 대부분의 수생 생물은 생존을 위한 허용 가능한 온도 범위를 가지고 있다(Latif et al., 2024). 하천 수온의 상승은 용존 산소 포화도를 감소시키고, 유량 감소를 발생시키기 때문에 수중 생물의 생리적 활동, 성장, 번식에 직접적인 영향을 미친다(Ficklin et al., 2013; Latif et al., 2024).
3.5 기상·수문 변수
본 연구에서는 기상·수문 변수를 활용하여 수생태계 건강성을 평가하였으며, 주요 기상·수문 변수로는 강수량 이상(Panm)과 하천 유량 이상(Qanm)이 포함되었다. Panm는 특정 기간 동안 관측된 강수량이 평균 강수량보다 높거나 낮은 정도를 나타내며, 강수량의 시·공간적 변화를 정량화하는 데 중요한 지표로 사용된다. 이는 강우 패턴의 변화가 수생태계에 미치는 잠재적 영향을 평가하는 데 유용하다. Qanm는 특정 기간 동안 관측된 하천 유량이 평균 하천 유량보다 높거나 낮은 정도를 나타낸다. 이는 하천 유량의 변화가 수생태계 건강에 미치는 영향을 분석하는 데 필수적인 변수이다. 하천 유량 이상은 강수량, 증발산, 인공 구조물의 조작 등 다양한 요인의 영향을 받으며, 하천 생태계 내 서식 환경의 변화와 직접적으로 연관된다. 본 연구는 이러한 기상·수문 변수들을 통해 강수 및 유량의 이상 변동이 생태계 건강에 미치는 영향을 분석하였다.
4. 분석 결과
본 연구에서는 은닉 상태의 개수를 3개로 설정하였다. 이는 BIC (Bayesian Information Criterion) 및 AIC (Akaike Information Criterion)를 기준으로 2~5개의 상태 수에 대해 비교한 결과, State=3 설정 시 모델의 설명력과 해석 가능성이 모두 균형 있게 확보되었기 때문이다. 또한 수생태 지표별(TDI, BMI, FAI)로 볼 때도, '좋음–중간–나쁨'의 세 가지 상태 구분이 생태학적 해석의 실용성과 일치하는 범주를 제공할 수 있다고 판단하였다. 상태 수를 4개 이상으로 설정할 경우, 일부 상태 간 중복 또는 분리 불분명 현상이 발생하였고 2개 이하일 경우 생태학적 민감도와 정보 손실 문제가 나타났다. 따라서 본 연구에서는 3개의 상태로 설정한 모델이 최적이라고 판단하였다.
Figs. 5, 6, 7에 제시된 변수 중 (a)는 2008년~2023년의 건강성 지수 시계열 분포(heatmap), (b)는 상태 간 전이 확률을 나타낸 전이행렬, (c)는 상태별 건강성 지수(boxplot), (d)는 상태 간 전이 빈도 시각화 결과, (e)는 MDS 분석 결과로 각 상태 간의 상대적 거리와 군집 특성을 표현한다. (f)~(i)는 상태별 수질 및 수문·기상 변수(Panm: mm, Qanm: CMS (m3/s), Tw: °C, BOD: mg/L)의 분포를 boxplot으로 제시하며, 중앙값, 사분위수 및 이상값의 구조를 시각적으로 비교할 수 있다. 한편, Boxplot 상의 상자(Interquartile Range)는 데이터의 중간 50%를 나타내며, 수질 및 기상 변수의 상태별 중앙값 및 분산의 구조적 차이를 시각적으로 강조한다.
4.1 부착돌말지수(Trophic Diatom Index, TDI)
Fig. 5는 남한강의 본류와 지류를 대상으로 TDI를 활용하여 HSMM 모델을 적용한 결과를 나타낸다. Fig. 5(a)는 2008년부터 2023년까지 여러 지점에서 측정된 TDI를 히트맵 형태로 제시하였으며, 색상을 달리함으로써 3개의 상태 간 변화를 효과적으로 나타낸다. 각 행은 분석에 사용된 생물상 지점 코드로 상류부터 하류까지 나열하였다. HSMM을 이용한 분석은 각 상태 간의 전이 확률(transition probability) 추정이 가능하다. 전이 확률의 상세한 분석은 하천 생태계 내의 시간적 안정성과 변동을 강조할 뿐만 아니라, 환경 변화와 관리 조치에 대한 미래의 수생태계 건강성 측면에서 상태 변화를 예측하는 데 도움을 준다. 이는 Fig. 5(b)에서 확인할 수 있다.
Fig. 5(c)에서 TDI는 상태 1에서 상태 2, 상태 3으로 갈수록 감소하는 경향을 보이며, 이는 상태 1이 수생태 건강성 측면에서 가장 우수하고 상태 3이 상대적으로 건강성이 취약하다는 것을 의미한다. Fig. 5(d)에서는 상태 2에서 높은 전이 빈도가 관찰되었다. 이는 상태 2에 체류시간이 길고 비교적 안정된 상태를 유지하고 있음을 시사하며, 상태 3으로의 전이를 피하거나 생태적 회복력을 통해 상태 1로의 회복이 자주 일어나는 것을 나타낼 수 있다. Fig. 5(e)의 MDS 분석 결과는 HSMM을 통해 분류된 각 상태가 서로 얼마나 멀리 또는 가깝게 위치하는지를 나타내며, 상태들이 적절한 거리를 유지하며 명확하게 분리되어 있으므로 각 상태의 독립성과 상호 연관성을 평가하기에 적절하다고 판단된다. Figs. 5(f)~5(i)는 상태별 수질 및 수문·기상 인자들의 분포를 나타낸다. 수질 인자인 Tw와 BOD는 상태 1에서 상태 3으로 갈수록 증가하는 경향을 보였다. 이는 수질이 악화됨에 따라 수생태 건강성에 부정적인 영향을 미쳤음을 나타낸다. Boxplot 결과에 따르면, Tw와 BOD는 상태 간 분포 범위와 중앙값에서 명확한 차이를 보이며, 특히 상태 3에서 상위 사분위수 및 최대값이 크게 증가하였다. 반면 Panm와 Qanm의 중앙값 차이는 제한적이고 상태 3에서 분산이 상대적으로 커 수문기상 변동성이 큰 상태임을 시사한다.
종합적으로 남한강 유역의 대부분의 수생태 평가 지점은 중간 상태인 상태 2에서 가장 높은 빈도를 보였으며, 최근 3년간(2021년~2023년) 중류 및 상류 지역에서는 TDI 값이 가장 높은 상태 1의 빈도가 비교적 안정적으로 유지되고 있었다. 이는 과거에 비해 개선된 수생태 건강성이 지속적으로 유지되고 있음을 나타내며 특히 수문기상학적 변동성이 상대적으로 큰 봄철(4월~6월)의 경우, 생태 건강성이 개선되는 경향을 보였으며 이는 하천의 유량 증가와 오염 물질의 희석 효과와 관련이 있을 가능성을 시사한다.
4.2 저서동물지수(Benthic Macroinvertebrate Index, BMI)
Fig. 6은 남한강 본류와 지류를 대상으로 BMI를 활용하여 HSMM을 적용한 결과를 제시한다. Figs. 6(a)~6(d)는 상태별 공간적·시간적 분포와 전이 과정을 보여준다. 상태 2는 수생태 건강성이 가장 우수하며 출현 빈도가 높고 주로 상·중류에서 나타났다. 반면 상태 1은 중간 수준의 건강성을, 상태 3은 가장 취약한 건강성을 보이며 하류에서 지속적으로 분포하였다. 상태 전이 확률을 살펴보면, 상태 1에서 상태 2로의 전이가 38%로 나타나, 중간 수준에서 양호한 상태로의 회복이 비교적 빈번하게 발생함을 보여주었다. 상태 2에서 상태 1로의 전이는 81%로, 건강성이 좋은 상태에서도 수문·기상 및 환경 조건 변화로 인해 중간 수준으로 저하될 가능성이 높음을 시사하였다. 또한 상태 3에서 상태 1로의 전이는 63%로, 가장 낮은 건강성 상태도 적절한 개선 조치에 따라 빠르게 회복될 수 있음을 확인하였다.Fig. 6(e)의 MDS 분석 결과, BMI를 기준으로 분류한 3개 상태는 TDI와 마찬가지로 명확히 분리되었으며, 상태 간 거리가 적절하게 유지됨을 알 수 있었다. Figs. 6(f)~6(i)에서는 TDI 분석과 유사하게 Panm과 Qanm의 중앙값은 상태별로 큰 차이를 보이지 않았으나, 변동성은 상태별로 뚜렷한 차이를 나타냈다. Boxplot 분포를 비교할 때, 상태 2는 상대적으로 좁은 범위와 낮은 중앙값을 보였으며 반대로 상태 3은 이상값과 상위 백분위수가 뚜렷하게 확대되어 건강성이 저하된 조건임을 나타낸다. 이와 같이, 건강성이 낮은 상태일수록 Tw와 BOD의 변동성이 매우 크게 나타났으며, 이는 수질 악화가 BMI에 부정적인 영향을 미쳤음을 시사한다.
4.3 어류 지수(Fish Assessment Index, FAI)
Fig. 7은 남한강 유역의 수생태 지점에서 시간에 따른 FAI의 HSMM분석 결과이다. Figs. 7(a)~7(c)를 통해 3개의 상태로 분류된 시공간적 분포와 FAI가 높음(상태 2), 중간(상태 1), 낮음(상태 3)으로 분류됨을 확인할 수 있다. 이와 동시에, 상태 1에서 상태 2로의 전이 확률이 67%로 나타나, 중간 수준의 건강성이 양호한 상태로 회복될 가능성이 높음을 보여준다. 반면 상태 2에서 상태 1로의 전이는 75%로, 높은 건강 상태에서도 환경 조건 변화에 따라 중간 수준으로 저하될 수 있음을 시사한다. 또한 상태 2에서 상태 3으로의 전이 확률은 25%로, 양호한 상태에서 취약한 상태로 급격히 악화될 가능성은 상대적으로 낮았다. Fig. 7(d)의 상태별 빈도는 TDI와 BMI와 달리 특정 상태에 대한 빈도가 높지 않고 고르게 분포하는 것을 확인할 수 있다. Fig. 7(e)의 MDS는 TDI, BMI의 결과와 마찬가지로 모든 상태가 적절한 거리를 유지하며 잘 분리되었음을 확인할 수 있다. Figs. 7(f)~7(i)는 강수, 유량, 수온, BOD 등을 통해 어류 서식지 및 풍부도에 영향을 미치는 요인들을 나타낸다. TDI, BMI와 유사하게, Panm와 Qanm의 중앙값은 상태별로 큰 차이가 없는 것으로 평가되었으나 수생태 측면에서 가장 좋은 상태 2에서 변동성이 상대적으로 크게 나타나고 있다. Tw와 BOD는 상태 2에서 상태 1 및 상태 3으로 갈수록 증가하는 경향을 보이며, 상태 2에서 변동성이 작은 특징을 나타나고 있다. 이러한, FAI 결과에서 Tw와 BOD는 상태 2에서 가장 안정된 분포를 보이는 반면, 상태 1과 3에서는 분산과 이상값 범위가 확대되는 현상은 낮은 건강성 상태는 수질로 인한 어류의 스트레스를 유발의 가능성을 뒷받침한다. Panm와 Qanm의 경우 중앙값 차이는 적지만 상태 3에서 관측값의 상·하위 백분위 차가 큰 것을 고려하면 극단적 수문 조건의 가능성을 시사한다.
5. 결론 및 고찰
남한강의 본류와 지류에서 측정된 부착돌말지수(TDI)와 저서동물지수(BMI), 어류지수(FAI) 자료를 바탕으로 은닉 준 마코프 모델(HSMM)을 적용하여 각 상태 간의 전이 확률과 수생태 건강성 자료의 복잡한 패턴을 분석하였다. 이러한 분석체계는 수생태계의 다양한 상태 간의 동적 변화를 이해하고, 특히 생태계 내에서의 상태 변화와 그 원인을 규명하는 데 중요한 정보를 제공한다. 본 연구에서 도출된 HSMM 분석 결과는 각 생물 지표별로 상이한 상태 분포 특성과 전이 양상을 보여주었다. TDI는 상태 2(중간)의 체류 시간이 길고 상태 3(나쁨)으로의 전이 가능성이 낮아 상대적으로 안정적이고 점진적인 변화 특성을 보인 반면, BMI는 상태 3(나쁨)에서 상태 1(중간)또는 상태 2(좋음)로의 급격한 회복 전이가 뚜렷하게 나타났다. FAI는 상태 간 전이 가능성이 고르게 분포되어 있으며, 이는 어류 개체군이 외부 스트레스에 민감하면서도 복원력도 일정 수준 유지되고 있음을 시사한다. 본 연구를 통해서 도출된 지표별 특성은 다음과 같다.
첫째, 부착돌말지수(TDI) 분석 결과, 상태 1(좋음)이 가장 건강한 수질을 나타내며 높은 TDI 값으로 다양한 생물종의 서식 가능성을 시사하였다. 상태 3(나쁨)에서 낮은 TDI 값은 높은 영양 수준과 수질 문제를 나타내며, 생태계에 부정적인 영향을 미치고 있음을 드러낸다. 상태 2(중간)는 두 극단 사이의 중간 수준을 보여주며, 수질 및 수문학적 변동성이 이들 상태 간의 전환에 중요한 역할을 하는 것으로 평가되었다. 특히 봄철(4월~6월)에 평균 이상 강수량이 발생한 시기에는, 건강성 지수가 개선되는 경향이 나타났으며, 이는 유량 증가에 따른 오염물질 희석 효과 및 서식환경 개선과 관련된 것으로 보인다.
둘째, 저서동물지수(BMI) 분석 결과, 상태 2(좋음)는 생태계의 우수한 건강성을 나타내며 저서 동물의 다양성과 개체 수가 높게 관찰되었다. 상태 1(중간)에서는 BMI 값이 낮아지는 경향을 보였으며, 이는 생태계가 일정한 스트레스 상황에 놓여 있으나 완전한 불안정 상태는 아니라는 것을 시사한다. 반면, 상태 3(나쁨)에서는 BMI 값이 매우 낮아 생태계의 건강성이 크게 저하되었음을 나타낸다. 이러한 결과는 수질 및 수문학적 변동성의 영향을 크게 받으며 Tw와 BOD의 증가는 BMI에 부정적인 영향을 미친다는 점을 강조한다. 상태 간 전이 확률 분석은 이러한 수치적 변화가 생태 건강 회복 또는 저하의 중요한 지표로 작용함을 보여주며, 특히 상태 1(중간)에서 상태 2(좋음)로의 전환은 상당히 일반적이지만 상태 2(좋음)에서 상태 1(중간)로의 빈번한 전환은 환경 변화에 따른 취약성을 드러낸다.
셋째, 어류지수(FAI) 분석 결과, 상태 2(좋음)에서는 어류 개체군이 풍부하고 수질이 우수함을 반영하며 생태계의 높은 건강성을 나타낸다. 상태 1(중간)에서는 FAI 값이 감소하여 수생태계에 일정한 스트레스가 존재하나, 완전한 건강성 저하는 아니라는 것을 시사한다. 상태 3(나쁨)에서는 FAI 값이 매우 낮아 어류 생태계가 심각한 스트레스를 받고 있음을 나타낸다. 이는 주로 Tw과 BOD의 증가에 의해 유발되며, 수질 및 수문학적 변동성이 FAI에 미치는 영향은 수생태계 관리 및 보전 전략을 수립하는 데 중요한 고려 사항이다. 상태 2(좋음)에서 상태 1(중간)로의 전이 확률이 높은 것은 상태 2(좋음)의 안정성이 외부 환경 변화에 취약할 수 있음을 의미하며, 상태 3(나쁨)에서 상태 2(좋음)로의 높은 전이 확률은 개선 조치가 효과적일 때 빠른 회복이 가능함을 보여준다.
이상의 분석을 통해 얻은 결과는 남한강 유역의 수생태계의 건강성 평가 및 관리에 있어서 다양한 생태 지표와 수문학적 변동성을 종합적으로 고려해야 함을 강조한다. 제시한 HSMM 기반 분석 체계는 실제 하천관리 현장에서 상태 예측, 전이 위험 사전 탐지, 모니터링 주기 설정, 복원 우선 구간 선별 등 다목적 의사결정 도구로 활용 가능하다. 생물상 자료가 존재하지만 수질 자료가 부족한 지점에서도 모델 기반의 상태 추정 및 전이 분석이 가능하여, 데이터 불균형 조건에서의 유연한 생태 건강 평가 수단으로 활용될 수 있다. 향후 기상·수문 예보와 연동 시 조기 경보 기반 수생태계 모니터링 체계로 확장할 수 있는 잠재력도 있다.









