1. 서 론
2. 연구 방법
2.1 기후지수 선정
2.2 기후지수 추세 분석방법
2.3 대상 지역 선정 및 자료 수집
3. 적용 및 결과
3.1 기상인자 및 잠재증발산
3.2 기후지수 산정
3.3 기후지수 추세 분석
4. 결 론
1. 서 론
기후는 각 지역의 장기적인 기상 조건에 대한 평균으로 최근 수십 년 동안의 인간 활동에 의한 온실 가스 배출, 벌목, 산업화 등과 같은 다양한 변수가 기후변화를 야기하였다. 기후변화는 사막화, 생물의 다양성 감소, 극한 기상현상 발생 등 광범위하게 영향을 미치고 있으며, 사회·경제적으로도 많은 문제를 발생시킨다(Zareiee, 2014; Abel et al., 2018; Bryndum-Buchholz et al., 2018; Markus et al., 2018; Silva and Costa, 2018; Tol, 2018). 따라서 세계 여러 지역의 기후 조건을 평가하는 것은 이러한 현상의 부정적인 영향을 관리하고 감소시키는데 매우 중요하다. 그러나 기후는 지역이 가지는 지형적인 특성과 다양한 기상인자들의 복잡한 상호 작용으로 인해 형성되는 것이므로 단순화하여 평가하기에는 한계가 있다. 따라서 단순한 기상 요소의 물리적인 수치뿐만 아니라 여러 기후요소가 종합적으로 반영이 되어야 한다. 이러한 측면에서 기후의 조건을 건조/습윤 상태로 정의되는 기후지수는 비교적 간단한 방법으로 지역의 기후를 평가할 수 있는 대표적인 방법으로 인식되고 있다.
과거부터 현재까지 기후변화의 정량적인 분석을 위하여 기후지수를 이용한 다양한 연구가 이루어지고 있으며 강수, 온도, 잠재증발산 등을 이용한 많은 기후지수가 제시되었다(Keyantash and Dracup, 2002; Tsakiris and Vangelis, 2004; Khalili et al., 2011). 기후 조건 평가를 위한 다양한 기상인자를 이용하여 산정되는 기후지수는 Pinna Combinative (PC)지수, Johansson Continentality (JC)지수, Hydrothermal Coefficient (HTC) 및 Kerner Oceanity (KO)지수 등 여러 기후지수가 있으며, 일반적으로 The United Nations Environmental Programme (UNEP)지수와 Modified De-Martonne (MDM)지수가 세계적으로 기후 조건 평가에 널리 사용되고 있다(Zarei et al., 2019; Baltas, 2007; Aguirre et al., 2018). Cheval et al. (2017)은 UNEP지수, MDM지수, PC지수, JC지수 및 KO지수를 사용하여 유럽지역의 기후 변동성을 분석하여 남동부 유럽의 기후 온난화 진행 상황을 나타내었다. Wen et al. (2018)은 중국 Loess Plateau 지역을 대상으로 UNEP지수를 이용하여 기후의 시공간적 변화를 평가하고, 대상지역 내 건조지역 면적이 확대되었음을 밝힌 바 있다. Sarlak and Agha (2018)는 이라크의 UNEP와 MDM지수에 대한 공간적, 시간적 변화를 평가하였다. Nouri and Bannayan (2018)은 이란지역을 대상으로 3개월 및 12개월 단위로 AI지수를 이용하여 기후지수의 시·공간적 변화를 분석하였다. Masoudi et al. (2018)은 이란 남부지역에 위치한 Khorasan 지역을 대상으로 MDM지수로 추세 분석하여 대부분의 지역이 건조 기후 경향을 보임을 밝힌 바 있다. Milentijević et al. (2018)은 De-Martonne (DM)지수, Lang Rain Factor (LRF), Gračanin Rain Factor (GRF) 및 HTC지수를 사용하여 세르비아 Leskovac 분지의 기후를 평가하였다. Mianabadi et al. (2018)은 DM지수와 Budyko지수를 사용하여 이란의 주요 기후의 경향을 평가하였다. Chowdhury (2018)는 DM지수, UNEP지수 및 기타 5개 지수를 사용하여 방글라데시의 기후지수의 변화 추이를 분석하여 건조기후 경향이 있음을 밝힌 바 있다.
국내에서도 기후지수를 이용한 기후경향 분석 연구가 다양하게 진행되었다. Lee and Kim (2012)은 전국 59개의 지점을 대상으로 이상기후 기간 동안의 DM지수와 강수효율을 산정하고, 대권역별 유출량 분석을 통하여 이상기후의 영향과 DM지수 및 유출량의 변동성을 분석하였다. Park et al. (2013)은 5개 댐(안동, 임하, 합천, 남강, 밀양)에 대해서 건조지수를 산정하고 기후상태에 따른 강수분활요소와의 관계를 분석하였다. Rim and Kim (2013)은 53개 기후관측지점의 자료를 이용하여 5월 건조지수 및 변동지수를 산정하고 표준강수지수와 비교하였다. Rim (2014)은 전국을 9개의 지역으로 구분하고 Mann-Kendall 추세분석을 이용하여 기후 건조지수 추세를 분석하여 지역별 건조지수의 동질성을 분석하였다. Jeong et al. (2018)은 COMS 위성의 지표면온도자료를 이용하여 한반도 전역을 대상으로 건조지수 Temperature-Vegetation Dryness Index (TVDI)와 Standardized Soil Moisture Index (SSMI)를 산정하였다. Moon et al. (2020)은 우리나라의 공간적인 범위를 고려하여 5가지의 지표로 정량화하는 통합 극한기후지수에 대한 연구를 수행하였다. Min et al. (2021)은 Combined Climate Extreme Index (CCEI)지수와 RCP시나리오 데이터를 이용하여 한국의 미래 기후조건을 평가하여, RCP 2.6과 RCP 8.5에서 통계적으로 유의미한 경향을 보임을 밝힌 바 있다.
그러나 기존의 국내 연구사례들은 대부분 한반도 전역에 대하여 기후지수를 산정하고 기후지수와 수문인자들의 관계를 분석한 것으로써, 다양한 기후지수 산정 방법을 적용한 결과의 비교 분석과 지역적 특성을 고려한 연구는 미흡하였다. 따라서 여러가지 기후지수 방법을 적용하여 지역의 객관적 기후경향을 평가하는 연구가 필요하다.
이에 본 연구에서는 Modified De-Martonne (MDM)지수, Modified-Penman으로 산정된 UNEP-MP지수와 Penman-Monteith으로 산정된 UNEP-PM지수를 적용하여 충청도 지역을 대상으로 기후지수의 추세분석과 변동특성을 파악해 보고자 하였다.
2. 연구 방법
2.1 기후지수 선정
본 연구에서는 기후평가를 위해 세계적으로 널리 사용되고 있는 Modified-Penman으로 산정된 UNEP-MP지수와 Penman-Monteith으로 산정된 UNEP-PM지수, Modified De-Martonne (MDM)지수를 선정하였다.
2.1.1 United nations environmental programme index (UNEP)
UNEP 지수는 1992년에 제시된 기후조건을 평가하기 위한 지수 중 하나이다(Zarei et al., 2019). UNEP 지수는 강수량(P)와 잠재증발산(PET) 매개변수의 비율을 기반으로 하며 다음과 같다(Eq. (1)). PET 추정을 위하여 Modified-Penman 방법과 Allen et al. (1998)이 제시한 FAO Penman-Monteith (FAO 56) 방법을 사용하여 PET산정 방법에 따른 UNEP-MP지수, UNEP-PM를 비교하였다.
where, Ui = UNEP index, Pi = precipitation (mm), PET = potential evapotranspiration (mm). (applied by Modified-Penman (MP) and Penman-Monteith (PM) equations)
2.1.2 Modified De-Martonne Index (MDM)
강수량과 기온을 이용하여 산정되는 MDM지수는 1926년 De-Martonne에 의해 제시(Zarei et al. 2019)되었으며 다음과 같이 산정된다(Eq. (2)). 월별 MDM지수 산정시 월 강수량을 연 강수량으로 환산하여 지수를 산정하였다.
where, Ii = MDM index, Pi = annual precipitation (mm), T = annual mean temperature (℃).
2.1.3 UNEP 및 MDM 지수별 기후 분류
UNEP 지수는 매우 건조, 보통 건조, 약한 건조, 보통 습윤, 습윤으로 5개의 기후조건으로 평가하고 있으며 MDM 지수는 총 8개의 기후조건으로 심한 건조, 건조, 약한 건조, 지중해성 기후, 습윤, 심한 습윤 타입 A, B로 구분되어 진다(Table 1).
Table 1.
Climatic classification of MDM index and UNEP index
2.2 기후지수 추세 분석방법
기후지수의 추세분석을 위하여 UNEP-MP지수, UNEP-PM지수, MDM지수에 대하여 Kolmogorov-Smirnov검정(K-S검정)을 이용하여 정규성 평가를 실시하였다. K-S검정은 표본을 기준 확률 분포와 비교하거나 두 표본을 비교하는데 이용할 수 있는 연속 또는 불연속 확률 분포의 동일성에 대한 비모수 검정이다. K-S 검정은 두 표본의 경험적 누적 분포 함수의 평균과 분산 차이에 모두 민감하기 때문에 두 표본을 비교하는데 가장 유용하고 일반적인 비모수적 방법 중 하나이며, 기준 확률 분포의 평균과 분산을 관측자료의 추정치와 동일하게 설정함으로 정규성 검정으로 이용할 수 있는 장점이 있다(Massey, 1951). K-S검정을 이용한 정규성 평가 결과를 바탕으로 기후지수 추세분석은 Bishara and Hittner (2012)에서 적용한 바와 같이, 정규성 데이터에는 두 변수의 상관관계 분석에 가장 일반적으로 사용되는 방법으로 연속형 변수의 선형적인 상관관계를 모수적인 방법으로 평가하는 Pearson 검정방법을 적용하고, 비정규성 데이터에는 연속형 변수의 분포가 정규분포를 따르지 않거나 순위 척도일 때 사용되는 Spearman Rho 검정방법을 적용하였다. Pearson 검정방법은 Eq. (3)와 같으며, Spearman 검정방법은 Eq. (4)와 같다.
where, = mean, = standard deviation.
where, di = difference between the two ranks of each observation, n = number of observations.
2.3 대상 지역 선정 및 자료 수집
본 연구에서는 연구대상지역으로 충청도 지역을 선정하여 기후지수를 적용한 추세 분석 및 변동 특성을 파악하였다. 대상지역내 기상청에서 운영하고 있는 10개 기상관측소이며, 충청남도에는 서산, 천안, 보령, 부여, 금산 기상청이 위치하며, 충청북도에는 충주, 청주, 추풍령, 제천, 보은 기상청이 위치한다. 본 연구에서 이용한 기상자료는 1973년부터 2020년 동안의 일단위 강우, 기온, 바람, 상대습도, 일조시간을 포함한다. 본 연구대상지역의 기상관측소 정보는 다음과 같다(Fig. 1).
3. 적용 및 결과
3.1 기상인자 및 잠재증발산
연구대상지역의 1973년부터 2020년 기간 동안의 연평균 기온 및 강수량과 잠재증발산을 산정한 결과는 다음과 같다. 대상지역의 연평균 온도는 충청남도지역은 약 12℃를 보였으며, 충청북도지역은 약 11℃로 나타났으며, 연평균 강수량은 충청남도지역은 약 1300 mm를 보였으며, 충청북도지역은 약 1200 mm로 나타났다. 연구기간동안 대상지역의 연평균 잠재증발산량은 MP 방법에 의한 경우 충청남도지역은 866.34 mm/year이며, 충청북도지역은 876.69 mm/year로 산정되었으며, PM 방법에 의한 경우 충청남도지역은 862.22 mm/year이며, 충청북도지역은 853.03 mm/year로 산정되었다. 연구기간 동안의 기상인자 및 잠재증발산량에 대하여 선형회귀 분석한 결과, 연평균 기온 및 강수량과 잠재 증발산량 모두 증가하는 추세를 나타내었다(Fig. 2).
3.2 기후지수 산정
본 연구에서는 UNEP-MP, UNEP-PM 및 MDM 기후지수에 대해 연단위 및 월단위로 산정하였다. 연단위 기후지수 산정결과, 세 기후지수 모두 습한 기후지수를 보였으며, 평균적으로 UNEP-MP지수는 1.18, UNEP-PM지수는 1.44를 보여 UNEP-PM지수가 상대적으로 더 습한 경향을 나타내었다.
두 UNEP 지수 모두 48년 연구기간동안 모든 지역에서 습한 기후 조건을 약 60%를 보여 가장 높은 발생빈도를 보였으며, 그 다음으로 약한건조 기후조건을 약 20%, 약한 습윤 기후조건을 약 10% 순으로 나타내었다. 충청남도 지역이 충청북도 지역보다 상대적으로 더 습한 기후 조건을 보였으며, 지점별로는 충청남도의 금산지점에서 가장 높은 습한 기후 발생 빈도를 보였으며, 충청북도 추풍령지점에서 가장 낮은 발생 빈도를 보였다(Table 2).
Table 2.
Occurrence frequency (%) of climate conditions based on UNEP-MP index during 1973–2020 for the selected weather stations
MDM지수의 경우 모든 지점에서 심한습윤 기후조건이 가장 높은 발생빈도를 보였으며, 그 다음으로 약한 건조 기후조건 순으로 높게 나타났다. 그러나 MDM지수는 UNEP-MP 및 UNEP-PM지수와는 달리 충청남도와 충청북도간의 지역적 차이는 크게 보이지 않았으며, 충청북도지역에 속하는 제천과 보은지점에서 가장 높은 습윤 기후 발생빈도를 나타내었다(Table 3).
Table 3.
Occurrence frequency (%) of climate conditions based on MDM index during 1973–2020 for the selected weather stations
월단위 기후지수 산정결과, UNEP, MDM 기후지수 모두 7월과 8월에 습윤기후 조건의 발생빈도가 가장 높게 나타났으며, 습윤 이상의 기후조건 발생빈도가 전체의 90%를 차지하였다. UNEP-MP와 UNEP-PM지수의 경우 여름철(6월 ~ 8월)을 제외한 시기에는 습윤 기후 조건 발생빈도가 약 40 ~ 60%를 차지하는 반면, MDM지수의 경우 40 ~ 80%의 비율을 보이고 있어 MDM지수가 UNEP지수보다 상대적으로 습윤기후 발생 빈도를 높게 평가하며, 월별 변동폭이 UNEP지수보다 더 크게 나타났다. 한편 MDM지수의 경우 예외적으로 10월의 건조 기후 발생빈도가 약 50%로 나타나 다른 시기의 건조기후 발생빈도인 15 ~ 30%보다 더 크게 나타났다. 이는 잠재증발산량을 기준으로 하는 UNEP지수와 달리 기온과 강수량을 직접적으로 사용하는 MDM지수 산정 방법 특성상 10월의 기온과 강수량 변화를 더 민감하게 반영하기 때문인 것으로 사료된다(Fig. 3).
3.3 기후지수 추세 분석
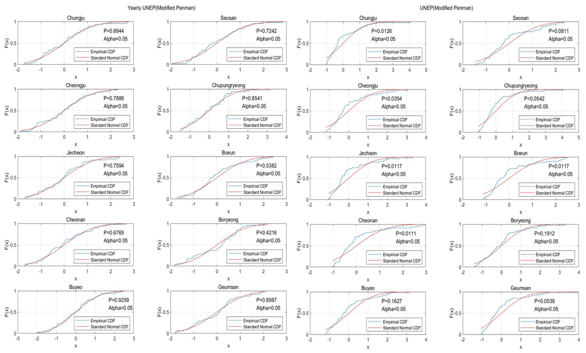
충청도지역의 UNEP-MP, UNEP-PM, MDM지수의 추세분석을 위하여 먼저 유의수준 5%의 연도별 및 월별 K-S검정을 수행하였다. 연도별 K-S검정 결과, UNEP-MP, UNEP-PM, MDM지수의 P-value는 0.3 ~ 0.8으로 모든 지점에서 정규성을 만족하는 결과를 보였다. 월별 K-S검정 결과, UNEP-MP지수와 UNEP-PM지수는 월별 거의 모든 지역에서 정규성을 만족하였으나 1월시기에 충주, 청주, 제천, 보은, 천안지점만 정규성을 만족하지 못하는 것으로 나타났다. 이는 1월의 경우 상대적으로 강우, 온도 등 기상인자의 변화가 다른 시기에 비하여 변동폭이 큰 것으로 판단된다(Fig. 4). MDM지수도 UNEP-MP지수와 UNEP-PM지수와 동일하게 월별 거의 모든 지역에서 정규성을 만족하였으나 1월시기에 충주, 제천, 보은, 천안지점에서 정규성을 만족하지 못하였는 것으로 나타났다. 연구대상지역의 각 지점에 대한 연도별 및 월별 K-S검정의 P-value값은 다음과 같다(Table 4).
Table 4.
P-Values for monthly climate indices based on the Komologorov-Smirnov test ( = 0.05)
K-S 검정을 통해 정규성을 만족하는 기후지수 및 지점에 대하여 Pearson기법을 이용하여 추세 분석을 실시하였으며, 정규성을 만족하지 않는 기후지수 및 지점에 대해서는 Spearman기법을 이용하여 추세 분석을 하였다. 연도별 각 지점에서의 추세분석 결과, UNEP-MP지수와 UNEP-PM지수는 충주, 청주, 천안, 보령에서는 지수가 감소하는 추세를 보였으나, 부여, 서산, 추풍령, 제천, 보은, 금산에서는 증가하는 추세를 보였으며, MDM지수는 청주, 천안, 보령, 부여에서는 지수가 감소하고, 충주, 서산, 추풍령, 제천, 보은, 금산에서는 증가하는 추세를 보였다. 따라서 보령, 천안, 청주, 충주 지점에 비해 서산, 추풍령, 제천, 보은, 금산은 호우에 의한 침수 피해 발생 가능성이 증가하는 것으로 사료된다(Fig. 5).
기후지수의 월별 각 지점에서의 추세분석 결과, UNEP-MP, UNEP-PM, MDM지수 모두 1월 모든 지점 감소, 2월 증가추세 우위, 3월에서 5월까지는 모든 지점 감소, 6월 감소 추세 우위, 7월 모든 지점 증가, 8월 증가 추세 우위, 9월 모든 지점 증가, 10월 증가 추세 우위, 11월과 12월은 감소 추세 우위의 결과를 보였다. 월별 추세를 종합적으로 평가하면, 여름철(6월 ~ 8월)과 가을철(9월 ~ 11월)에는 전체적으로 기후지수가 증가하여 습한 기후 추세를 보였으며, 겨울철(12월 ~ 2월), 봄철(3월 ~ 5월)에는 두 지역 모두 감소하는 건조 기후 추세를 보였다. 이로 인해 여름철 및 가을철에는 호우 피해의 위험성이 증가하며, 봄철 및 겨울철에는 위험성이 감소하는 것으로 판단된다. 기후지수별 추세 비교에서는 UNEP-MP 및 UNEP-PM지수는 동일한 경향을 보였으며, MDM 지수는 두 UNEP지수보다 기후지수 증가 추세를 더 강하게 나타내어 습윤 기후 경향이 보였으나 두 지수와의 결과의 차이는 미미한 정도였다(Fig. 6).
연구대상지역의 과거와 현재의 기후지수 변동특성 분석을 위해 과거 10년(2001년 ~ 2010년)과 최근 10년(2011년 ~ 2020년) 동안의 각 지점별 UNEP-MP, UNEP-PM, MDM지수를 산정하고, 지역별 지수 평균을 이용하여 선형회귀를 통한 비교분석을 수행하였다. Fig. 7과 Fig. 8은 연도별 및 월별 기후지수 변동특성 분석 결과를 각각 나타낸다. 여기서 붉은 점선 및 수치는 과거 및 최근 10년 동안의 선형 변화량을, 파란 점선은 20년 전체 기간 동안의 선형 변화를 나타내며, 검은 실선 및 수치는 과거 및 최근 10년 동안의 평균값을, C-S, C-N은 충청남도, 충청북도를 각각 의미한다.
Fig. 7에서 나타낸 바와 같이 연도별 기후지수 변화는 과거 10년보다 최근 10년 동안에 감소하였으며, 기후지수의 추세결과에서도 과거 10년보다 최근 10년 동안에 뚜렷한 감소 추세를 보였다. 이는 최근 20년 동안의 충청도 지역의 기후변화는 건조기후 추세를 나타내고 있으며, 2014년 ~ 2015년과 2017년에 발생된 가뭄 등의 영향으로 인해 건조기후 추세가 더 뚜렷하게 나타난 것으로 사료된다.
Fig. 8에서 나타낸 바와 같이 월별 기후지수 변화에서는 충청남도 및 충청북도 지역 모두 2월, 4월, 10월, 11월, 12월에 과거 10년 보다 최근 10년 동안의 평균 기후지수가 더 높게 나타났으며, 선형회귀의 추세 또한 최근 10년 동안의 기후지수가 증가하는 경향을 보였다. 반대로 1월, 5월, 6월은 과거 10년 기간보다 최근 10년 동안의 평균 기후지수가 낮았으며 기후지수의 감소 추세 또한 더 강하게 나타났다. 3월, 7월, 8월 9월은 과거와 최근기간의 차이가 미미하였다. 10월 ~ 12월 동안의 기후지수 비교 결과, 두 지역 모두 과거 대비 최근 10년간의 기후지수는 큰 폭으로 증가하였으며, 이는 최근 10년간 가을철에 호우에 의한 피해 위험성이 증가한 것으로 판단된다.
4. 결 론
최근 수십 년 동안 기후변화는 홍수, 가뭄 등 광범위하게 영향을 미치고 있으며 우리 사회에 주요 쟁점으로 대두되고 있다. 기후변화로 인한 자연재해 및 사회·경제적인 피해를 저감시키기 위하여 기후조건을 평가하고 기후변화에 대한 분석을 통하여 부정적인 영향의 관리 및 대응이 매우 중요하다. 본 연구에서는 충청지역을 대상으로 기후지수를 추세와 변동 분석을 통해 기후변화로 야기될 재해관리에 기초자료를 제공하고자 기상자료를 활용하여 UNEP-MP, UNEP-PM지수와 MDM지수를 산정하고, 산정된 기후지수의 정규성 검정을 통한 추세분석과 과거 10년과 최근 10년 동안의 충청도 지역의 기후지수 변화를 분석하였다.
충청남도와 충청북도지역의 기온 및 강수량과 잠재증발산량이 증가한 경향을 나타내었으며, 기후지수 산정 결과 습한 기후(H), 약한 건조기후(SA), 약한 습윤(SH) 순으로 발생빈도가 높게 나타났다. 두 지역 중에 충청남도 지역이 충청북도 지역보다 상대적으로 더 습윤기후를 보여, 호우에 의한 피해 가능성이 높은 것으로 판단되었다. 기후지수의 추세분석을 통해 연도별 및 월별로 지역별 침수피해 위험성의 경향을 판단할 수 있었다. 또한 기후지수 변동특성 분석 통해 계절별로 지역별 침수 피해 위험성 경향을 판단할 수 있었다.
본 연구는 강우 및 온도 등 기상인자만을 이용하여 기후지수의 추세 분석과 회귀 분석을 통해 변동 특성을 파악한 것으로, 선형분석에 의한 장기 변화를 과대 또는 과소 추정하는 한계가 있을 수 있으나, 향후 홍수 및 침수 자료가 가용할 경우 기후지수와 침수피해 상관성 분석 등 추가적인 연구를 통하여 향후 미래 수자원 관리 및 피해 저감을 위한 대응 방안 수립에 기초자료로 활용할 수 있을 것으로 사료된다.










