1. 서 론
2. 연구지역 및 데이터
2.1 연구지역
2.2 인공위성 및 재분석 증발산 자료
3. 방법론
3.1 Triple Collocation (TC) and Extended TC (ETC)
4. 결 과
4.1 계절에 따른 수문기상인자의 변동성 파악
4.2 인공위성 및 재분석 증발산 자료와 flux tower와의 비교
4.3 Triple Collocation 방법을 이용한 증발산 자료 분석
5. 결 론
1. 서 론
기후변화로 인한 수자원 변동성이 증가함에 대표적인 극심한 물 부족 국가인 우리나라는 장기적인 가뭄으로 전국적인 물 부족현상이 가중이 되고 있어 수자원의 정량화, 확보 및 효율적인 관리가 시급한 실정이다(Kwon et al., 2009). 수자원 확보에 대한 이해를 위해서는 수문순환에 대한 흐름인 강수량, 유출량, 토양수분, 증발산 등에 대한 정량적인 측정과 그 현황을 올바르게 진단하는 것이 필요하다(Chun et al., 2018; Jeong et al., 2018).
일반적으로 강수량을 통해서 인간이 활용할 수 있는 물의 최대량은 증발산량(강수량의 2/3)을 제외한 나머지 값이다. 이렇게 중요한 증발산량을 정량화함으로써 수자원에 필요로 하는 사용가능한 양을 파악할 수 있지만, 대기와 지표 사이의 여러 요인(토양수분, 식생, 기상 등)의 영향을 받기 때문에, 시간적으로나 공간적으로 정량화하기에 어렵다(Kim et al., 2006; Sur and Choi, 2011; Baik et al., 2018). 지금까지 단순 가정식 또는 경험식을 이용한 증발산 산정 방법 및 현장 실측 기기(lysimeter, flux tower)들을 사용함으로써 증발산에 대한 정량화 및 변동성을 파악하고 있다(Hong et al., 2008; Kwon et al., 2009; Lee et al., 2011; Kim et al., 2016). 점차 과학과 기술의 발전하면서, 지표에서 일어나는 현상을 관측하는 원격탐사기법을 이용한 수문 변화 관측, 다중 자료를 이용하여 물리 및 통계를 기반으로 한 지표면 모델(land surface model) 및 시나리오 모델들이 개발 및 제공되고 있다(Byun et al., 2014). 이러한 자료들은 기존 관측 방법의 공간적인 추정방법의 오차를 줄일 수 있는 장점을 가지고 있을 뿐(Shin and An, 2009), 모든 정보를 제공할 수 있는 만능이 아니며, 단지 에너지 기반 및 물 수지 기반으로 계산되며, 공간적인 제약이 없이 넓은 범위에서의 보조 자료로서 역할을 가지고 있다(Byun et al., 2014).
지점, 인공위성, 재분석 자료들은 각 사용분야 및 조건에 따라 그에 따른 정확도 및 적절성을 가지고 있지만, 각각의 자료들은 고유한 오차 및 불확실성을 가지고 있다. 특히, 다른 공간, 시간해상도의 차이 및 방법론에 따른 문제가 대표적이다. 모든 자료들은 그 자료의 정확성을 판별하기 위한 비교 및 검증이 필요하고 현재까지도 많은 지역에서 연구가 진행되고 있다. 국내에서도 다양한 증발산 자료들(Global Land Data Assimilation System (GLDAS), Global Land Evaporation Amsterdam Model (GLEAM), MOD16)의 정확성 검증이 많이 이뤄져 왔고, 각 자료들간의 적절성을 검증이 되었다. 그러나, 각 자료들에 대한 불확실성 및 오차에 대한 연구는 국내에서 대부분 이뤄지지 않았으며, 국외에서도 최근에 들어 triple collocation (TC) 방법을 통하여 다른 주요 수문기상인자들에 대한 자료간의 불확실성에 관한 분석이 실시되어왔다. 주요 연구된 분야는 토양수분(Kim et al., 2018; Gruber et al., 2016; Scipal et al., 2008; Su et al., 2014a,b), 바람장(Caires and Sterl, 2003), 강우(Alemohammad et al., 2015), 해수면 온도(Gentemann, 2014)등에 한정적인 연구에만 이뤄지고 있다. 따라서 본 연구에서는 국내에서 주로 검증에 사용되어왔던 GLDAS, GLEAM, MOD16의 실제증발산 자료들을 이용하여 각 자료들의 관계에서 가지는 불확실성을 파악하기 위하여 연구를 진행하였다. 1) 불확실성에 대하여 판별하기에 앞서 우리나라의 두 관측지점인 설마천과 청미천 flux tower를 기준으로 인공위성과 재분석자료의 비교 및 검증을 실시하였다. 2) 자료간의 불확실성을 파악하기 위하여 TC 방법을 이용하여 각 자료들간의 분석을 실시하였다. 3) 인공위성과 재분석자료간의 관계를 통하여 한반도 영역에서의 자료간의 불확실성 및 상관성을 파악하고자 하였다.
2. 연구지역 및 데이터
2.1 연구지역
한반도는 지형학적으로 유라시아 대륙의 동북쪽에 끝에 위치하고 있으며, 삼면이 바다로 둘러싸여 있다. 한반도는 몬순기후의 영향으로 인하여 여름에는 다습하고 겨울에는 건조하며, 특히 연강수량의 50% 이상이 여름에 집중된다. 한반도의 대부분 토지피복으로는 논지(rice paddy)와 혼합림(mixed forest)으로 구성되어있으며, 한반도의 연 평균 강수량은 지역적으로 약간의 편차를 가지고 있지만, 약 1,283.5 mm을 가진다(Kim et al., 2005). 계절적으로 사계절(봄, 여름, 가을, 겨울)의 특성을 가지고 있으며, 여름에는 몬순의 지배적인 영향을 받으며, 겨울과 여름은 그 기간이 길고 그에 비하여 봄과 가을철은 짧다(Choi, et al., 2006). 한반도의 연평균 기온은 10∼15℃정도이며, 특히 겨울철은 –6∼3℃, 여름철은 23∼26℃의 평균 온도를 가지고 있다. 본 연구에서는 한반도내에서의 탄소 순환은 물론 수문순환에서 강수의 약 70%를 차지하고 있는 증발산을 관측 할 수 있는 플럭스 타워 자료를 활용하기 위하여, 한국수자원조사기술원(Korea Institute of Hydrological Survey, KIHS)에서 관리하고 있는 청미천(37° 09‘-36’‘, 127°39’12‘’)과 설마천(37°56‘18’‘, 126°57’12‘’)을 연구지역으로 선정하였다(Fig. 1). 우리나라의 대표적인 토지피복(land cover type)을 기준으로 플럭스 타워지점이 설치되어있는데, 먼저, 논지(cropland/rice paddy)에 설치되어 있는 청미천 플럭스 타워 사이트(cheongmicheon farmland site, CFK)는 2008년 8월부터 관측을 실시하였으며, 다른 하나인 설마천 플럭스 타워 사이트(seolmacheon site, SMK)는 2007년 7월부터 설치가 되어 현재까지 연속적으로 다양한 미기상인자들에 대한 자료들을 관측하고 있다(Kwon et al., 2009; Kim et al., 2016). 일반적으로 플럭스 타워는 에디 공분산(eddy covariance) 기반으로 미기상학적 이론을 토대로 하고 있어 많은 이상적인 가정 사항들을 포함하고 있고, 실제 환경에서 발생하는 외부적인 요인들(자연현상, 기계적 결함 등)로 인한 결측 및 오차가 발생하기 때문에, 품질 보정이 된 자료를 사용하는 것이 중요하다(Kim et al., 2016). 따라서, 본 연구에서 사용된 자료는 한국수자원조사기술원에서 Kim et al. (2016) 방법에 따른 품질관리된 월별 실제증발산 자료를 사용하였다. 자세한 플럭스 타워에 관한 설명은 Baik and Choi (2015a)과 Kim et al. (2016)에서 확인 할 수 있다.
2.2 인공위성 및 재분석 증발산 자료
본 연구에서 활용된 인공위성 및 재분석 기반 증발산 자료인 Global Land Data Assimilation System (GLDAS), Global Land Evaporation Amsterdam Model (GLEAM), MOD16 자료를 2003년부터 2014년까지 활용하였다. 먼저, Mu et al. (2011)에서 제안된 revised remote-sensing-based Penman–Monteith (revised RS-PM)을 기반으로 한 증발산 자료인 MOD16는 전 세계에 대해서 잠재증발산과 실제증발산에 대한 8일, 월, 년 단위의 자료를 제공하고 있으며, 1 km와 5 km의 공간해상도로 제공하고 있으며, 본 연구에서는 MOD16 collection 6 자료를 이용하여 연구에 활용하였다.
기상과 해양 분야에서도 많이 활용되고 있는 재분석자료는 지점, 모델자료, 인공위성 자료 등을 통합하여 재산정되는 자료로써 많은 연구에서 검증 및 비교가 이뤄지고 있다(Baik and Choi, 2015b). 본 연구에서는 NASA에서 제공되는 자료 중 GLDAS Noah V2.1를 활용하였다. 일반적으로 GLDAS 자료는 다수의 지표면 모델로 재산정함으로써, GLDAS CLM, GLDAS Noah, GLDAS VIC 과 같이 사용된 지표면 모델 자료에 대한 이름으로 나타나게 되면 각 모델의 특성에 따라, 시간/공간 해상도는 물론 제공되는 수문기상인자들에 대한 종류도 달라진다. GLDAS는 3시간, 월, 년단위에 대한 자료를 주로 제공하고 있으며, 공간해상도는 0.25°, 1.0° 로 제공되고 있다. 다른 재분석 자료는 GLEAM V3.2b 자료를 활용하였다. 이 재분석자료는 전 세계의 지표면 증발산을 산정하기 위하여, 다양한 인공위성 자료 및 지점 자료들을 활용하여 공간해상도는 0.25°, 시간해상도는 일별 자료를 제공하고 있다. 각 자료는 version에 따라서 GLEAM v3.2a는 1980년-2017년까지 GLEAM v3.2b는 2003년-2017년까지 제공한다. 본 연구에서 활용된 자료들은 각각 공간해상도 및 시간해상도가 다르므로, 인공위성 및 재분석자료의 비교 및 분석을 위하여 세자료(GLDAS, GLEAM, MOD16)의 시간/공간해상도는 월별 및 5 km로 재격자 및 시간일치 함으로써 자료간의 분석이 가능하도록 일치시켰다.
3. 방법론
3.1 Triple Collocation (TC) and Extended TC (ETC)
지상에서 관측되는 수문기상인자들은 인공위성 및 재분석(reanalysis) 자료들에서도 모의 및 관측되어진다. 역시, 지상관측 지점에서도 특정 수문기상인자들을 관측하고 있지만, 관측/모의 및 지점 자료들은 고유의 오차들을 가지고 있다. 이러한 자료들의 오차 또는 불확실성들을 파악함으로써, 알려지지 않은 실제값에 대한 오차/불확실성 및 상관성을 파악할 수 있다. Stoffelen (1998)에 의해 제안된 TC는 독립적인 세 자료를 사용함으로써 알려지지 않은 실제값과의 선형적인 관계를 가지고 있다는 가정하에 알려지지 않은 실제값(unknown true value)간의 root mean squared error를 정량화하기 위해서 제안되었다. 본 TC 방법을 계산하는데 사용되는 error model은 아래와 같다.
| $$X_i=\alpha_i+\beta_i\theta+\varepsilon_i$$ | (1) |
여기서, Xi (i=1,2,3)는 각자료에 대한 noise measurement system에 대한 것을 나타낸다. θ는 알려지지 않은 실제값을 의미한다. 𝜀는 zero-mean random error를 나타낸다. TC 방법에서 각 독립적인 자료간의 error variance를 계산하기 위하여 각 자료간의 covariance 관계를 이용하여 자료간의 관계를 계산할 수 있다.
여기서 는 각 자료에 대한 respective error variance를 나타내고, X, Y, Z는 각 독립적인 자료를 나타낸다. Cij는 i와 j사이의 공분산을 의미한다. 그러나, 기존의 TC방법은 범주화된 변수의 시계열성, 순서 등에 대한 문제들이 있어, 여러 선행연구에서 이러한 결점이 있다는 것을 파악함으로써, McColl et al. (2014)는 이를 개선하기 위하여 ETC 방법을 제안하였다. 이 방법은 최종적으로 세 개의 독립적인 자료들 간의 correlation coefficient를 파악할 수 있으며, 아래 Eq. (3)을 통하여 구할 수 있다. TC 및 ETC에 관한 자세한 설명은 Stoffelen (1998)와 McColl et al. (2014)에서 확인할 수 있다.
4. 결 과
4.1 계절에 따른 수문기상인자의 변동성 파악
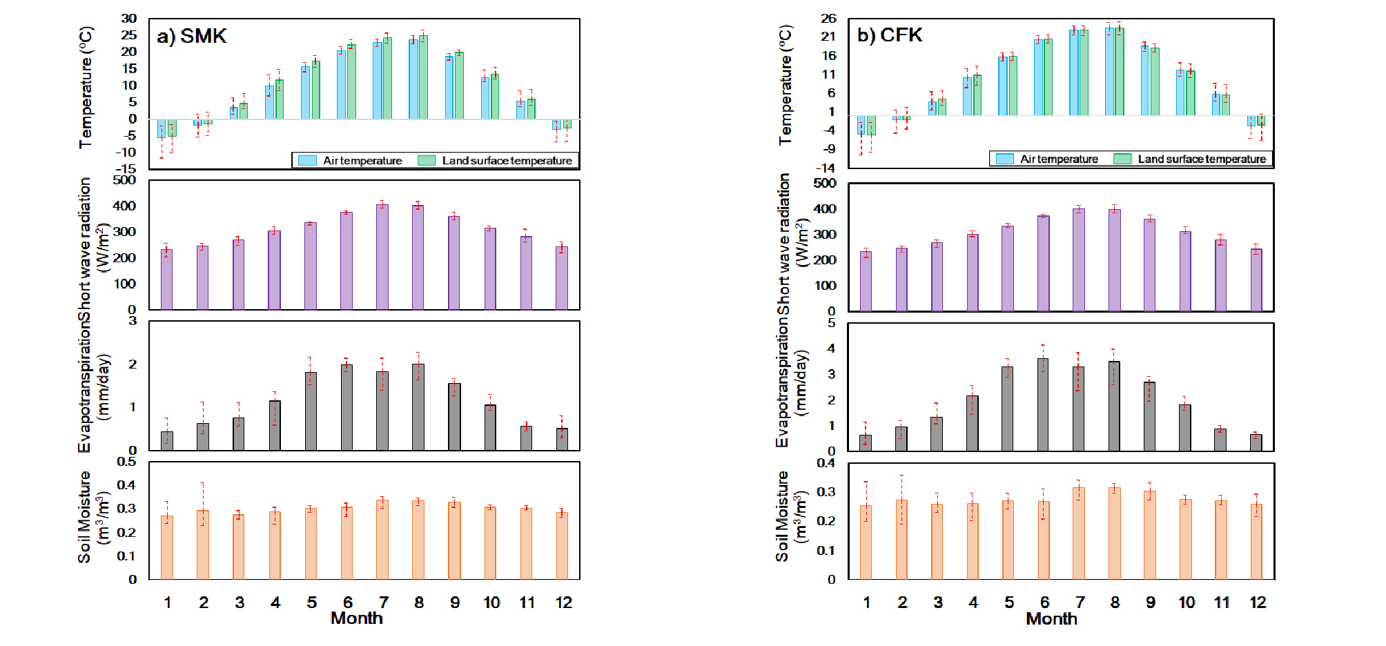
한반도에서 계절적인 수문기상인자의 변동을 확인하기 위하여, Fig. 2에 설마천(청미천)에서의 2008년부터 2014년(2009년부터 2014년)까지의 각 수문인자의 계절별 변동성을 나타내었다. Fig. 2에 나타나있듯이, 계절에 따라서 실제증발산이 겨울에서 봄, 여름으로 갈수록 최대치에 도달하게 되며, 가을에 다시 감소 추세로 들어서며 겨울에 가장 낮아지며(Kwon et al., 2009), 이는 다양한 인자들과 같이 일반적인 계절적인 패턴을 나타냅니다. 겨울(12월∼2월)에는 겨울철에는 단파복사량(short wave radiation)이 감소로 순복사에너지(net radiation)가 낮아지고, 순복사에너지의 감소로 인하여 대기 및 지표면 온도가 영하(청미천: -2.89℃, -3.02℃, 설마천: -3.46℃, -3.08℃)이하로 떨어지게 된다. 이로 인하여 지표면에는 눈과 얼음이 생성되며, 동토 층의 물의 투과율이 낮아지게 된다. 해동된 토양층과 얼어있는 토양층의 관계가 감소함에 따라서 토양수분의 양도 겨울철에 가장 낮은 상태를 나타내게 되고, 비습(specific humidity)도 감소하기 때문에 실제증발산의 값(청미천: 0.78 mm/day, 설마천: 0.53 mm/day)도 감소하게 된다. 특히 겨울에 증발산이 낮아지는 이유 중 다른 견해는 눈으로 인하여 지표면의 높은 표면 반사도(albedo)가 약 90%의 상태가 되기 때문에, 태양복사에너지의 흡수율이 감소하여 증발산 작용에 필요한 에너지가 감소하기 때문이다. 봄철(3월∼5월)에는 점차 태양으로부터 도달하는 단파복사량이 증가하여 지구내의 순복사에너지도 증가하게 된다. 이로 인해 대기 및 지표면 온도(청미천: 9.86℃, 10.35℃, 설마천: 9.67℃, 11.16℃)도 영하에서 영상으로 상승하여 토양이 융해되면서 토양수분의 함량이 증가하게 되어, 점차 실제증발산이 증가(청미천: 평균 2.28 mm/day, 설마천: 평균 1.25 mm/day)하는 추세로 들어서게 된다. 여름철(6월∼8월)에 들어서면서 단파복사에너지, 순복사에너지, 식생의 활력 및 생장이 최대치에 다다르며, 대기 및 지표면 온도도 또한 최대로 증가(청미천: 22.31℃, 22.34℃, 설마천: 22.23℃, 23.74℃)하게 된다. 여름철에는 비습과 강우량이 높아짐에 따라 실제증발산 또한 최대값의 범주(청미천: 평균 3.49 mm/day, 설마천: 평균 1.94 mm/day)를 가지게 된다. 마지막으로 수확(harvest) 및 식생의 활력이 점차 감소하는 시기인 가을철(9월∼11월)에는 순복사에너지도 점차 감소하게 되기 때문에, 대기와 지표면 온도(청미천: 12.13℃, 11.87℃, 설마천: 12.17℃, 13.01℃)가 감소하기 시작하며, 점차 토양수분도 감소함에 따라 실제증발산(청미천: 평균 1.80 mm/day, 설마천: 평균 1.06 mm/day)도 감소하기 시작한다. 전반적으로 대기 및 지표온도가 영하를 나타낼 때, 실제증발산은 0.8 mm/day보다 작아지는 것으로 나타났다.
4.2 인공위성 및 재분석 증발산 자료와 flux tower와의 비교
본 연구에서는 각 청미천과 설마천의 자료제공 기간에 대해서 GLDAS, GLEAM, MOD16 자료와의 정략적 오차와 정확도 검증을 실시하였다. Fig. 3에서는 각 인공위성과 재분석자료의 월별 실제증발산에 대한 시계열과 각 자료의 통계결과를 나타내었다. Fig. 3(a)에서의 그림을 확인하면, 세가지 자료 월별 경향성은 flux tower의 경향을 따르는 것을 볼 수 있으나, flux tower의 결과에 비하여 대부분 자료가 과대 산정되는 결과를 나타내었다. Fig. 3(b)의 청미천의 결과를 확인하여도 세 자료의 전체적인 경향이 flux tower의 경향을 잘 따라가지만 모두 과대 산정되는 결과를 나타내고 있다. 계절적으로 분석하면, 겨울과 여름기간에서 플럭스 타워의 실제증발산과 비교하였을 때, GLDAS와 MOD16이 GLEAM에 비하여 더 과대 산정되는 것으로 나타났으며, GLEAM의 자료는 flux tower에 근접한 결과를 나타내는 것을 볼 수 있다(Fig. 3). 연구기간동안의 세 자료의 평균 통계 결과로는 설마천에서는 Bias가 0.724 mm/month (0.505∼1.063 mm/month), RMSE는 0.982 mm/month (0.532∼1.266 mm/month), R은 0.901 (0.888∼0.916), Index of agreement (IOA)와 Taylor skill score (S)는 0.845 (0.746∼0.882)와 0.756 (0.691∼0.800)로 나타났고, 청미천의 경우에는 Bias가 0.455 mm/month (0.292∼0.633 mm/ month), RMSE는 0.714 mm/month (0.525∼0.821 mm/month), r은 0.896 (0.857∼0.926), IOA와 S는 0.887 (0.866∼0.928)와 0.764 (0.683∼0.817)의 결과를 나타내었다(Fig. 3). 전반적인 통계결과를 확인하면, GLEAM>GLDAS>MOD16순의 적합도를 보이는 것을 파악할 수 있다. 특히, 산림 지역에서 위치한 설마천 플럭스 타워에서는 세 개의 증발산 자료가 플럭스 타워에 비해 과대산정되는 것을 볼 수 있다. 이러한 이유는 여러 가지가 있다. 먼저, 지형학적인 특성의 영향 측면에서 지형적으로 불균질한 산악지형(heterogeneous mountain terrain)과 산림으로 이뤄진 곳은 지형적인 복잡성으로 인하여 발생할 수 있다. 그러한 이유는 플럭스 타워의 공분산 측정 방법의 기본 가정이 주변 지표면의 경사가 없고 균질적인 식생상태, 난류장 형성에 저해가 되는 주변 방해물이 있어서는 안된다(Webb et al., 1980; Kim et al., 2016). 그러나, 청미천에 비하여 설마천은 가파른 경사에 설치되어 있어 불완전한 난류장 발생의 가능성이 높아져 더욱 오차가 발생할 수 있다(Kim et al., 2016). 이로인한 문제로 실제증발산의 관측에 있어 청미천에 비해 설마천에서 초기관측자료(low data)에서 불량 또는 이산되는 자료가 많아지게 되어 실제적으로 많은 관측기간이 손실되는 현상이 발생하게 되어 실제 관측치보다 과소 산정 될 수도 있으며, 또한, 품질 관리 과정을 통해서 보정 및 평준화되게 된다. 많은 선행연구에서도 MOD16의 알고리즘에서 식생에서의 잎 그림자 효과를 고려하지 못함으로 인하여 산림 지역에서의 과대평가 되는 경향이 있다는 결과 보인다고 언급된다 있다(Jang et al., 2013; Hu et al., 2015). 기존의 선행연구들에서도 산림지역인 설마천에서 청미천에 비하여 양적인 오차 또는 정확성이 감소하는 비슷한 결과를 나타내었다.
4.3 Triple Collocation 방법을 이용한 증발산 자료 분석
Fig. 4에는 TC와 ETC로부터 계산된 error variance와 correlation coefficient에 대해서 나타내었다. TC 방법은 위에서 언급한 것과 같이 세 자료간의 관계를 파악하는 방법이기 때문에 본 연구에서는 자료에 조합에 따른 3개의 시나리오(Scenarios)를 설정(S1: flux tower vs. GLDAS vs. MOD16, S2: flux tower vs. GLDAS vs. GLEAM, S3: flux tower vs. GLEAM vs. MOD16)하여 계산하였다. S1 (flux tower vs. GLDAS vs. MOD16)의 경우 두 관측 지점에서 확실히 GLDAS가 낮은 error variance와 높은 correlation coefficient를 나타냈고, S2 (flux tower vs. GLDAS vs. GLEAM)에서도 GLDAS가 가장 좋은 결과를 나타내었다. S3 (flux tower vs. GLEAM vs. MOD16)의 경우 GLEAM이 가장 높은 결과를 나타내었다. 전반적으로 3가지의 시나리오의 평균을 나타낸 결과 청미천(설마천)의 경우 GLEAM>GLDAS>MOD16>flux tower (GLDAS>GLEAM>MOD16>flux tower)의 순으로 가장 높은 correlation coefficient를 나타내었다. 종합적인 error variance를 확인하면, GLEAM(청미천: 0.042, 설마천: 0.068)과 GLDAS (청미천: 0.031, 설마천: 0.056)가 가장 낮았으며, 그 다음으로는 MOD16(청미천: 0.197, 설마천: 0.106)을 나타내었으며, 마지막으로 flux tower(청미천: 0.138, 설마천: 0.107)는 가장 높은 error variance를 보였다. 이러한 결과를 통하여 다음과 같은 해석을 할 수 있다. TC 방법을 통해서 독립적인 자료들을 통하여 알려지지 않은 실제 관측값과의 관계를 파악함으로써 직접관측을 실시하고 있는 flux tower의 불확실성 및 오차를 파악할 수 있으며, 어떠한 자료가 가장 높은 적절성을 보이는 지를 파악할 수 있다(Khan et al., 2018).
설마천과 청미천에서 TC방법을 통해 파악한바, flux tower가 가장 높은 불확실성을 가질 수 있다는 것을 파악하였다. 따라서, flux tower자료가 없이도 독립적인 세 자료만으로도 한반도 영역에서의 적용가능성을 가지고 있다. 따라서, 이 자료들만으로도 알려지지 않은 실제 관측값과의 불확실성을 파악할 수 있을 것으로 판단되기 때문에, Figs. 4 and 5는 MOD16 vs. GLDAS vs. GLEAM 자료간의 조합으로 TC 방법과 ETC 방법으로 error variance 와 correlation coefficient를 계산하였다. 토지피복별로 구분한 결과를 나타낸 Fig. 4를 확인하면, 한반도에 많은 부분을 차지하고 있는 산림영역과 농지뿐만 아니라, 다른 토지피복에서도 GLDAS가 다른 두 자료에 비하여 error variance가 낮음을 확인 할 수 있으며, MOD16의 경우 대부분의 토지피복도에서 높은 error variance를 나타내고 있다. 이는 다른 자료에 비해서 알려지지 않은 실제값과의 불확실성이 다른 자료와 비하여 높은 것을 의미한다. Fig. 5에 ETC 방법으로 계산된 독립된 세 자료간의 correlation coefficient의 결과를 확인하면, GLDAS의 cropland와 urban을 제외하고 correlation coefficient의 편차가 높은 것을 확인 할 수 있다. 드물게 GLDAS가 GLEAM과 MOD16에 비해 해안과 육지가 근접해있는 지점에서 부정확한 값을 보임에 따라서 ETC결과가 낮은 correlation coefficient 결과를 나타내었다.
GLDAS와 GLEAM의 경우에는 한반도 전 영역에 대해서 높은 correlation coefficient와 낮은 error variance를 보이고 있는데 반해, MOD16의 경우 대부분의 grass land와 cropland에서 낮은 correlation coefficient와 두 자료에 비해 높은 error variance를 나타내고 있다(Fig. 6). 이러한 결과는 Khan et al. (2018)에서도 찾을 수 있다. 이 연구에서는 동북아시아 영역의 flux tower와의 재분석/인공위성 증발산 자료들에 대해서 검증을 실시하였는데, rice paddy와 grassland에서 다른 자료에 비하여 MOD16 결과가 낮게 나오는 것을 확인 할 수 있다. 반면에, MOD16은 다른 자료에 비하여 고해상도를 가지고 있기 때문에, 숲이 우거진 산악지형(북한지역의 자강도, 량강도, 함경남도)에서는 저해상도인 GLDAS와 GLEAM에 비하여 숲과 나지의 경계를 잘 구분할 수 있어서 낮은 error variance를 나타내고 있는 것으로 사료된다.
5. 결 론
본 연구는 한반도의 지점 관측지점 자료와 인공위성/재분석 증발산 자료에 대한 불확실성을 파악하고자 TC 방법을 통하여 총 3개의 시나리오를 기준으로 분석을 실시하였으며, 마지막으로 flux tower 자료를 제외한 자료들의 조합을 통하여 자료간의 correlation coefficient와 error variance를 파악하였다. 본 연구의 결과를 요약하면 다음과 같다.
1) 계절별 수문기상인자들의 변동성에 관하여 파악하였다. 복사에너지의 영향에 따른 수문기상인자들의 변동성을 파악할 수 있었으며, 겨울철에 들어서면서 지표와 대기 온도가 영하로 떨어짐에 따라서 실제증발산은 1 mm/day보다 작은 값을 나타내는 것을 파악할 수 있었다.
2) TC 방법을 이용하여 총 3개의 시나리오로 분석한 결과, 청미천의 경우에는 GLEAM>GLDAS>MOD16>flux tower의 순의 결과를 나타내었으며, 설마천의 경우에는 GLDAS >GLEAM> MOD16>flux tower의 순의 결과를 확인할 수 있었다. 이는 TC방법을 통해서 확인하였을 때, flux tower가 가장 높은 불확실성을 가지고 있다는 것을 의미하며, 재분석 자료인 GLDAS와 GLEAM이 불확실성이 적다는 것을 의미한다.
3) 마지막으로 flux tower를 제외하여 인공위성/재분석 자료들만으로 TC방법을 적용한 결과 기존의 결과에 같이 산림지역 및 논지가 많은 한반도 영역에서 GLEAM과 GLDAS가 가장 불확실성이 적다는 것을 파악할 수 있는 반면에, MOD16은 논지에서 다른 두자료에 비해 낮은 상관성을 가지고 있는 것을 파악하였다.
본 연구를 통해서 자료간의 불확실성을 파악할 수 있으며, 어떠한 자료가 가장 적은 불확실성을 가지는지 파악을 통해, 정확성 및 오차가 적은 자료들을 활용함으로써 관측지점에서 미관측이 되었을 때, 보조 자료로써 사용 가능한 자료를 판단할 수 있을 것으로 보인다. 활용가능한 flux tower 지점이 많아진다면, 각 토지피복간의 분석을 통하여 보다 정확한 관계성을 파악할 수 있을 것으로 판단된다. 또한, 기존 TC 방법이 선행적인 자료를 가정으로 계산되기 때문에 추후 연구에서는 계절적인 패턴을 고려하는 방법을 통해 자료의 적절성 및 정확성을 파악하는 것이 필요할 것으로 보인다.








