1. 서 론
최근 전국 곳곳에서 노후 상수도관 파손으로 인한 누수와 용수공급 중단사고가 빈번하게 발생하여 노후 상수도관에 대한 시민들의 관심이 커지고 있다. 하지만 모든 노후 상수도관을 교체하는 것은 막대한 예산이 필요하므로 현실적으로 불가능한 일이다. 따라서 선제적 관리차원에서 상수관망에서 적절한 노후도 평가가 필요하며, 이를 통해 상수도관의 교체가 시급한 구역에 우선적으로 개량 사업이 실시되어야 한다. 현재 상수도관의 노후도 평가는 주로 직접 평가법과 간접 평가법을 사용하고 있지만 평가 방법이 까다롭고 복잡하다는 단점이 있어 상수도관의 노후도를 좀 더 쉽고 간편하게 진단할 수 있는 방법이 필요하다. 현재 상수도관의 부식깊이, 잔존수명, 그리고 안전도를 분석하는 연구 및 상수도관의 노후도 평가 연구가 다음과 같이 진행되고 있다.
Lee et al. (2004)은 국내 도시지역에서 매설환경이 다른 주철관종(CIP, DCIP) 34개를 수집하여 매설연도에 따른 관체의 부식속도, 부식깊이 등을 평가하고 잔존수명을 산정하여 적절한 갱생 또는 개량시기를 분석하였다.
Kim et al. (2007)은 국내 매설상수도의 관종별 관경 및 매설경과연수에 대한 부식의 특성을 분석하고 상수도관의 내·외면 부식깊이 분석을 통해 부식깊이 예측모델을 제시하였다. 연구 결과, 국내 상수도관의 경우 외면의 부식보다 내면의 부식이 더 크게 나타나는 경향을 확인하였다.
Park et al. (2011)은 상수관의 개량 우선순위를 결정하기 위해 평가되어야 하는 인자를 관의 파손이 전체관망에 미치는 영향과 개별관로의 특성으로 구분하였다. 또한 퍼지기법을 통해 상수도관의 개량우선순위를 결정할 수 있는 모형을 개발하였다.
Kim et al. (2014)은 국내의 대표적인 관로의 노후도 평가기법들을 비교·분석하였다. 기존 평가기법별 인자의 우선순위를 바탕으로 대구경 관로의 특성을 고려할 수 있는 인자를 선정하였으며, 전문가 의견, 실측치 등을 통하여 가중치를 배분하였다. 선정한 인자들을 통해 제시한 기법은 기존의 평가기법보다 시간과 경제적 비용을 효율적으로 줄일 수 있을 것으로 판단하였다.
본 연구에서는 기존의 상수관 노후도 분석법의 단점을 보완할 수 있는 운영지수법을 제시하였다. 그리고 신뢰성해석을 통한 안전도 분석, 간접평가법을 통한 노후도 분석을 통해 운영지수법의 사용성을 검증하였다.
2. 상수도관의 간접평가법
상수관 상태평가는 간접평가법과 직접평가법이 있다. 상수관 직접평가법은 현장에서 굴착 후 관을 직접 조사하여 평가하는 방법이다. 상수관 간접평가법은 관로의 제원, 운영이력, 매설환경 등을 고려하여 관 상태를 추정하는 점수평가법으로서, 각 관로구간에 대해서 평가항목과 각 항목별 가중치 등을 고려하여 현장 조사 및 시험·측정 결과에 대한 점수를 산정하고 최종적으로 관로의 상태등급 및 개량방안을 결정하는 방법이다. 본 논문에서는 간접평가법을 통해 청주시 상수관망의 개량우선순위를 선정하였다. 간접평가 점수 산정식(ME, 2019)은 Eq. (1)과 같다.
여기서, 는 관종별 평가항목의 조건 값, 는 관종별 평가항목의 가중치 는 매설연수별 관 상태 보정계수이다. 관종별 평가를 위한 가중치는 Table 1(ME, 2019)과 같고 매설연수별 관 상태 보정계수는 Table 2(ME, 2019)와 같다.
Table 1.
The weight of the indirect estimation method according to pipe type
간접평가점수 산정 결과를 토대로 노후상태 등급이 1등급인 경우 양호한 상태이며 간단한 세척을 통해 개량을 진행하고 2등급은 세척 또는 갱생을 실시, 3등급은 보강, 교체 등을 통해 개량을 진행한다. 산정된 간접평가 점수를 신뢰성해석을 통한 안전도 분석과 운영인자 분석법을 통한 위험도 분석결과와 비교하였으며, 청주시 상수도관망의 개량우선순위를 선정하였다. 기존 간접평가법 분석 결과는 Table 3과 같으며, 율량동(구시가지) 상수관망과 내덕1동 상수관망, 용암2동 상수관망이 노후가 많이 진행된 것으로 분석되었다.
Table 2.
Correction coefficient according to year of use
| Service year | Correction coefficient |
| 0 ~ 10 years | 100 |
| 10 ~ 20 years | 90 |
| 20 ~ 30 years | 80 |
| More than 30 years | 75 |
Table 3.
Results of indirect estimation method
3. 신뢰성해석
3.1 부정류해석
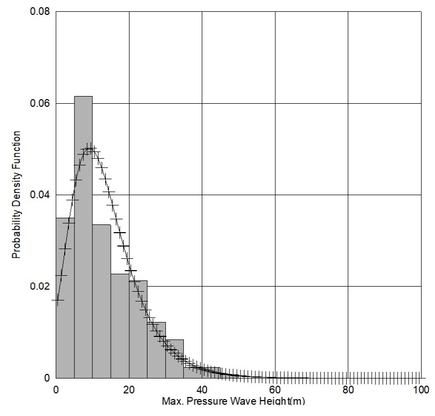
본 연구에서는 특성선법(Method of Characteristics)을 사용하여 청주시 14개 구역의 실제 상수도관망에 대해 수충격해석을 진행하였다. 수충격 발생 시나리오는 유량이 가장 많은 15개의 관에서 밸브의 개폐에 의해 수충격현상이 발생했다고 가정하였다. 밸브 폐쇄시간 0.5초, 1초, 3초에 따른 모든 절점에서의 최고 수충격압을 계산하였다. 해석조건으로 는 10 m, 마찰계수(f)는 0.03, 파속(C)는 1250 m/sec을 적용하였고 총 60초간 시뮬레이션하여 최고 수충격압을 추출하였다. Fig. 1은 대상 구역 중 위험도가 매우 높은 내덕1동 상수관망의 수충격해석 결과를 확률밀도함수로 나타내고 있다. 내덕1동의 수충격압의 통계적 특성을 분석한 결과, Fig. 1과 같이 검벨분포(Gumbel distribution)를 나타내고 있는 것을 확인할 수 있었다. Table 4는 내덕1동 상수관망의 수충격해석 결과의 통계적 특성을 나타내고 있다.
Table 4.
Statistical properties of surge pressure head
| Naedeok1 Water Distribution | |
| Mean (m) | 13.41 |
| COV | 0.700 |
| Scale parameter (κ) | 0.136 |
| Shape parameter (λ) | 9.176 |
3.2 신뢰성해석 모형
본 연구에서는 신뢰성해석 모형으로 LevelⅡ인 FORM (Frist-Order Reliability Method)모형을 적용하였다.
여기서 =관의 허용응력, =관두께, =관의 내압, 그리고 D=관의 직경이다. 따라서 신뢰함수는 Eq. (3)을 사용하여 을 만족하는 파괴확률을 정량적으로 산정할 수 있다.
관의 두께와 직경, 그리고 허용응력은 제품이 출고될 때 여러 불확실성을 갖고 있지만 정규분포를 따른다고 가정하였다. 또한 본 연구에서는 국내에서 실제 사용되는 관두께 산정식(KCIP, 2012)을 적용하여 신뢰성해석을 수행하였다. 관두께 산정식은 정수압과 수격압, 그리고 토피로 인한 토압 및 트럭하중으로 인한 토압을 모두 동시에 고려하고 있으며 정수압의 안전율 2.0, 수격압의 안전율 2.0, 토피로 인한 안전율 2.0, 차량하중으로 인한 토압안전율 2.0을 대입하여 아래 Eq. (4)와 같이 산정한다.
여기서, =관두께(mm), =정수압(kg/cm2), =수격압(kg/cm2), =관저의 지지각에 따라 결정되는 계수, =관정 0.076, 관저 0.011, =토피에 따른 토압(kg/cm2), =트럭하중에 따른 토압(kg/cm2), =관의 내경(mm), =허용응력(kg/cm2)이다. 본 연구에서는 관두께 산정을 위해 허용응력()=1,400 kg/cm2, 차량하중=9,600 kg을 적용하여 토피 1.5 m에서의 관두께를 산정하였다. 그리고 파이프의 허용응력과 두께, 그리고 직경은 정규분포를 사용하였으며, 파이프의 압력은 검벨분포를 사용하였다.
3.3 신뢰성해석 결과
통계적 특성 및 분석 결과에 따라 직경별 상수도관의 사용연수에 따른 파괴확률을 산정하였다. 상수도관의 직경은 청주시 14개 구역의 강관 200 mm, 300 mm에 적용하였고 초기 관두께는 각각 5.85 mm, 7 mm를 사용하였다. 사용연수에 따른 관두께는 Romanoff (1957)의 실측치를 통해 산정된 부식깊이 데이터를 활용하였다. Fig. 2는 매설경과연수에 따른 부식깊이의 변화를 나타낸 그래프이며 14개의 Low Alloy Steel pipe의 매설경과연수에 따른 부식깊이 평균값을 리그레이션 하여 사용하였다. 사용연수가 10년, 20년, 30년 경과됨에 따라 부식깊이는 0.57 mm, 0.92 mm, 1.21 mm로 나타났다. Fig. 3은 청주시 14개 구역 중 위험도가 가장 높은 내덕1동 상수관망의 신뢰성해석 결과를 보여주고 있다. 파괴확률을 산정 시 압력은 최악의 상황을 고려하였으며, 분석을 진행한 14개 지역 상수도관망의 최대 수충격압 평균과 정수압 평균을 더하여 10 kg/cm2으로 결정하였다. 내덕1동의 경우 직경 200 mm 관은 시간이 경과함에 따라 파괴확률은 3.21%, 4.18%, 5.26%로 증가하는 것으로 나타났으며 직경 300 mm관의 파괴확률은 4.65%, 5.59%, 6.68%로 증가하는 것으로 나타났다. Table 5는 신뢰성해석을 통한 안전도 분석을 통해 청주시 14개 구역의 개량우선순위를 나타낸 것이다. 분석 결과 직경 200 mm, 300 mm (현도와 강내는 없음) 강관의 경우 모두 내덕1동 상수관망의 안전도가 가장 취약한 것으로 분석되었다.
Table 5.
Priority rank for renovation by reliability analysis
4. 운영지수 분석법
우리나라에서 상수도 현대화사업이나 노후관 교체 사업에 적용하고 있는 직접평가법과 간접평가법은 평가 항목이 많고 평가 시간이 많이 소요된다. 특히 직접평가법을 통한 노후도 분석방법은 시편의 채취, 제작, 분석 과정을 거쳐야 하며, 굴착 및 복구 작업으로 인해 많은 비용이 발생한다. 시편의 채취와 굴착작업으로 인한 단수의 영향으로 직접평가법의 작업은 주로 물 사용량이 적은 야간에 이루어진다는 단점도 존재하는 등 노후도 평가에 불편함이 존재한다. 이러한 단점을 보완하기 위해 본 논문에서는 운영지수 분석법을 제시하여 위험도를 분석하였다. 운영지수 분석법은 굴착, 복구 작업의 최소화 및 단수 발생을 해소하여 노후 상수도관의 평가 비용을 감소시키고 평가 시간을 단축할 수 있어, 기존의 노후도 분석법보다 쉽고 간편하게 상수도관의 노후도를 진단할 수 있다.
본 연구에서는 청주시 14개 구역을 대상으로 운영지수 분석법을 통해 위험도를 분석하였다. 직경 200 mm, 300 mm 강관을 대상으로 위험도분석을 진행하였고 관두께지수, 잔존관두께지수, 수압지수, 매설연수지수, 토양지수, 사고이력지수를 평가지수로 결정하였다(Kwon and Lee, 2021). 그리고 간접평가법의 가중치를 Table 6과 같이 적용하고 방사형차트로 나타내어 위험도를 비교·분석하였다. 가중치는 현재 실무에 사용되고 있는 간접평가법과 항목이 다르기 때문에 비례수치를 적용하였다.
Table 6.
The weight value of management index
운영지수 분석법을 위한 운영지수는 관두께지수(), 잔존관두께지수(), 수압지수(), 매설연수지수(), 토양지수(), 사고이력지수()로 결정하였다. 관두께 지수는 Eq. (5)와 같이 상수도관의 설계 시 산정된 관두께와 실제 사용된 관두께의 비이다.
여기서, =관두께 지수, =산정된 관두께, =실제 관두께이다.
잔존 관두께 지수는 Eq. (6)과 같이 잔존 관두께와 초기 관두께의 비이다.
여기서, =잔존두께지수, =부식깊이, =초기관두께이다.
수압지수는 Eq. (7)과 같이 선정한 관 절점의 평균 압력수두와 배수지 최대 압력수두의 비이다.
여기서, = 수압지수, = 절점의 압력수두, = 배수지의 최대 압력수두이다.
매설연수지수는 Eq. (8)과 같이 실제 관의 매설경과연수와 관의 최대 매설경과연수의 비이다.
여기서, = 매설연수지수, = 대상 관 매설경과연수, =관의 최대 매설경과연수이다. 관의 최대 매설경과연수는 상수관의 교체시기인 30년으로 지정했다.
토양 지수는 Eq. (9)와 같이 토양비저항과 토양의 pH농도를 고려한 지수이다.
여기서, =토양지수, =중성상태인 pH 7.5, = 토양의 pH농도, =양호한 토양비저항인 10,000, = 토양의 토양비저항이다.
사고이력지수는 Eq. (10)과 같이 해당 구역별 관로사고횟수와 청주시 전체 관로사고횟수의 비이다.
=사고이력지수, =해당 구역 관로사고횟수, =청주시 전체 관로사고횟수이다. 관로사고는 최근 10년간의 자료를 수집하여 적용하였다.
Fig. 4는 청주시 14개 구역 중 위험도가 높은 3개 지역의 위험도를 방사형차트로 나타낸 것이다. 또한 분석 결과를 통해 Table 7과 같이 개량우선순위를 결정하였다. 직경 200 mm, 300 mm의 경우 모두 내덕1동 상수관망의 위험도가 0.2609, 0.2644로 상수관망 개량우선순위 1순위로 선정되었다.
Table 7.
Priority rank for renovation by management index method
운영지수 분석법과 신뢰성해석을 통한 분석을 비교한 결과 Fig. 5와 같이 나타났다. 운영지수 분석법과 신뢰성해석을 통한 개량우선순위 선정 결과 비슷한 결과가 도출되었다. Figs. 6 and 7은 운영지수 분석 결과와 신뢰성해석 결과를 지역별 매설경과연수와 비교한 그래프이다. 운영지수 분석법과 신뢰성해석 결과는 매설경과연수에 정확히 비례하지는 않는 것으로 나타났으며 이는 운영지수 분석법에 적용된 다양한 인자들의 영향임을 알 수 있었다.
5. 결 론
본 연구에서 개발된 운영지수 분석법을 사용하여 청주시 지역별 상수관망의 노후도를 분석하였다. 운영지수법을 통한 위험도 분석, 신뢰성해석을 통한 상수관망 안전도 분석 및 기존 상수관 노후도를 평가하는 간접평가법을 통해 노후도를 분석하여 결과를 비교·분석하였다. 간접평가법을 통해 청주시 지역별 상수관망 노후도를 분석한 결과 율량동(구시가지) 상수관망이 3등급으로 가장 낮은 점수로 분석되었으며, 내덕1동 상수관망과 용암2동 상수관망이 2등급으로 분석되었다. 신뢰성해석을 통한 안전도 분석 결과 또한 직경 200 mm, 300 mm 강관의 경우 모두 내덕1동 상수관망이 파괴확률 3.21%, 4.65%로 가장 안전도가 취약한 것으로 분석되었다. 운영지수 분석법을 통한 위험도 분석 결과 간접평가법과 신뢰성해석 결과와 같이 직경 200 mm, 300 mm 강관의 경우 모두 내덕1동 상수관망의 위험도가 0.2609, 0.2644로 가장 위험한 것으로 분석되었다. 또한 매설경과연수는 운영지수 분석법과 신뢰성해석 결과에 큰 영향을 미치지만 매설경과연수가 개량우선순위와 정확하게 비례하지 않다는 것을 확인할 수 있었다.
신뢰성해석을 통한 안전도 분석 결과 및 간접평가법을 통한 노후도 분석 결과는 운영지수 분석법을 통한 위험도 분석 결과와 비슷한 결과가 도출되었다. 기존의 노후도 평가법은 굴착과 복구 작업으로 인한 높은 비용이 발생하고 다양한 측정 장비가 필요하며 단수의 불편함이 발생한다. 본 논문을 통해 제시된 운영지수 분석법을 통해 굴착 및 복구 작업을 최소화한다면 상수관망의 노후도 평가 비용 감소, 단수의 불편함 해소 등 보다 간편하게 상수관 노후도를 분석할 수 있을 것으로 판단된다.









