1. 서 론
2. 연구내용
2.1 연구대상유역
2.2 빗물저류배수터널 수치모의
2.3 홍수량 산정
2.4 빗물저류배수터널 유입 유량 제어 모의
3. 빗물저류배수터널 유입 유량 제어
3.1 유입유량 제어 방법
3.2 유입유량 제어 적용
3.3 제어효과
4. 결 론
1. 서 론
최근 기후 변화의 영향으로 강우의 시간 분포 형태가 급격히 변화하면서 단시간에 집중적으로 강우가 발생하는 집중호우에 의한 재해 발생 빈도가 증가하고 있다. 실례로 2022년 8월, 강남구 및 서초구 일대에 발생한 500년빈도 이상의 기록적인 집중호우로 인한 침수 피해를 들 수 있다. 해당 집중호우에 의해 사당역 인근도로(동작대로, 사당로 등)가 침수되었으며, 남성사계 시장 인근 지하상가 및 건물 저층의 침수피해가 발생하였다.
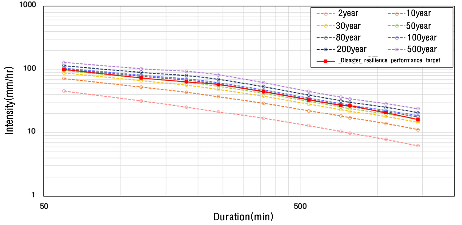
이처럼 대형화되는 집중호우에 대응하기 위해 서울시는 시간당 95 mm로 설정되어 있던 ‘방재성능목표(강우처리목표)’를 시간당 100 mm로 상향하여 관리하고 있으며, 일부지역은 ‘중점관리지역’으로 지정해 시간당 110 mm로 상향하여 도시의 방재성능 향상을 추진하고 있다(서울특별시공고 제 2022-3495호). 이러한 강우 특성의 변화는 도심지에서 침수로 인한 피해를 심화시키며, 기존의 배수 시스템만으로는 효과적인 대응이 어려운 실정이다.
이에 따라 유역에서 내리는 강우의 일부를 저류하는 기능을 가진 대심도 빗물저류배수터널이 도입되고 있으며, 이는 인구와 인프라 시설이 밀집한 도심지에 설치되어 침수 피해 완화를 목적으로 한다. 서울시는 사당천 유역 일대의 반복적인 침수를 예방하기 위한 수해대책사업으로 지하도로와 대심도 빗물저류배수터널의 복합기능이 있는 이수-과천 복합터널을 계획하였다(Fig. 1). 주요 저류시설의 규모는 빗물저류배수터널 L=2.95 km, 유입수직구 2개소, 유출수직구 1개소 등이다. 배수터널의 설계 저류용량은 약 424,000 m3이며 유출수직구 및 배수펌프에 의해 1일 배제하는 규모의 시설이 계획 중이다.
터널을 계획하고 운영하는 과정을 포함한 대규모 인프라를 건설하는 과정에서 공간적, 경제적 제약이 수반된다. 제한된 공사비와 도심지 내 지장물(건축물, 지하매설물 등) 간섭, 장비 투입의 어려움 등은 충분한 저류 공간을 확보하는 데 큰 장애요소가 된다. 따라서 빗물저류배수터널을 계획할 때는 단순히 최대 저류 용량을 확보하는 것이 아니라, 경제성, 계획빈도, 운영 효율성을 고려하여 최적의 규모를 결정하는 것이 필수적이다. 특히, 터널의 용량이 한정된 상황에서 터널로 유입되는 유량을 효과적으로 제어하지 않으면 터널 내 수위 상승으로 인해 저류 기능이 저하되거나, 과부하로 인해 배수 효과가 감소하는 문제가 발생할 수 있다.
이와 관련하여 유역 내 홍수 및 내수침수를 해결하기 위해 우수저류시설 설치 시 유입유량을 효과적으로 조절하고자 하는 연구는 다양하게 이루어지고 있다. 관련 연구동향을 살펴 보면 도시 홍수 대응을 위한 방재시설 중 빗물펌프장 운영 및 평가 연구로 Shim (1998)은 빗물펌프장 운영의 효과분석에 대한 연구를 수행하였으며 Jun et al. (2007)은 도시지역 내배수시스템의 실시간 운영 모델을 개발하였다. Song et al. (2014)는 펌프장의 조기가동에 의한 내수침수 저감효과를 분석하였으며 Sim (2017)은 빗물펌프장 운영 시나리오에 따른 홍수재해 저감능력을 평가한 바 있다. 한편, 우수저류시설의 효과분석, 용량 산정 관련 연구로 Jo (2016)는 도시침수 저감을 위한 소규모 저류지의 분산 설치 효과 분석, AL-Hamati et al. (2010)은 소유역에서 저류조의 용량결정, Lee et al. (2016)은 오프라인 빗물저류조 유입에 따른 운영방안 연구를 수행한 바 있다. Gomes Jr et al. (2024)는 저류지 유입유량을 모델 예측 제어 알고리즘을 적용하여 최적 운영을 수행하는 방법을 연구하였다. 또한 Park et al. (2024)은 서울 강남지역의 최적 대심도 하수도 시스템 연구를 수행하였다. Lund et al. (2020)은 빗물 유입 통합 예측 제어에 의한 합류식 하수도 범람(CSO) 저감을 연구하였다. 이상과 같이 빗물펌프장, 우수저류시설 등의 홍수조절시설 연계 운영을 통한 설계기법의 개발연구는 다양하지만 대심도 빗물저류배수터널을 대상으로한 연구는 미흡한 실정이다.
본 연구에서는 도심지의 제한된 빗물저류배수터널의 공간을 보다 안전하고 효율적으로 활용할 수 있도록 터널에 유입되는 유량을 제어하는 방법을 개발하고자 한다. 이를 위해 사당천 유역을 대상으로 연구를 수행하며, 해당 유역에 건설될 예정인 이수-과천 복합터널 빗물저류배수터널에 대한 수치모의를 통해 유입 유량 제어 기법의 효과를 검토한다. 연구의 일환으로 도시유출모형인 XP-SWMM을 활용하여 방재성능목표 강우량을 처리할 수 있는 빗물저류배수터널의 홍수기 도시유출 모델링을 수행하고 터널 유입 유량을 조절할 수 있는 운영 방안을 검토한다.
본 연구의 결과는 향후 이수-과천 복합터널의 운영 과정에서 유입유량 제어를 위한 중요한 기초 자료로 활용될 수 있으며, 도심지의 홍수 저감 대책 수립에 실질적인 기여를 할 것으로 기대된다. 또한, 제한된 용량의 빗물저류배수터널을 보다 효율적으로 활용할 수 있는 방안을 제시함으로써, 경제성과 실효성을 동시에 고려한 도심지 배수 시스템 운영 전략을 수립하는 데 도움이 될 것이다.
2. 연구내용
이수-과천 복합터널 빗물저류배수터널의 유입 유량 제어조건을 설정하고 이에 따른 사당천 유역의 침수저감 효과를 분석하기 위해 다음과 같은 방법으로 연구를 수행하였다. ① 1차원 관거 흐름 해석과 2차원 지표 침수 해석을 동시에 수행할 수 있도록 개발된 XP-SWMM 모형을 활용하여, 대상유역의 현황을 반영한 침수분석모형을 구축하고, 빗물저류배수터널 유입 유량 및 최대 저류비 강우지속기간을 산정한다. ② 빗물저류배수터널의 수직구 유입수문 작동수위의 조작을 통해 유입시작시간을 조절함으로써, 빗물저류배수터널의 최적 유입 유량 제어 조건을 도출한다. ③ 기본운영방식(유입 제어 조건 미반영)과 최적 유입 유량 제어 조건을 적용한 침수 저감효과를 비교하여, 유입 유량 제어 조건이 침수 저감에 미치는 영향을 분석하였다.
2.1 연구대상유역
2.1.1 기초현황
사당천은 관악산과 우면산에서 발원하여 반포천으로 유입된 후 한강으로 흐르는 반포천의 지류이다. 유역은 총 8개의 배수분구(사당, 이수, 이목, 남형, 방배1, 방배2, 방배3, 방배4)로 이루어져 있으며, 유역면적은 13.51 km2, 유로연장은 7.47 km, 하천연장은 4.87 km로 조사되었다. 유역의 평균고도는 EL. 94.76 m이며, 평균경사는 1/566에서 1/36의 범위를 보인다. 지형적으로는 상류부에서 경사가 급한 편이나, 유역의 약 3분의 1지점 이후부터는 완만한 경사를 이루고 있어 하류부에서는 상대적으로 유속이 느려지는 특성이 있다.
사당천 유역은 도심지에 위치하여 강우 시 지표유출량이 빠르게 증가하는 특징을 갖는다. 특히, 일부 구간은 복개되거나 지하화되어 있어 자연적인 배수 기능이 제한적이며, 집중호우 시 침수 피해가 발생할 가능성이 크다. 이에 따라 해당 유역에서는 도시 홍수 예방을 위한 배수 개선 사업이 지속적으로 추진되고 있다.
본 연구에서는 사당천 유역 13.51 km2에 대한 소유역 면적 분할을 수행하였으며, 소유역 분할도는 Fig. 2(a)와 같고 소유역은 유역내의 주요 간선 우수관로를 기준으로 총 335개로 분할하여 구성되며, 산지유역 총 7.30 km2, 도심지유역 6.21 km2로 구성되었다. 한편 과도한 소유역 분할에 의해 단위도 종거의 첨두값이 커지고 유역의 첨두홍수량이 과대 평가되는 문제를 방지하기 위하여 소유역별 도달시간을 보정하였다. 비교적 경사도가 큰 산지유역의 도달시간은 최소 5분으로 적용하였으며 대부분 평지인 도심지 유역은 홍수량 산정 표준지침을 준용하였다. 유역의 손실기법은 NRCS방법을 적용하였으며 평균 CN은 71~98범위로 분석되었다.
2.2 빗물저류배수터널 수치모의
2.2.1 확률강우량 검토
사당천 유역 인근에는 기상청에서 관리하는 방재기상관측소(AWS)가 다수 위치하고 있으며, 이들 관측소에서 제공하는 강우 자료는 본 연구에서 적용된 서울시 방재성능목표 강우와 비교 검토를 위하여 활용되었다. 대상 지역에서 활용 가능한 주요 관측소로는 서초 AWS, 남현 AWS, 현충원 AWS가 있다(Table 1).
Table 1.
Rainfall observation stations
서초 AWS는 20년 이상의 자료를 보유하고 있어 장기적인 기후 분석 및 통계적 검토가 가능하며, 남현 AWS는 2010년부터, 현충원 AWS는 2012년부터 강우 관측을 시작하여 비교적 최근의 강우 자료를 제공하고 있다. 본 연구에서는 이러한 관측소 자료를 바탕으로 대상 유역의 강우 특성을 분석하고, 서울시 방재성능목표 강우와 비교 검토에 활용하였다.
기상관측소의 선정은 해당 사당천의 유역경계가 티센다각형과 중첩하는 관측소를 적용하여 강우의 국지성을 반영하였고 ASOS관측소인 서울관측소는 본 사업지구와 다소 이격되어 분석대상에 포함하지 않았다(Fig. 3). 티센망도 분석 결과, 사당천 유역에서 지배적인 영향을 미치는 기상 관측소는 남현 AWS로 나타났으며, 이를 바탕으로 본 연구에서 티센비를 고려한 평균 확률강우량과 방재성능목표를 비교 검토하였다.
2.2.2 방재성능강우 회귀
서울특별시는 「자연재해대책법」 제16조의 4에 따라, 지역별 방재성능목표를 설정하고 이를 운영하여 홍수, 호우 등으로 인한 재해를 예방하기 위한 방재 정책을 수립하고 있다. 이에 따라 서울시는 특정 강우량 및 연속강우량에 대한 목표를 설정하여, 도시 내 홍수 및 침수 위험을 효과적으로 관리하고 있다. 이러한 방재성능목표는 강우량 및 연속강우량을 기준으로 설정되며, 각 지역의 특성에 맞는 방재 대책을 수립하는 데 중요한 역할을 한다.
본 연구에서는 1시간, 2시간, 3시간 세 가지 지속기간에 대하여 서울시가 제시하고 있는 방재성능목표 강우량을 전기간 강우지속기간으로 확장하고 빗물저류배수터널 저류능력 검토를 위한 최대 저류비 강우지속기간 검토를 시행하였다. 이를 위하여 방재성능목표 강우량을 회귀하여 6차 전대수 다항식의 형태로 제안하였다(Fig. 4).
2.3 홍수량 산정
2.3.1 전 강우지속기간 홍수량산정
본 연구에서는 서울특별시가 고시한 방재성능목표 강우량(50~80년 빈도에 해당)을 바탕으로 SWMM 모형을 이용하여 사당천 유역의 홍수 유출량을 산정하였다. 방재성능목표 강우량은 1시간, 2시간, 3시간 강우량 자료만 고시되어 있어, 앞서 도출한 6차 전대수 다항식(Table 2)에 의해 모든 지속기간으로 확장하여 모델에 적용하였다. 이 과정을 통해 사당천 하구에서 발생할 수 있는 홍수량을 산정하였으며, 유입 유량 제어분석을 위한 기초 자료로 활용되었다.
Table 2.
6th-degree polynomial coefficients for rainfall intensity–duration relationships
모형을 통해 산정된 최대홍수량은 303.8 m3/s로 도출되었으며, 이를 통해 해당 유역에서 발생할 수 있는 최대 유출량을 예측할 수 있었다. 또한, 분석 결과 사당천유역 하구지점에서 임계지속기간은 150분으로 나타났으며, 이는 최대 홍수 유출량이 발생하는 강우 지속 시간을 의미한다(Table 3, Fig. 5).
Table 3.
Peak flow rate by rainfall duration
| Duration (min) | Discharge (m3/s) | Remarks |
| 60 | 276.3 | |
| 120 | 299.7 | |
| 150 | 303.8 | Critical time duration |
| 180 | 303.2 | |
| 240 | 303.1 | |
| 300 | 300.9 | |
| 340 | 295.1 | |
| 360 | 292.5 | |
| 540 | 235.8 |
2.3.2 홍수량 산정모형 검증
모형 검증을 위해 현충원과 서초 관측소의 관측 강우량을 적용하였으며, 남현 관측소의 경우 2022년 8월 8일 21시 이후 결측값이 존재하여 분석에서 제외하였다. 검토 결과, 2022년 8월 8일 강우 조건을 적용한 SWMM 해석 결과는 실제 침수 흔적도와 비교적 높은 일치도를 보이는 것으로 나타났다. 침수 발생 지역 및 침수 면적이 실제 침수 흔적과 유사한 경향을 보였으며, 이는 모형의 적용 가능성을 뒷받침하는 결과로 해석된다.
침수 해석 결과를 세부적으로 분석한 결과, 사당천의 수위 상승으로 인해 사당천보다 저지대에 위치한 간선 관거에서 유입 불량이 발생하였으며, 이로 인해 상류부 관거의 통수능 부족이 심화되어 월류가 발생하는 것으로 검토되었다. 이러한 현상은 상대적으로 저지대인 남성사계시장 및 이수역 인근 방배천로에서 집중적인 침수가 발생한 실제 침수 양상과 62%부합하는 것으로 분석되었다(Fig. 6).
또한 서울시가 관측하고 있는 우수관로 내 수위계(20- 0001지점) 자료를 활용하여 해당 모형을 보정하였으며 그 결과를 Fig. 7에 나타내었다. 모의수위와 관측수위의 상관계수는 0.94로 분석되어 모형의 보정이 적절하게 이루어 진 것으로 판단하였다. 또한 사당천 하구지점을 기준으로 계산된 기본홍수량 301 m3/s와 금회 산정 홍수량 304 m3/s이 유사하도록 보정하였다.
2.4 빗물저류배수터널 유입 유량 제어 모의
2.4.1 최대 저류비 강우지속기간 검토
이수-과천 복합터널 빗물저류배수터널과 같은 대규모 저류를 위한 수공구조물의 용량설계에서 최대 저류비(저류되는 용적량/총 유출용적량)가 발생하는 강우지속기간은 저류공간의 크기를 결정하는 기준으로 제시된 바 있다(Yoon and Lee, 2001). 이와 같이 빗물저류배수터널의 저류공간이 최대 저류비가 되는 임계지속기간을 산정하여 저류공간의 크기를 결정하였다.
본 연구에서는 사당천 유역에 설치될 이수-과천 복합터널 빗물저류배수터널의 최대 저류비 강우지속기간을 산정하기 위해, 강우 지속기간을 60분부터 540분까지 10분 간격으로 설정하여 강우유출모의를 수행하였다. 이 모의를 통해 각 지속기간에 따른 유출량을 분석하고, 빗물저류배수터널에 유입되는 최대 유량을 도출하였다.
모의 결과, 수직구를 통해 유입될 수 있는 최대 유량은 수직구 1에서 18.4 m3/s, 수직구 2에서 89.7 m3/s로 계산되었다. 빗물저류배수터널의 최대 저류비 강우지속기간은 340분으로 산정되었고, 이때 최대 유입체적은 570,827 m3로 계산되었다.
2.4.2 최대 저류비 유입유량 검토
빗물저류배수시설의 유입량을 검토하기 위해, 최대 저류비 강우지속기간인 340분에 해당하는 강우 조건의 도시유출모의를 수행하였다. 모의 결과, 빗물저류배수시설로 유입이 시작되는 시간은 강우 시작 후 1시간 45분이 지난 시점으로 분석되었다. 이는 빗물저류배수시설이 강우가 시작된 이후 일정 시간이 경과한 후에야 유입이 시작된다는 것을 의미한다.
또한, 설계 저류용량인 424,000 m3에 도달하는 시간은 4시간 5분으로 나타났다(Table 4). 이는 유입이 시작된 시점으로부터 2시간 20분 후이며, 최대 유량에 도달하는 시간으로부터는 25분 이후에 해당한다. 한편, 최대유량 발생 시간은 강우 발생 후 3시간 40분으로 분석되었으며, 설계 저류용량인 424,000 m3에 도달하여 시설물의 최대 저류가 발생하는 시간은 4시간 5분으로 나타났다. 이로 인해 최대 유입량이 발생하는 시점과 최대 저류량 발생 시간 사이에 약 25분의 차이가 있는 것으로 검토되었다(Fig. 8).
Table 4.
Inflow estimation results for the deep storm water tunnel by rainfall duration
|
Duration (min) |
Discharge of Drop Shaft 1 (m3/s) |
Discharge of Drop Shaft 2 (m3/s) | Maximum inflow (m3) | ① Maximum storage volume (m3) | ② Inflow start time (hh : nn) | ③ Time to reach design storage capacity (hh : nn) | ||
| Drop Shaft 1 | Drop Shaft 2 | Total | ||||||
| 60 | 17.5 | 84.2 | 25,466 | 181,974 | 207,440 | 207,440 | 00:26 | - |
| 90 | 18.4 | 88.9 | 36,434 | 244,782 | 281,216 | 281,216 | 00:35 | - |
| 120 | 18.4 | 89.7 | 47,420 | 305,067 | 352,487 | 352,487 | 00:41 | - |
| 150 | 18.3 | 89.0 | 57,506 | 358,171 | 415,676 | 415,676 | 00:48 | - |
| 180 | 18.0 | 88.5 | 65,465 | 412,613 | 478,078 | 424,000 | 00:56 | 02:33 |
| 210 | 17.4 | 86.4 | 68,399 | 449,615 | 518,014 | 01:05 | 02:46 | |
| 240 | 16.5 | 82.9 | 69,620 | 460,578 | 530,198 | 01:13 | 03:03 | |
| 270 | 15.7 | 80.4 | 71,098 | 487,384 | 558,482 | 01:23 | 03:21 | |
| 300 | 14.5 | 77.8 | 68,402 | 500,257 | 568,659 | 01:31 | 03:38 | |
| 310 | 13.9 | 76.4 | 66,205 | 502,868 | 569,073 | 01:35 | 03:43 | |
| 320 | 13.4 | 73.6 | 64,708 | 504,200 | 568,907 | 01:38 | 03:50 | |
| 330 | 12.8 | 72.3 | 63,827 | 506,970 | 570,797 | 01:43 | 03:56 | |
| 340 | 12.1 | 70.5 | 62,467 | 508,360 | 570,827 | 01:45 | 04:05 | |
| 350 | 11.7 | 69.2 | 60,903 | 509,279 | 570,183 | 01:50 | 04:11 | |
| 360 | 11.2 | 67.9 | 59,348 | 510,931 | 570,279 | 01:53 | 04:18 | |
| 370 | 10.7 | 66.4 | 58,265 | 512,384 | 570,649 | 01:56 | 04:26 | |
| 380 | 10.3 | 65.1 | 56,508 | 512,498 | 569,006 | 02:01 | 04:33 | |
| 480 | 7.3 | 55.9 | 45,125 | 502,260 | 547,385 | 02:38 | 05:38 | |
| 540 | 5.8 | 52.1 | 40,497 | 485,695 | 526,192 | 03:01 | 06:18 | |
홍수 제어의 안정성을 확보하기 위해서는, 최대 유입량이 발생하는 시점과 최대 저류량 발생 시간이 최대한 이격될 필요가 있다. 이는 추가 유입을 위한 저류공간 여유율을 확보하고 수공구조물의 구조적 응력집중을 최소화하기 위함이다.
따라서, 유입 시작 시간을 제어하여 최대 저류량 발생 시간을 지연시키는 수문 운영 전략이 필요하다. 이를 통해 빗물저류배수시설이 안정적으로 작동하며, 예기치 않은 추가 유입에 대비한 여유 공간을 확보할 수 있다.
3. 빗물저류배수터널 유입 유량 제어
3.1 유입유량 제어 방법
빗물저류배수터널의 수직구에서 유입유량은 위어(weir)흐름의 형태로 제어하였다. 대심도빗물저류배수터널은 대부분 off-line저류방식을 채택하고 있으며 이수-과천 복합터널 빗물저류배수터널의 유입부의 형식은 Radial gate형태의 조절식 수문이다(Fig. 9). 조절식 수문방식은 상대적으로 짧은 웨어길이로 유입량 필요조건을 만족시키도록 조절이 가능하여 대심도 빗물저류배수터널의 유입량 제어에 적합한 것으로 판단된다. 한편 유입부의 횡월류부 폭은 8.84~9.40 m로 현장여건에서 가능한 최대폭으로 설치되었다. 각 수직구에서 유입 유량의 제어는 수직구 운영수심을 1.0~3.5 m로 조합하여 총 5개 시나리오에 대하여 최적안을 도출하는 방식으로 수행되었다.
3.2 유입유량 제어 적용
빗물저류배수터널의 유입 유량 제어를 위한 수문 운영을 분석하였다. 사당천 수위를 기준으로 유입시작 시간을 통제하며, 강우 시작 시간부터 설계 저류용량인 424,000 m3에 도달하는 시간을 분석하였다. 또한, 최대 저류비 강우지속기간인 340분 동안 두 수직구에서 유입되는 유량의 총합을 계산하여, 빗물저류배수터널에 유입되는 하천수의 총량을 산정하고 이를 그래프에 표시하였다.
수문 운영 수위를 적용한 결과, 설계 저류용량인 424,000 m3에 도달하는 시간은 운영 수문 적용 시, 수직구 1의 수위가 1.5 m, 수직구 2의 수위가 3.5 m일 경우, 강우 시작 후 1시간 40분이 소요된다고 분석되었다. 이는 유입 시작 시간으로부터 2시간 40분, 최대 유량 도달 시간으로부터 45분 후에 해당하는 시간이다.
이 결과는 기존보다 설계 용량 도달 시간을 약 20분 지연시킬 수 있음을 의미하며(Table 5), 빗물저류배수터널의 운영 효율성을 개선하고, 홍수 방지 및 침수 예방에 중요한 역할을 할 것으로 기대된다.
Table 5.
Time to reach the design storage capacity with water level operation
| Category |
Time to reach design detention volume without gate operation |
Time to reach design storage capacity with hydraulic gate operation |
| time | 4 hour 5 min | 4 hour 25 min |
3.3 제어효과
빗물저류배수터널의 침수저감효과 분석을 위해 최대 저류비 강우지속기간인 340분 강우에 대한 수직구 유입량 제어에 따른 침수면적 및 침수발생량을 산정하였다. 수직구 운영 수심 조건 선정시 수직구 유입 수문 설치 지점의 합류식 분류관거 높이(수직구#1: 1.0 m, 수직구#2: 1.1 m)와 복개식 하천의 최대 높이(수직구#1: 2.5 m, 수직구#2: 4.0 m)를 고려하였으며, 최대 수문조작 수심은 수문의 개폐 동작시간(약 10분)을 고려하여 0.5m의 여유고를 적용하였다. 수직구 운영 수심에 따른 침수분석결과 침수면적과 침수발생량을 산정하였으며, 기본운영방안(Case-01)과 최적운영방안(Case-05)을 비교한 결과 설계용량(424,000 m3)도달시간은 약 20분 지연되며(Fig. 8), 침수면적은 약 34.2%, 침수발생량은 약 33.9% 저감되는 것으로 분석되었다(Table 6, Figs. 10 and 11).
Table 6.
Time to reach the design storage capacity by water level operation
4. 결 론
본 연구는 대심도 이수-과천 복합터널 빗물저류배수터널에 홍수기 유입 유량 제어 기법을 적용했을 때의 침수 저감 효과를 분석하였다. 서울시 사당천 유역을 대상으로 XP-SWMM을 활용하여 도시유출 모형을 구축하고, 이를 통해 홍수량을 산정하였다. 분석 결과, 하구 지점의 최대 홍수량은 약 304 m3/s로 나타났으며, 임계 지속 기간은 150분, 터널의 최대 저류비를 기준으로 한 임계 지속 기간은 340분으로 산정되었다. 유입 유량을 제어하지 않은 경우, 빗물저류배수터널이 최대 저류용량에 도달하는 데 4시간 5분이 소요된 반면, 유입 유량을 제어한 경우에는 이 시간이 20분 지연되어 총 4시간 25분이 소요되었다.
유입 유량 제어의 효과는 지표면 침수면적과 침수량의 변화를 통해 검토되었으며, 침수면적은 약 34.2%, 침수량은 약 33.9% 감소하는 효과가 있는 것으로 분석되었다. 이는 유입 지점에서의 유량 제어를 통해 제한된 저류용량을 보다 효율적으로 활용하고, 최대 홍수량 도달 시점과 터널 저류용량 포화 시점 간의 시간 간격을 조정함으로써, 대심도 빗물저류배수터널의 안정적인 운영에 기여할 수 있음을 시사한다.
향후 연구에서는 장기간 지속되는 연속강우 상황에 효과적으로 대응하기 위해 배제펌프의 사전 운영을 포함한 터널 운영 전략의 최적화 방안을 검토할 필요가 있다. 특히, 초기 강우 시 단계적 저류를 우선 적용하고, 강우가 지속될 경우 점진적인 배수를 수행함으로써 하천 및 기존 배수 시스템의 과부하를 방지할 수 있을 것이다.
이와같이 본 연구는 대심도 빗물저류배수터널의 연속강우 대응 능력을 향상시키고, 도시 침수 피해를 보다 효과적으로 예방하기 위한 운영 전략 수립에 기초자료로 활용될 수 있을 것으로 판단된다. 향후에는 배제펌프와 연계한 실시간 운영 방안 및 유량의 제어에서 고정수위 운영이 아닌 시나리오에 따른 가변수위운영에 대한 연구를 수행하여 장기적인 운영 전략에 대한 추가 연구가 필요하다.













