1. 서 론
2. 재료 및 방법
2.1 VFSMOD-W모형
2.2 연구대상지
2.3 모형의 보정
2.4 모의 시나리오
3. 결과 및 고찰
3.1 유출저감 효과
3.2 유사저감 효과
4. 결 론
1. 서 론
새만금 사업의 성공적인 수행을 위해서는 체계적인 수질관리가 요구된다. 새만금 유역에서 발생하는 비점오염물질들은 만경강과 동진강을 통해 새만금호로 흘러가 새만금호의 수질에 영향을 주게 된다. 새만금 유역의 농업비점오염 비중은 BOD 기준 75.5%으로 이 중 토지계가 62.5%, 축산계가 33.4%로 조사되고 있어 농촌지역에서 유발되는 비점오염 관리의 필요성이 높아지고 있다(Kim et al., 2014). 농업비점오염의 주요 원인이 되고 있는 토양유실은 논 보다 밭경지가 더 심하며, 이는 대부분의 밭경지가 논보다 경사가 큰 곳에 위치해 있어, 농약 및 비료 사용이 상대적으로 많아 일어나는 현상으로(Shin et al., 2012), 새만금호의 수질보전을 위해서는 유역 내 주요 밭작물의 농업비점오염 저감을 위한 최적관리기법의 개발 및 적용이 필요하다(Son et al., 2014).
농경지 비점오염저감을 위해 선진국에서 많이 적용하고 있는 기법들에는 초생대(Vegetative Filter Strips, VFS), 식생밭두렁, 침사구, 우회수로, 지표피복, 등고선재배 등이 있다. 이 중 초생대는 초생대는 경작지 경계를 따라 밀도 있게 조성한 띠 형태의 식생대를 의미하고, 밭경지에서 발생하는 유출속도를 감소시켜 비점오염물질의 여과, 흡착, 침전작용이 적용되어 오염을 저감시키는 방법으로, 토사로 인한 탁수문제와 수질 악화의 주범인 오염물질의 저감에 효과가 있어 농경지 비점오염저감을 위한 최적관리기법으로 소개되고 있다(Park et al., 2008; Park and Hyun, 2014). 또한 2010년부터 농식품부 ․ 한국농어촌공사 농어촌연구원에서 수행한 ‘새만금유역 농업비점오염 저감기법 개발’ 과제에 밭비점오염 저감기법으로 초생대 연구가 진행되기도 하였다(Choi and Jang, 2014; Lee et al., 2015, Choi et al., 2016).
초생대에 대한 연구 사례는 국외의 경우 매우 다양하나 (Muñoz-Carpena et al., 1999; Humberto et al., 2004; Dillaha TA et al., 2010; Thomas et al., 2014), 국내의 경우 아직은 초생대 현장적용에 대한 연구는 미비한 실정이다. 현장 적용을 통한 비점오염저감기법 개발은 많은 시간과 비용이 소요되는 부담이 있으므로, 현장 적용 대신 초생대의 효과를 규명할 수 있는 VFSMOD-W 모형이 국내외적으로 많이 활용되고 있는 실정이다(Majed, 2001; Thomas et al., 2014; Park et al., 2008; Seo et al., 2013). 따라서 본 연구에서는 제한된 현장조건 속에서 수행한 실험결과를 토대로 다양한 밭경지 특성을 반영한 초생대 유사저감효과를 모의해 보고자 VFSMOD-W 모형을 이용하였으며, 초생대 기법 적용 시 유사저감에 기여하는 현장 인자들을 파악하고자 하였다. 이를 위해 본 연구는 새만금 유역의 밭경지 특성을 조사하였으며, 이를 토대로 다양한 현장여건을 반영할 수 있는 모의 시나리오를 개발하여, 밭경지 특성에 따른 초생대 유사저감 효과를 규명함으로, 새만금 유역의 초생대 기법 적용에 필요한 기초자료를 제공하고자 하였다.
2. 재료 및 방법
2.1 VFSMOD-W모형
VFSMOD-W (Vegetative Filter Strip MODel-W)는 초생대의 토사유출저감효과 모의를 위해 개발된 모형으로, Fig. 1에 나타낸 바와 같이 모형의 주요 고려 인자는 작물이 자라는 경작지(source area), 경작지 하단부에 설치한 초생대(VFS), 강우 및 유출인자, 침투인자를 포함한다(Seo and Choi, 2013). VFSMOD-W 모형은 밭에서 발생하는 유출 및 유사 특성을 모의하는 UH모듈과, 산정된 유출 및 유사량을 바탕으로 초생대에 의해 저감된 유출 및 유사량을 모의하는 VFSMOD 모듈로 나뉜다. 경작지에서 발생하는 유출량은 NRCS CN (Curve Number) 방법에 의해 산출되며, 토양침식량은 범용토양유실공식(USLE)을 사용한다. 침투층의 유출심과 유출량 모의에는 Kinematic Overland Flow 모형을 사용하며, 토양의 침투는 Green-Ampt침투 모형을 사용한다. 또한 초생대 내의 유사이동과 퇴적량은 Sediment Filtrations Model (GRASSF and SEDIMOT Ⅱ)을 사용한다. 모형의 입력자료는 UH 모듈에서는 강우 및 유출자료(강우량, CN, 강우 지속시간), 시험포 지형자료(길이, 면적, 경사), 시험포 토양자료(토양종류, 유기물함량, 입자크기, 토양침식인자, 토양피복인자, 토양보전대책인자) 등이 포함되며, VFSMOD 모듈에서는 토양침투자료(포화수리전도도, 포화함수량, 초기함수량, 평균모세관흡인력), 초생대 속성자료(폭, 길이, 초종, 초장, 조도계수) 등이 요구된다. Fig. 2는 모형의 유출 및 유사 모의과정에 이용되는 알고리듬과 입력 자료를 각각 나타낸다.
2.2 연구대상지
초생대 유사저감효과를 모의한 연구대상지인 새만금 유역의 위치는 Fig. 3과 같으며, 유역의 면적은 약 2,956 km2으로 이중 밭경지 면적은 652 km2로서 유역면적의 약 22%를 차지한다. 새만금 유역의 밭경지 특성은 통계청 자료와 농촌진흥청 농업토양정보시스템을 활용하였으며, 조사 결과는 Table 1에 나타낸 바와 같다. 새만금 유역의 농가당 밭경지 규모는 1 ha 이하가 92.6%로 대부분 소규모 농업 형태를 띄며, 밭의 경사는 76.7%가 7~15% 이내에 위치하는 것으로 조사되었다. 또한 토양의 토성은 양토(Loam)가 83.7%, 식양토(Clay loam)가 6.8%, 사양토(Sandy loam)는 5.4%를 차지하고, 배수등급이 대부분 양호한 것으로 나타나 토양 특성은 수문학적 토양그룹 B에 속한다. Fig. 4는 새만금 유역 내 밭경지 및 주요 토성의 분포를 각각 나타낸다.
2.3 모형의 보정
초생대 유사저감효과를 모의하기에 앞서, 새만금 유역 잔디초생대 현장실험(Lee et al., 2015) 실측치 자료를 활용하여 VFSMOD-W 모형의 보정을 실시하였다. VFSMOD-W모형의 보정을 위한 매개변수는 UH Module의 CN값과 VFSMOD Module의 토양입력자료인 K값(토양침식계수)과 C factor (토양피복인자), P factor (토양보존대책인자), 초생대 입력자료인 Sav (토양의 포화투수계수),
(포화함수량), Manning’ n값이며, 보정을 위한 매개변수 중 유출 및 유사에 가장 큰 영향을 주는 인자인 CN값을 최우선으로 보정한 후 토양입력자료, 초생대 입력자료 순으로 보정하였다. 보정된 매개변수 값의 오차 크기 및 신뢰도 평가는 Eq. (1)에 나타낸 Nash-Sutcliffe의 효율 계수(Nash-Sutcliffe Equation, NSE) (Nash et al., 1970)와 Eq. (2)의 결정계수(R2)을 이용하였다.
(1)
(2)
Eq. (1)에서
는 실측치,
은 모의치,
는 모든 실측치의 평균을 의미한다. Eq. (2)식에서 SSR (Sum of Squared Residuals)은 회귀선에 의해 설명되는 변동, SST (Sum of Squared Total)는 총변동, SSE (Sum of Squared Error)는 회귀선에 의해 설명되지 않는 변동을 의미한다. 모형의 신뢰범위는 Table 2에 나타낸 Donigian and Love (2003)가 제시한 일모형 값을 기준으로 하였다. 결정계수는 1에 가까울수록 적용성이 우수함을 의미한다.
Table 3은 VFSMOD-W 모형의 매개변수별 보정범위와 보정값을 각각 나타내며, 모형의 보정은 유출량을 선보정한 후 유사량을 보정하였다. 보정된 매개변수를 이용하여 모의분석한 모형의 신뢰정도는 Table 4와 같으며, 유출량의 경우 NSE = 0.833, R2 = 0.99를 나타내었고, 유사량은 NSE = 0.794, R2 = 0.99를 나타내었다.
2.4 모의 시나리오
새만금 유역의 밭경지 초생대 효과를 파악하기 위해 새만금 유역내 밭경지 특성을 바탕으로 모의 시나리오를 개발하였다. 유출곡선 CN값은 새만금 유역 내 밭경지 작물재배 특성을 고려하여 NRCS에서 제공하는 자료를 바탕으로 줄작물, 곡물류, 콩과식물 등을 재배하는 수직경작지에서 배수등급이 양호하고, 수문학적 토양그룹이 B인 경우의 CN 범위를 파악하여 최대습윤조건인 AMC-Ⅲ 상태값으로 선정하였다. 밭경지의 규모는 1 ha, 5 ha, 10 ha로, 밭의 형상은 폭과 길이 비가 1 : 1인 정방형을 적용하였으며, 밭경사는 새만금 유역에 가장 많은 분포를 나타낸 7%~15% 범위를 고려하여 7%, 15%를 각각 선정하였다. 또한 토성은 유역 내 대부분을 차지하는 양토로 적용하였다. 밭경지 내 초생대의 적용 면적은 선행연구결과를 바탕으로 가장 적정 비율로 판단된 밭경지 면적의 10%로 고정하였으며, 초종은 우리나라 초종인 잔디에 가까운 특성을 나타내는 Grass mixture를 적용하였다. 강우는 50 mm, 100 mm, 150 mm, 200 mm 일강우량을 적용하여 모의를 실시하였다. Table 5는 새만금 유역 초생대 효과를 규명하기 위해 적용한 모의 시나리오를 나타낸다.
3. 결과 및 고찰
3.1 유출저감 효과
VFSMOD-W모형을 이용하여 새만금 유역내 밭경지 특성을 반영한 시나리오를 적용하여 초생대 유출저감 효과를 분석하였다. Table 6은 초생대 유입전 ․ 후의 유출량을 각각 나타낸다. 밭경사 7%와 15%에 대해 밭경지 1 ha, 5 ha, 10 ha 규모에 50~200 mm의 강우 발생 시 밭경지 내에서 발생한 초생대 유입전의 유출량과 초생대 유입 후 배출된 유출량을 조사하였다.
밭면적 1 ha에 경사 7%인 경우 초생대 유입전 ․ 후 유출량은 245.5~1,544.2 m3와 219.2~1,499.1 m3 였으며, 경사 15%인 경우 245.3~1545.4 m3와 220.7~1501.3 m3을 각각 나타내었다. 또한 밭면적 5 ha에 경사 7%인 경우 초생대 유입전 ․ 후 유출량은 1,230.5~7,708.2 m3와 1,074.9~7,464.7 m3 였으며, 경사 15%인 경우 1,229.2~7,709.1 m3와 1,088.6~7,485.0 m3을 각각 나타내었다. 밭면적 10 ha에 경사 7%인 경우 초생대 유입전 ․ 후 유출량은 2,459.4~15,410.0 m3과 2,127.7~14,890.0 m3 였으며, 경사 15%의 경우 2,457.5~15,420.0 m3와 2,160.9~ 14,940.0 m3으로 각각 나타났다.
밭면적에 비례하여 유출량이 증가하였으며, 강우량 50 mm에서 200 mm로 증가하는데 있어 유출량은 2.7~6.3배 정도 차이를 보였다. 그러나 밭경지 경사는 밭면적과 강우량 인자에 비해 유출량 발생에 상대적으로 적은 영향을 미치는 것으로 나타났다.
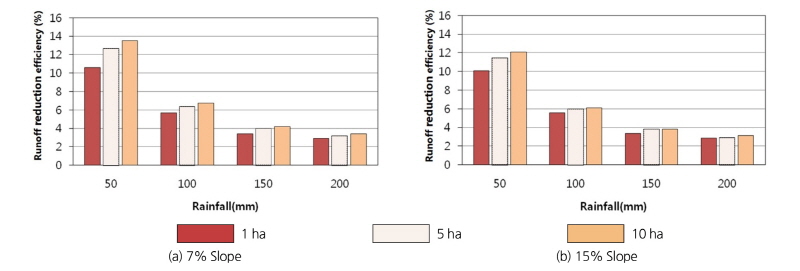
Fig. 5은 초생대 유출저감효과를 산정한 결과를 나타낸다. 밭경사 7%와 15%일 때 밭면적과 강우량인자에 따라 2.9~ 13.5%와 2.9~12.1%의 초생대 유출저감효과를 각각 나타내었다. 모의 시나리오 중에 밭규모 10 ha, 경사 7%에서 일강우가 50 mm 발생 시 초생대의 유출저감효과가 가장 높게 나타났으며, 반대로 밭규모 1 ha, 경사 15%에서 일강우가 200 mm 발생 시 초생대의 유출저감효과가 가장 낮게 나타났다. 초생대의 유출저감효과에서도 밭경지 유출량 발생 현상과 동일한 패턴을 보였다. 밭경지 규모가 클수록 초생대의 저감효과가 증가하는 것으로 나타났으나 밭경사의 변화에 따른 저감효과는 상대적으로 적게 나타나, 밭경지 규모가 밭경사보다 초생대 유출저감효과에 미치는 영향이 상대적으로 크다는 것을 나타내었다. 강우량의 경우는 일강우량이 증가 할수록 초생대 유출저감효과는 낮게 나타났으며, 일강우량이 적을수록 밭경지 면적의 규모에 따른 유출저감효과의 차이가 일강우량이 큰 경우보다 상대적으로 크게 나타났다.
3.2 유사저감 효과
초생대의 유출저감효과 조사와 동일하게 밭경사 7%와 15%에 대해 밭경지 1 ha, 5 ha, 10 ha 규모에 50~200 mm의 강우 발생 시 밭경지 내에서 발생한 초생대 유입전의 유사량과 초생대 유입 후 배출된 유사량을 조사하였다. Table 7은 초생대 유입전 ․ 후의 유사발생량을 나타낸다.
밭면적 1 ha에 경사 7%인 경우 초생대 유입전 ․ 후 유사량은 16.7~20.4 g/L와 0.5~10.3 g/L 였으며, 경사 15%인 경우 52.1~63.1 g/L와 7.3~42.1 g/L를 각각 나타내었다. 또한 밭면적 5 ha에 경사 7%인 경우 초생대 유입전 ․ 후 유사량은 26.7~32.8 g/L와 1.5~20.1 g/L 였으며, 경사 15%인 경우 93.2~113.8 g/L와 29.2~80.1 g/L를 각각 나타내었다. 밭면적 10 ha에 경사 7%인 경우 초생대 유입전 ․ 후 유사량은 32.4~ 39.9 g/L와 2.5~26.4 g/L 였으며, 경사 15%인 경우 118.4~145.3 g/L와 49.3~105.9/L로 각각 나타났다.
밭면적이 증가할수록 유사 발생량이 증가하였으나, 유출량에서 밭면적에 비례하여 증가한 것과는 달리, 밭면적이 1 ha에서 5 ha와 10 ha으로 증가 시 유사량은 1.8배와 2.3배 정도로 증가하였다. 강우가 증가할수록 유사발생량도 1.1~1.2배 증가하는 것으로 나타나, 밭면적인자에서와 동일하게 강우량 증가에 따른 유사량 발생정도가 유출량 발생 정도보다 작게 나타났다. 밭경사의 경우에는 유출발생현상과 달리 7% 경사와 15% 경사간의 유사발생량의 차이가 두드러지게 나타났다. 경사차이에 따른 유사발생량은 3.1%~3.7% 정도 차이를 나타내었다.
Fig. 6은 초생대 유사저감효과를 산정한 결과를 나타낸다. 밭경사 7%와 15%일 때 밭면적과 강우량인자에 따라 33.8~97.6%와 27.1~85.9%의 초생대 유사저감효과를 각각 나타내어, 유출저감효과보다는 매우 높게 나타났다. 이는 초생대의 여과기능이 유출보다 유사저감에 더 유리하게 작용하는 것으로 사료된다. 모의시나리오 중에 유사저감효과가 가장 높게 나타난 경우는 밭규모 1 ha, 경사 7%에서 일강우가 50 mm 발생했을 때이며, 반대로 유사저감효과가 가장 낮게 나타난 경우는 밭규모 10 ha, 경사 15%에서 일강우가 200 mm 발생했을 때이다. 따라서 초생대의 유사저감효율은 유출저감효율과는 달리 유사발생이 상대적으로 적은 소규모 밭경지에서 더 크게 나타났다. 이는 밭경지 규모가 작을수록 Source area에서 유사량이 상대적으로 적게 발생하여 초생대의 여과 기능 범위를 만족하기 때문인 것으로 사료된다. 밭경사가 낮은 경우 초생대 유사저감효과가 높게 나타났으나, 높은 경사에서는 저감효과가 급격히 떨어짐을 보여준다. 또한 강우량이 적고 경사가 낮을 경우에는 밭규모에 따른 유사저감효율의 차이가 적었으나 강우량이 증가하고 밭규모가 증가할수록 초생대의 유사저감효율의 차이가 크게 나타났다.
4. 결 론
본 연구에서는 새만금 유역 밭경지 비점오염관리의 일환으로 초생대 기법의 적용 시 밭경지 유출 및 유사저감효과를 규명하고자 하였다. 새만금 유역의 토양 및 밭경지 특성을 반영한 모의시나리오를 구성하고, VFSMOD-W모형을 이용하여 초생대의 유출 및 유사모의를 실시하였다. 모형의 보정은 CN, 토양인자, 초생대 인자를 포함하여 실시되었으며, 보정된 모형의 신뢰성은 적절한 것으로 나타났다.
초생대 기법을 적용한 모의 결과에서는 뚜렷한 유출 및 유사저감 보였으며, 유출 및 유사 발생에 영향을 미치는 밭규모, 경사 및 강우량에 따라 저감효율의 차이를 나타내었다. 밭경사와 강우조건이 동일할 경우 초생대의 유출저감효과는 밭경지 규모가 클수록 증가하는 것으로 나타났으며, 이와 반대로 유사저감효과는 밭규모가 적을수록 증가하는 것으로 나타났다. 또한 밭경사의 초생대 유출저감효과에 미치는 영향은 밭규모에 비해 상대적으로 적게 나타났으나, 유사저감효과측면에서는 밭규모에 비해 비교적 큰 영향을 받는 것으로 나타났다. 강우량인자의 경우 일강우량이 적을수록 밭경지 면적의 규모에 따른 유출저감효과의 차이가 상대적으로 크게 나타났으며, 경사차이에 따른 유사발생량의 차이가 두드러지게 나타났다. 특히 강우량이 증가하고 밭규모가 증가할수록 초생대의 유사저감효율의 차이가 크게 나타났다.
본 초생대 효과 모의 결과를 바탕으로 새만금 유역에 밭경지 규모 10 ha 미만, 경사 15% 이내의 조건에서 밭규모의 10% 정도의 규모로 초생대를 조성할 경우 밭경지에서 발생하는 유출 및 유사저감 효과를 기대할 수 있으며, 궁극적으로 새만금호의 수질개선에 긍정적인 영향을 줄 것으로 기대된다. 향후 밭규모와 경사외에도 밭토양의 특성을 고려한 다양한 밭경지 조건에 따른 초생대의 적정 규모와 배치기법의 정립을 위해서는 장기적인 현장 실험 및 모니터링이 요구되며, 강우량과 더불어 강우강도까지 고려한 초생대 유사저감효과 연구가 병행될 필요가 있다.















