1. 서 론
2. 연구방법
2.1 대상유역
2.2 수치해석모형
2.3 랜덤포레스트 회귀모형
2.4 성능평가 지표
3. 분석결과
3.1 가상하도
3.2 대상하천
3.3 랜덤포레스트 회귀모형
4. 결 론
1. 서 론
최근 기후 변화로 인한 국지성 집중호우와 홍수 발생 빈도의 증가로 인해 하천 내 수위 조절의 필요성이 대두됨에 따라, 하천에 설치된 보(Weir)의 운영이 수리적, 환경적으로 중요한 관심사가 되고 있다. 특히 가동보(movable weir)는 비상시에는 개방(전도), 평상시에는 닫힘(기립) 상태로 탄력적으로 운영되며, 이에 따라 하천 수위 및 유속, 유사 이동, 수질 등이 크게 변화한다. 이러한 가동보의 운영은 하천의 홍수위 상승 또는 저감에 직접적인 영향을 미치기 때문에 보의 기립 또는 전도 시 발생하는 수심 변화율을 정량적으로 예측하는 것은 하천 설계 및 유지관리에 있어 필수적인 요소라 할 수 있다.
보 구조물의 수리학적 특성에 대한 연구는 고정보와 가동보를 중심으로 다양한 실험적 및 수치적 접근을 통해 진행되어 왔다. 국내에서는 4대강 사업 이후 설치된 가동보의 개폐에 따른 수위 변화, 유속 분포, 에너지 손실, 세굴 및 퇴사 등의 특성을 분석한 연구들이 다수 수행되었는데, Lee et al. (2015)은 가동보 운영 룰에 따른 하류부 국부세굴 거동을 예측하는 수치모형을 개발하였고, Kang et al. (2020)은 2차원 수치모형을 통해 보의 개방 구성에 따른 흐름 구조의 변화를 모의하였다. Kim and Choi (2014)는 하단방류형 가동보에서의 에너지 감세 효과를 실험적으로 분석하였으며, Choi et al. (2016)은 다단식 가동보의 방류량 계수를 정립하였다. 또한, Park et al. (2019)은 실제 하천에서의 보 개폐에 따른 상류 수위 및 유속 변화를 관측하여 흐름 특성의 시공간적 변화를 평가하였고, Lee and Jang (2018)은 실험수로를 통해 퇴사 및 하상 변화 메커니즘을 정량적으로 분석하였다. 국외에서도 홍수 대응 및 수질 개선을 위한 가동보 운영과 이에 따른 수리학적 영향을 다룬 연구가 활발히 진행되고 있다. Erpicum et al. (2010)은 유압 도약 현상에서 가동보가 미치는 영향을 분석하여 흐름 안정성과 에너지 손실을 정량화하였으며, Singh et al. (2017)은 CFD 기법을 통해 다양한 개방각 조건에서의 유속 및 압력분포 변화를 분석하였다. Wang et al. (2020)은 3차원 수치모형을 통해 홍수 시 가동보의 개폐전략에 따른 하류 유속 및 수위 변동을 예측하였으며, Ghaderi et al. (2021)은 가동보 운영이 하류 세굴에 미치는 영향을 실험과 수치해석을 결합하여 정량적으로 검토하였다. 또한 Farooq et al. (2019)은 실규모 하천에서의 보 운영 데이터를 바탕으로 시공간적 흐름 변화 및 환경적 영향을 종합 분석하였다.
최근에는 하천 수리현상의 정밀 예측을 위해 기계학습(Machine Learning) 기법이 적극적으로 도입되고 있다. 랜덤포레스트(Random Forest, RF), 서포트 벡터 회귀(Support Vector Regression), 인공신경망(Artificial Neural Network, ANN) 등은 유량-수심 관계의 비선형성을 효과적으로 반영할 수 있어 하천 유량 산정 및 수위 예측 연구에 활용되고 있다. Baruah et al. (2024)이 랜덤포레스트를 이용하여 미국 전역 하천의 수위-유량(stage-discharge) 곡선을 추정하고 수문학적 인자들의 기여도를 정량화하였으며, Malik and Rashid (2024)는 장기간 수문기상 자료를 기반으로 Jhelum 강 유역에서 랜덤포레스트와 다른 앙상블 기법을 비교하여 홍수 유량 예측 정확도를 개선하였다. Shiri et al. (2025)는 하천 용존산소 예측에서 다양한 유량 조건별 랜덤포레스트 성능을 평가하였고, Barinas (2025)는 WRF-Hydro 모형과 RF를 결합해 대규모 하천 유량 예측 정확성을 향상시켰다.
국내에서도 기계학습 기반 유량·수위 예측 연구가 점차 확대되고 있으며, 특히 랜덤포레스트 기법은 관측자료 기반의 홍수 예측 및 수위 보정에서 활용 가능성이 높게 보고되고 있다(Kim et al., 2021; 2022). 다만, 대부분의 기계학습 기반 수문·수리 연구는 대부분 홍수파 이동이나 유출량 예측에 초점을 맞추고 있어, 가동보의 기립·전도 상태 변화와 같은 물리적 상태 변화에 따른 수심 변화율을 정량적으로 예측 가능한 모델 연구는 아직 미흡한 실정이다.
본 연구는 가동보의 기립 및 전도에 따른 하천 수심 변화율(증가율 및 감소율)을 정량적으로 예측할 수 있는 모델을 개발하고자 한다. 이를 위해 HEC-RAS 모형을 이용하여 가상하도를 대상으로 회귀모형의 개발 가능성을 검토하였고, 국내 하천에 설치되어 있는 고정보를 대상으로 수치해석을 실시하였다. 그 결과를 활용하여 선형회귀모델 및 랜덤포레스트 회귀모델을 구축하였다. 특히 랜덤포레스트 예측값을 근사한 다중 회귀식 도출을 통해 설명력이 높으면서 해석 가능한 수식을 제시하였다. 이러한 연구는 하천 설계 및 유지관리 업무에서 복잡한 수치모형의 모의가 없어도 보 운영 조건에 따른 수심 변화를 신속히 예측할 수 있는 간결하고 실용적인 예측 도구를 제공하고자 하였다.
2. 연구방법
2.1 대상유역
2.1.1 가상하도
본 연구에서는 실제 하천에서 발생할 수 있는 다양한 유량 조건과 하상경사 변화에 따른 수리적 특성을 정량적으로 분석하기 위해 가상하도를 설정하였다. 가상하도는 사다리꼴 단면을 기본 형상으로 하였으며, 총 2,000 m의 하도 길이로 구성하였다. 하상경사는 0.01, 0.005, 0.0025, 0.001의 네 가지 조건을 고려하여 경사가 급한 하도부터 완만한 하도까지 다양한 경사를 반영하였다.
유량 조건은 10, 20, 30 m3/s의 세 가지로 설정하였으며, 횡단구조물의 높이는 1 m와 3 m 두 가지로 구분하여 보의 설치에 따른 흐름 영향을 분석하였다. 또한 보의 기립(폐쇄)과 전도(개방)에 따라 보 단면에서의 수심 증가율 및 감소율, 통수능 변화, 마찰경사 및 지점경사와의 상관관계를 비교하고자 하였다.
2.1.2 대상하천
본 연구에서는 가동보 운영에 따른 하천의 수리적 특성을 정량적으로 평가하기 위하여 국내 대표적인 3개 하천을 대상유역으로 선정하였으며, 대상하천에 대한 위치도는 Fig. 1에 나타내었다. 세 하천은 모두 보 구조물이 연속적으로 분포하며, 홍수기에는 수위 상승으로 인한 통수단면 부족, 평저수기에는 상류 정체수역의 수질 악화라는 공통 문제를 가지고 있다.
① 만경강(Mangyeong River)
만경강은 전라북도 완주군 오성교에서 시작하여 김제시 만경대교에 이르는 약 42 km 구간을 대상으로 하였으며, 대상 구간은 평야부 곡류가 발달하여 저유량기 정체수역이 형성되기 쉬우며, 전주천·소양천·익산천·오산천 등 지류가 합류하고 있다. 대상구간 내 벌덕보, 하리보, 장자보 등 8개의 중소규모 보를 대상으로 하였다. 만경강은 저수지·보의 관리 상태에 따라 상류 퇴적 및 수질오염 문제가 발생하기 쉬운 유역이며, 보의 수리특성 분석을 위해 2, 10, 50, 100년 빈도 홍수량을 대상으로 검토하였다.
② 금호강(Geumho River)
금호강은 경상북도 영천시 단포교에서 시작하여 대구시 강창교까지 이어지는 약 68 km 구간을 대상으로 하였으며, 금호보, 해안보, 원산보, 금강보, 거여보 등 5개 보를 검토대상으로 선정하였다. 금호강은 산지에서 도심을 거쳐 낙동강 본류로 유입되는 대표적인 도심하천으로 홍수 시 낙동강과의 합류부 수위 상승, 평상시 도심부 오염물질 유입 등 복합적인 수리·환경 문제를 안고 있어, 가동보 운영 분석에 중요한 사례유역이다. 금호강에 대한 설계빈도는 20, 30, 50, 80, 100, 200년 빈도를 대상으로 검토하였다.
③ 무심천(Musim Stream)
무심천은 충청북도 청주를 관통하는 하천으로 무심1낙차공에서부터 무심5보까지 약 32 km 구간을 대상으로 하였다. 연구구간에는 중·소규모 보와 낙차공이 연속적으로 분포하고 있으며, 덕산보, 문향보 등 19개의 보를 검토대상으로 선정하였다. 유역 특성상 도심부 하천으로서 생활오염원 유입이 많고, 갈수기 수질악화가 두드러지는 곳으로 가동보 운영에 따른 수심 변화를 분석하는데 적정한 하천이다. 무심천에 대한 설계빈도는 10, 20, 30, 50, 80, 100, 200년 빈도를 대상으로 검토하였다.
2.2 수치해석모형
HEC-RAS는 미 육군공병단(USACE)이 개발한 하천 해석 시스템으로 1차원 정상/부정류와 2차원 부정류를 단일 환경에서 수행하며(필요 시 1D-2D 결합 모델링), RAS Mapper를 통해 지형 구성·격자 생성·결과 시각화를 지원한다. 정상부등류 해석은 에너지방정식에 기초해 단면 간 수면곡선을 산정하는 표준 절차를 지원한다. 또한 토사이송과 수질 모듈을 통해 오염물질 이동을 모의하고, 보·교량·암거 등 구조물을 포함한 통합 해석이 가능하다(HEC, 2025). 최근에는 (i) 2D 및 1D- 2D 결합 기능의 고도화와 2D 교량 단순화 등 격자/연결부 개선, (ii) RAS Mapper 성능·사용성 향상, (iii) 식생·공극 매질의 물리표현 확장(공극률·유동저항 고려) 등의 기능이 개선되었다.
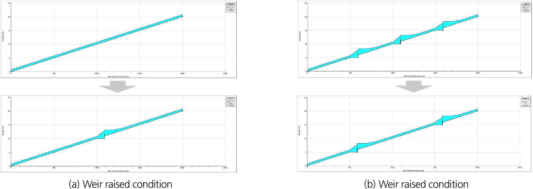
본 연구에서는 HEC-RAS의 정상부등류 모듈을 적용하여 사다리꼴 가상하도와 3개 실제 하천(만경강·금호강·무심천)을 대상으로 다양한 규모의 설계빈도 유량조건에 대해 흐름해석을 수행하였다. 하천의 고정보는 가동보의 전도와 기립상태를 구현하기 위해 보의 전도(개방) 상태(weir lowered condition)는 기존 단면에서 보를 제거한 시나리오로, 기립(폐쇄) 상태(weir raised condition)는 보가 없는 하도에서 보를 설치한 시나리오를 가정하여 수심의 증가/감소 효과를 정량화하고, 보면적비·지점경사·마찰경사 등 수리 지표와의 관계를 평가하였다.
2.3 랜덤포레스트 회귀모형
랜덤포레스트(Random Forest, RF)는 배깅(bagging)과 무작위 특성 선택을 결합해 여러 결정트리를 학습하고, 회귀의 경우 개별 예측값을 평균(앙상블)하여 최종 값을 산출하는 비모수적 학습기다. 부트스트랩 표본(복원추출)과 분할 시 무작위 특성 선택을 병행해 트리 간 상관을 낮춰 편향 증가 없이 분산을 효과적으로 감소시킨다. 트리 개수(n_estimators)를 늘리면 일반적으로 분산이 줄어 과대적합 위험이 완화되며, 동시에 복잡한 비선형·상호작용 관계를 모형화할 수 있다. 과대적합 제어는 트리 최대 깊이(max_depth), 리프 최소 표본(min_samples_leaf), 분할 최소 표본(min_samples_split), 특성 수(max_features) 등으로 수행한다. 트리 기반이므로 비선형성과 변수 상호작용을 자연스럽게 포착하며, 입력 스케일에 크게 민감하지 않고 이상치(outlier)에 비교적 강인하다. 변수중요도는 (i) 지니/불순도 감소 기반(Mean Decrease in Impurity, MDI)과 (ii) 특정 변수 값을 셔플했을 때의 성능 저하량인 퍼뮤테이션 중요도(Permutation Importance, MDA)를 함께 사용하면 해석 신뢰도가 높아진다(Breiman, 2001). 모형 해석에는 부분의존도(Partial Dependence Plot, PDP)와 같은 사후 시각화를 통해 주요 입력변수가 목표변수(수심 증감률)에 미치는 평균적 영향을 확인할 수 있다(Friedman, 2001). 특성 스케일에 둔감하여 정규화가 불필요하며, 결측은 사전 보간/대체 후 학습하는 것이 일반적이다. Fig. 2는 랜덤 포레스트 회귀모형에 대한 개념도를 나타내고 있다.
본 연구에서는 가동보 기립(weir raised condition)과 전도(weir lowered condition) 시나리오에서 산출된 수심 변화율(증가/감소)을 목표변수로 두고, 보면적비(Area Ratio, AR), 지점경사(Site Slope, SS), 마찰경사(Friction Slope, FS) 등을 주요 입력변수로 하여 시나리오별로 RF 회귀모형을 각각 학습하고자 하였다. 학습 후 모형 성능은 교차검증/OOB 성능, 변수중요도, 부분의존도(PDP)를 이용해 물리적 해석을 실시하였다.
2.4 성능평가 지표
본 연구의 회귀 예측에 대한 적합도 평가는 RMSE, 그리고 조정 (adj. )를 사용하였다. 아래 식에서 관측값은 , 예측값은 , 표본수 N, 관측평균 를 의미한다.
2.4.1 RMSE (Root Mean Square Error)
RMSE는 오차 제곱의 평균에 대한 제곱근으로 큰 오차에 민감하며, 목표변수와 동일 단위를 가져 물리적 해석이 직관적이다. 서로 다른 모형이나 시나리오 간 절대오차 크기 비교에 적합하며, 값이 작을수록 예측이 정확함을 의미한다.
2.4.2 결정계수 (Coefficient of Determination)
는 관측 변동성 중 모형이 설명하는 비율을 나타내며 1에 가까울수록 설명력이 크다. 절대 규모의 오차보다는 분산 대비 잔차의 상대 크기를 평가하므로 스케일이 다른 자료에서도 해석이 용이하다. 단, 편향(bias)을 직접 반영하지 않고, 상수항이 없는 모형이나 극단치가 많은 경우 음수가 될 수 있다. 또한 입력변수를 추가하면 일반적으로 값이 증가하는 경향이 있어 변수 선택 상황에서 과대평가의 위험이 있다.
2.4.3 조정 결정계수(Adjusted )
Adj. 는 설명변수 수 𝑝를 이용해 의 상승 경향을 보정해서 변수 집합이 다른 모형 간 비교에 유리하다. 불필요한 변수를 추가해도 값이 자동으로 상승하지 않으며, 동일한 라도 불필요한 변수가 많으면 adj. 가 낮아진다. 비모수 모형의 경우 자유도 정의가 엄밀하지 않으므로, 본 연구에서는 입력 특성의 개수 p를 기준으로 상대 비교용 보조 지표로 해석하였다.
본 연구에서는 기립과 전도 시나리오별로 단위 의존 지표(RMSE)와 단위 무관 지표(, adj. )를 함께 검토하여 절대오차 규모와 설명력 또는 상대 성능을 해석하고자 하였다.
3. 분석결과
3.1 가상하도
본 절에서는 가동보의 기립(폐쇄)과 전도(개방)와 같은 상태변화가 수리특성에 미치는 영향을 정량적으로 분석하기 위해 사다리꼴 단면의 가상하도를 구축해 정상부등류 조건으로 수치실험을 수행하였다. 보와 하도에 대한 상세사양은 2.1.1절에 제시하였으며, 각 시나리오에 대한 수치해석은 HEC- RAS의 정상부등류 해석을 수행하였다. 가동보의 운영 효과는 Fig. 3에서 보는 바와 같이 동일 단면·유량·경사 조건에서 보가 기립/전도 조건일 때의 종방향 수면곡선으로부터 보의 직상류지점에서 수심의 증가량과 감소량을 기준으로 분석하였다.
보의 크기에 대한 흐름영향은 무차원화 지표인 보면적비(Weir Area Ratio, AR)로 나타내었는데, 주어진 유량에서의 유효 통수단면적 대비 보가 점유하는 투영면적의 비율(%)로 정의하며, 보 높이·수위·단면형상과 같은 복합효과를 단일 변수로 나타낼 수 있다. Fig. 4(a)에서는 보의 기립 조건일 때 보면적비-수심 증가율 관계를 나타내고 있으며, Fig. 4(b)에서는 전도 조건에서 보면적비-수심 감소율 관계를 나타내고 있다. 그림에서 보는 바와 같이 기립과 전도 모두 통수단면적에 대한 보의 면적비는 보의 크기에 따라 크게 증가하는 경향을 가지고 있었다. 기립에 따른 수심 증가율과 전도에 따른 수심 감소율은 하상 경사에 따라 비례관계가 있는 것으로 나타났으며, 보의 면적비에 대해서는 기립 시 양(+)의 상관관계가 크게 있는 것으로 나타났으나 전도 시에는 양(+)의 상관관계가 미미한 것으로 나타났다. 이와 같이 가상하도에서 보의 기립과 전도에 따른 수심 증가율과 감소율을 추정하기 위해 하상경사와 보 면적비를 변수로 하는 선형회귀식을 SPSS를 이용하여 Eqs. (4) and (5)과 같이 개발하였다.
Raised condition:
0.988, Adj. = 0.987, RMSE = 0.122%)
Lowered condition:
0.887, Adj. = 0.876, RMSE = 0.081%)
여기서, S는 무차원 하상 기울기, AR은 유량에 대한 유효 통수단면적 대비 보의 투영면적의 비율(%)이며, 와 는 각각 수심 증가율(%)과 감소율(%)을 의미한다. 이와 같은 회귀식을 통해 가상하도에서 하상경사와 유량에 따라 형성되는 유효 통수단면적 대비 보의 크기에 따른 투영면적의 비율을 이용하여 가동보의 기립과 전도와 같은 보 운영으로 인한 수심 증가율과 감소율을 추정할 수 있는 것을 확인하였다.
3.2 대상하천
본 연구의 대상하천인 만경강, 금호강 그리고 무심천에는 다양한 형태의 고정보가 설치되어 있으며, 보의 기립과 전도에 대한 수리학적 효과를 검토하기 위해 보의 기립은 보가 없는 하도의 흐름상태를 기준으로 보가 있는 현재 상태를 모의하여 수심의 증가량을 살펴보았으며, 보의 전도는 보가 있는 현재의 흐름상태로부터 보가 없는 경우를 가정하여 수심의 감소량을 비교하였다. 이와 같이 보의 기립과 전도에 따른 수심 증가율과 감소율을 정량적으로 분석하기 위해 AR, BS, FS, SS 변수 간의 피어슨 상관관계를 Table 1과 같이 검토하였다. 여기서, 보면적비(Weir Area Ratio, AR)는 하천별 설계빈도 유량에 대한 통수 단면적을 기준으로 실제 보가 점유하는 투영면적의 비율(%)이며, 하상경사(Bed Slope, BS)는 보를 중심으로 상ㆍ하류 500 m 거리에 대한 최심하상고의 경사를 의미하며, 마찰경사(Friction Slope, FS)와 지점경사(Site Slope, SS)는 HEC-RAS 모형을 통해 산정되는 대상지점의 마찰경사와 최심하상고의 경사를 의미한다. 이들 인자들에 대한 상관성 분석 결과(Table 1), 기립 시 수심 증가율은 보면적비(AR)와 강한 양(+)의 상관을 보였으며, 마찰경사(FS)와 지점경사(SS)도 유의한 양(+)의 상관을 나타내었지만, 하상경사(BS)는 약한 음(-)의 상관으로 유의성이 낮은 것으로 나타났다. 전도 시 수심 감소율은 보면적비(AR), 마찰경사(FS), 지점경사(SS)와 모두 양(+)의 상관을 보였고, 하상경사(BS)와의 상관은 미미한 것으로 나타났다. Fig. 5는 보의 기립조건(raised)일 때와 전도조건(lowered)일 때 보면적비(AR)에 대한 하천 수심의 증가율과 감소율에 대한 관계를 각각 나타내고 있다.
Table 1.
Correlation analysis for percentage increase/decrease in flow depth
만경강, 금호강 그리고 무심천과 같은 3개 하천에서 보의 기립과 전도에 따른 수심의 증가율과 감소율에 대한 수리특성 인자들과의 상관관계 분석을 통해 SPSS 통계프로그램을 이용하여 다중선형회귀식을 도출하였다. Eq. (6)은 기립 시 수심 증가율에 대한 회귀식인데, 모형 설명력을 의미하는 결정계수 = 0.755, adj. = 0.751인 것으로 분석되었다. 식의 세 계수는 모두 양(+)이고 통계적으로 유의하다. 물리적으로는 보 면적비(AR)가 1%p 증가할 때 평균 수심증가율이 1.143%p 증가하며, 마찰경사(FS)와 지점경사(SS)의 증가도 상류 정체수역(backwater)을 증폭시켜 수심의 증가율을 높이게 된다. 분산팽창계수(VIF)가 대체로 1-1.1대에 머물러 다중공선성 문제는 크지 않은 것으로 나타났다. Fig. 6(a)는 Eq. (6)로 산출한 예측 수심증가율과 HEC-RAS 모의를 통한 수심 증가율의 1대 1 대응도를 나타내고 있는데, RMSE는 14.13%로 나타나 단순 선형식 수준에서도 회귀선의 기울기가 1에 근접하여 평균적인 편향(bias)은 작은 것으로 나타났다. Eq. (7)은 전도 시 수심 감소율에 대한 회귀식을 나타내고 있는데, 모형 설명력 = 0.669, adj. = 0.663으로 나타났다. AR·FS·SS는 양(+)의 관계, BS는 음(-)의 관계인 것으로 추정되었다. 즉, 보가 클수록 보 전도 시 정체 해소가 더 크게 나타나 감소율이 커지고, 마찰·지점경사는 에너지손실과 국부종경사 효과를 통해 감소율을 증폭시키게 된다. 반면 하상경사 증가(급경사화)는 전도 효과를 상쇄하는 방향으로 작용하였다. Fig. 6(b)는 Eq. (7)에 대한 예측-모의 비교결과를 나타내고 있는데, 전 구간에서 비교적 안정적인 예측 성능을 보이고 있으며 RMSE는 8.22%인 것으로 나타났다.
3.3 랜덤포레스트 회귀모형
3.3.1 학습 절차
본 절에서는 만경강, 금호강 그리고 무심천에 대한 HEC- RAS 모의결과를 바탕으로 보의 기립 및 전도 시나리오에 대해 수심 증감률을 예측하기 위해 랜덤포레스트 회귀(RF regression)를 적용하였다. 3.2절의 선형모형으로 포착하기 어려운 비선형성과 변수 상호작용을 반영한 예측모형을 구축하였으며, 시나리오별로 독립모형을 구축하였다. 목표변수는 시나리오별 수심 변화율(%)이며, 입력변수는 보면적비(AR), 하상경사·지점경사·마찰경사(BS, SS, FS), 최심하상고(Z_bed), 프루드수(Fr)로 구성하였으며, 시나리오별 수심 변화율과 관련이 있는 수심, 통수단면적 등은 입력에서 제외하여 누수를 방지하였다. 모형 평가는 동일 하천/보 단위(GroupID)를 기준으로 K=5 Group K-fold 교차검증을 수행하여, 각 fold에서 학습에 사용되지 않은 그룹의 OOF (out-of-fold) 예측을 수집하였다. 성능지표는 RMSE와 R2이며, 폴드별 평균±표준편차로 분석하였다. 주요 하이퍼파라미터(n_estimators = 300, min_samples_leaf = 2, random_state = 42)는 사전 그리드 탐색과 민감도 분석을 통해 결정하였으며, 과적합 없이 안정적인 OOF (Out-of-Fold) 성능을 확보하였다.
3.3.2 예측성능 비교
랜덤 포레스트 회귀모형에 적용할 수 있는 다양한 입력변수들 중 예측력이 우수한 입력변수를 구성하기 위해 Group K-Fold (K=5)로 산출한 OOF 성능을 기준으로, (i) 보 면적비만을 사용하여 랜덤 포레스트 기법을 적용한 경우(RF-AR), (ii) 보 면적비, 푸르드 수, 마찰경사를 사용하여 랜덤 포레스트 기법을 적용한 경우(RF-Combo(AR, Fr, FS)), (iii) Eqs. (6) and (7)에서 적용된 변수들을 이용한 경우(Ordinary Least Squares, OLS)를 대상으로 검증을 실시하였다. Fig. 7은 각 모형의 OOF 예측-관측 산점도이고, Table 2는 fold 평균±표준편차로 요약한 R2와 RMSE 및 쌍대 비교 p-value를 나타내고 있다.
Table 2.
Out-of-fold (OOF) performance under Group K-Fold (K=5)
그림과 표에서 보는 바와 같이 기립(raised) 시 RF-Combo와 OLS에 대한 와 RMSE는 유사하며, 두 모형 모두 RF-AR보다 양호한 것으로 나타났다. 폴드쌍 검정 결과 RF-Combo와 OLS 차이는 유의하지 않은 수준(p(R2)=0.813, p(RMSE)= 0.625)이었으며, RF-Combo와 RF-AR도 유의수준에 미달(p(R2)=0.188, p(RMSE)=0.188)한 것으로 나타났다. 따라서, 랜덤 포레스트 기법을 적용할 경우 AR 단일 변수에 대한 설명력은 제한적이지만 Fr과 FS를 함께 사용하면 OLS와 유사한 일반화 성능을 확보하는 것으로 나타났다. 산점도에서는 RF-Combo와 OLS는 1:1 대응선 부근에서 상대적으로 밀집한 것으로 나타났지만, RF-AR은 상대적으로 산포도가 넓게 나타났다. 전도(lowered) 시 RF-Combo와 OLS에 대한 와 RMSE의 성능도 대체로 유사한 것으로 나타났으며, RF- AR은 명확히 열위한 것으로 나타났다. RF-Combo와 OLS는 유의하지 않은 수준(p(R2)=0.438, p(RMSE)=0.438)이었으며, 반면 RF-Combo와 RF-AR은 경계적 유의(p≈0.063, R2· RMSE 동일 경향)한 것으로 나타남에 따라 랜덤포레스트 기법에 AR 단일 변수로는 일반화가 어렵고 Fr과 FS를 결합했을 때 성능이 현저히 개선될 수 있는 것으로 나타났다.
결국, 랜덤포레스트 기법의 적용은 보 면적비(AR) 단일변수로는 일반화가 부족하며, 푸르드 수(Fr)나 마찰경사(FS)를 함께 사용할 때 예측력이 크게 향상되는 것으로 나타났다. 다만 본 비교에서 RF-Combo와 OLS의 p-value가 모두 0.05 초과하여 두 접근은 통계적으로 동급으로 해석되는데, 이는 그룹 단위(K-fold) 분할에 따른 표본 수의 제약과 하천별 이질성으로 인한 폴드 간 분산의 영향에 기인한 것으로 보인다. 따라서 랜덤포레스트 기법의 적용은 RF-Combo 변수들을 대상으로 진행하였다.
3.3.3 변수 중요도
본 절에서는 RF-Combo 변수들(AR, Fr, FS)을 대상으로 성능 향상에 미치는 영향이 큰 중요도를 정량적으로 분석하고자 하였다. 중요도 분석에는 의사결정나무 분할 기준인 지니 불순도(Gini Impurity) 감소량을 기반으로 변수의 중요도를 측정하는 MDI (Mean Decrease in Impurity) 기법과 학습된 모델에서 특정 변수값을 무작위로 섞어 예측 정확도가 얼마나 저하되는지를 측정하는 MDA (Mean Decrease in Accuracy) 기법이 있는데, MDI 기반 중요도는 변수 스케일 및 분할 편향의 영향이 있어 본 연구에서는 퍼뮤테이션 지표(Permutation Index)를 사용하는 MDA기법을 적용하였다.
평가 절차는 하천/보 그룹 기반 Group K-Fold (K=5)를 사용하여 각 폴드의 검증(OOF) 데이터에서 변수값을 무작위 치환하고, 치환 전과 후에 대한 기준 성능 대비 저하량을 , 로 나타내었다. 폴드마다 치환을 반복하여 평균을 구한 뒤, 폴드 평균±표준편차를 산정하였으며, 이에 대한 결과는 Fig. 8에 나타냈었다. 보의 기립 시에는 AR의 기여가 = 1.30, = 0.16%로 가장 큰 것으로 나타났으며, Fr과 FS는 보조적 기여를 하는 것으로 나타났다. 그림의 오차(error) 선으로 표현되는 표준편차는 폴드 간 변동을 나타내며, AR의 불확실성 범위가 상대적으로 크지만 평균적 우세는 유지되고 있었다. 전도 시에는 FS와 Fr의 상대 중요도가 , 모두 AR보다 큰 것으로 나타났다. 이러한 결과는 보의 기립 시 수심 증가율은 AR 중심의 영향이 지배적이며, 전도 시 수심 감소율에 대한 예측은 AR-FS-Fr의 상호 작용을 고려한 모형이 적절함을 의미하고 있다.
3.3.4 부분의존도 및 2차원 상호작용 해석
3.3.2절의 성능 비교와 3.3.3절의 변수 중요도 결과를 통해 AR 단일변수만으로는 일반화가 제한됨을 확인함에 따라 본 절에서는 RF-Combo (AR, Fr, FS)를 대상으로 2차원 부분의존도(Partial Dependence Plots, PDP)를 산정하였다. 부분의존도 곡선은 기계학습 모델에서 특정 변수 하나가 목표변수에 미치는 영향을 시각적으로 제시하는 것으로 다른 변수들의 효과는 평균화하고 특정 변수의 변화에 따른 모델의 예측변화를 도시한 그림이다(Friedman, 2001). 2차원 부분의존도를 검토하기 위해 AR×Fr 및 AR×FS 상호작용이 수심 증감률에 미치는 비선형 효과를 정량적으로 해석하였다. RF-Combo는 Group K-Fold (K=5)로 학습하였고, 각 폴드의 학습 모형을 이용하여 관측치의 5-95 분위 범위에서 30×30 격자(AR×Fr, AR×FS)를 구성하였다. 나머지 변수는 관측 분포에 대해 적분(조건부 기대)하여 2차원 PDP 표면을 계산하여 Fig. 9와 같이 도시하였다. 그림에서 폴드별 표면은 평균으로 합성하였고 표준편차(±1 SD)는 등고선으로 표기하였으며, 시나리오별 구분을 위해 공통 컬러바로 스케일을 통일하였다.
분석 결과 보의 기립 시 AR×FS, AR×Fr 모두 우상향 곡면으로 AR 증가에 따라 수심 증가율이 커지고 Fr과 FS가 클수록 AR의 한계효과가 비선형적으로 증가하였다. Fig. 10에는 보의 기립 시 1차원 AR-PDP를 나타내고 있는데, 보 면적비 AR 단일변수에 대해서는 강한 단조 증가가 확인되었으며, 폴드 간 변동은 증가 구간에서 다소 확대되었으나 평균 추세를 훼손하지 않는 것으로 나타났다. 전도 시 AR×FS는 전 구간에서 완만한 우상향을 보였고, FS 증가에 따른 추가 상승이 관찰되었다. AR×Fr는 중·저 Fr에서 AR의 양의 효과가 뚜렷하나, 고 Fr (상위 분위) 영역에서 AR 효과의 평탄화로 국지적 역전현상도 발생하는 것으로 나타났다. 1차원 AR-PDP에서는 완만한 단조 증가가 있는 것으로 나타났으며, 폴드 간 불확실성 범위가 비교적 좁아 안정적 평균 효과를 나타내고 있었다. 또한, Fig. 10의 회색 선들은 개별 조건부 기대(Individual Conditional Expectation, ICE)를 나타내며, 각 샘플의 AR 변화에 따른 부분의존 곡선을 시각화한 것이다. ICE는 각 데이터 샘플별 예측 반응을 보여줌으로써 평균적인 PDP 곡선(폴드 평균)에서 관찰되지 않는 비선형성과 샘플 간 분산을 확인하는 데 활용된다. 결국, AR×Fr 항은 관성에 의한 수면 상승의 증폭효과를, AR×FS 항은 마찰경사 증가에 따른 에너지 손실 효과를 반영하며, 이들 교호항의 상호작용은 기립 시 수위 변화의 비선형 반응 특성을 설명한다.
3.3.5 대상하천에 대한 수심 증감률 예측 및 검증
본 절에서는 만경강·금호강·무심천 등 3개 하천의 자료를 통합하여, 보의 기립(raised)과 전도(lowered) 상태에 따른 수심 증감률을 예측하기 위한 다중회귀모형을 구축하였다. Fig. 11에서는 단일 변수(AR, Fr, FS)와 2차원 복합 변수(AR×Fr, AR×FS)에 대한 수심 증감률의 반응 특성을 나타낸 것이다. 각 변수에 대한 곡선 또는 등고면은 학습 데이터(Training)와 검증 데이터(Validation)를 구분하여 OOF 기반으로 산정되었으며, 이를 통해 변수별 기여 방향과 상호작용의 유무를 시각적으로 확인하였다. 기립 조건에서는 AR과 Fr, FS 사이의 양(+)의 상호작용이 뚜렷하며, 전도 조건에서는 FS의 영향이 우세하고 Fr의 증가에 따라 감소율이 완만히 감소하는 경향이 나타났다.
학습 및 검증 절차는 Group K-Fold (K=5) 교차검증을 기반으로 수행하였다. 즉, 하천-보 단위로 정의된 GroupID를 기준으로 전체 데이터를 5개 그룹으로 분할하였으며, 각 폴드의 학습 데이터(약 80%)를 이용해 모형을 적합하고, 나머지 검증 데이터(약 20%)에서 예측값을 산출하였다. 이렇게 얻은 모든 검증 세트의 예측치를 통합하여 OOF (Out-of-Fold) 검증 성능의 평가는 적용 데이터를 엄격히 분리하여 모형의 누수를 방지하면서 실시하였다. 그 결과를 바탕으로 다양한 조합의 다중선형회귀식 가운데 기립 및 전도에 대한 최적의 회귀식을 Eqs. (8) and (9)와 같이 도출하였으며, 이에 대한 성능지표(R2, RMSE)는 Table 3에 제시하였다.
Table 3.
Performance indicators of the multiple linear regression models
| state | _train | RMSE_train | _test | RMSE_test | n_train | n_test |
| Raised | 0.904 | 0.087 | 0.860 | 0.098 | 152 | 43 |
제안된 통합식의 적절성을 검토하기 위해 Fig. 12와 Table 4에서는 3.2절에서 제시된 단순 선형회귀식(Eqs. (6) and (7); OLS) 및 RF-AR (랜덤포레스트 AR 단일변수 모형)의 예측 결과와 본 절의 통합 다중선형회귀식(RF-2D)의 예측값을 비교하였다. 분석 결과, RF-2D 모형은 OOF 검증 데이터에서도 관측값과의 일치도가 높아 단일 변수 기반 RF-AR 예측보다 전반적으로 우수한 성능을 보였으며, 선형회귀모형(OLS)보다도 기립 시에는 와 가 우수하였고 전도 시에는 유사한 성능을 보여주고 있었다. 특히 기립 조건에서는 AR× Fr, AR×FS 교호항의 상호작용 효과가, 전도 조건에서는 FS, SS 항의 직접 효과가 주요 요인으로 나타났다. 이와 같이 본 연구를 통해 제안한 통합식은 하천별 개별식 없이도 보의 운영 상태에 따른 수심 증감률을 안정적으로 예측할 수 있으며, 데이터 효율성과 일반화 성능 모두에서 높은 신뢰도를 확보하는 것을 확인할 수 있었다.
4. 결 론
본 연구에서는 보(weir)의 기립(raised)·전도(lowered) 상태에 따른 수심 증감률 변화를 정량화하기 위해 가상하도와 실제 하천(만경강·금호강·무심천)에 대한 수치해석 자료를 활용하여 수리 변수기반의 다중회귀식을 개발하고, 기계학습 회귀모형(Random Forest, RF)을 통한 개발식을 비교·검증하는 것을 목적으로 하였다. 본 연구에서 수행한 연구내용은 다음과 같다.
(1) 가상하도 실험에서는 보의 개폐에 따른 수심 변화 특성을 정량화하기 위해 SPSS 기반의 단순 선형회귀모형을 적용하였다. 분석 결과, 보면적비(AR)와 하상경사(S)를 이용하여 수심 증감률에 유의한 설명력을 가지는 선형 회귀식을 산정함에 따라 단일 변수의 영향과 회귀식의 적합도를 중심으로 모형의 기초 구조를 도출하였다.
(2) 만경강·금호강·무심천 3개 하천의 수치해석 결과를 이용하여 수리 변수 간 피어슨 상관관계를 분석하고, 이 중 수심 증감률과 높은 상관성을 보이는 흐름 통수단면적 대비 보면적비(AR), 마찰경사(FS), 지점경사(SS)를 중심으로 다중선형회귀식(OLS)을 개발하였다. 기립 시 개발식에 대한 = 0.755, adj. = 0.751로 나타났으며, 전도 시에는 = 0.669, adj. = 0.663으로 나타나 유의미한 결과를 얻을 수 있었다.
(3) 3개 하천 통합 데이터를 대상으로 랜덤포레스트 회귀모형(Random Forest Regression)을 적용하였다. 모형 학습에는 Group K-Fold (K=5) 교차검증을 적용하여 학습(약 80%)과 검증(약 20%)을 분리하였으며, 각 폴드의 검증 예측치를 종합해 OOF(Out-of-Fold) 성능을 평가하였다. 그 결과, 단일 변수 기반 RF-AR 모형은 R2≈0.47 수준으로 일반화 성능이 낮았으나, AR 외에 Fr, FS, SS를 함께 고려한 RF-Combo 모형은 R2≈0.80으로 OLS와 유사하거나 더 나은 예측력을 보였다. 또한 Permutation Importance 분석 결과, 기립에서는 AR과 Fr, FS가 주요 변수로, 전도에서는 FS, Fr이 중요 변수로 확인되었다.
(4) 랜덤포레스트 회귀모형(RF)을 이용하여 단일 변수(AR) 및 복합 변수(AR×Fr, AR×FS)에 대한 부분의존도(PDP)를 산정함으로써 주요 변수들의 비선형 상호작용을 분석하였다. 이를 통해 기립 조건에서는 AR의 영향이 Fr·FS 증가에 따라 비선형적으로 증폭되는 반응을, 전도 조건에서는 FS·Fr이 완만한 단조 증가를 보이며 AR의 효과가 제한되는 경향을 확인하였다. 이러한 변수 영향 해석을 바탕으로 3개 하천 통합 데이터를 이용한 다중선형회귀식(RF-2D)을 도출하였다. 제안식은 Group K-Fold (K=5) OOF 검증으로 평가한 결과 R2≈0.80, RMSE≈0.07-0.12 % 수준의 높은 적합도를 보였으며, 기립 시에서는 AR× Fr과 AR×FS 교호항의 상호작용 효과가 있었고, 전도 시에서는 FS와 SS 항의 기여가 주요 요인으로 분석되었다. 또한 RF-2D 예측값은 RF-AR 단일변수 모형 대비 우수하고 다중선형회귀식(OSL) 대비 동등한 성능을 보여 제안된 통합식의 일반화 가능성과 물리적 타당성을 입증하였다.
본 연구는 보가 설치되어 있거나 설치가 필요한 하천에 대해 기초적인 수리특성과 지형적 특성을 이용하여 보의 신설(기립) 또는 철거(전도)에 따른 수심 증감률의 신속한 판단을 할 수 있는 회귀식을 개발하고자 하였다. 이를 통해 보 운영(기립/전도)에 따른 하천 유지관리와 가동보 운영정책 수립을 위한 실무형 하천관리 의사결정 지원에 유용하게 활용될 것으로 기대된다. 하지만, 보다 광범위한 실무 적용을 위해서는 하천 규모별로 충분한 자료 축적과 다양한 유량 및 지형 조건을 반영한 추가 분석이 필요할 것으로 사료된다.














