1. 서 론
2. CNN-RNN 우수관망 유출량 예측 모델
2.1 모델의 구성
2.2 모델 평가 방법
3. 모델의 적용 및 검증
3.1 가산1빗물펌프장 배수구역
3.2 하계 배수구역
4. 결 론
1. 서 론
도시유역 배수시스템(Urban Drainage System, UDS)은 도시지역에서 발생하는 강우를 효과적으로 배출함으로써 홍수 발생을 방지하고, 발생 시 침수 피해를 최소화하기 위한 주요 사회기반시설이다. 이러한 도시유역 배수시스템의 효과적인 활용을 위한 적정 용량, 위치, 배치 및 조합 등 시스템의 최적설계 및 운영을 위해 도시유역 강우-유출 모델링이 필수적으로 수행된다. 이는 대부분의 경우 고차원 시뮬레이션 기반의 2차원 수리 시뮬레이션 모델이 적용되며, 복잡한 유출 및 침수 과정을 정밀하게 모의할 수 있다는 장점이 있다. 하지만 실시간 유출량 예측 및 이를 기반으로 한 운영 제어 등 신속한 의사결정이 요구되는 상황에서는 결과 도출에 상당한 시간이 소요되어 활용에 제약이 따른다.
이에 따라 실시간 강우-유출 예측을 위한 대안으로, 물리 기반 모형의 한계를 극복할 수 있는 인공지능(Artificial Intelligence, AI) 기술, 특히 머신러닝(Machine Learning) 및 딥러닝(Deep Learning) 기법이 수문학 분야에 점차 도입되고 있다. 인공지능은 약 80여 년 전 그 개념이 도입된 이후 기술 발전과 함께 다양한 학문 및 산업 분야에 활용되어 왔으며, 딥러닝은 이를 대표하는 핵심 기술로 자리잡았다(Park, 2020). 수문학 분야에서도 이러한 인공지능 기술의 적용이 강우-유출 모델링 등으로 확대되고 있다. 특히, 실시간 계측기술의 발전과 고밀도 관측 네트워크의 구축으로 인해 시공간적으로 다양한 형태의 데이터 수집이 가능해지면서 인공지능 기반 예측 기법의 활용 가능성이 더욱 커지고 있다. 한편, 머신러닝은 입력데이터와 출력 간의 명확한 물리적 관계를 직접 설명하기 어렵다는 한계가 있음에도 불구하고, 인공신경망(Artificial Neural Network, ANN) 기반의 모델은 개념적 수문모형(Nourani et al., 2012)에 비해 예측 정확성과 연산 효율성 측면에서 우수한 성능을 보이는 것으로 보고되고 있다(Song and Lee, 2020).
강우-유출 예측에 ANN이 처음 적용된 것은 1993년 Halff에 의한 연구가 시초이며(Halff, 1993), 이후 ANN 기반의 다양한 연구가 수행되었다. Elshorbagy et al. (2000)은 ANN을 활용한 유출량 예측 성능이 선형 및 비선형 회귀 모델보다 우수함을 확인하였고, Toth and Brath (2007)는 광범위한 수문·기상 자료 확보가 가능한 경우 ANN을 실시간 예측 모델에 효과적으로 적용할 수 있음을 입증하였다. 이후 Hu et al. (2018)은 장단기 기억 능력을 갖춘 장단기메모리(Long Short-Term Memory, LSTM) 모델을 활용하여 ANN보다 예측 정확도 측면에서 향상된 결과를 도출할 수 있음을 제시하였고, Van et al. (2020)은 1차원 합성곱신경망(Convolutional Neural Network, CNN)을 적용하여 LSTM보다도 높은 예측 성능을 보임을 확인하였다.
국내에서는 일 단위 유출량 예측에 있어 LSTM 모델을 적용하여 모형 구조 및 입력데이터 조합에 따른 결과 분석을 수행하였다(Kim and Kang, 2021). 또한 LSTM 모델을 이용하여 하천 수위를 예측한 결과, 다른 기법에 비교하여 정확도가 높다는 것을 확인하였다(Jung et al., 2021). 이처럼 다양한 머신러닝 기법들이 수자원 및 수문학 분야에 활용되어 왔으나, 도시 배수시스템 인프라에 설치된 실시간 계측 데이터를 활용한 강우-유출 예측 연구는 상대적으로 부족하며, 특히 시간적·공간적 특성을 동시에 고려한 내배수 유출량 예측에 대한 연구는 미흡한 실정이다. 한편, 스마트 센서 등 실시간 계측기기의 보급이 확대되고 있다. 따라서, 확보 가능한 다양한 데이터를 효과적으로 활용할 수 있고, 도시 유역에 적용 가능한 시공간 딥러닝 모델 개발을 통해, 효율적이고 실용적인 우수관망 유출량 예측 시스템을 구축할 필요가 있다.
본 연구에서는 이러한 문제의식에 기반하여, 도시유역 우수관망의 유출량을 효율적으로 예측하기 위해 시계열 정보를 학습하는 순환신경망(Recurrent Neural Network, RNN) 계열의 LSTM 및 게이트 순환 유닛(Gated Recurrent Unit, GRU)과 공간 정보를 효과적으로 학습하는 CNN을 결합한 시공간 딥러닝 모델(CNN-RNN)을 개발하였다. 개발된 모델은 실제 도시유역 우수관망의 주요 지점에서 수집되는 수위 및 유량 데이터를 입력자료로 활용하여 유출량을 예측할 수 있도록 설계되었다. 본 연구에서는 모델링을 통해 획득한 데이터를 실제 관측자료로 가정하고 유출량을 예측하였으며, 그 예측 성능을 비교·분석함으로써 제안한 모델의 적용 가능성과 예측 정확도를 검증하였다.
2. CNN-RNN 우수관망 유출량 예측 모델
본 연구에서는 도시유역의 우수관망 유출량을 예측하기 위해 합성곱신경망(CNN) 모델과 순환신경망모델(RNN)을 결합한 CNN-RNN 시공간 딥러닝 모델을 제안한다.
2.1 모델의 구성
CNN은 딥러닝 알고리즘의 한 유형으로, 생물의 시각 정보 처리 방식, 특히 대뇌 시각피질의 구조를 모방한 인공신경망이다. 이는 이미지 내의 패턴과 객체를 인식하는 기능에 특화되어 이미지 분석 분야에서 가장 우수한 딥러닝 알고리즘으로 알려져 있으며, 현재 널리 사용되고 있는 형태의 CNN은 LeCun et al. (1998)에 의해 제안되었다. CNN은 전통적인 인공신경망(ANN)의 구조에서 은닉층(Hidden Layer)을 늘려 학습 성능을 향상시키는 방법인 심층신경망(Deep Neural Network, DNN)을 기반으로 발전된 알고리즘이다.
RNN은 입출력 구조가 시퀀스(Sequence) 형태로 구성된 데이터를 처리하기에 적합한 딥러닝 알고리즘으로, 시계열 데이터나 순차적 정보에 대한 학습에 특화된 모델이다. RNN은 이전 입력으로부터 학습된 정보를 기억하고, 그 중요도를 다음 입력에 반영한다. 따라서 언어, 음성과 같은 시간적 연속성을 가지는 데이터를 효과적으로 처리할 수 있다(Kim et al., 2016). 하지만 RNN은 많은 과거 데이터를 기억할 수 없어 시간이 길어질수록 과거 정보가 소실되거나 왜곡되는 ‘장기 의존성(Long-term Dependency)’ 문제가 발생하고, 이러한 문제점을 해결하기 위해 장단기메모리(LSTM) 모델이 제안되었다(Hochreiter and Schmidhuber, 1997; Ahn, 2016). 이는 RNN의 한 유형으로 기본적인 RNN의 구조를 유지하면서도, 과거 학습 정보 중 중요한 정보는 장기적으로 보존하고 불필요한 정보는 제거할 수 있도록 게이트 메커니즘이 도입되었다. 이러한 특징 덕분에 LSTM은 장기적인 정보 간 관계를 보다 안정적으로 학습할 수 있으며 시계열 예측 등 시간적 순서가 중요한 문제에서 우수한 성능을 발휘한다(Kim et al., 2020).
게이트 순환 유닛(Gated Recurrent Unit, GRU) 모델은 LSTM을 기반으로 개선된 RNN의 한 유형으로, 장기 의존성 문제를 해결하면서도 보다 간결한 구조를 갖도록 설계되었다. GRU는 연산에 필요한 매개변수의 수가 LSTM에 비해 적고 연산 과정이 단순하여 계산 효율성이 높고 학습 속도가 빠르다는 장점을 지닌다. 이러한 구조적 간소화에도 불구하고 GRU는 LSTM과 유사한 수준의 예측 성능을 유지할 수 있어, 시계열 예측 문제에 효과적으로 적용되고 있다.
따라서 본 연구에서는 일반적인 ANN에서 발생할 수 있는 공간 정보의 소실 문제를 보완하고, 시계열 예측에 적합한 구조를 갖추도록 CNN-RNN 기반 딥러닝 결합 모델을 설계하였다. 본 모델은 공간 모델과 시간 모델을 결합하는 초기 연구이므로, 각 기법의 기본 구조를 대표하는 스탠다드 모델을 우선적으로 선정하였다. CNN의 다중 필터를 통해 공간 정보를 효과적으로 보존하고, RNN의 메모리 구조를 활용하여 시간적 연속성을 반영함으로써, 시공간 특성을 동시에 고려한 유출량 예측의 정확도를 높일 수 있는 결합 모델을 구성하였다(Fig. 1). 또한 장기 의존성 문제를 해결하는 데에 강점을 가지는 LSTM 모델과 간단한 구조로 학습 속도가 빠르고 적은 계산량으로도 유사한 성능을 발휘할 수 있는 장점을 가지는 GRU 모델을 모두 활용하여 그 성능을 비교·평가하였다. 즉, 시공간적 강우-유출 특성의 효과적인 반영을 위해 두 모델을 병행 적용함으로써 CNN-LSTM 모델과 CNN-GRU 모델의 구조에 따른 성능 차이를 분석하고 배수구역 유출량 예측에 보다 적합한 시공간 딥러닝 구조를 도출하고자 하였다.
이 과정에서, CNN을 통해 도출된 다차원 Feature Map은 RNN이 처리할 수 있는 형태인 1차원 시계열 벡터로 변환되어야 한다. 해당 Feature Map은 전결합층(Fully Connected Layer)을 통해 1차원 벡터화(Flattening) 과정을 거친다. 이를 통해 각 시점별로 CNN이 출력한 고차원 Feature는 1차원 벡터로 변환되며, 변환된 벡터는 RNN의 시계열 입력 형식으로 구성된다. 이러한 변환을 통해 CNN에서 추출된 공간 정보를 LSTM 또는 GRU 등 RNN 모델이 시간 순서에 따라 학습할 수 있는 구조로 전달하게 되며, 최종적으로 시간과 공간의 상호작용을 반영한 유출량 예측 결과를 도출할 수 있도록 한다.
제안하는 모델의 학습 및 평가 과정은 다음과 같은 설정값을 기반으로 수행되었다. 모델은 총 50 epoch를 기본값으로 설정하였으며, Adam Optimizer를 사용하여 가중치를 최적화하였다. CNN 계층에서는 ReLU (Rectified Linear Unit) 활성화 함수를, RNN 계열인 LSTM 및 GRU에서는 내부적으로 내장된 tanh 및 sigmoid 함수를 각각 활성화 함수로 적용하였다. 또한 과적합(Overfitting)을 방지하기 위해 교차검증(Cross Validation), 검증 손실(Validation Loss)에 기반한 Early Stopping, 모델 저장(Model Checkpointing) 등의 기법을 적용하였다. 특히, 모델의 일반화 성능(Generalization Performance)을 보다 효과적으로 평가하기 위해 사용한 교차검증 방법은, 전체 데이터를 여러 개의 폴드(Fold)로 나누어 각 폴드를 훈련 세트(Training Set), 검증 세트(Validation Set), 테스트 세트(Test Set)로 번갈아 가며 활용되도록 구성하는 방법이다. 본 연구에서는 모든 데이터를 10개의 폴드로 나누어서 1개의 폴드를 테스트 세트로 사용하고, 나머지 9개의 폴드 중 80%를 훈련 데이터, 그리고 나머지 20%를 검증 데이터로 사용하였다.
2.2 모델 평가 방법
본 연구에서는 모델 학습시 손실 함수로 평균제곱오차(Mean Squared Error, MSE)를 사용하였다. 다만 예측 성능 평가는 실제 단위 일관성을 유지하기 위해 평균제곱근오차(Root Mean Squared Error, RMSE)를 산정하여 수행하였다. 또한 추가적인 성능지표로 평균절대오차(Mean Absolute Error, MAE), 나쉬-서틀리프 효율계수(Nash-Sutcliffe Efficiency, NSE)를 평가지표로 활용하여 예측 정확도를 정량적으로 평가하였다. 평가 지표에 관련된 상세한 내용은 Table 1에 기술하였고, 는 관측값, 는 예측값, 는 관측값의 평균을 나타낸다.
3. 모델의 적용 및 검증
본 연구에서 제안한 딥러닝 결합 모델은 우수관망의 일부 노드에서 스마트 계측기 등을 통해 1분 단위로 수집 가능한 수위 및 유량 시계열 데이터를 입력데이터로 활용할 수 있도록 설계하였다. 그러나 본 연구에서는 실시간 계측데이터를 대체하여 Storm Water Management Model (SWMM)을 활용한 수문 모의 결과를 입력데이터로 사용하였다.
모델의 성능 검증을 위한 대상지역으로는, 데이터의 접근성과 활용가능성, 관망의 규모 등을 종합적으로 고려하여 국내 도심지에 위치한 가산1빗물펌프장 배수구역과 하계 배수구역 두 곳을 선정하였다.
3.1 가산1빗물펌프장 배수구역
첫 번째 대상지역인 가산1빗물펌프장의 배수구역은 서울특별시 금천구 가산동에 위치하고 있으며, 유역 내 발생한 강우는 우수관망을 통해 안양천으로 방류된다. 해당 배수구역의 면적은 약 48 ha이며, 전체 면적의 약 30%가 준공업지역으로 구성된 서울의 대표적인 공업도시이다.
3.1.1 대상 적용 관망 및 데이터
가산1 빗물펌프장의 배수구역 유역도와 관망도는 Fig. 2에 제시되어 있으며, 강우 및 유출량 자료를 활용하여 검·보정된 관망도를 기반으로 SWMM 강우-유출 모형의 입력자료를 구축하였다.
본 연구에서는 딥러닝 모델의 학습을 위하여 SWMM 모의 결과 중 각 노드에서의 수위 및 유량 데이터를 입력데이터로 활용하였다. SWMM 모의에는 총 3건의 관측 강우사상과 총 24개의 확률 강우사상이 사용되었으며, 이는 3개의 재현기간, 2개의 강우 지속기간 및 Huff 1~4분위 조합으로 구성된다. SWMM을 통해 모의된 수위 및 유량 데이터는 각 노드에서의 정보들이 최종 유출구에서의 유출량에 미치는 영향과 인접한 노드 간에 미치는 상호작용 등을 고려하여 공간적 구조를 반영할 수 있는 입력데이터를 구성하는 데에 활용하였다. 특히 유량의 흐름 방향을 기준으로, 선행 노드의 정보가 후속 노드에 미치는 영향을 반영할 수 있도록 설계함으로써 우수관망 내 유동 특성을 고려한 공간적 데이터를 CNN 모델에 적용 가능한 형태로 구현하고자 하였다. 일반적으로 실제 우수관망은 완전한 정규 격자의 형태를 갖추고 있지는 않지만, 인접 노드 간의 연결성과 네트워크 특성을 최대한 반영하기 위한 공간적 배열을 구성함으로써 CNN 모델의 공간 학습 성능을 극대화하고자 하였다.
연구 대상지역인 가산1빗물펌프장 배수구역은 총 32개의 노드로 구성되어 있으며, 인접 노드 간 공간적 상호작용을 반영하기 위해 흐름 방향과 공간적 근접성을 고려하여 6×6 크기의 매트릭스 상에 노드를 임의로 배치하였다(Fig. 3). 각 매트릭스에 배치된 노드의 수위와 유량 값은 각각 하나의 채널로 구성되어 총 2채널 입력데이터로 CNN 모델에 적용된다. 이후, CNN의 합성곱 계층과 완전연결 계층을 거쳐 생성된 1차원 벡터는 RNN 모델의 입력데이터로 활용되며 이를 통해 최종적으로 유출량을 예측하게 된다.
3.1.2 모델 적용 결과
가산1빗물펌프장 배수구역에 대해서는 앞서 설명한 바와 같이, RNN 모델로 LSTM과 GRU를 각각 적용하여 CNN- LSTM 모델과 CNN-GRU 모델의 유출량 예측 성능을 평가하였으며 총 27개 강우를 10개 폴드로 구분하여 교차 검증을 수행하였다. 개발된 모델은 가산1빗물펌프장 배수구역에서 모의 시, 강우가 유역에 도달하여 유출구에서 유출량이 발생하기까지의 도달시간을 고려하여 예측 시점 기준 이전 120분간의 데이터를 입력데이터로 학습을 진행하였고, 예측 시간은 1분 후(△t=1 min)로 설정하여 단기 유출량 예측의 정확도를 평가하였다.
각 딥러닝 결합 모델을 통해 도출한 1분 단위 유출량 예측값은, 입력데이터 구축 시 사용된 것과 동일한 강우사상을 적용한 SWMM 모의 결과를 관측값으로 간주하여 비교·평가하였다.
Fig. 4는 가산1빗물펌프장 배수구역에 CNN-LSTM 모델을 적용하여 유출량을 예측한 결과 중, 예측 오차가 가장 작은 Fold 1과 가장 큰 Fold 9의 수문곡선을 비교한 것이다. Fold 1은 입력 강우가 확률 강우사상으로만 구성된 사례로, 예측 수문곡선이 관측값(SWMM 모의 결과)과 유사한 경향을 보이며 높은 예측 정확도를 나타냈다. 반면, Fold 9는 실제 관측 강우사상이 포함된 사례로, 특히 확률 강우사상이 아닌 Time Step 1,500~2,000 구간에서 예측 유출량이 관측값에 비해 과대 산정되는 경향이 나타났다.
이러한 차이는 실제 관측 강우사상의 경우 확률 강우사상에 비해 시간에 따른 강우 분포의 변동성이 크기 때문에, 학습된 모델이 이를 충분히 반영하지 못한 결과로 해석될 수 있다. 또한, 본 연구에서 학습에 사용된 강우사상 27개 중 24개가 확률 강우사상으로 구성되어 있어, 다양한 시간적 분포 특성을 가진 실측 강우사상의 학습 비중이 낮았다는 점도 오차 발생의 원인으로 작용한 것으로 판단된다.
Fig. 5와 Table 2는 실제 관측 강우사상을 대상으로 CNN 모델, LSTM 모델, 그리고 본 연구에서 제안한 CNN-LSTM 결합 모델을 각각 적용하여 도출한 유출량 예측 결과를 비교한 수문곡선과 각 모델의 정량적 성능지표 값을 나타낸 것이다. Fig. 5의 수문곡선 분석 결과, CNN-LSTM 결합 모델의 예측 수문곡선이 관측 유출량과 가장 유사한 경향을 보였으며, 특히 첨두 유출량의 경우 CNN 및 LSTM 단일 모델은 과소 또는 과대 추정하는 경향을 나타낸 반면, CNN-LSTM 모델은 관측값에 보다 근접한 첨두값을 예측하는 것으로 확인되었다. 또한 정량적 예측 정확도 지표인 RMSE, MAE, NSE로 평가한 결과에서도 CNN-LSTM 결합 모델이 단일 모델들보다 더 우수한 성능을 보이는 것으로 나타났다(Table 2).
Table 2.
Comparison of model performance in Gasan1 rainwater pump station basin
| Model | RMSE (cms) | MAE (cms) | NSE |
| CNN | 0.028 | 0.018 | 0.912 |
| LSTM | 0.022 | 0.019 | 0.909 |
| CNN-LSTM | 0.011 | 0.005 | 0.974 |
CNN-GRU 결합 모델은 CNN-LSTM 모델의 연결계층에서 수행되는 두 단계의 LSTM 연산을 단일 GRU 연산으로 대체하여 구조를 간소화한 형태이다. 본 모델은 가산1빗물펌프장 배수구역을 대상으로, CNN-LSTM 모델과 동일하게 27개의 강우사상을 10개 폴드로 나누어 학습 및 예측에 적용하였다.
Fig. 6은 가산1빗물펌프장 배수구역을 대상으로 CNN- GRU 모델을 적용하여 유출량을 예측한 결과 중, 예측 오차가 가장 작은 Fold 1과 가장 큰 Fold 9 의 수문곡선을 비교한 것이다. CNN-GRU 모델은 Fold 1에서 관측값(SWMM 모의 결과)과 유사한 수문곡선을 보이며 높은 예측 정확도를 나타낸 반면, Fold 9 에서는 CNN-LSTM 모델과 마찬가지로 관측 강우사상이 포함된 구간에서 예측 유출량이 관측값에 비해 과대 추정되는 경향이 확인되었다.
또한, 단일 모델(CNN, GRU)과 결합 모델(CNN-GRU)을 각각 적용하여 도출한 유출량 예측값을 비교한 결과, 관측 강우사상 1의 경우 모든 모델에서 관측값과 유사한 수문곡선이 나타났다. 반면, 관측 강우사상 2에서는 단일 모델에서 상대적으로 큰 예측 오차가 발생하였으나 결합 모델은 비교적 안정적인 예측 성능을 유지하며 오차가 크게 나타나지 않았다(Fig. 7). 정량적 오차 분석 결과에서도 CNN-GRU 결합 모델이 단일 모델에 비해 전반적으로 가장 우수한 예측 정확도를 보이는 것으로 확인되었다(Table 3).
Table 3.
Comparison of model performance in Gasan1 rainwater pump station basin
| Model | RMSE (cms) | MAE (cms) | NSE |
| CNN | 0.026 | 0.017 | 0.919 |
| GRU | 0.017 | 0.013 | 0.938 |
| CNN-GRU | 0.011 | 0.006 | 0.970 |
3.2 하계 배수구역
두 번째 대상지역인 하계 배수구역은 서울특별시 노원구 하계1, 2동, 중계1, 2, 3동 일대에 걸쳐 위치하고 있으며, 유역 내 발생한 강우는 우수관망을 통해 중랑천으로 방류된다. 해당 배수구역의 면적은 약 166 ha에 이른다(Fig. 8).
3.2.1 대상 적용 관망 및 데이터
SWMM 모의를 위한 입력데이터는 강우 및 유출량 자료를 활용하여 검·보정된 하계 배수구역 관망도를 기반으로 구축하였으며, 모의 결과로 산정된 데이터 중 각 노드의 수위 및 유량 값은 딥러닝 모델의 학습 데이터로 활용하였다. 강우는 가산1빗물펌프장 배수구역과 동일하게 3개의 관측 강우사상, 그리고 3개의 재현기간, 2개의 강우 지속기간 및 Huff 1~4분위 조합으로 구성된 24개의 확률 강우사상을 사용하여 모의를 수행하였다.
해당 하계 배수구역의 우수관망은 총 167개의 노드로 구성되어 있으며, 공간적 특성을 보다 효과적으로 반영하기 위해, 딥러닝 모델 입력 구성 시 노드와 매트릭스 셀의 거리 및 육안으로 구분할 수 있는 관망의 유량 흐름 방향을 고려하여 13×13 매트릭스에 임의로 재배치하였다. 이는 가산1빗물펌프장 배수구역에서 사용된 매트릭스보다 확장된 형태로, 공간적 정보를 모델 학습 과정에 보다 정밀하게 반영하는 것을 목적으로 한다.
3.2.2 모델 적용 결과
하계 배수구역의 경우, 가산1빗물펌프장 배수구역에 비해 유역 규모가 크기 때문에 강우-유출 모델링의 계산 효율성을 고려하여 연산 과정을 단순화한 CNN-GRU 모델만을 적용하여 유출량 예측 성능을 평가하였다. 총 27개 강우사상을 10개 폴드로 구분하여 교차 검증을 수행하였으며, 각 폴드에 배정된 강우사상은 가산1빗물펌프장 배수구역과는 상이하게 구성되었다. 관측값은 가산1빗물펌프장 배수구역과 동일하게 SWMM 모의 결과의 유출량 데이터를 관측값으로 가정하였으며, 수문곡선 비교, 예측 시간 설정 및 정량적 평가지표 산정 등 모델 검증 절차 역시 동일한 방식으로 수행하였다.
하계 배수구역을 대상으로 도출한 유출량 예측 결과 중, 관측값에 가장 근접한 예측값을 보인 Fold 1과 가장 큰 예측 오차를 나타낸 Fold 8의 수문곡선을 비교하였다(Fig. 9). 분석 결과, 두 사례 모두 전반적인 첨두 유출 시점 및 유출 경향에서는 관측값과 유사한 패턴을 보였으나 첨두 유출량에 있어서는 CNN-GRU 결합 모델의 예측값이 관측값에 비해 소폭 과소추정되는 경향이 나타났다.
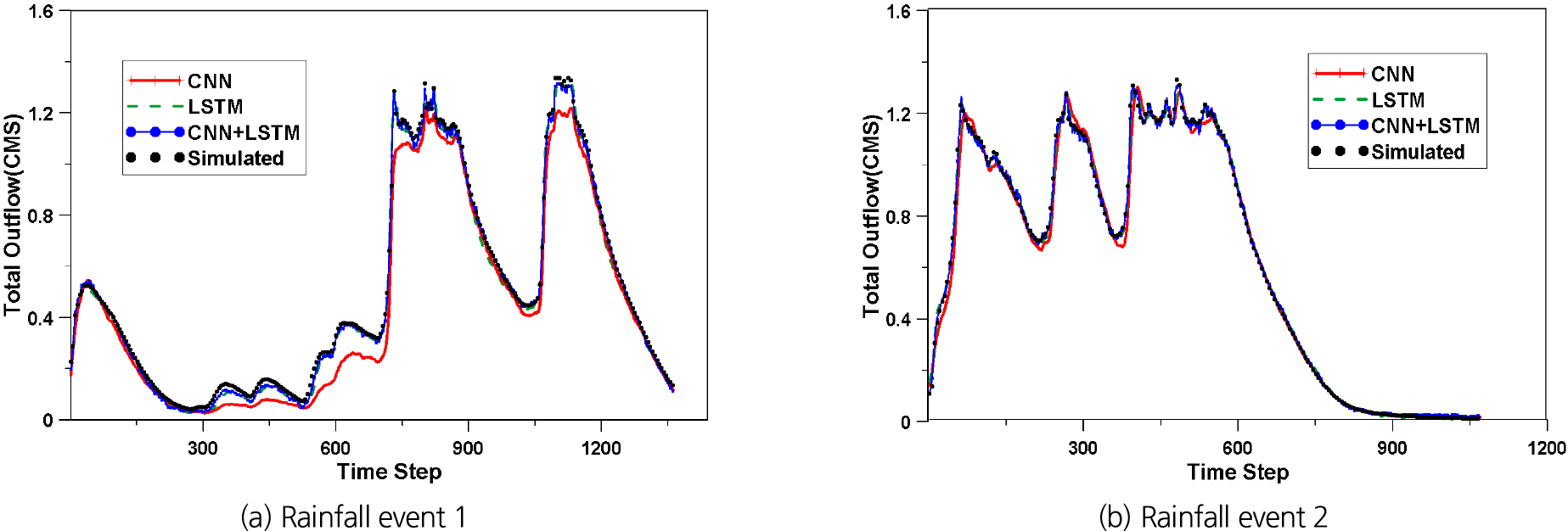
또한, 결합 모델의 성능을 평가하기 위해 CNN 및 GRU 단일 모델을 각각 적용한 유출량 예측 수문곡선과 비교한 결과, 대부분의 Time Step에서 CNN-GRU 결합 모델의 예측 유출량이 관측값에 가장 근접하게 나타나는 것을 확인할 수 있었다. 특히 첨두 유출량의 경우, 결합 모델은 다소 과소추정되는 경향을 보였음에도 불구하고, 오차 범위가 0.2cms 이내로 단일 모델에 비해 관측값과의 차이가 가장 작게 나타나 상대적으로 우수한 예측 성능을 나타냈다(Fig. 10).
정량적인 예측 성능 비교를 위해 RMSE, MAE, NSE 세 지표를 산정하여 세 모델의 예측 성능을 평가한 결과, GRU 모델은 RMSE가 0.390으로 가장 큰 오차를 나타냈으며, CNN 모델은 0.238, CNN-GRU 결합 모델은 0.229로 분석되었다. 이와 같은 결과는 CNN-GRU 결합 모델이 단일 모델 대비 가장 낮은 오차를 보였음을 의미하며, 결합 모델의 적용을 통하여 우수한 유출량 예측 결과를 도출할 수 있음을 확인하였다. 또한 MAE와 NSE 산정 결과 역시 단일 모델에 비해 결합 모델이 더 우수한 성능을 보이는 것을 확인할 수 있었다(Table 4).
Table 4.
Comparison of model performance (RMSE) in Hagye basin
| Model | RMSE (cms) | MAE (cms) | NSE |
| CNN | 0.238 | 0.199 | 0.962 |
| GRU | 0.390 | 0.280 | 0.947 |
| CNN-GRU | 0.229 | 0.176 | 0.967 |
결론적으로, 가산1빗물펌프장 배수구역보다 약 3.5배 넓은 유역면적을 가지고, 관망 노드 수 또한 약 5배에 달하는 보다 복잡한 구조의 하계 배수구역에 적용한 결과에서도 CNN-RNN 결합 모델은 다른 단일 모델(CNN, GRU)에 비해 유출량 예측 성능이 더욱 우수한 결과를 보였다. 이를 통해, 규모가 크고 구조가 다소 복잡한 도시 우수관망 시스템에 대해서도 제안한 결합 모델의 적용 가능성과 확장성을 일정 수준 확인할 수 있었다.
4. 결 론
본 연구에서는 도시유역의 우수관망 유출량을 예측하기 위한 시공간 딥러닝 모델을 개발하였다. 유출량에 영향을 미치는 우수관망의 시간적 및 공간적 특성을 동시에 반영하기 위해 각 특성에 적합한 딥러닝 모델을 결합한 구조를 설계하였다. 시간적 특성을 고려하기 위한 모델로는 순환신경망(RNN) 계열인 LSTM 모델과 GRU 모델을, 공간적 특성을 반영하기 위한 모델로는 합성곱신경망(CNN)을 각각 활용하여 CNN-RNN 기반의 결합 모델을 개발하였다.
본 연구에서 개발한 CNN-RNN 결합 모델은 서울시 도시 지역에 위치한 가산1빗물펌프장 배수구역과 하계 배수구역에 각각 적용하여 예측 성능을 검증하였다. 입력데이터는 각 배수구역의 관망도를 기반으로 하여, 3개의 관측 강우사상과 24개의 확률 강우사상, 총 27개의 강우사상을 SWMM에 적용하여 모의한 결과로 구축하였다. 이를 통해 각 관망의 모든 노드에 대해 1분 단위 수위 및 유량 시계열 데이터를 구축하여 딥러닝 모델의 학습 및 검증에 활용하였다. CNN-RNN 모델은 강우의 도달시간을 고려하여 과거 120분간의 데이터를 입력데이터로 활용하고, 이를 기반으로 유출구에서의 1분 후 단기 예측 유출량을 산정하였다.
모델의 검증은 CNN 또는 RNN 단일 모델을 활용한 유출량 예측 결과와, 본 연구에서 개발한 CNN-RNN 결합 모델의 예측 결과를 비교하는 방식으로 수행하였다. 분석 결과, 가산1빗물펌프장 배수구역에 CNN-LSTM 및 CNN-GRU 모델을 각각 적용한 경우, 두 결합모델 모두 단일 모델 대비 예측 오차가 낮게 나타나 결합 모델의 우수한 예측 성능을 확인할 수 있었다. 하계 배수구역의 경우에도 CNN-GRU 모델이 CNN 및 GRU 단일 모델에 비해 낮은 예측 오차를 보이며 결합 모델의 성능 향상이 일관되게 나타나는 것을 확인하였다. 이러한 결과는 우수관망 유출량 예측에 있어 시간적 특성과 공간적 특성을 동시에 고려하는 방식이, 각각을 개별적으로 반영하는 단일 모델보다 더 높은 예측 정확도를 제공함을 입증한다. 이는 도시유역 우수관망 내 유출 흐름은 시공간적으로 복합적인 영향을 받는다는 점을 시사하며, 향후 유출량 예측 분야에서 시공간 딥러닝 기반 모델의 활용 가능성을 뒷받침하는 근거가 된다.
또한, 강우 유출량 예측 결과값이, 확률 강우사상에 대한 유출량 예측에 비해 실측 강우사상에 대한 유출량 예측 결과가 상대적으로 큰 오차를 나타내는 것으로 나타났는데, 이는 실측 강우사상이 갖는 강우분포의 시간적 불확실성과 함께, 모델학습에 활용된 데이터 중 대부분의 강우사상이 확률 강우사상으로 이루어져 있었기 때문으로 추측되며, 보다 다양한 시간적 특성을 갖는 실측 강우사상을 추가로 활용하여 모델의 정확도를 개선할 수 있을 것으로 판단된다.
본 연구에서 제안한 모델은 스마트 계측 자료를 활용하여 강우-유출 예측의 효율성과 실용성을 제고하는 데 목적을 두고 개발되었다. 특히 관측자료의 확보가 제한적인 유역에서도 일부 수문 및 기상 관측 지점의 데이터를 활용하여 비교적 높은 정확도의 유출 예측이 가능함을 확인하였다. 다만, 본 연구에서는 실측자료의 부족으로 인해 SWMM 모의 결과를 관측값으로 간주하여 예측 성능을 평가하였다. 이로 인해 예측 정확도는 SWMM 해석의 신뢰성에 일정 부분 의존할 수밖에 없으며, 향후 실제 계측자료를 기반으로 한 추가적인 검증이 필요하다는 한계가 존재한다. 또한 모델 유형에 따라 요구되는 입력데이터의 구성 조건이 상이하고, 다양한 강우 특성과 유역 조건에 대응하기 위해서는 매개변수의 조정이 필수적이라는 또 다른 제약도 존재한다. 그럼에도 불구하고, 데이터 기반 예측 모델은 부분적인 결측이나 노이즈가 존재하는 경우에도 비교적 유연하게 대응할 수 있으며, 복잡한 관망 구조 정보 없이도 과거의 수위 및 유량 자료만으로 유출량 예측이 가능하다는 점에서 물리 기반 모형과 비교했을 때 일정 수준의 실용성을 지닌다. 장기적으로는 실측자료를 기반으로 검증을 수행하고, 이를 바탕으로 관측자료가 제한된 지역에서도 실시간 유출 예측이 가능한 강우-유출 예측 기법으로서 실무적 활용 가능성을 높일 수 있을 것으로 기대된다.
따라서 향후 연구에서는 다음과 같은 보완이 필요할 것으로 판단된다. 첫째, 실측자료를 기반으로 한 예측 모델의 신뢰성 검증을 통해 결과의 객관성을 확보해야 하며, 둘째, 입력데이터의 특성과 모형 구조를 반영한 최적의 매개변수 설정 방안을 마련할 필요가 있다. 셋째, 다양한 도시 유역에 모델을 적용함으로써 그 범용성과 실용성을 확대할 수 있는 전략을 수립해야 한다. 마지막으로, 시공간적 예측 모델로서의 완성도를 높이기 위해 관망 내 복수의 대표 지점을 설정하고, 공간별 예측 성능을 세분화하여 분석하는 연구도 병행되어야 할 것이다.












