1. 서 론
2. 재료 및 방법
2.1 대상유역
2.2 기후변화 시나리오
2.3 극한지수(STARDEX)
2.4 SWAT 입력자료
3. 결과 및 고찰
3.1 기후변화 시나리오 별 극한지수 산정 결과
3.2 극한 시나리오별 수문 거동 분석
3.3 극한 기후변화 사상에 따른 유황분석
4. 요약 및 결론
1. 서 론
1850년대 이래로, 지구표면의 온난화는 그 어느 때의 10년 보다 지난 30년 간 연속해서 심화되었다(IPCC, 2007). 21세기의 산업이 더욱 발전하면서 인위적으로 발생 된 온실가스 때문에 21세기의 기후변화는 20세기의 기후변화에 비해 크게 변화 하고 급격하게 진행 되고 있다. IPCC 4차 보고서(2007)에 따르면, 온실가스 배출량은 1970년과 2004년 사이에 70%가 증가했고 현재 수준의 온실가스 완화 정책 및 관련된 개발이 지속된다면 전 세계 온실가스 배출량은 2000년 대비 25~ 90% 증가할 것으로 전망했다. 온실가스 배출량이 증가하면서 전 지구적으로 기온이 상승하고 그에 따라 엘니뇨나 가뭄과 같은 이상기후와 극한 사상이 발생하여 수권, 생물권, 해양권 및 생태계 등 다양한 분야에서 영향을 끼치고 있다.
실제로 2017년 이상기후 보고서(2017)에 따르면, 2016년 장마기간(6월 24일~7월 29일) 동안 전국 평균 강수량은 291.7 mm로 평년 강수량(356.1 mm)의 81%로 적었고, 7월 전국 평균 기온은 26.4°C로 평년(24.5°C)보다 1.9°C 높았으며 폭염일수는 6.4일로 2016년 7월 폭염일수 5.5일 보다 많고 평년(3.9일) 대비 1.5배 많았음을 보고했다. 이와 같은 이상기후로 인해 농업, 해양수산, 산림, 환경 및 건강 등의 다양한 분야에서 피해가 발생하였으며, 특히 장마철의 강수량은 지구온난화에 의한 폭염으로 인한 영향이 컸다. 이에 대해 Kim et al. (2008)과 Kim and Kim (2009)은 비정상적인 기후가 원인이 되는 극한 사상은 과거에 경험하지 않아 예측하기 힘들고 과거 30년 동안 관측된 적이 없는 현상을 극한 기상 사상(extreme weather event)로 설명하였다.
최근 기후변화에 따른 극한 사상의 발생 빈도는 증가하고 있으나 일정한 주기나 패턴이 뚜렷이 나타나지 않아 극한 사상에 대응하고 예측하기에 어려움이 있다. 기후변화에 따른 극한 사상의 발생빈도가 점차 증가하면서 특히 수자원, 농업, 관개, 하천 등 미래의 수문 분야 측면에서 미래 극한 사상에 대해 예측하고 적응 할 수 있는 연구가 필요하다.
최근 국내 ․ 외에서도 각 기후변화 시나리오로부터 획득한 기온 및 강수량 자료를 이용하여 극한 사상의 크기와 빈도 및 강도를 평가하기 위하여 지수화를 적용하고 있다. 국외 연구를 살펴보면 Goodess et al. (2007)은 STARDEX (STAtistical and Regional dynamical Downscaling of EXtremes) 극한지수를 이용하여 극한 온도와 극한 강수현상에 대해 유럽지역의 통계적 축소 기법을 적용하여 수문모형의 타당성을 평가하였으며 Karl et al. (1996)은 극한 최고 기온 및 극한 최저 기온, 극한 강우량과 Palmer 가뭄지수를 이용하여 미국에 적합한 지수를 개발한 바 있으며, Manton et al. (2000)은 극한 지수를 이용하여 아시아지역 남동부와 태평양일대에 대한 일 강우자료와 온도 자료룰 분석 하였으며, Jürg Schmidli et al. (2003)은 STARDEX 극한지수를 이용하여 20세기 스위스의 계절별 극한 강우의 경향성을 분석 하였다.
국내 연구로는 Kim et al. (2008)이 극한 지수를 이용하여 우리나라의 극한 사상을 시공간적으로 분석하였으며, Kim and Kim (2009)은 B2 기후변화 Global Circulation Model (GCM)시나리오와 극한지수를 이용하여 우리나라의 극한 강우가 지역과 계절에 따라 얼마만큼 상대적으로 증감하였는지를 분석하였다. Lee et al. (2011)은 한국의 기온 변화에 대한 도시화의 효과를 파악하기 위하여 STARDEX 극한지수와 Expert Team on Climate Change Detection and Indices (ETCCDI)의 기온 관련 극한지수중 극한기온에 해당하는 16개의 지수를 이용하여 분석 하였고, Kim et al. (2013)은 RCP 4.5 시나리오 및 8.5 시나리오와 ETCCDI 지수를 사용하여 분위 사상법을 통해 미래 강우 사상의 빈도와 강도를 전망함으로써 기후변화를 고려한 목표 기간별 방재기준의 기초자료를 제시했다.
이와 같이 극한 기온과 사상에 대한 연구가 국내외로 많이 진행되고 있지만, 이들 연구의 대부분은 기상관측소에서 관측한 연별 통계 자료를 이용하여 지수들의 값을 산정하거나 경향성을 분석한 연구가 대부분이며 기후변화에 따른 미래의 극한 사상에 대한 유역의 수자원 관리 측면에서의 유황분석 및 수문변동에 관한 연구는 전무하다.
생산된 기후변화 시나리오 자료를 이용한 분석에서 표준화를 확보하기 위한 가장 좋은 방법은 분석사례가 풍부하고 이론적 근거가 타당한 분석 지표를 결정하여 이용하는 것이다. 본 연구에서는 효용성이 입증된 STARDEX 극한지수를 계산하여 우리나라 미래 극한 기후의 변화를 전망하고 강수의 극한지수 증감 경향성을 분석 하였다. 또한 선별된 극한 기후변화 사상을 수문 모형에 적용함으로써 미래 금강유역의 수문특성의 변화와 그에 따른 유황변동을 분석하고자 한다. Fig. 1은 본 연구의 연구 흐름도이다.
2. 재료 및 방법
2.1 대상유역
본 연구의 대상유역은 우리나라 5대 하천중 하나인 금강유역으로 유역면적은 9,645.5 km2이며, 유로 연장은 384.8 km이다. Fig. 2는 SWAT 모형에 적용하기 위해 분할된 78개의 소유역과 댐 및 보의 검정 및 보정지점을 나타낸 것이다. 금강유역의 이용가능한 수자원 총량은 128억 m3이며, 이는 5대강 유역 중 3번째로 큰 수자원 용량이다(MOILT, 2016). 또한 금강유역의 연간 지하수 이용량은 2015년 기준 525.9백만 m3이며 최근 10년(2005~2015)동안 11.6% 증가한 것으로 조사되어 대부분의 수자원이 지하수에 의존한다(MOILT, 2016). 금강유역의 전체 면적의 62%가 산림으로 이루어져 있고 논이 15%, 밭이 11%를 차지하고 있으며 나머지 도시와 초지 및 나지 등은 3~5%를 차지한다. 금강유역의 과거(1976~2005) 연평균 강수량은 1,323.1 mm, 연평균 기온은 12.2°C이며, 유역 내에는 2개의 다목적댐인 용담댐(YDD), 대청댐(DCD)과 3개의 다기능 보인 세종보(SJW), 공주보(GJW), 백제보(BJW)가 설치, 운영되고 있다.
2.2 기후변화 시나리오
본 연구에서 사용한 기후변화 시나리오는 26개 Coupled Model Intercomparison Project Phase 5 (CMIP5) 기후변화 시나리오에 대해 통계적상세화 기법인 Spatial Disaggregation Quantile Delta Mapping (SDQDM)을 적용한 상세화 된 기후변화 시나리오를 APCC으로부터 제공받았다. APCC에서는 3개의 미래 평가기간(2020s: 2011~2040, 2050s: 2040~ 2069, 2080s: 2070~2099)에 대해 군집분석 기법중 하나인 Katsavounidis-Kuo-Zhang (KKZ) 기법(Katsavounidis et al., 1994)을 활용하여 Representative Concentration Pathway (RCP) 별 그리고 미래 3개 구간 즉, 2006~2035 (2020s), 2036~ 2065 (2050s), 2066~2095 (2080s)에 대해 대표 시나리오를 선정하여 시나리오를 제공 중에 있다. 표에서 RCP별 시대별 첫 번째에 선정된 GCM은 24개 ETCCDI를 기준으로 앙상블 평균에 가장 가까운 시나리오를 의미한다.
본 연구에서는 RCP 8.5 시나리오에 대해 우선순위가 각 기간별로 상, 중, 하위권에 위치한 시나리오를 습윤한 시나리오, 중간정도의 시나리오, 건조한 시나리오로 구분하고 2020s기간 3개 시나리오(CESM1-BGC, INM-CM4, MPI-ESM-LR), 2050s기간 3개 시나리오(NorESM1-M, CMCC-CM, FGOALS-s2), 2080s기간에서 3개(MIROC5, HadGEM2-ES, MPI-ESM-MR)를 선택하여 총 10개의 시나리오에 극한지수를 적용하여 정리 및 분석하였다(Table 1).
Table 1. The table of priority by period released by APEC
2.3 극한지수(STARDEX)
EU는 21세기 말 극한 기후 사상의 빈도와 어떤 크기의 강도로 발생 하게 될지 그 변화와 경향성을 파악하기 위해 2001년 2월부터 2004년 5월까지 약 4년에 걸쳐 STARDEX 프로젝트를 수행하였다(STARDEX, 2005).
STARDEX는 시간과 공간 규모에서 극한의 시나리오를 구성하는데 사용되는 통계적, 동적 및 역학적 축소 기법으로, STARDEX는 특정 백분위수(percentile)에 해당하는 값을 산출하는 방식으로 산정 된다(Kim et al., 2008). STARDEX는 강우관련 6개의 지수와 기온관련 4개의 지수를 이용해 극한지수를 산정하게 되는데, 이때 강우관련 극한지수는 일별자료, 기온관련 극한지수는 시간별 자료가 요구된다.
현재 일반적으로 사용되는 RCP 8.5 기후변화 시나리오는 일단위 강수량, 최고기온, 최저기온, 평균풍속, 상대습도, 일사량 자료만을 제공하기 때문에 본 연구에서는 각 기간별로 제시된 우선순위 기후변화 시나리오 중 10개를 선택하여 STARDEX (2005)에서 제시한 극한지수 항목 중 강우와 관련된 6개의 지수를 선택하여 기후변화 시나리오별 극한지수를 산정하고 비교하였다(Table 2).
Table 2. Rainfall-related extreme indices (STARDEX, 2005)
선정된 강우관련 6개 지수는 집중호우 한계점(Heavy Rainfall Threshold), 지속기간 5일 최대 강수량(Greatest 5-days Rainfall), 습윤일의 강우 강도(Average Wet days Rainfall), 최대 건조 지속기간(Longest Dry Period), 집중호우 한계점 이상 강우량 비율(Heavy Rainfall Proportion), 집중호우 한계점 이상 발생빈도(Heavy Rainfall Days) 이다.
집중호우 한계점은 강우가 발생한 일의 강우량 중 90%에 해당하는 양으로 정의되며, 지속기간 5일 최대 강수량은 연속 강우일수가 5일 지속되었을 때 발생한 강우량 중 최대 강우량을 의미한다(Eq. (1)).
(1)
여기서, Rkj은 j기간 동안 k간격으로 N 날(day)에 발생한 총 강우량이다.
습윤일의 강우강도는 기간 동안 강우가 발생한 날(Wet days) w(R<wd_cutoff에 대한 일강우량을 Rwj라고 할 때, 강우가 발생한 날 w에 대한 평균 총 강우량은 아래의 Eq. (2)와 같이 나타낼 수 있다. 단, wd_cutoff는 규정변수로 일정 강우 이상이 발생하였을 때를 습윤일 w로 정의하는데 wd_cutoff는 STARDEX 극한 지수를 사용하는 사용자가 설정하는 변수이므로 본 연구에서는 wd_cutoff=1로 설정하여 연구를 진행하였다(STARDEX, 2005).
(2)
최대 건조 지속기간은 j기간의 i날(day)에 대해 일정 강우 이하로 발생하는 일수(number of days)를 의미한다(Eq. (3)).
(3)
집중호우 한계점 이상 강우량 비율은 j기간 동안 강우가 발생한 날 w(R>wd_cutoff)에 발생한 일강우량을 특정 기간 동안 강우량이 발생한 날의 강우량의 90th 백분위수에 해당하는 값을 Rwn90 보다 큰 경우로 정의한다(Eq. (4)).
(4)
집중호우 한계점 이상 발생빈도는 j기간 동안 발생한 총 강우량을 Rj, j기간 동안 강우가 발생한 날 w(R>wd_cutoff)에 발생한 일강우량을 Rwj, 특정 기간 동안 강우가 발생한 날에서 강우량의 90th 백분위수에 해당하는 값을 Rwn90으로 취하면 집중호우 한계점 이상 발생빈도가 산정된다(Eq. (5)).
(5)
2.4 SWAT 입력자료
SWAT 모의를 위한 공간자료는 DEM, 토지이용도, 토양도가 요구되며, 기상자료는 강수량(mm), 최저 및 최고기온(°C), 풍속(m/sec), 상대습도(%) 및 일사량(MJ/m2)이 필요하다. 본 연구에서는 Lee et al. (2018)이 금강유역을 대상으로 총 11년(2005~2015)에 대하여 기구축한 SWAT 모의 자료를 활용하였다. 2개의 다목적 댐과 3개의 다기능 보에 대한 보정기간(2005~2009)에 대한 평균 R2는 0.76, 평균 NSE에 대한 모델 효율은 0.69이며, 검정 기간(2010~2015)에 대한 평균 R2는 0.66, 평균 NSE에 대한 모델 효율은 0.59로 분석되었다.
본 연구에서는 Lee et al. (2018)이 수행한 금강유역의 검정 및 보정한 데이터를 활용하여 기후변화에 따른 극한 사상이 금강 유역의 수문 순환에 미치는 영향을 평가 하였다.
3. 결과 및 고찰
3.1 기후변화 시나리오 별 극한지수 산정 결과
일반적으로 기후변화 연구에서는 불확실성을 고려하기 위해 다양한 GCM 시나리오를 고려하는 앙상블 기법을 사용하는데 모든 GCM 시나리오들을 전부 사용하는 것은 많은 계산시간과 노력을 요구하기 때문에 비효율 적이다(Seo et al., 2017). 따라서 본 연구에서는 STARDEX 기법을 활용하여 극한 기후변화 시나리오에 따른 수문 거동 분석을 위한 대표 시나리오를 선정하였다.
이를 위해 금강유역에 있는 6개의 기상관측소 중 대표적으로 대전 관측소의 기상자료를 이용하였다. CMIP5 10개의 기후변화 시나리오에서 대전 관측소 지점의 기상자료를 추출하여 STARDEX (2005)에서 제시한 강우관련 극한지수 6개를 적용하였고 평가기간별(Historical (1976~2005), 2020s (2011~2040), 2050s (2041~2070), 2080s (2071~2100)) 극한지수 산정 결과는 Table 3과 같다. 집중호우 한계점이 가장 크게 산정된 시나리오는 MIROC5로 전체 기간 평균 10.1 mm/day로 분석되었으며, 평가기간별로 살펴보면 Historical 기간에는 9.0 mm/day이었던 한계점이 2080s 기간에는 11.8 mm/day까지 상승하여 미래로 갈수록 강수량이 증가함에 따라 집중호우 한계점도 함께 증가하는 경향을 나타내었다.
Table 3. Results of rainfall-related extreme indices
지속기간 5일 최대 강수량의 경우 HadGEM2-ES 시나리오가 평균 320.3 mm로 가장 크게 나타났는데, Historical 기간에 259 mm이었던 강수량이 2080s 기간에는 358.1 mm까지 증가하여 미래로 갈수록 최대 강수량이 증가하는 것으로 분석되었다.
습윤일의 강우강도에 대한 증가폭이 가장 크게 나타난 시나리오는 MPI-ESM-LR로 Historical에 비해 2020s에서는 15.2%, 2050s에서는 24.1%, 2080s에서는 33.5% 증가한 것으로 계산되었으며, 2050s를 제외한 나머지 평가기간동안의 집중호우 한계점과 지속기간 최대 5일 강수량도 함께 증가하는 패턴을 나타내었다.
최대 건조 지속기간이 평균 24.3일로 10개의 시나리오 중에서 가장 길게 나타난 FGOLAS-s2 시나리오의 경우 특히 2050s기간에 최대 28.3일 동안 무강우가 지속되었다. 집중호우 한계점 이상 강우량 비율이 평균 48.1%로 가장 크게 분석된 CMCC-CM 시나리오는 10개의 시나리오 중 한계점이 8.4 mm/day로 가장 낮았기 때문에 상대적으로 집중호우 이상의 강우량의 비율이 높은 것으로 판단된다.
산정한 STARDEX 6개의 지수의 순위를 종합하여 분석한 결과 가장 습윤한(wet) 시나리오는 CESM1-BGC와 HadGEM2-ES였으며, 가장 건조한(dry) 시나리오는 INM-CM4와 FGOALS-s2로 분석되었다. 또한 10개의 시나리오 중 5위에 해당한 MPI- ESM-MR 시나리오는 기간별로 순위의 변동성이 가장 적었다.
본 연구에서는 산정된 6개 극한지수 결과를 각각 순위를 매겼으며, 6개 지수별 순위를 종합하여 가장 습윤한 시나리오(CESM1-BGC, HadGEM2-ES)와 가장 건조한 시나리오(INM-CM4, FGOALS-s2)를 선정하였다. 습윤한 시나리오로 분류되었던 MIROC5의 경우 Historical 기간에 가장 습윤하였으나, 미래로 갈수록 건조해 지는 경향을 보여 본 연구에서는 CESMI-BGC를 선택하였다. 또한 극한 건조한 사상과 습윤한 기후사상에 따른 수문 거동의 비교검토를 위해 중간순위의 시나리오(MPI-ESM-MR)를 추가로 선택하여 선행 연구를 통해 검 ․ 보정된 SWAT 모형에 적용하였다.
3.2 극한 시나리오별 수문 거동 분석
본 연구에서는 극한사상에 따른 수문 모의 결과를 분석하기 위해 STARDEX를 통해 선정된 5개 시나리오를 SWAT 모형에 적용하였으며 시나리오별 비교를 위해 중간순위 시나리오인 MPI-ESM-MR 대비 변화량을 검토하였다(Table 4).
Table 4. Changes of hydrological element depend on extreme climate change scenario
2020s의 HadGEM2-ES의 경우 Table 3에서와 같이 지속기간 5일 최대 강수량과 집중호우 한계점 이상 강우량 비율이 각각 316.0 mm, 48.0%로 습윤한 시나리오로 평가된 것과 달리 수문모형 적용 결과 중간시나리오에 비해 강수량과 증발산량, 총 유출량은 각각 -56.9 mm, -7.1 mm, -48.3 mm 감소한 것으로 분석되었다.
건조한 시나리오로 평가된 INM-CM4 시나리오의 2020s 강수량은 중간시나리오 대비 152.9 mm 감소하였고, 강수량 부족으로 인해 증발산 및 총 유출량이 각각 16.8 mm, 132.3 mm, 감소하였다. 동일한 기간의 FGOLAS-s2도 건조한 시나리오로 평가되었고, 중간 시나리오 대비 강수량, 증발산량 및 총 유출량이 각각 279.7 mm, 13.3 mm, 264.0 mm 감소한 것으로 분석되었는데, 이는 극심한 강수량 부족으로 인해 토양 수분 함량이 낮아짐에 따라 증발산량이 감소한 것으로 판단된다.
2080s 기간의 FGOALS-s2의 경우 STARDEX 적용 결과 지속기간 5일 최대 강수량이 344.8 mm로 가장 많았음에도 불구하고 건조일수가 28.3 day로 10개의 시나리오 중에서 가장 길어 건조한 시나리오로 평가되었는데, 수문 모의 결과 강우량은 중간시나리오 대비 60.7 mm, 총 유출은 74.8 m3/s 증가하였다.
종합해보면 건조한 시나리오의 경우 중간시나리오에 비해 상대적으로 강우량이 적음에 따라 지속기간 5일 최대 강수량 지수가 낮고, 최대 건조 지속기간이 길어 수문량 역시 중간시나리오에 비해 작은 것으로 분석된 반면, 습윤한 시나리오는 집중호우 한계점, 지속기간 5일 최대 강수량, 습윤일의 강우 강도지수가 높아 습윤한 시나리오로 평가되었음에도 불구하고 중간시나리오에 비해 적은 양의 강우량을 전망하여 수문량이 감소했다. 이는 과거에 발생했던 강우와 같이 장마로 인하여 지속적이고 주기적인 강우가 발생한다기 보다는 국지적이고 단기적이며 불규칙적으로 강우가 강하게 출현하고 있는 것으로 해석 할 수 있다(Kim et al., 2008).
극한 시나리오별 유역 내 유출량의 변화를 상대적으로 평가하기 위해, 금강유역 내 78개 표준단위유역별 총 유출량에 백분율순위(percent rank)를 적용시켰다. 또한 순위가 떨어진 지역을 도출하기 위해 평년시나리오를 기준으로 순위 변화를 도출하였으며, 이를 공간적으로 분포시켰다. Fig. 3은 평년시나리오인 MPI-ESM-MR 대비 습윤한 시나리오 HadGEM2-ES와 건조한 시나리오인 INM-CM4의 변화를 평가기간별로 비교하여 도시한 것이다.
총 유출량의 극심한 변화를 겪은 기간은 2080s 로 HadGEM2- ES의 경우 대청댐 상류와 세종보 상류에서 유량이 감소하는 경향이 심화되는 것으로 분석되었고, INM-CM4의 경우 대청댐 상류 일부와 세종보 하류 및 유역 출구에서 유량이 감소하는 경향을 나타내었다. 시나리오 중 HadGEM2-ES 시나리오가 습윤한 시나리오로 분석되었음에도 불구하고, 총 유출량 감소지역이 댐 상류로 분석되어, 댐의 극한사상 시나리오 분석 시 활용가능한 시나리오로 판단된다. 건조한 시나리오인 INM-CM4 시나리오는 주로 보 주변 유역의 취약성을 감지하고 있음에 따라 보 유역의 유량 감소로 인한 수문 분석에 활용 가능한 시나리오로 판단된다.
이처럼 미래 극한기후 사상에 따른 수문 변화를 전망하기 위한 시나리오 선택 시 강수량 또는 기온의 절대량만을 비교하기보다는 효용성 있는 여러 가지 극한 지수를 산정하고 목적에 부합되는 시나리오를 선정해야 전망결과에 신뢰성을 확보할 수 있을 것으로 판단된다.
3.3 극한 기후변화 사상에 따른 유황분석
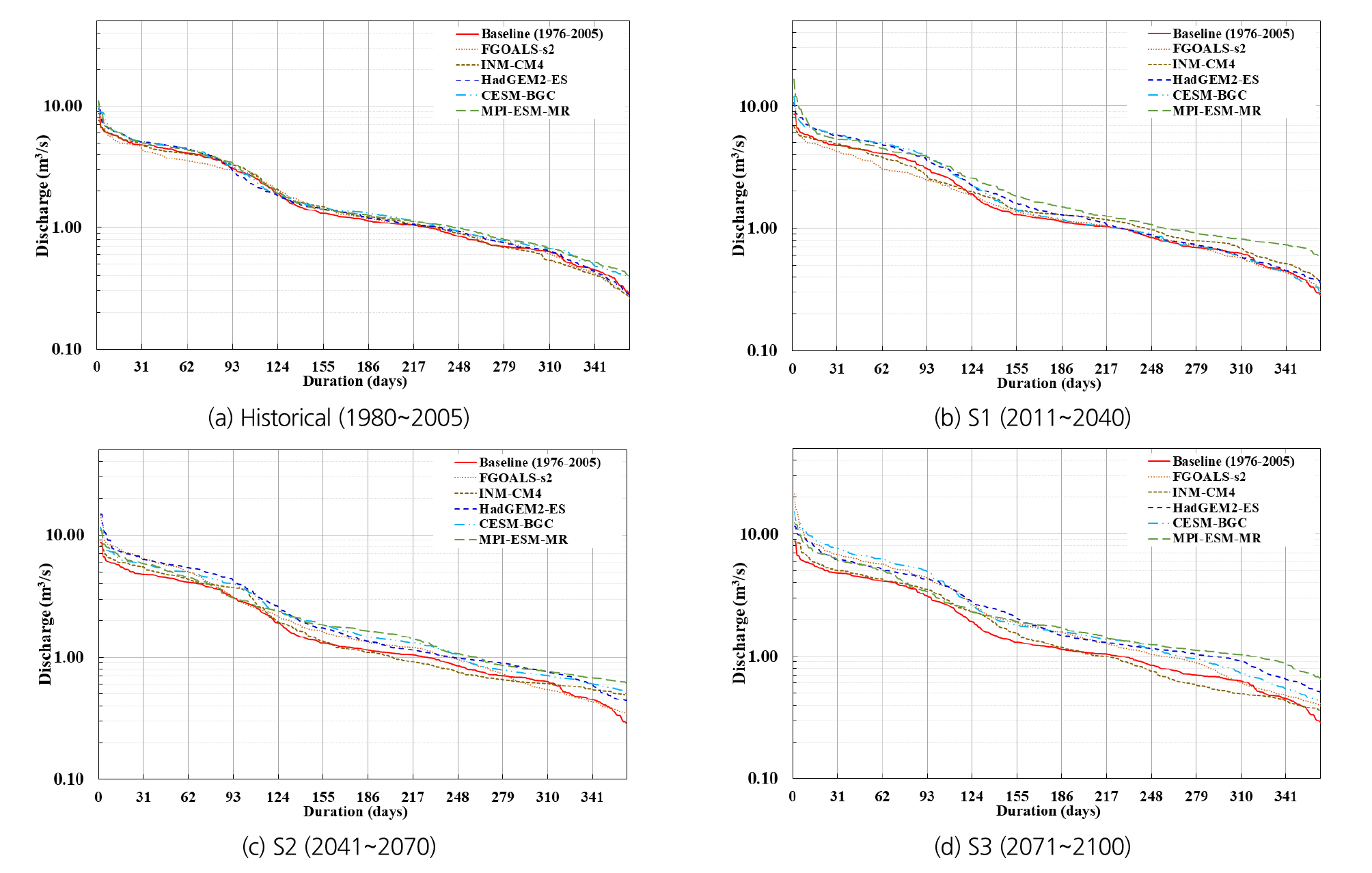
하천유량이란 특정 시간에 하천의 특정 지점을 흐르는 물의 양이며 시간에 따른 지속적인 유량의 상황을 유황이라 한다(Kang et al., 2010). 하천은 유역의 기후, 지형 및 토지이용 등에 따라 고유한 유황특성을 가지고 있고 이들 유황특성은 하천환경의 건전성을 파악 할 수 있는 방법이다. 따라서 본 연구에서는 수문 모의 결과를 토대로 유황곡선(flow duration curve)을 작성하여 유황분석을 수행하였다.
극한 사상에 따른 하천 유황의 변화를 정량적으로 분석하기 위해 시나리오별 SWAT 모의 결과를 미래의 평가 기간별 홍수량(Q10), 풍수량(Q95), 평수량(Q185), 저수량(Q275), 갈수량(Q355) 산정하였다. 4개의 평가기간별 유황분석 결과는 Table 5 and Fig. 4와 같다. 표에서 CFR (Coefficient of Flow Regime)은 유황계수로, 지속기간 10일에 해당하는 유량을 지속기간 355일에 해당하는 유량으로 나눈 값을 이용하여 유량의 변동성을 비교하는 것이다(Lee et al., 1993; Kang et al., 2010).
Historical 기간에서의 FGOALS-s2, INM-CM4 두 시나리오의 유황은 중간시나리오에 비해 전체적으로 낮게 분석된 반면 CFR의 경우 중간시나리오에 비해 각각 1.90, 3.00 증가하여 유황 변동이 매우 심하고, 극심한 갈수현상이 나타날 것으로 분석되었다. 습윤한 시나리오의 경우 HadGEM2-ES의 CFR이 13.8으로 홍수량은 중간시나리오에 비해 적었으나 갈수량은 많아 유황변동이 작았다.
2020s 기간에서는 건조 및 습윤 시나리오 모두 중간시나리오에 비해 홍수량이 적었고 CFR의 경우 평년시나리오에 비해 1.70~17.50 큰 것으로 분석되어 습윤한 시나리오와 건조한 시나리오 모두 강수량 부족으로 인한 갈수현상이 나타날 것으로 전망되었다.
2050s 기간에서 홍수량이 가장 큰 시나리오는 FGOALS-s2였는데, CFR 역시 21.4로 모든 시나리오 중 가장 큰 것으로 분석되어 집중호우량은 많으나 무강우 일수가 긴 시나리오의 특성을 잘 반영한 것으로 판단된다.
Fig. 4(d)에서와 같이 2080s에서는 RCP 8.5 저감 없이 기후변화가 극대화 되는 시나리오 특성 상 강수량의 증가로 인해 홍수량이 매우 큰 폭으로 증가한 반면 갈수량의 범위는 S1, S2 기간과 크게 차이가 나지 않아 모든 시나리오에서 유황의 변동이 큰 것으로 분석 되었다.
Table 5. Alteration of flow duration and coefficient of flow regime
종합해 보면, INM-CM4는 평균적으로 강수량이 적고, 무강우 일수가 긴 시나리오로서 유황의 변동이 상대적으로 작고 극한 건조 상태를 나타내기에 적절한 시나리오로 판단된다. 또한 FGOALS-s2의 경우 홍수량이 INM-CM4 보다 많은 편으로 무강우 일수와 가뭄기간이 긴 반면 단시간에 많은 강수량을 갖는 시나리오로 분석되어 건조한 시나리오로 분류됨에 따라 유황변동이 큰 가뭄 상태 분석 시 적절할 것으로 생각된다. HadGEM2-ES의 경우 모든 기간에 걸쳐 홍수량이 크나 유황변동이 심하지 않아 최대유량 분석 시 활용 가능한 시나리오로 판단된다. CESM-BGC의 경우 집중호우가 많고 강우일수도 많은 시나리오임에 따라 유황변동이 크게 분석되었고 이는 극한 홍수 분석 시 적용 할 수 있는 시나리오로 판단된다.
4. 요약 및 결론
본 연구에서는 효용성이 입증된 STARDEX 극한지수를 계산하여 금강 유역(9,645.5 km2)의 미래 극한 기후의 변화를 전망하고 강수의 극한지수 증감 경향성을 분석 하였다. 또한 선별된 극한 기후변화 사상을 물리적 기반의 준분포형 연속강우유출모형인 SWAT모형에 적용함으로써 미래 금강유역의 수문의 변화와 그에 따른 유황변동을 분석하였다.
CMIP5 10개의 기후변화 시나리오에 STARDEX에서 제시한 강우관련 극한지수 6개를 적용하였으며 평가기간별 극한지수를 산정하여 가장 습윤한 시나리오(CESM1-BGC, Had GEM2-ES)와 가장 건조한 시나리오(INM-CM4, FGOALS-s2) 및 중간시나리오(MPI-ESM-MR)를 선정하였다.
극한 기후변화 사상을 SWAT모형에 적용한 결과 2020s에서 2080s로 진행될수록 습윤한 시나리오는 평년 시나리오보다 강수량, 기온이 증가하고 이와 더불어 총 유출량도 증가하는 경향을 나타낸 반면, 건조한 시나리오는 평년 시나리오 보다 강수량 및 기온의 감소로 증발산량, 총 유출량이 크게 감소하는 경향을 나타내었다. 특히 총 유출량의 극심한 변화를 겪은 기간은 2080s 로 습윤한 시나리오의 경우 대청댐 상류와 세종보 상류에서 유량이 감소하는 경향이 심화되는 것으로 분석되었고, 건조한 시나리오의 경우 대청댐 상류 일부와 세종보 하류 및 유역 출구에서 유량이 감소하는 경향을 나타내었다.
시나리오별 SWAT 모의 결과를 미래의 평가 기간별 홍수량(Q10), 풍수량(Q95), 평수량(Q185), 저수량(Q275), 갈수량(Q355) 산정하여 유황분석을 실시한 결과, 건조한 시나리오로 분류된 INM-CM4는 평균적으로 강수량이 적고, 무강우 일수가 긴 시나리오로서 유황의 변동이 상대적으로 작고 극한 건조 상태를 나타내기에 적절한 시나리오로 분석되었으며, FGOALS-S2의 경우 홍수량이 INM-CM4 보다 많은 편으로 무강우 일수와 가뭄기간이 긴 반면 단기간에 많은 강수량의 변화를 겪어 유황변동이 큰 가뭄 상태 분석에 적절한 시나리오로 나타났다.
습윤한 시나리오인 HadGEM2-ES의 경우 모든 기간에 걸쳐 홍수량이 크나 유황변동이 심하지 않아 최대유량 분석 시 활용 가능한 시나리오로 판단되었으며 CESM-BGC의 경우 집중호우가 많고 강우일수도 많은 시나리오임에 따라 유황변동이 큰 것으로 나타나 극한 홍수 분석 시 적용할 수 있는 시나리오로 분석되었다.
본 연구에서는 SWAT모형을 이용하여 극한 기후사상에 따른 모의를 통해 수문거동 분석을 수행하였는데, 적용 모형에 따라서 수문 거동 결과에는 불확실성이 따를 것(Jung et al., 2008)으로 판단된다. 다만 본 연구는 다양한 시나리오 중에서 최소한의 시나리오로 최대한의 기후변화 변동성을 포함 할 수 있는 대표시나리오를 선정하고, 그에 따른 수문 거동을 평가하는데 목적이 있으며 향후 유출모형에 따른 불확실성의 영향을 최소화하기 위한 추가 연구가 필요할 것으로 생각된다.






