1. 서 론
2. MCS를 적용한 누적피해도
2.1 상수도관망의 누적피해도
3. 보정계수 및 사용한계 결정
3.1 1차 보정계수 및 사용한계 결정
3.2 보정계수 고도화
4. 실제 상수도관망에 적용
5. 결 론
1. 서 론
상수도관망은 시민들에게 안전하고 안정적인 식수를 공급하는 핵심 사회기반시설이다. 그러나 상수도관은 시간이 경과함에 따라 노후화되며, 이는 누수, 수질 저하, 관 파손 등 다양한 문제를 초래할 수 있다. 이러한 문제들은 식수의 품질과 공급 안정성을 저해할 뿐만 아니라, 경제적 손실과 시민 건강에까지 중대한 영향을 미친다. 2022년 기준 우리나라 전체 상수도관의 길이는 246,126 km이며 이 중 93,969 km (38.2%)가 21년 이상의 사용연수를 가진 노후관으로 분류된다(ME, 2024). 상수도관의 노후화로 인한 사고는 지속적으로 증가하고 있으며, 이는 지역사회에 심각한 부정적 영향을 초래한다. 상수도관의 노후화는 내부 및 외부 환경의 물리적·화학적 요인에 의해 진행되는데, 관 내부에서는 수중 화학물질에 의한 부식과 빠른 유속에 따른 마모가 발생하며, 관 외부에서는 오염된 토양과 지하수로 인해 부식이 더욱 가속화된다. 이러한 상수도관의 노후화는 단순한 지역적 문제를 넘어 전국적으로 막대한 사회적 비용을 초래하는 중대한 과제로 인식되고 있다.
Caleyo et al. (2002)는 노후화가 진행 중인 상수도관의 잔존수명을 예측하기 위해 정상상태 부식모델을 기반으로 SORM (Second Order Reliability Method)과 Monte Carlo integration을 적용하였다. 그러나 모든 확률변수는 로그정규분포 또는 정규분포로 가정하였다는 한계가 있다.
Kim (2003)은 확률론적 신경망(Probabilistic Neural Network)을 이용하여 노후도 예측 모형을 개발하였다. 상수도관의 노후도를 5개의 등급으로 구분하였으며 관경과 노후도 등급을 기반으로 잔존수명을 예측하였다. 예산 제약의 유무에 따라 구분하여 정수계획법(Integer Programming)을 적용한 최적 개량 모델을 개발하였으며 유지보수, 개량, 교체에 소요되는 시간과 비용을 계산하였다.
Park et al. (2011)은 상수도관의 개량 우선순위를 결정하기 위한 정량적 평가 모델을 개발하였다 상수도관의 파손이 상수도관망에 미치는 영향과 개별 상수도관의 특성을 평가 요소로 구분하였으며 퍼지기법(Fuzzy Method)을 적용하여 정량적으로 산정하였다. 상수도관의 파손이 상수도관망에 미치는 영향을 퍼지 중요도로 반영하였으며 퍼지 노후도는 개별 상수도관의 특성을 반영하였다. 또한 평가 요소별 가중치를 고려하여 보다 정밀한 분석이 가능하도록하였다.
Choi et al. (2016)은 퍼지 기법(Fuzzy Technique)과 마르코프 과정(Markov Process)을 활용하여 상수도관의 노후도 및 파손 위험을 예측하는 Pipe Deterioration Prediction (PDP) 모델과 Pipe Failure Risk Prediction (PFRP) 모형을 개발하였다. 이 두 모형은 노후도 정도, 노후화 속도, 파손 가능성 및 잔존수명을 예측하여 유지보수 및 교체 우선순위를 결정하였다. PDP 모형은 개략적인 개량 및 교체 시점을 결정하는 데 효과적이었으나 이미 진행 중인 노후화 상태를 반영하여 예측하는 데 어려움이 있는 것으로 나타났다. 반면 PFRP 모형은 진행 중인 노후화 여부와 관계없이 적용이 가능하여 충분한 관련 데이터가 축적될 경우 유지보수 및 교체 시점 결정에 더욱 적합한 모형으로 판단하였다.
Lee and Kang (2018)은 ANN (Artificial Neural Network) -Clustering 기법을 적용하여 상수도관의 노후도를 정량적으로 평가하고 개량 우선순위를 결정하는 방법을 제안하였다. 실제 상수도관망에 ANN-Clustering 기법을 적용하여 상수도관의 등급을 구분하였다. 또한 ANN-Clustering 기법과 기존 점수평가법과 비교하여 신뢰성을 검증하였다. ANN- Clustering 기법을 적용한 상수도관의 노후도 평가법은 상수도관의 다양한 특성을 반영할 수 있다.
Kim et al. (2022)는 상수도관의 상태평가 결과를 활용하여 개량 의사결정 등급을 예측할 수 있는 인공신경망 알고리즘을 개발하였다. 간접평가에 사용되는 12개 평가항목의 데이터를 전처리하여 신경망 학습에 활용하였으며 직접평가 결과와 90% 이상 일치하도록 역전파 알고리즘을 통해 가중치를 조절하였다. 그러나 관종별 다양한 노후도 등급의 분포가 충분하지않아 예측 정확도에 한계가 있다.
Choi et al. (2024)는 DNN (Deep Neural Network)을 활용하여 상수도관의 노후도를 평가하였으며 간접평가 결과를 바탕으로 직접평가를 추정하는 성능평가 프레임워크를 제안하였다. 또한, 학습데이터 부족 문제를 보완하기 위해 데이터 증강 기법을 적용하였다. 그러나 실제 상수도관망에서 발생할 수 있는 다양한 환경적 변수들이 충분히 반여되지 않았다는 한계가 있다.
본 연구에서는 상수도관의 매설 경과년수 증가에 따른 누적피해도 산정 모형의 보정계수와 사용한계 값을 결정하였다. 또한 누적피해도 산정 모형을 적용한 상태평가법 결과와 직접평가법 결과의 일치도 비교를 통해 보정계수의 고도화를 수행하였으며 실제 상수도관망에 적용하여 누적피해도를 분석하였다.
2. MCS를 적용한 누적피해도
2.1 상수도관망의 누적피해도
상수도관망의 매설 경과년수 증가에 따른 누적피해도를 정량적으로 산정하기 위해 Kim and Kwon (2024)이 개발한 모형을 사용하였다. 우선 상수도관망의 누적피해도를 분석하기 위해 개별 상수도관의 누적피해도 산정식을 Eq. (1)과 같이 수립하였다.
여기서, 는 개별 상수도관의 매설 경과년수 증가에 따른 누적피해도이다. 𝛼는 보정계수, 는 압력지수, 는 각 상수도관의 매설 경과년수(년), 은 노후지수, 은 상수도관의 잔존 관두께(mm), 는 상수도관의 직경(mm), 이다. 압력지수는 각 상수도관의 정상류 상태의 압력과 수충격 압력 그리고 상수도 설계기준의 최대 수압을 비교하여 결정하였으며 Eq. (2)와 같이 산정한다.
여기서, 는 상수도관의 정수압(kg/cm2), 는 상수도관의 수충격압(kg/cm2), 은 상수도 설계기준의 최대 수압(7.1 kg/cm2)이다. 은 노후지수로 Eq. (3)과 같이 산정한다.
여기서, 는 상수도관의 초기 관두께(mm), 은 잔존 관두께(mm)이다. 시간에 따른 부식깊이는 Fig. 1과 같이 Romanoff (1957)의 실측 데이터를 사용하였다.
Romanoff (1957) 실측 데이터의 통계적 특성을 분석한 결과 확률밀도함수는 Fig. 2와 같이 검벨분포를 따르는 것으로 확인되었으며(Kim and Kwon, 2024) 통계적 특성값은 Eqs. (4), (5), (6), (7)을 통해 각각 표준편차, 축척계수, 형상계수, 변동계수를 산정한다.
여기서 𝜎는 표준편차, 𝜇는 평균, 𝜅는 축척계수, 𝜆는 형상계수, COV는 변동계수이다. 분석 결과 표준편차(𝜎) 0.034, 축척계수(𝜅) 37.430, 형상계수(𝜆) 0.064, 변동계수(COV) 0.427로 나타났다. 시간에 따른 부식으로 인한 관두께 변화를 고려하여 노후지수를 산정하였으며 산정한 노후지수를 모수로 랜덤하게 난수를 발생시켜 누적피해도를 분석하였다. 이때 Romanoff (1957) 실측 데이터의 통계적 특성값을 사용하였으며 평균값은 Romanoff (1957)의 부식깊이 추정식을 이용하여 매설 경과년수별로 추정된 부식깊이로부터 산정한 노후지수를 각 경과년수의 평균값으로 사용하였다. 매설 경과년수마다 MCS (Monte Carlo Simulation)를 적용하여 노후지수를 확장하였으며 Fig. 3은 매설 경과년수 100년과 반복 횟수 100회를 적용하여 관경별 랜덤하게 발생된 노후지수의 분포이다. 누적피해도 분석 시 관경별로 발생 가능한 최대 및 최소 노후지수이며 빨간선은 관경별 노후지수의 평균값이다.
본 연구에서는 개별 상수도관에 대한 누적피해도를 계산하였다. 이때 계산된 누적피해도 값이 사용한계 이상일 경우 1이라 표현하였으며 사용한계 미만일 경우 0으로 표현하였다. 이후, 상수도관망에서 대상 상수도관을 선정한 후 개별 상수도관의 누적피해도 분석을 통해 상수도관망의 매설 경과년수 증가에 따른 누적피해도를 산정하였다. Eq. (4)는 상수도관망의 누적피해도 산정식이며, 은 개별 상수도관의 분석 결과 중 사용한계에 도달한 상수도관 개수이고, 는 누적피해도 분석에 사용된 전체 상수도관의 개수이다. Fig. 4는 누적피해도 분석 순서도이며 경과년수 100년, 반복 횟수 100회를 적용하여 상수도관에 대한 누적피해도 분석을 진행하였다.
3. 보정계수 및 사용한계 결정
먼저 매설 경과년수가 20년인 상수도관이 50년 경과했을 때 누적피해도가 1이 도달하도록 보정계수를 결정하였다. 또한 KDI (2013)의 선행 연구에 따르면 상수관은 40~50년이 경과하면 구조적 기능이 상실된다는 연구결과에 따라 매설 경과년수가 20년에 도래한 상수도관이 앞으로 30년 경과하였을 때 누적피해도를 사용한계로 결정하였다. 누적피해도 분석 모형을 적용한 상태평가법의 결과와 직접평가법 결과의 일치도를 비교하여 고도화 작업을 진행하였으며 일치도가 가장 높은 보정계수를 최종 보정계수로 결정하였다. Fig. 5는 보정계수와 사용한계 결정을 위한 순서도이다.
3.1 1차 보정계수 및 사용한계 결정
100 mm, 150 mm, 200 mm, 250 mm, 300 mm 상수도관에 대해 보정계수와 사용한계를 결정하였으며 250 mm, 300 mm의 직접평가를 실시한 상수도관의 개수가 적어 100 mm, 150 mm 그리고 200 mm, 250 mm, 300 mm 상수도관을 하나의 그룹으로 묶어 분석하였다. 개별 상수도관의 누적피해도를 분석하기 위해 노후지수와 압력지수는 그룹별 평균값을 적용하였다. 상수도관 설계기준 최대 수압인 7.1 kg/cm2과 매설 경과년수가 20년인 상수도관이 50년 경과했을 때 피해도가 1이 될 경우의 보정계수를 계산하였다. 그 결과 Table 1과 같이 100~150 mm 상수도관의 경우 보정계수가 0.0200으로 나타났고 200~300 mm 상수도관의 경우 보정계수가 0.0143으로 나타났다.
Table 1.
1st determination of modification factor
| Diameter (mm) | Modification factor (𝛼) |
| 100~150 | 0.0200 |
| 200~300 | 0.0143 |
40~50년이 경과하면 구조적 기능이 상실된다는 KDI (2013)에서 진행한 연구결과에 따라 매설 경과년수가 20년인 상수도관이 앞으로 30년 경과하였을 때 누적피해도 값을 사용한계로 결정하였다. 그 결과 Table 2와 같이 100~150 mm 상수도관의 경우 사용한계는 0.477로 나타났고 200~300 mm 상수도관의 경우 0.490으로 나타났으며 상수도관의 사용한계는 관경별 평균값인 0.484로 결정하였다.
3.2 보정계수 고도화
상수도관의 누적피해도 분석 모형을 적용한 상태평가법의 결과와 직접평가법 결과를 비교하기 위해 매설 경과년수 증가에 따른 누적피해도의 기울기를 등급화하였으며 관경별로 발생할 수 있는 최대 기울기와 최소 기울기를 통해 등급 기준을 결정하였다. 최대 기울기 값을 산출하기 위해서는 상수도관 설계기준 최대 수압인 7.1 kg/cm2과 매설 경과년수가 20년된 상수도관의 잔존 관두께를 적용하였다. 최소 기울기 값을 산출하기 위해서는 상수도관 설계기준 최소 수압인 1.5 kg/cm2과 상수도관의 초기 관두께를 적용하였다. 이때 상수도관의 초기 관두께는 100 mm는 6.8 mm, 150 mm는 7.0 mm, 200 mm는 7.1 mm, 250 mm는 7.5 mm, 300 mm는 8.0 mm를 적용하였다 Fig. 6은 사용년수에 따른 관경별 최대 기울기와 최소 기울기를 보여주며 이는 각각 해당 관경에서 발생할 수 있는 최대 누적피해도와 최소 누적피해도에서 계산된 값이다.
직접평가법은 내부결정상태, 내면부식, 외면부식, 균열상태, 관이음부, 관제원, 관재료 건전성, 부식환경을 조사하여 상수도관의 상태를 직접 확인함으로써 객관적으로 분석이 가능한 반면, 간접평가법은 다양한 평가 항목을 통해 상수도관의 상태를 예측하는 방식이다. 누적피해도 분석법을 적용한 상태평가법 역시 상수도관의 상태를 예측하는 방법이므로 간접평가법과 유사하다고 판단하여 3개의 등급으로 구분하였다. 누적피해도 등급은 간접평가법의 등급 점수 비율과 동일하게 적용하여 구분하였으며, 각 등급의 점수 비율은 1등급 45%, 2등급 15%, 3등급 40%로 결정하였다. 관경별 최대 기울기와 최소 기울기의 차이에 대해 간접평가법 등급 점수에 따른 비율을 적용하여 Table 3과 같이 3등급으로 구분하였다. Fig. 7은 관경별 누적피해도의 등급에 따른 기울기를 구분하여 1등급, 2등급, 3등급으로 분류한 결과이다. ME (2021)의 상수도 관망진단 매뉴얼에 따라 간접평가와 직접평가의 등급을 비교한 결과 1등급은 직접평가법의 1등급과, 2등급은 직접평가법의 2등급과 일치하며, 3등급은 직접평가법의 3, 4, 5등급과 일치하는 것으로 판단하였다.
Table 3.
Grades of cumulative damage rate
| Diameter (mm) | 1st grade (Slope) | 2nd grade (Slope) | 3rd grade (Slope) |
| 100~150 | 0.00968 or less | 0.00968~0.01253 | More than 0.01253 |
| 200~300 | 0.00980 or less | 0.00980~0.01261 | More than 0.01261 |
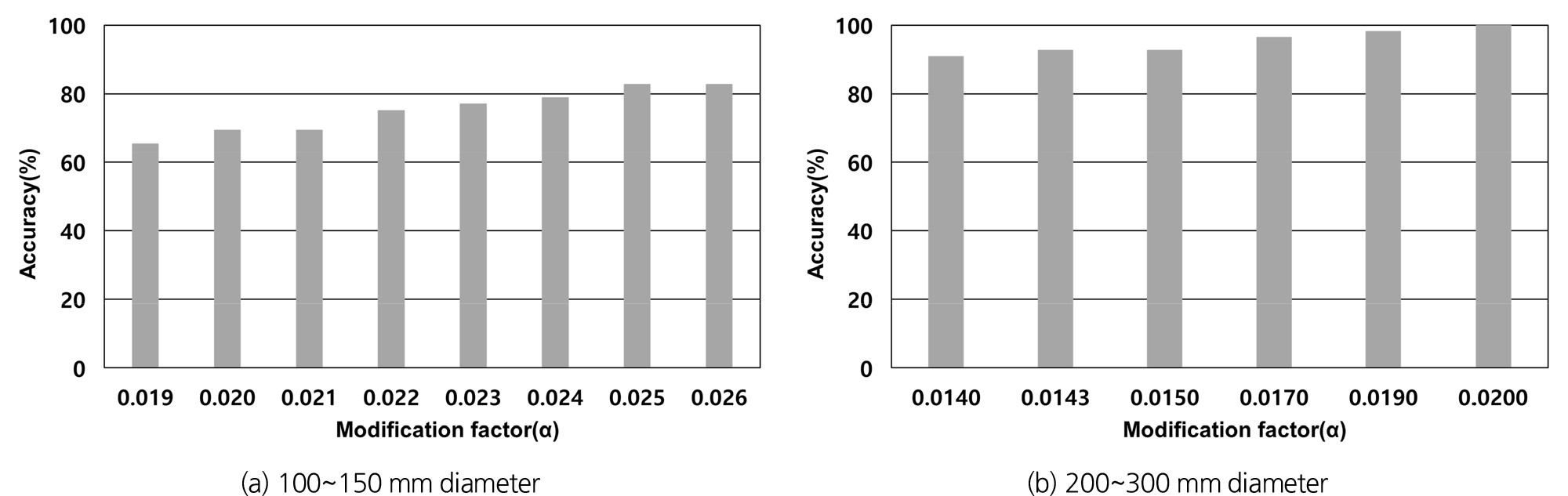
본 연구에서는 경상북도 상수도관 중 직접평가 결과가 있으며 관경 100 mm 이상, 부식이 발생할 수 있는 덕타일주철관을 대상으로 누적피해도 분석을 진행하였다. 선정된 상수도관은 관경별로 100 mm 25개, 150 mm 27개, 200 mm 36개, 250 mm 13개, 300 mm 5개로 총 106개이다. 100~150 mm 상수도관의 경우 보정계수가 0.025일 때 52개 상수도관 중 43개가 일치히여 일치도는 82.69%로 나타났다. 200~300 mm 상수도관의 경우 보정계수가 0.020일 때 54개 상수도관 중 54개가 일치하여 일치도는 100.00%로 나타났다. Fig. 8은 보정계수에 따른 일치도를 비교한 결과이며 Table 4는 보정계수의 조정전과 후를 나타내고 있다.
Table 4.
Adjusted modification factors with different diameters
| Diameter (mm) | Modification factor (𝛼) | |
| Before adjustment | After adjustment | |
| 100~150 | 0.0200 | 0.0250 |
| 200~300 | 0.0143 | 0.0200 |
Table 5와 같이 관경별 일치도를 분석한 결과 100 mm 상수도관의 경우 25개 중 19개가 일치하여 일치도는 76.00%로 나타났으며 150 mm 상수도관의 경우 27개 중 24개가 일치하여 일치도는 88.89%로 나타났다. 200 mm 상수도관의 경우 36개 중 36개가 일치하여 일치도는 100.00%로 나타났으며 250 mm 상수도관의 경우 13개 중 13개가 일치하여 일치도는 100.00%로 나타났다. 300 mm 상수도관의 경우 5개 중 5개가 일치하여 일치도는 100.00%로 나타났으며 전체 상수도관의 일치도는 106개 상수도관 중 97개가 일치하여 91.51%로 나타났다.
4. 실제 상수도관망에 적용
본 연구에서는 보정계수를 고도화한 누적피해도 분석 모형을 청주시 내덕2동 상수도관망에 적용하여 시간에 따른 누적피해도를 분석하였다. 내덕2동은 면적 1.36 km2이고 인구는 약 12,000명이 거주하고 있으며, 소요유량 2,100 m3/day이다. 내덕2동 상수도관망은 배수지 3개, 절점 703개, 상수도관 762개로 구성되어 있으며 Fig. 9는 내덕2동 상수도관망을 보여주고 있다. 내덕2동 상수도관망은 100 mm 미만의 상수도관은 부식이 발생하지 않는 PVC, PE와 같은 비금속 재질의 상수도관으로 구성되어 있어 본 연구에서는 부식이 발생될 수 있는 100 mm 이상 금속 재질의 상수도관을 선정하였다. Table 6과 같이 관경 100 mm 이상, 관길이 100 m 이상, 관종은 덕타일주철관인 상수도관 20개를 선별하여 매설 경과년수 증가에 따른 개별 상수도관의 누적피해도를 분석하였으며, 이후 내덕2동 상수도관망의 시간에 따른 누적피해도를 분석하였다.
Table 6.
Physical characteristics of water pipes of Naedeok-2dong
매설 경과년수 증가에 따른 개별 상수도관의 누적피해도 분석 결과 매설 경과년수가 12년 경과하였을 경우 6번 상수도관에서 가장 먼저 사용한계에 도달하였으며 매설 경과년수가 31년 경과하였을 경우 15번 상수도관에서 가장 늦게 사용한계에 도달하였다. Fig. 10은 가장 먼저 사용한계에 도달한 6번 상수도관과 가장 늦게 사용한계에 도달한 15번 상수도관의 매설 경과년수 증가에 따른 누적피해도이며 빨간선은 평균 누적피해도 값이다. 사용한계에 조기에 도달한 상수도관이 위치한 지역부터 단계적으로 교체를 추진함으로써 상수도관 파손에 따른 사고를 예방하고 안정적인 수돗물 공급 체계를 확보할 수 있다. Table 7은 누적피해도 분석에 의해 산정된 상수도관의 사용한계 도달시간이다.
Table 7.
Time to reach the usage limit for each pipe
이후 매설 경과년수별 사용한계에 도달한 상수도관 개수를 전체 상수도관 개수인 20개로 나누어주어 내덕2동 상수도관망의 누적피해도를 분석하였다. 내덕2동 상수도관망의 누적피해도는 Fig. 11과 같이 계단식 형태로 피해도가 누적되는 것으로 나타났고 매설 경과년수가 10년, 20년, 30년, 40년, 50년으로 증가할 경우 누적피해도는 각각 0.000, 0.400, 0.950, 1.000, 1.000이다. 내덕2동 상수도관망은 12년 경과한 시점부터 상수도관이 사용한계에 도달하기 시작하며 31년이 경과하면 누적피해도가 1.0에 도달하여 모든 상수도관이 사용한계에 도달하였다. 이로 인해 상수도관의 파손 및 누수 발생 위험이 크게 증가하므로, 사전에 교체나 보수 등 적극적인 유지관리 조치를 시행하지 않을 경우, 수돗물 공급의 안정성 저하 및 사회·경제적 피해가 발생할 가능성이 높아진다.
5. 결 론
본 연구에서는 상수도관의 매설 경과년수 증가에 따른 누적피해도 산정 모형의 보정계수와 사용한계 값을 결정하였으며 누적피해도 산정 모형을 적용한 상태평가법 결과와 직접평가법 결과의 일치도 비교를 통해 보정계수의 고도화를 수행하였다. 또한 실제 상수도관망에 적용하여 매설 경과년수 증가에 따른 누적피해도를 분석하였다.
상수도 설계기준에 따라 매설 경과년수가 20년인 상수도관이 50년 경과 시 누적피해도가 1에 도달하도록 보정계수를 결정하였으며 100~150 mm 상수도관은 0.0200, 200~300 mm 상수도관은 0.0143으로 결정하였다. 상수도관의 구조적 기능이 상실되는 시점을 반영하여 매설 경과년수가 20년에 도래한 상수도관이 앞으로 30년 경과하였을 때 누적피해도 값을 사용한계로 결정하였다. 100~150 mm 상수도관의 경우 사용한계는 0.477, 200~300 mm 상수도관의 경우 0.490으로 나타났으며 상수도관의 사용한계는 평균값인 0.484로 결정하였다. 이후 누적피해도 분석 모형을 적용한 상태평가법의 결과와 직접평가법 결과의 일치도를 비교하여 보정계수 고도화 작업을 진행하였다. 일치도를 비교한 결과, 100~150 mm 상수도관의 경우 보정계수가 0.025일 때 52개 중 43개가 일치하여 82.69%의 일치도가 나타났다. 200~300 mm 상수도관의 경우 보정계수가 0.020일 때 54개 중 54개가 일치하여 100.00 %의 일치도가 나타났다.
청주시 내덕2동 상수도관망에 누적피해도 산정 모형을 적용하여 개별 상수도관의 누적피해도를 분석한 결과 경과년수가 12년 경과하였을 때 6번 상수도관에서 가장 먼저 사용한계에 도달하였고 경과년수가 31년 경과하였을 때 15번 상수도관에서 가장 늦게 사용한계에 도달하였다. 6번 상수도관은 매설된 지 46년으로 분석 대상 상수도관 중 두 번째로 매설년수가 높았지만 압력이 상대적으로 높아 가장 먼저 사용한계에 도달하였다. 반면 15번 상수도관은 매설된 지 19년으로 분석 대상 상수도관 중 가장 최근에 매설된 상수도관으로 가장 늦게 사용한계에 도달하였다.
상수도관의 누적피해도는 매설연수뿐 아니라 수압, 관두께 등 다양한 요인의 영향을 받는 것으로 나타났으며 본 연구에서 고도화한 모형은 매설 경과년수 증가에 따른 누적피해도를 정량적으로 분석할 수 있음을 검증하였다. 본 연구에서 고도화한 누적피해도 산정 모형은 상수도관망의 교체 및 개량사업 계획 수립에 활용될 수 있으며, 상수도관의 상태를 정량적으로 평가함으로써 예산을 효율적으로 운용하고 체계적인 유지관리 전략 수립에 기여할 수 있을 것으로 기대된다. 향후 연구에서는 다양한 매설년수와 관경을 가진 상수도관에 대한 직접평가법 결과를 활용한다면 보다 정밀한 보정계수와 사용한계를 도출할 수 있을 것으로 판단되며 이를 통해 누적피해도 산정 모형의 신뢰도를 더욱 향상시킬 수 있을 것이다.













